Sign in to use this feature.

Years

Between: -

Subjects

remove_circle_outline
remove_circle_outline
remove_circle_outline
remove_circle_outline
remove_circle_outline
remove_circle_outline
remove_circle_outline
remove_circle_outline
remove_circle_outline

Journals

remove_circle_outline
remove_circle_outline
remove_circle_outline
remove_circle_outline
remove_circle_outline
remove_circle_outline
remove_circle_outline
remove_circle_outline
remove_circle_outline
remove_circle_outline
remove_circle_outline
remove_circle_outline
remove_circle_outline

Article Types

Countries / Regions

remove_circle_outline
remove_circle_outline
remove_circle_outline
remove_circle_outline
remove_circle_outline

Search Results (1,211)

Search Parameters:
Keywords = tea processing

Order results
Result details
Results per page
Select all
Export citation of selected articles as:
25 pages, 9782 KB  
Article
Small Molecular Peptides and Their Potential Antifungal Activities During the Pile-Fermentation of Post-Fermented Tea
by Xueli Pan, Mengyi Guo, Song Wu, Huan Huang, Yan Luo, Zhenjun Zhao, Xun Chen, Xianchun Hu, Huawei Wu and Xinghui Li
Foods 2026, 15(7), 1263; https://doi.org/10.3390/foods15071263 - 7 Apr 2026
Abstract
This study systematically investigated the dynamic diversity, potential sources, and antifungal activities of small molecular peptides during the pile-fermentation process of post-fermented tea. By analyzing the damaging effects of small molecular peptide extracts from tea samples at different pile-fermentation stages on the spore [...] Read more.
This study systematically investigated the dynamic diversity, potential sources, and antifungal activities of small molecular peptides during the pile-fermentation process of post-fermented tea. By analyzing the damaging effects of small molecular peptide extracts from tea samples at different pile-fermentation stages on the spore cell membranes of Aspergillus carbonarius (A. carbonarius) and the inhibitory activity against β-1,3-glucan synthase (β-1,3-GS), it was confirmed that some small molecular peptides exhibit significant antifungal effects. The main findings are as follows: (1) The number of identified small molecular peptides showed a trend of first increasing and then decreasing with the progress of pile-fermentation, peaking at 4453 species on the 35th day of pile-fermentation, and were dominated by hexapeptides and heptapeptides with molecular weights ranging from 600 to 800 Da. (2) Based on orthogonal partial least squares discriminant analysis (OPLS-DA), the samples were divided into three characteristic stages according to the differences in small molecular peptide composition at different stages, and 156 characteristic peptides with a relative abundance higher than 0.1% were screened out. Their precursor proteins were derived from 148 proteins belonging to 16 genera, including Camellia, Aspergillus, Saccharomyces, Penicillium, and Bacillus. (3) BLAST alignment results showed that five out of the 156 characteristic peptides were degradation fragments of known antifungal peptides originating from Aspergillus and Bacillus. (4) Combining molecular docking screening and in vitro verification of synthetic peptides, a total of 27 small molecular peptides with antifungal activity were obtained, and their mechanism of action was the inhibition of β-1,3-GS activity. (5) The small molecular peptides related to antifungal activity could be classified into two categories: enzymatic hydrolysates of known antifungal peptides, and the enzymatic hydrolysates of tea-derived proteins or macromolecular peptides. Both categories were mainly distributed in the three stages of pile-fermentation, and there was a significant positive correlation among the population size of dominant microorganisms, microbial peptidase activity, and the abundance of small molecular peptides. This study reveals the dynamic generation pattern and antifungal potential of small molecular peptides during the pile-fermentation of post-fermented tea, providing a new scientific basis for evaluating the dynamic changes in microbial communities in tea and effectively controlling the contamination of harmful fungi during the pile-fermentation process. Full article
Show Figures

Figure 1

23 pages, 1768 KB  
Review
Tea Polyphenols in the COVID-19 Era: Mechanistic Insights and Translational Challenges
by Harrison Chang, Chi-Sheng Wu, Ting-Yu Yeh and Wen-Chin Ko
Curr. Issues Mol. Biol. 2026, 48(4), 379; https://doi.org/10.3390/cimb48040379 - 5 Apr 2026
Viewed by 144
Abstract
The severe acute respiratory syndrome coronavirus 2 (SARS-CoV-2) has driven the global COVID-19 pandemic, imposing a tremendous burden on public health. As the virus continually evolves through rapid mutations, the pandemic has transitioned into a prolonged endemic phase. Despite the development of novel [...] Read more.
The severe acute respiratory syndrome coronavirus 2 (SARS-CoV-2) has driven the global COVID-19 pandemic, imposing a tremendous burden on public health. As the virus continually evolves through rapid mutations, the pandemic has transitioned into a prolonged endemic phase. Despite the development of novel drugs and vaccines, clinical outcomes remain suboptimal for vulnerable populations, including the elderly and those with comorbidities or compromised immunity. Tea polyphenols, a class of structurally diverse and bioactive nutraceuticals, may modulate viral entry, replication, and host inflammatory pathways implicated in disease progression through pleiotropic effects on viral attachment, membrane fusion, intracellular replication, and proteolytic processing. Here, we provide an updated chemo-biological perspective on the antiviral and immunomodulatory mechanisms of tea polyphenols against SARS-CoV-2. Current evidence highlights their potential to serve as promising candidates for further mechanistic and translational investigation as adjunctive strategies and nutraceuticals for COVID-19 management. Importantly, no large-scale randomized controlled trials have yet demonstrated clinical benefit of tea polyphenols in COVID-19. Full article
(This article belongs to the Special Issue Advances in Phytochemicals: Biological Activities and Applications)
Show Figures

