Sign in to use this feature.

Years

Between: -

Subjects

remove_circle_outline
remove_circle_outline
remove_circle_outline
remove_circle_outline
remove_circle_outline
remove_circle_outline
remove_circle_outline

Journals

Article Types

Countries / Regions

Search Results (30)

Search Parameters:
Keywords = tea plantation extraction

Order results
Result details
Results per page
Select all
Export citation of selected articles as:
16 pages, 4888 KB  
Article
PGSUNet: A Phenology-Guided Deep Network for Tea Plantation Extraction from High-Resolution Remote Sensing Imagery
by Xiaoyong Zhang, Bochen Jiang and Hongrui Sun
Appl. Sci. 2025, 15(24), 13062; https://doi.org/10.3390/app152413062 - 11 Dec 2025
Viewed by 316
Abstract
Tea, recognized as one of the world’s three principal beverages, plays a significant role both economically and culturally. The accurate, large-scale mapping of tea plantations is crucial for quality control, industry regulation, and ecological assessments. Challenges arise in high-resolution imagery due to the [...] Read more.
Tea, recognized as one of the world’s three principal beverages, plays a significant role both economically and culturally. The accurate, large-scale mapping of tea plantations is crucial for quality control, industry regulation, and ecological assessments. Challenges arise in high-resolution imagery due to the spectral similarities with other land covers and the intricate nature of their boundaries. We introduce a Phenology-Guided SwinUnet (PGSUNet), a semantic segmentation network that amalgamates Swin Transformer encoding with a parallel phenology context branch. An intelligent fusion module within this network generates spatial attention informed by phenological priors, while a dual-head decoder enhances the precision through explicit edge supervision. Using Hangzhou City as the case study, PGSUNet was compared with seven mainstream models, including DeepLabV3+ and SegFormer. It achieved an F1-score of 0.84, outperforming the second-best model by 0.03, and obtained an mIoU of 84.53%, about 2% higher than the next-best result. This study demonstrates that the integration of phenological priors with edge supervision significantly improves the fine-scale extraction of agricultural land covers from complex remote sensing imagery. Full article
(This article belongs to the Section Agricultural Science and Technology)
Show Figures

Figure 1

25 pages, 16046 KB  
Article
UAV-Based Multimodal Monitoring of Tea Anthracnose with Temporal Standardization
by Qimeng Yu, Jingcheng Zhang, Lin Yuan, Xin Li, Fanguo Zeng, Ke Xu, Wenjiang Huang and Zhongting Shen
Agriculture 2025, 15(21), 2270; https://doi.org/10.3390/agriculture15212270 - 31 Oct 2025
Viewed by 662
Abstract
Tea Anthracnose (TA), caused by fungi of the genus Colletotrichum, is one of the major threats to global tea production. UAV remote sensing has been explored for non-destructive and high-efficiency monitoring of diseases in tea plantations. However, variations in illumination, background, and [...] Read more.
Tea Anthracnose (TA), caused by fungi of the genus Colletotrichum, is one of the major threats to global tea production. UAV remote sensing has been explored for non-destructive and high-efficiency monitoring of diseases in tea plantations. However, variations in illumination, background, and meteorological factors undermine the stability of cross-temporal data. Data processing and modeling complexity further limits model generalizability and practical application. This study introduced a cross-temporal, generalizable disease monitoring approach based on UAV multimodal data coupled with relative-difference standardization. In an experimental tea garden, we collected multispectral, thermal infrared, and RGB images and extracted four classes of features: spectral (Sp), thermal (Th), texture (Te), and color (Co). The Normalized Difference Vegetation Index (NDVI) was used to identify reference areas and standardize features, which significantly reduced the relative differences in cross-temporal features. Additionally, we developed a vegetation–soil relative temperature (VSRT) index, which exhibits higher temporal-phase consistency than the conventional normalized relative canopy temperature (NRCT). A multimodal optimal feature set was constructed through sensitivity analysis based on the four feature categories. For different modality combinations (single and fused), three machine learning algorithms, K-Nearest Neighbors (KNN), Support Vector Machine (SVM), and Multi-layer Perceptron (MLP), were selected to evaluate disease classification performance due to their low computational burden and ease of deployment. Results indicate that the “Sp + Th” combination achieved the highest accuracy (95.51%), with KNN (95.51%) outperforming SVM (94.23%) and MLP (92.95%). Moreover, under the optimal feature combination and KNN algorithm, the model achieved high generalizability (86.41%) on independent temporal data. This study demonstrates that fusing spectral and thermal features with temporal standardization, combined with the simple and effective KNN algorithm, achieves accurate and robust tea anthracnose monitoring, providing a practical solution for efficient and generalizable disease management in tea plantations. Full article
(This article belongs to the Section Crop Protection, Diseases, Pests and Weeds)
Show Figures