Figure 1

12 pages, 1186 KB  
Article
Beverage-Induced Staining and Water Sorption/Solubility of Conventional and Resin-Modified Glass-Ionomer Restoratives
by Fatin A. Hasanain, Rotana M. Abulaban, Nouf S. Almeganni and Hani M. Nassar
Biomimetics 2026, 11(4), 249; https://doi.org/10.3390/biomimetics11040249 - 4 Apr 2026
Viewed by 168
Abstract
Glass ionomer cements (GICs) are considered functionally biomimetic as they participate in ion-exchange processes that partially resemble the behavior of natural enamel and dentin, chemically bond to dental hard tissues, and release fluoride. While GICs are designed to interact with aqueous oral environments, [...] Read more.
Glass ionomer cements (GICs) are considered functionally biomimetic as they participate in ion-exchange processes that partially resemble the behavior of natural enamel and dentin, chemically bond to dental hard tissues, and release fluoride. While GICs are designed to interact with aqueous oral environments, their exposure to dietary beverages may affect their esthetic stability and water-related behavior within the oral environment. For biomimetic restorative materials to perform successfully in the oral environment, they must maintain not only bioactive properties but also esthetic stability and resistance to water-related degradation during exposure to dietary beverages. This study evaluated beverage-induced color changes, water sorption, and water solubility of six GICs following their immersion in coffee, tea, berry juice, cola, and distilled water (n = 5 per material per solution). Color measurements were recorded at baseline and after 2, 4, 6, and 8 weeks using a spectrophotometer, and color change (ΔE) values were calculated using the CIE L*a*b* system. Specimen mass was measured at baseline, after 8 weeks of immersion and then after 4 weeks of desiccation. Data were analyzed using repeated-measures Analysis of Variance (ANOVA) and Fisher’s least significant difference post hoc tests (α = 0.05). The results showed time, material, and solution significantly affected ΔE (p < 0.001). Tea produced the greatest discoloration overall, followed by coffee. ChemFil exhibited the greatest staining susceptibility, while Fuji II showed the lowest staining susceptibility. Water sorption and solubility were material- and solution-dependent. Clinically relevant discoloration of GICs was found when immersed in common beverages over time, with tea showing the strongest staining effect. These findings indicate that although GICs exhibit biomimetic characteristics through their interaction with tooth structures and aqueous environments, their long-term esthetic stability and resistance to environmental challenges should also be considered when selecting restorative materials for clinically visible areas. Full article
(This article belongs to the Special Issue Biomimetic Bonded Restorations for Dental Applications: 2nd Edition)
Show Figures

Graphical abstract

14 pages, 938 KB  
Article
Effects of Fermentation Time and Temperature on the Physicochemical Quality of Kombucha
by Juan Pablo Salinas-Ruiz, Jesús Guevara García, Daniela Rios Tovar, Reichell P. Cruz Cabrera and Damir D. Torrico
Foods 2026, 15(7), 1226; https://doi.org/10.3390/foods15071226 - 3 Apr 2026
Viewed by 251
Abstract
Kombucha is a fermented tea beverage produced through the metabolic activity of a symbiotic culture of bacteria and yeasts (SCOBY). Although consumer demand for kombucha has increased substantially, the influence of fermentation conditions on product quality remains insufficiently understood. This study evaluated the [...] Read more.
Kombucha is a fermented tea beverage produced through the metabolic activity of a symbiotic culture of bacteria and yeasts (SCOBY). Although consumer demand for kombucha has increased substantially, the influence of fermentation conditions on product quality remains insufficiently understood. This study evaluated the effects of fermentation temperature and time on the physicochemical properties of kombucha. A total of 20 L of kombucha was prepared using black tea (10 g/L) and sucrose (70 g/L). After filtration, the mixture was adjusted to pH 4.14 and inoculated with SCOBY. Fermentations were conducted at three temperatures (23, 25, and 28 °C) and at three time points (7, 11, 15 days). Following fermentation, pH, viscosity, soluble solids (°Brix), titratable acidity, color, and concentrations of lactic and acetic acids were quantified. The main results showed that pH decreased progressively with increasing fermentation temperature and time (from 3.47 at 23 °C/7 days to 2.96 at 28 °C/15 days). Concentrations of lactic and acetic acids increased with fermentation time, consistent with fermentation progression. Response surface modeling (RSM) indicated nonlinear interactions between time and temperature for pH and viscosity. Overall, the results identified fermentation parameters that enhanced desirable kombucha attributes, providing a scientific basis for formulation and process optimization in commercial production. Full article
Show Figures

Figure 1

23 pages, 846 KB  
Review
Bioprocess Design and Optimization for Pharmaceutical Production Using Microalgae and Cyanobacteria
by Andrés F. Barajas-Solano, Antonio Zuorro, Roberto Lavecchia, Janet B. García-Martínez and Jefferson E. Contreras-Ropero
Processes 2026, 14(7), 1141; https://doi.org/10.3390/pr14071141 - 1 Apr 2026
Viewed by 265
Abstract
Microalgae and cyanobacteria have emerged as platforms for producing recombinant biologics, vaccine antigens, and bioactive compounds of pharmaceutical interest. However, their translation beyond proof-of-concept remains limited by light-field heterogeneity, gas–liquid mass-transfer constraints, product instability, and matrix complexity, all of which affect recovery, selectivity, [...] Read more.
Microalgae and cyanobacteria have emerged as platforms for producing recombinant biologics, vaccine antigens, and bioactive compounds of pharmaceutical interest. However, their translation beyond proof-of-concept remains limited by light-field heterogeneity, gas–liquid mass-transfer constraints, product instability, and matrix complexity, all of which affect recovery, selectivity, and batch comparability. This review synthesizes and organizes published evidence using a process-engineering framework organized around product class, product localization, upstream–downstream coupling, and photobioreactor scale-up. It further considers the role of Quality by Design (QbD), model-informed development, techno-economic assessment (TEA), and life cycle assessment (LCA) in route selection and quality-oriented process development. Across the reported routes, the dominant burden shifts from disruption and clarification in intracellular products to extracellular stability and time-to-capture in secreted products, whereas biomass-based formulations are governed by potency and stabilization consistency, and analog-rich metabolites by profile control and selective fractionation. Current limitations include the scarcity of models that incorporate quality attributes as explicit outputs, the incomplete representation of regulated manufacturing burdens in TEA and LCA, and the lack of minimal, reproducible analytical panels adapted to product class and matrix. By framing these organisms as pharmaceutical process platforms rather than as hosts assessed only by titer, this review provides an engineering basis for scale-up, route prioritization, and controllable manufacturing. Full article
(This article belongs to the Special Issue Feature Review Papers in Section “Pharmaceutical Processes”)
Show Figures