Figure 1

12 pages, 1717 KB  
Article
Land-Use Change Impacts on Glomalin-Related Soil Protein and Soil Organic Carbon in Huangshan Mountain Region
by Yuan Zhao, Yuexin Xiao, Wei Chen, Buqing Wang and Zongyao Qian
Forests 2025, 16(9), 1362; https://doi.org/10.3390/f16091362 - 22 Aug 2025
Viewed by 1207
Abstract
The glomalin-related soil protein (GRSP), a class of stable glycoproteins produced by arbuscular mycorrhizal fungi, constitute an important microbial-derived carbon pool in terrestrial ecosystems. However, the response of GRSP accumulation to land-use change and quantitative contribution to soil organic carbon (SOC) pools, as [...] Read more.
The glomalin-related soil protein (GRSP), a class of stable glycoproteins produced by arbuscular mycorrhizal fungi, constitute an important microbial-derived carbon pool in terrestrial ecosystems. However, the response of GRSP accumulation to land-use change and quantitative contribution to soil organic carbon (SOC) pools, as well as the environmental and edaphic factors controlling GRSP dynamics in different land-use systems, require further elucidation. To address these knowledge gaps, we systematically collected surface soil samples (0–20 cm depth) from 72 plots across three land-use types—tea plantations (TP; n = 24), artificial forests (AF; n = 24), and natural forests (NF; n = 24) in China’s Huangshan Mountain region between July and August 2024. GRSP was extracted via autoclaving (121 °C, 20 min) in 20 mM citrate buffer (pH 8.0), fractionated into total GRSP (T-GRSP), and quantified using the Bradford assay. Results revealed distinct patterns in soil carbon storage, with NF exhibiting the highest concentrations of both SOC (33.2 ± 8.69 g kg−1) and total GRSP (T-GRSP: 2.64 ± 0.34 g kg−1), followed by AF (SOC: 14.9 ± 2.55 g kg−1; T-GRSP: 1.42 ± 0.25 g kg−1) and TP (SOC: 7.07 ± 1.72 g kg−1; T-GRSP: 0.58 ± 0.11 g kg−1). Although absolute GRSP concentrations were lowest in TP, its proportional contribution to SOC remained consistent across land uses (TP: 8.72 ± 2.84%; AF: 9.69 ± 1.81%; NF: 8.40 ± 2.79%). Statistical analyses identified dissolved organic carbon and microbial biomass carbon as primary drivers of GRSP accumulation. Structural equation modeling further demonstrated that land-use type influenced SOC through its effects on MBC and fine-root biomass, which subsequently enhanced GRSP production. These findings demonstrate that undisturbed forest ecosystems enhance GRSP-mediated soil carbon sequestration, emphasizing the critical role of natural forest conservation in ecological sustainability. Full article
(This article belongs to the Section Forest Soil)
Show Figures

Figure 1

17 pages, 12253 KB  
Article
Research on the Yunnan Large-Leaf Tea Tree Disease Detection Model Based on the Improved YOLOv10 Network and UAV Remote Sensing
by Xiaoxue Guo, Chunhua Yang, Zejun Wang, Jie Zhang, Shihao Zhang and Baijuan Wang
Appl. Sci. 2025, 15(10), 5301; https://doi.org/10.3390/app15105301 - 9 May 2025
Cited by 3 | Viewed by 982
Abstract
In response to issues such as low resolution, severe occlusion, and insufficient fine-grained feature extraction in tea plantation disease detection, this study proposes an improved YOLOv10 network based on low-altitude unmanned aerial vehicle remote sensing for the detection of diseases in Yunnan large-leaf [...] Read more.
In response to issues such as low resolution, severe occlusion, and insufficient fine-grained feature extraction in tea plantation disease detection, this study proposes an improved YOLOv10 network based on low-altitude unmanned aerial vehicle remote sensing for the detection of diseases in Yunnan large-leaf tea trees. Through the use of a Shape-IoU optimized loss function, a Wavelet Transform Convolution to enhance the network’s Backbone, and a Histogram Transformer to optimize the network’s Neck, the detection accuracy and localization precision of disease targets were significantly improved. Through testing of common diseases, the research results indicate that, for the improved YOLOv10 network, the Box Loss, Cls Loss, and DFL Loss were reduced by 15.94%, 13.16%, and 8.82%, respectively, in the One-to-Many Head, and by 14.58%, 17.72%, and 8.89%, respectively, in the One-to-One Head. Compared to the original YOLOv10 network, precision, recall, and F1 increased by 3.4%, 10.05%, and 6.75%, respectively. The improved YOLOv10 network not only effectively addresses phenomena such as blurry images, complex backgrounds, strong illumination, and occlusion in disease detection, but also demonstrates high levels of precision and recall, thereby providing robust technological support for precision agriculture and decision-making, and to a certain extent promoting the development of agricultural modernization. Full article
(This article belongs to the Section Agricultural Science and Technology)
Show Figures

Figure 1

25 pages, 8781 KB  
Article
A Lightweight and High-Performance YOLOv5-Based Model for Tea Shoot Detection in Field Conditions
by Zhi Zhang, Yongzong Lu, Yun Peng, Mengying Yang and Yongguang Hu
Agronomy 2025, 15(5), 1122; https://doi.org/10.3390/agronomy15051122 - 30 Apr 2025
Cited by 2 | Viewed by 1262
Abstract
Accurate detection of tea shoots in field conditions is a challenging task for production management and harvesting in tea plantations. Deep learning is well-suited for performing complex tasks due to its robust feature extraction capabilities. However, low-complexity models often suffer from poor detection [...] Read more.
Accurate detection of tea shoots in field conditions is a challenging task for production management and harvesting in tea plantations. Deep learning is well-suited for performing complex tasks due to its robust feature extraction capabilities. However, low-complexity models often suffer from poor detection performance, while high-complexity models are hindered by large size and high computational cost, making them unsuitable for deployment on resource-limited mobile devices. To address this issue, a lightweight and high-performance model was developed based on YOLOv5 for detecting tea shoots in field conditions. Initially, a dataset was constructed based on 1862 images of the tea canopy shoots acquired in field conditions, and the “one bud and one leaf” region in the images was labeled. Then, YOLOv5 was modified with a parallel-branch fusion downsampling block and a lightweight feature extraction block. The modified model was then further compressed using model pruning and knowledge distillation, which led to additional improvements in detection performance. Ultimately, the proposed lightweight and high-performance model for tea shoot detection achieved precision, recall, and average precision of 81.5%, 81.3%, and 87.8%, respectively, which were 0.4%, 0.6%, and 2.0% higher than the original YOLOv5. Additionally, the model size, number of parameters, and FLOPs were reduced to 8.9 MB, 4.2 M, and 15.8 G, representing decreases of 90.6%, 90.9%, and 85.3% compared to YOLOv5. Compared to other state-of-the-art detection models, the proposed model outperforms YOLOv3-SPP, YOLOv7, YOLOv8-X, and YOLOv9-E in detection performance while maintaining minimal dependency on computational and storage resources. The proposed model demonstrates the best performance in detecting tea shoots under field conditions, offering a key technology for intelligent tea production management. Full article
(This article belongs to the Collection Advances of Agricultural Robotics in Sustainable Agriculture 4.0)
Show Figures