Figure 1

18 pages, 4269 KB  
Article
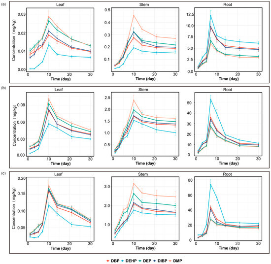
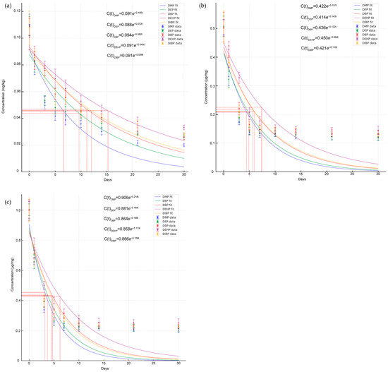
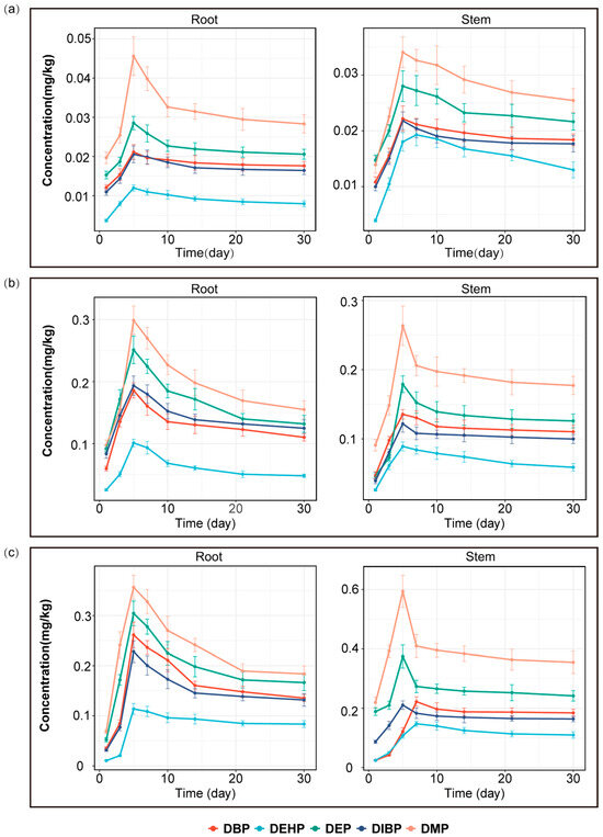
Uptake Pathways, Translocation, and Accumulation of Phthalate Esters in Tea Seedlings Under Hydroponic Conditions
by Jie Li, Shanjie Han, Qiaolei Cai, Xuchen Zhang, Chuning Xu, Zhengfan Yang, Baoyu Han and Mengxin Wang
Agriculture 2026, 16(7), 783; https://doi.org/10.3390/agriculture16070783 - 1 Apr 2026
Viewed by 293
Abstract
Phthalate esters (PAEs) are ubiquitously emerging pollutants in the environment and have a notably high detection rate in tea; they can leach out during consumption and pose potential risks to human health. However, the process of PAEs entering and accumulating in tea plants [...] Read more.
Phthalate esters (PAEs) are ubiquitously emerging pollutants in the environment and have a notably high detection rate in tea; they can leach out during consumption and pose potential risks to human health. However, the process of PAEs entering and accumulating in tea plants is undocumented. This study investigated the uptake of PAEs in tea plant seedlings, focusing on both root and foliar pathways under hydroponic conditions. In controlled indoor deposition experiments, PAEs on fresh tea leaves underwent rapid degradation within five days, with the degradation rates ranging from 66.98% to 81.69%; outdoor rates exhibited even higher degradation rates. This degradation process followed first-order kinetics. The results revealed that tea plants were capable of absorbing and translocating PAEs via roots and leaves, culminating in their accumulation in various tea plant tissues. The Root Concentration Factor (RCF) was highest for di(2-ethylhexyl) phthalate (DEHP). Conversely, the shoot concentration factor, Leaf Concentration Factor, and Translocation Factors for the leaves, stems, and roots for the PAEs were inversely related to the RCF. The moderated mediation analysis suggested that root concentration was strongly influenced by translocation-mediated pathways. However, leaf concentration was largely not mediated by the translocation pathways. These findings indicate that both root uptake and foliar deposition can contribute to PAE accumulation in tea plants, providing a basis for source apportionment and for designing targeted control strategies to reduce PAE contamination in tea production systems. Full article
(This article belongs to the Section Agricultural Product Quality and Safety)
Show Figures

Figure 1

17 pages, 3932 KB  
Article
Evaluation and Source Apportionment of Potentially Toxic Elements in the Chayuan Reservoir, Guizhou Province Using the Potential Ecological Risk Index (RI) and the PMF Model
by Xiaolin Feng, Mingfei Zhu, Meimei Yang, Pengfei Wang, Chunchun Chen, Chen Liu and Qiuhua Li
Toxics 2026, 14(4), 305; https://doi.org/10.3390/toxics14040305 - 31 Mar 2026
Viewed by 301
Abstract
Understanding the accumulation, ecological risk, and source interactions of potentially toxic elements (PTEs) in reservoir sediments is essential for protecting drinking water safety, yet such processes remain insufficiently understood in karst tea-plantation watersheds influenced by mixed anthropogenic activities. In this study, sediment cores [...] Read more.
Understanding the accumulation, ecological risk, and source interactions of potentially toxic elements (PTEs) in reservoir sediments is essential for protecting drinking water safety, yet such processes remain insufficiently understood in karst tea-plantation watersheds influenced by mixed anthropogenic activities. In this study, sediment cores collected from four sites (CY-1 to CY-4) during 2022–2024 were analyzed, and an integrated framework combining the Potential Ecological Risk Index (RI), Spearman correlation analysis, Principal Component Analysis (PCA), and Positive Matrix Factorization (PMF) was applied to evaluate contamination characteristics and quantify source contributions. The results revealed significant spatial–vertical heterogeneity of PTEs, with Zn (up to 153 mg/kg) and Cr (up to 64.6 mg/kg) showing the greatest variability, and strong co-enrichment among Cu, Zn, Pb, and Ni (r > 0.85, p < 0.01). Although the overall ecological risk was low (RI = 83.15–106.69), As contributed the highest proportion of risk (28–35%). PCA indicated distinct grouping patterns among elements, while PMF resolved three major sources: domestic sewage and agricultural runoff, agricultural and coal-combustion inputs, and industrial–traffic emissions. Notably, physicochemical parameters (TP, TN, and COD) played important roles in regulating the mobility and partitioning of PTEs by influencing nutrient-associated adsorption processes, organic matter complexation, and redox-related transformations. These findings highlight the multi-source-driven accumulation mechanisms of PTEs in karst reservoirs and provide a scientific basis for targeted pollution control and watershed management in agriculturally impacted regions. Full article
Show Figures