Figure 1

25 pages, 21982 KB  
Article
Refined Classification of Mountainous Vegetation Based on Multi-Source and Multi-Temporal High-Resolution Images
by Dan Chen, Xianyun Fei, Jing Li, Zhen Wang, Yajun Gao, Xiaowei Shen and Dongmei He
Forests 2025, 16(4), 707; https://doi.org/10.3390/f16040707 - 21 Apr 2025
Cited by 1 | Viewed by 797
Abstract
Distinguishing vegetation types from satellite images has long been a goal of remote sensing, and the combination of multi-source and multi-temporal remote sensing images for vegetation classification is currently a hot topic in the field. In species-rich mountainous environments, this study selected four [...] Read more.
Distinguishing vegetation types from satellite images has long been a goal of remote sensing, and the combination of multi-source and multi-temporal remote sensing images for vegetation classification is currently a hot topic in the field. In species-rich mountainous environments, this study selected four remote sensing images from different seasons (two aerial images, one WorldView-2 image, and one UAV image) and proposed a vegetation classification method integrating hierarchical extraction and object-oriented approaches for 11 vegetation types. This method innovatively combines the Random Forest algorithm with a decision tree model, constructing a hierarchical strategy based on multi-temporal feature combinations to progressively address the challenge of distinguishing vegetation types with similar spectral characteristics. Compared to traditional single-temporal classification methods, our approach significantly enhances classification accuracy through multi-temporal feature fusion and comparative experimental validation, offering a novel technical framework for fine-grained vegetation classification under complex land cover conditions. To validate the effectiveness of multi-temporal features, we additionally performed Random Forest classifications on the four individual remote sensing images. The results indicate that (1) for single-temporal images classification, the best classification performance was achieved with autumn images, reaching an overall classification accuracy of 72.36%, while spring images had the worst performance, with an accuracy of only 58.79%; (2) the overall classification accuracy based on multi-temporal features reached 89.10%, which is an improvement of 16.74% compared to the best single-temporal classification (autumn). Notably, the producer accuracy for species such as Quercus acutissima Carr., Tea plantations, Camellia sinensis (L.) Kuntze, Pinus taeda L., Phyllostachys spectabilis C.D.Chu et C.S.Chao, Pinus thunbergii Parl., and Castanea mollissima Blume all exceeded 90%, indicating a relatively ideal classification outcome. Full article
(This article belongs to the Section Forest Inventory, Modeling and Remote Sensing)
Show Figures

Figure 1

26 pages, 18893 KB  
Article
High-Precision Tea Plantation Mapping with Multi-Source Remote Sensing and Deep Learning
by Yicheng Zhou, Lingbo Yang, Lin Yuan, Xin Li, Yihu Mao, Jiancong Dong, Zhenyu Lin and Xianfeng Zhou
Agronomy 2024, 14(12), 2986; https://doi.org/10.3390/agronomy14122986 - 15 Dec 2024
Cited by 2 | Viewed by 3381
Abstract
Accurate mapping of tea plantations is crucial for agricultural management and economic planning, yet it poses a significant challenge due to the complex and variable nature of tea cultivation landscapes. This study presents a high-precision approach to mapping tea plantations in Anji County, [...] Read more.
Accurate mapping of tea plantations is crucial for agricultural management and economic planning, yet it poses a significant challenge due to the complex and variable nature of tea cultivation landscapes. This study presents a high-precision approach to mapping tea plantations in Anji County, Zhejiang Province, China, utilizing multi-source remote sensing data and advanced deep learning models. We employed a combination of Sentinel-2 optical imagery, Sentinel-1 synthetic aperture radar imagery, and digital elevation models to capture the rich spatial, spectral, and temporal characteristics of tea plantations. Three deep learning models, namely U-Net, SE-UNet, and Swin-UNet, were constructed and trained for the semantic segmentation of tea plantations. Cross-validation and point-based accuracy assessment methods were used to evaluate the performance of the models. The results demonstrated that the Swin-UNet model, a transformer-based approach capturing long-range dependencies and global context for superior feature extraction, outperformed the others, achieving an overall accuracy of 0.993 and an F1-score of 0.977 when using multi-temporal Sentinel-2 data. The integration of Sentinel-1 data with optical data slightly improved the classification accuracy, particularly in areas affected by cloud cover, highlighting the complementary nature of Sentinel-1 imagery for all-weather monitoring. The study also analyzed the influence of terrain factors, such as elevation, slope, and aspect, on the accuracy of tea plantation mapping. It was found that tea plantations at higher altitudes or on north-facing slopes exhibited higher classification accuracy, and that accuracy improves with increasing slope, likely due to simpler land cover types and tea’s preference for shade. The findings of this research not only provide valuable insights into the precision mapping of tea plantations but also contribute to the broader application of deep learning in remote sensing for agricultural monitoring. Full article
(This article belongs to the Special Issue Remote Sensing in Smart Agriculture)
Show Figures