Figure 1

23 pages, 6865 KB  
Article
Integrating Hyperspectral Data and Deep Learning for Non-Destructive Prediction of Tea Quality Parameters Across Different Physical States of Tea Leaves and Growth Periods
by Guanzi Zhou, Haotian Ji, Rongyu Pan, Xiaowei Yang, Suhui Zhao, Lei Yang, Xiaohan Shang, Huijie Zhang, Hanchi Zhang, Xiaojun Liu, Yuanchun Ma, Xujun Zhu, Jie Jiang and Wanping Fang
Plants 2026, 15(7), 1071; https://doi.org/10.3390/plants15071071 - 31 Mar 2026
Viewed by 302
Abstract
Achieving rapid and non-destructive assessment of tea quality is essential for intelligent tea production and quality control. In this study, an integrated hyperspectral and deep learning framework was developed to estimate tea quality constituents across seasons and physical states. Samples included field fresh [...] Read more.
Achieving rapid and non-destructive assessment of tea quality is essential for intelligent tea production and quality control. In this study, an integrated hyperspectral and deep learning framework was developed to estimate tea quality constituents across seasons and physical states. Samples included field fresh leaves, dried tea leaves, and tea powder, were collected in spring, summer, and autumn. Tea polyphenols and catechins were predicted using original reflectance, harmonic features, and wavelet features fused into multi-domain indices. Extreme gradient boosting, Gaussian process regression, and convolutional neural networks (CNN) were systematically compared to construct the quality estimation models. The result showed that three-feature indices consistently outperformed two-feature indices, yielding R2 from 0.48 to 0.71. CNN achieved the best overall performance among the three modeling approaches, with its optimal accuracy obtained for tea powder samples in autumn, yielding R2 values of 0.81 and 0.76 for tea polyphenols and catechins, respectively. This framework provides an accurate, non-destructive tool for tea quality evaluation and traceability, offering technical support for intelligent agriculture and quality control across the tea industry chain. Full article
(This article belongs to the Special Issue Machine Learning for Plant Phenotyping in Crops)
Show Figures

Figure 1

21 pages, 2724 KB  
Article
Phenolic Acids and Flavonoids in Selected Commercial Organic and Conventional Tea Products Characterized by Different Degrees of Leaf Fragmentation
by Renata Kazimierczak, Klaudia Kopczyńska, Ewelina Hallmann, Alicja Ponder, Małgorzata Żebrowska-Krasuska, Martyna Jakubowska, Adrijana Filipović, Marija Banožić, Ana Mandić and Dominika Średnicka-Tober
Appl. Sci. 2026, 16(7), 3283; https://doi.org/10.3390/app16073283 - 28 Mar 2026
Viewed by 291
Abstract
Tea (Camellia sinensis L.) infusion is the second most commonly consumed drink in the world after water, valued for its sensory qualities and health-promoting properties. Tea contains a range of chemical compounds that give it specific nutritional and refreshing properties. These include [...] Read more.
Tea (Camellia sinensis L.) infusion is the second most commonly consumed drink in the world after water, valued for its sensory qualities and health-promoting properties. Tea contains a range of chemical compounds that give it specific nutritional and refreshing properties. These include alkaloids, polyphenolic compounds, carbohydrates, amino acids, enzymes, and aromatic compounds. The content of individual compounds in tea leaves is impacted by factors such as the variety, region, and cultivation method, as well as specific processing operations. The aim of the present study was to investigate the content of bioactive compounds in a selection of organic and conventional tea infusions characterized by different degrees of leaf fragmentation. The analysis of selected phenolic acids, catechins, quercetin, and caffeine in black tea and black Earl Grey tea infusions was conducted using high-performance liquid chromatography (HPLC). The study confirmed that the chemical composition of tea infusions is significantly impacted by the type of tea, cultivation practices, and form of the leaves, and revealed some previously underexplored interactions between the leaf fragmentation and cultivation system effects. From a consumer or product design perspective, organic loose-leaf Earl Grey teas appear to offer the most favourable balance of catechins, and flavonoids whereas conventional bagged black teas provide higher phenolic acid content. Full article
(This article belongs to the Special Issue Advancements in Food Nutrition and Bioactive Compounds)
Show Figures