Graphical abstract

19 pages, 13021 KB  
Article
GLS-YOLO: A Lightweight Tea Bud Detection Model in Complex Scenarios
by Shanshan Li, Zhe Zhang and Shijun Li
Agronomy 2024, 14(12), 2939; https://doi.org/10.3390/agronomy14122939 - 10 Dec 2024
Cited by 5 | Viewed by 1529
Abstract
The efficiency of tea bud harvesting has been greatly enhanced, and human labor intensity significantly reduced, through the mechanization and intelligent management of tea plantations. A key challenge for harvesting machinery is ensuring both the freshness of tea buds and the integrity of [...] Read more.
The efficiency of tea bud harvesting has been greatly enhanced, and human labor intensity significantly reduced, through the mechanization and intelligent management of tea plantations. A key challenge for harvesting machinery is ensuring both the freshness of tea buds and the integrity of the tea plants. However, achieving precise harvesting requires complex computational models, which can limit practical deployment. To address the demand for high-precision yet lightweight tea bud detection, this study proposes the GLS-YOLO detection model, based on YOLOv8. The model leverages GhostNetV2 as its backbone network, replacing standard convolutions with depthwise separable convolutions, resulting in substantial reductions in computational load and memory consumption. Additionally, the C2f-LC module is integrated into the improved model, combining cross-covariance fusion with a lightweight contextual attention mechanism to enhance feature recognition and extraction quality. To tackle the challenges posed by varying poses and occlusions of tea buds, Shape-IoU was employed as the loss function to improve the scoring of similarly shaped objects, reducing false positives and false negatives while improving the detection of non-rectangular or irregularly shaped objects. Experimental results demonstrate the model’s superior performance, achieving an AP@0.5 of 90.55%. Compared to the original YOLOv8, the model size was reduced by 38.85%, and the number of parameters decreased by 39.95%. This study presents innovative advances in agricultural robotics by significantly improving the accuracy and efficiency of tea bud harvesting, simplifying the configuration process for harvesting systems, and effectively lowering the technological barriers for real-world applications. Full article
(This article belongs to the Section Precision and Digital Agriculture)
Show Figures