Figure 1

14 pages, 287 KB  
Article
Screening of Bioactive Compounds from Rosa canina L. Peel and Seed Herbal Dust Using Eco-Friendly Extraction Techniques
by Valentina Masala, Carlo I. G. Tuberoso, Krunoslav Aladić, Ema Pavičić, Snježana Keleković, Vlatko Kopić and Stela Jokić
Processes 2026, 14(7), 1086; https://doi.org/10.3390/pr14071086 - 27 Mar 2026
Viewed by 322
Abstract
The rising demand for sustainable and circular approaches in the agro-industrial sector has generated interest in repurposing herbal tea residues as sources of high-value bioactive compounds. This work focusses on recovering phytochemicals from Rosa canina L. peel and seed dust (by-products of processing [...] Read more.
The rising demand for sustainable and circular approaches in the agro-industrial sector has generated interest in repurposing herbal tea residues as sources of high-value bioactive compounds. This work focusses on recovering phytochemicals from Rosa canina L. peel and seed dust (by-products of processing of herbal tea in filter tea bags) using green extraction techniques. Two environmentally friendly technologies were used: ultrasound-assisted extraction (UAE) with a sonotrode and subcritical fluid extraction (SBFE). The extracts were qualitatively profiled using (HR) LC-ESI-QToF-MS/MS and quantified using HPLC-PDA. Both by-products contained phenolic substances, including gallic acid derivatives, ellagic acid, and flavonoids such as quercetin and quercetin-3-O-glucoside (only in the peel). Additionally, Folin–Ciocalteu’s assay was used to determine Total Phenolic content (TP). The extraction efficiency was considered in terms of phenolic compound recovery and total phenolic content obtained under the respective experimental conditions. The maximum TP for SBFE was reported in samples extracted with ethanol–water (48:52) at 180 °C, producing 3876.67 GAE mg/L for peel and 1648.57 GAE mg/L for seeds. In the UAE, extraction with ethanol–water (48:52) for 10 min yielded the maximum TP of 2773.81 GAE mg/L for peel and 957.86 GAE mg/L for seeds. These findings highlight the potential of R. canina infusion by-products as long-term sources of bioactive compounds for use in nutraceutical, cosmetic, and pharmaceutical industries. Full article
(This article belongs to the Section Biological Processes and Systems)
32 pages, 19907 KB  
Article
Global Patterns of Ecosystem Transpiration and Carbon–Water Coupling: An Intercomparison of Four Partitioning Models Using Eddy Covariance Data for Sustainable Water Management
by Haonan Wang, Shanshan Yang, Wilson Kalisa, Ruiyun Zeng, Jingwen Wang, Dan Cao, Sha Zhang, Jiahua Zhang and Ayalkibet M. Seka
Sustainability 2026, 18(7), 3245; https://doi.org/10.3390/su18073245 - 26 Mar 2026
Viewed by 345
Abstract
Ecosystem transpiration (T) is the core process in terrestrial water and carbon cycles. Accurately estimating T is critical to improving evapotranspiration (ET) models and understanding global ecosystem responses to climate change. In this study, we evaluated four ET partitioning methods (TEA, Z16, L19, [...] Read more.
Ecosystem transpiration (T) is the core process in terrestrial water and carbon cycles. Accurately estimating T is critical to improving evapotranspiration (ET) models and understanding global ecosystem responses to climate change. In this study, we evaluated four ET partitioning methods (TEA, Z16, L19, and Y21) using 368 global eddy covariance (EC) sites and 15 sap flow sites. Intercomparison results showed that TEA, Z16, and Y21 maintained good consistency, whereas L19 exhibited lower agreement, primarily due to its high sensitivity to energy closure errors and poor non-linear fitting accuracy under extreme conditions. Validation against sap flow data indicated that Z16 performed best (R2 = 0.45, KGE = 0.52), followed by Y21, while TEA had the lowest accuracy due to systematic overestimation driven by unremoved persistent background soil evaporation in its training dataset. Global analysis revealed that mean annual T ranged from 213 mm yr−1 (Z16) to 294 mm yr−1 (TEA), with annual T/ET varying between 0.45 (Z16) and 0.63 (TEA). Trend analysis further showed consistent increasing trends across all four methods for both annual T (0.33–0.83 mm·yr−2) and annual T/ET (0.0015–0.0019 yr−1). Additionally, a notably stronger relationship was found between gross primary productivity (GPP) and T than between GPP and ET. Despite substantial differences in model structures, these methods effectively capture the temporal dynamics of T and the coupled relationships between ecosystem carbon and water fluxes. Our findings provide critical benchmarks for terrestrial water cycle modeling and sustainable water resource management under a changing climate. Full article
(This article belongs to the Special Issue Agrometeorology Research for Sustainable Development Goals)
Show Figures