Figure 1

24 pages, 9711 KB  
Article
Instance Segmentation of Tea Garden Roads Based on an Improved YOLOv8n-seg Model
by Weibin Wu, Zhaokai He, Junlin Li, Tianci Chen, Qing Luo, Yuanqiang Luo, Weihui Wu and Zhenbang Zhang
Agriculture 2024, 14(7), 1163; https://doi.org/10.3390/agriculture14071163 - 16 Jul 2024
Cited by 12 | Viewed by 2283
Abstract
In order to improve the efficiency of fine segmentation and obstacle removal in the road of tea plantation in hilly areas, a lightweight and high-precision DR-YOLO instance segmentation algorithm is proposed to realize environment awareness. Firstly, the road data of tea gardens in [...] Read more.
In order to improve the efficiency of fine segmentation and obstacle removal in the road of tea plantation in hilly areas, a lightweight and high-precision DR-YOLO instance segmentation algorithm is proposed to realize environment awareness. Firstly, the road data of tea gardens in hilly areas were collected under different road conditions and light conditions, and data sets were generated. YOLOv8n-seg, which has the highest operating efficiency, was selected as the basic model. The MSDA-CBAM and DR-Neck feature fusion network were added to the YOLOv8-seg model to improve the feature extraction capability of the network and the feature fusion capability and efficiency of the model. Experimental results show that, compared with the YOLOv8-seg model, the DR-YOLO model proposed in this study has 2.0% improvement in AP@0.5 and 1.1% improvement in Precision. In this study, the DR-YOLO model is pruned and quantitatively compressed, which greatly improves the model inference speed with little reduction in AP. After deploying on Jetson, compared with the YOLOv8n-seg model, the Precision of DR-YOLO is increased by 0.6%, the AP@0.5 is increased by 1.6%, and the inference time is reduced by 17.1%, which can effectively improve the level of agricultural intelligent automation and realize the efficient operation of the instance segmentation model at the edge. Full article
(This article belongs to the Section Artificial Intelligence and Digital Agriculture)
Show Figures

Figure 1

14 pages, 2596 KB  
Article
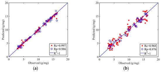
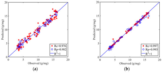
Research on the Detection Method of Organic Matter in Tea Garden Soil Based on Image Information and Hyperspectral Data Fusion
by Haowen Zhang, Qinghai He, Chongshan Yang, Min Lu, Zhongyuan Liu, Xiaojia Zhang, Xiaoli Li and Chunwang Dong
Sensors 2023, 23(24), 9684; https://doi.org/10.3390/s23249684 - 7 Dec 2023
Cited by 6 | Viewed by 1914
Abstract
Soil organic matter is an important component that reflects soil fertility and promotes plant growth. The soil of typical Chinese tea plantations was used as the research object in this work, and by combining soil hyperspectral data and image texture characteristics, a quantitative [...] Read more.
Soil organic matter is an important component that reflects soil fertility and promotes plant growth. The soil of typical Chinese tea plantations was used as the research object in this work, and by combining soil hyperspectral data and image texture characteristics, a quantitative prediction model of soil organic matter based on machine vision and hyperspectral imaging technology was built. Three methods, standard normalized variate (SNV), multisource scattering correction (MSC), and smoothing, were first used to preprocess the spectra. After that, random frog (RF), variable combination population analysis (VCPA), and variable combination population analysis and iterative retained information variable (VCPA-IRIV) algorithms were used to extract the characteristic bands. Finally, the quantitative prediction model of nonlinear support vector regression (SVR) and linear partial least squares regression (PLSR) for soil organic matter was established by combining nine color features and five texture features of hyperspectral images. The outcomes demonstrate that, in comparison to single spectral data, fusion data may greatly increase the performance of the prediction model, with MSC + VCPA-IRIV + SVR (R2C = 0.995, R2P = 0.986, RPD = 8.155) being the optimal approach combination. This work offers excellent justification for more investigation into nondestructive methods for determining the amount of organic matter in soil. Full article
(This article belongs to the Section Environmental Sensing)
Show Figures