Figure 1

26 pages, 11524 KB  
Article
Genome-Wide Analysis of the Cinnamoyl-CoA Reductase (CCR) Gene Family and Its Involvement in Lignin Biosynthesis and Stress Responses in Six Tea Plant Cultivars
by Ni Yang, Gui-Nan Li, Jia-Qi Zhang, Yuan Gao, Zhi-Hang Hu, Ai-Sheng Xiong and Jing Zhuang
Int. J. Mol. Sci. 2026, 27(7), 2957; https://doi.org/10.3390/ijms27072957 - 24 Mar 2026
Viewed by 168
Abstract
Cinnamoyl-CoA reductase (CCR) is the first rate-limiting enzyme in the lignin biosynthetic pathway in higher plants. It catalyzes the conversion of cinnamoyl-CoA into the corresponding cinnamaldehydes. Tea plant (Camellia sinensis) is a perennial woody species. Systematic identification and functional characterization of [...] Read more.
Cinnamoyl-CoA reductase (CCR) is the first rate-limiting enzyme in the lignin biosynthetic pathway in higher plants. It catalyzes the conversion of cinnamoyl-CoA into the corresponding cinnamaldehydes. Tea plant (Camellia sinensis) is a perennial woody species. Systematic identification and functional characterization of the CCR gene family in tea plants is still limited. In this study, 202 CCR genes were identified from six tea plant cultivars, and a significant expansion of the CCR gene family was observed during the domestication process from wild to cultivated tea plants. A total of 50 CsCCR genes were identified in the tea cultivar ‘Shuchazao’, and they were distributed across 13 chromosomes. Multiple sequence alignment revealed that the key catalytic motifs NWYCYGK and H-X-X-K were fully conserved in CsCCR1, CsCCR2, and CsCCR3. Phylogenetic analysis showed that CsCCR1/2/3 clustered with AtCCR1/2 and PtrCCR2, which were known to be involved in lignin biosynthesis. Transcriptome data analysis showed that CsCCR3 exhibited significantly higher transcript abundance in stems than in young, mature, and old leaves. CsCCRL9, CsCCRL33, CsCCRL34, and CsCCRL36 also showed relatively high expression levels in stem. RT-qPCR further confirmed the high expression of CsCCR3 and CsCCRL33 in stems. Furthermore, comparison of CCR members derived from tandem and segmental duplication in the tea cultivar ‘Shuchazao’ showed clear differences in Ka/Ks ratios, expression correlations, and the distribution of stress-responsive cis-acting elements. This study provides new insights into the expansion and duplication-related functional divergence of the CCR gene family in tea plant and identifies key candidate genes potentially involved in lignin biosynthesis and stress responses. Full article
Show Figures

Figure 1

40 pages, 5350 KB  
Review
Environmental and Economic Sustainability Assessment of Biological Treatment Options for Organic Wastes and Agro-Industrial By-Products: A Scoping Review
by Mauro Lamanna, Stefano Convertini, Roberto Puglisi, Daniela Losacco, Giuseppe Bari, Eustachio Tarasco and Rocco Roma
Sustainability 2026, 18(6), 3095; https://doi.org/10.3390/su18063095 - 21 Mar 2026
Viewed by 380
Abstract
The European Environment Agency believes that circular economy strategies could substantially contribute to CO2 emissions reduction. Therefore, it is necessary that the agro-industrial sector identifies sustainable technologies for side-stream management. The scope of this review was to compare the sustainability of available [...] Read more.
The European Environment Agency believes that circular economy strategies could substantially contribute to CO2 emissions reduction. Therefore, it is necessary that the agro-industrial sector identifies sustainable technologies for side-stream management. The scope of this review was to compare the sustainability of available biological treatments for by-product biomasses and organic waste. A total of 147 studies, all Life Cycle Assessments (LCAs) and Techno-Economic Analyses (TEAs), were selected through PRISMA-ScR methodology, on Scopus and Web of Science, and were bibliographically mapped on VOSviewer (Version 1.6.20) Anaerobic digestion and integrated energy recovery systems were found to be the most environmentally robust options. Integrated biorefineries and multi-product systems have emerged as the highest long-term sustainability potential, especially when process integration and co-product recovery were also implemented. Importantly, the most sustainable systems were found to have required considerable start-up investments. Thus, sustainable deployment of biological treatment technologies was clearly dependent on time-consistent policy frameworks that have been fertile to capital-intensive infrastructures via incentives and fiscal measures and that have embraced circular bioeconomy systems. Finally, this paper has demonstrated that the sustainability of biological treatments has resulted from optimal relationships between biomass characteristics, system boundaries, process integration, and market value of co-product, while no single technology has been sufficient in isolation. Full article
Show Figures

Figure 1

38 pages, 12189 KB  
Article
Insights into Elemental Migration-Enrichment Patterns and Microbial Communities in Tea Rhizosphere Soils Under Contrasting Lithological Backgrounds
by Ruyan Li, He Chang, Ping Pan, Lili Zhao, Yinxian Song, Yunhua Hou, Haowei Bian, Jiayi Gan, Shuai Li, Jibang Chen, Mengli Xie, Kun Long, Wei Zhang and Weikang Yang
Minerals 2026, 16(3), 333; https://doi.org/10.3390/min16030333 - 21 Mar 2026
Viewed by 348
Abstract
Elemental migration and enrichment are important processes influencing tea plant growth and the assembly of rhizosphere bacterial communities within the rock–soil–plant continuum. This study explores how soil parent materials (granite, quartz schist, and sericite schist) are potentially associated with these processes and their [...] Read more.
Elemental migration and enrichment are important processes influencing tea plant growth and the assembly of rhizosphere bacterial communities within the rock–soil–plant continuum. This study explores how soil parent materials (granite, quartz schist, and sericite schist) are potentially associated with these processes and their observed associations with the elemental composition of tea leaves. Exploratory statistical analyses revealed distinct, lithology-specific biogeochemical patterns that serve as a foundation for hypothesis generation. In granite soils, chlorite correlated with the mobility of Cr, Pb, Cu, Ni, Mg, and Na, coinciding with shifts in the relative abundances of Verrucomicrobia, Armatimonadetes, and Chloroflexi. In quartz schist, kaolinite exhibited notable correlations with the dynamics of Pb, Cr, Ni, Zn, and As, which were statistically linked to Planctomycetes, Proteobacteria, and Acidobacteria. Complex mineral–microbe interactions were observed in sericite schist soils, where clay minerals (e.g., chlorite, illite) were closely associated with the migration of multiple elements (Pb, K, Ca, Cd, As, Al, Fe, Zn), paralleling structural variations in communities of Actinobacteria, Planctomycetes, Chloroflexi, and Proteobacteria. Potassium (K), calcium (Ca), and manganese (Mn) showed bioaccumulation tendencies in tea leaves across all lithologies, with an enrichment capacity order of Ca > K > Mn > Mg > Na > Al. Exploratory Classification and Regression Tree (CART) analysis suggested that the migration of K, Ca, Cu, Zn, and Hg corresponded most closely with their soil concentrations. Manganese (Mn) exhibited a mineral-associated trend, with kaolinite content as a potential correlate, while cadmium (Cd) migration was statistically linked to the relative abundance of Armatimonadetes. These findings highlight potential candidate relationships between mineralogy, microbes, and elemental mobility rather than confirming causal mechanisms, emphasizing the need for further validation in larger or experimental datasets. Full article
(This article belongs to the Section Environmental Mineralogy and Biogeochemistry)
Show Figures

Figure 1

35 pages, 4208 KB  
Article
Surrogate-Assisted Techno-Economic Optimization to Reduce Saltwater Disposal via Produced-Water Valorization: A Permian Basin Case Study
by Ayann Tiam, Elie Bechara, Marshall Watson and Sarath Poda
Water 2026, 18(6), 739; https://doi.org/10.3390/w18060739 - 21 Mar 2026
Viewed by 314
Abstract
Produced-water (PW) management in the Permian Basin faces tightening injection constraints, induced seismicity concerns, and volatile saltwater disposal (SWD) costs. At the same time, chemistry-rich PW contains dissolved constituents (e.g., Li, B, and Sr) that may be valorized if SWD recovery performance and [...] Read more.
Produced-water (PW) management in the Permian Basin faces tightening injection constraints, induced seismicity concerns, and volatile saltwater disposal (SWD) costs. At the same time, chemistry-rich PW contains dissolved constituents (e.g., Li, B, and Sr) that may be valorized if SWD recovery performance and market conditions support favorable techno-economics. Here, we develop an integrated decision-support framework that couples (i) chemistry-informed surrogate models for unit process performance (recovery, effluent quality, and energy/chemical intensity) with (ii) a network-based allocation model that routes PW from sources through pretreatment, optional treatment and mineral-recovery modules (e.g., desalination and direct lithium extraction), and end-use nodes (beneficial reuse, hydraulic fracturing reuse, mineral recovery/valorization, or Class II disposal). This is a screening-level demonstration using publicly available chemistry percentiles and representative pilot-reported performance windows; it is not a site-specific facility design or a bankable TEA for a particular operator. The optimization is posed as a tri-objective problem—to maximize expected net present value, minimize SWD, and minimize an injection-risk indicator R—subject to mass balance, capacity, quality, and regulatory constraints. Uncertainty in commodity prices, recovery fractions, and operating costs is propagated via Monte Carlo scenario sampling, yielding PARETO-efficient portfolios that quantify trade-offs between profitability and risk mitigation. Using the PW chemistry percentiles reported by the Texas Produced Water Consortium for the Delaware and Midland Basins, we derive screening-level break-even lithium concentrations and illustrate how lithium-carbonate-equivalent price and recovery govern the extent to which mineral revenue can offset SWD expenditures. Comparative brine benchmarks (Smackover Formation and Salton Sea geothermal systems) contextualize the Permian’s generally lower-Li PW and highlight transferability of the workflow across brine types. The proposed framework provides a transparent, extensible basis for design matrix planning under evolving injection limits, enabling risk-aware PW management strategies that reduce disposal dependence while improving water resilience. Full article
(This article belongs to the Section Wastewater Treatment and Reuse)
Show Figures

Figure 1

Back to TopTop