Figure 1

17 pages, 7194 KB  
Article
Detection and Localization of Tea Bud Based on Improved YOLOv5s and 3D Point Cloud Processing
by Lixue Zhu, Zhihao Zhang, Guichao Lin, Pinlan Chen, Xiaomin Li and Shiang Zhang
Agronomy 2023, 13(9), 2412; https://doi.org/10.3390/agronomy13092412 - 19 Sep 2023
Cited by 14 | Viewed by 2647
Abstract
Currently, the detection and localization of tea buds within the unstructured tea plantation environment are greatly challenged due to their small size, significant morphological and growth height variations, and dense spatial distribution. To solve this problem, this study applies an enhanced version of [...] Read more.
Currently, the detection and localization of tea buds within the unstructured tea plantation environment are greatly challenged due to their small size, significant morphological and growth height variations, and dense spatial distribution. To solve this problem, this study applies an enhanced version of the YOLOv5 algorithm for tea bud detection in a wide field of view. Also, small-size tea bud localization based on 3D point cloud technology is used to facilitate the detection of tea buds and the identification of picking points for a renowned tea-picking robot. To enhance the YOLOv5 network, the Efficient Channel Attention Network (ECANet) module and Bi-directional Feature Pyramid Network (BiFPN) are incorporated. After acquiring the 3D point cloud for the region of interest in the detection results, the 3D point cloud of the tea bud is extracted using the DBSCAN clustering algorithm to determine the 3D coordinates of the tea bud picking points. Principal component analysis is then utilized to fit the minimum outer cuboid to the 3D point cloud of tea buds, thereby solving for the 3D coordinates of the picking points. To evaluate the effectiveness of the proposed algorithm, an experiment is conducted using a collected tea image test set, resulting in a detection precision of 94.4% and a recall rate of 90.38%. Additionally, a field experiment is conducted in a tea experimental field to assess localization accuracy, with mean absolute errors of 3.159 mm, 6.918 mm, and 7.185 mm observed in the x, y, and z directions, respectively. The average time consumed for detection and localization is 0.129 s, which fulfills the requirements of well-known tea plucking robots in outdoor tea gardens for quick identification and exact placement of small-sized tea shoots with a wide field of view. Full article
(This article belongs to the Collection Advances of Agricultural Robotics in Sustainable Agriculture 4.0)
Show Figures

Figure 1

14 pages, 9814 KB  
Article
Integrated Learning-Based Pest and Disease Detection Method for Tea Leaves
by Yinkai Wang, Renjie Xu, Di Bai and Haifeng Lin
Forests 2023, 14(5), 1012; https://doi.org/10.3390/f14051012 - 14 May 2023
Cited by 26 | Viewed by 4326
Abstract
Currently, the detection of tea pests and diseases remains a challenging task due to the complex background and the diverse spot patterns of tea leaves. Traditional methods of tea pest detection mainly rely on the experience of tea farmers and experts in specific [...] Read more.
Currently, the detection of tea pests and diseases remains a challenging task due to the complex background and the diverse spot patterns of tea leaves. Traditional methods of tea pest detection mainly rely on the experience of tea farmers and experts in specific fields, which is complex and inefficient and can easily lead to misclassification and omission of diseases. Currently, a single detection model is often used for tea pest and disease identification; however, its learning and perception capabilities are insufficient to complete target detection of pests and diseases in complex tea garden environments. To address the problem that existing target detection algorithms are difficult to identify in the complex environment of tea plantations, an integrated learning-based pest detection method is proposed to detect one disease (Leaf blight) and one pest (Apolygus lucorμm), and to perform adaptive learning and extraction of tea pests and diseases. In this paper, the YOLOv5 weakly supervised model is selected, and it is found through experiments that the GAM attention mechanism’s introduction on the basis of YOLOv5’s network can better identify the Apolygus lucorμm; the introduction of CBAM attention mechanism significantly enhances the effect of identifying Leaf blight. After integrating the two modified YOLOv5 models, the prediction results were processed using the weighted box fusion (WBF) algorithm. The integrated model made full use of the complementary advantages among the models, improved the feature extraction ability of the model and enhanced the detection capability of the model. The experimental findings demonstrate that the tea pest detection algorithm effectively enhances the detection ability of tea pests and diseases with an average accuracy of 79.3%. Compared with the individual models, the average accuracy improvement was 8.7% and 9.6%, respectively. The integrated algorithm, which may serve as a guide for tea disease diagnosis in field environments, has improved feature extraction capabilities, can extract more disease feature information, and better balances the model’s recognition accuracy and model complexity. Full article
(This article belongs to the Special Issue Artificial Intelligence and Machine Learning Applications in Forestry)
Show Figures

Figure 1

14 pages, 1540 KB  
Article
Effects of Shellfish and Organic Fertilizer Amendments on Soil Nutrients and Tea Yield and Quality
by Wenbin Liu, Shiyu Cui, Jiawei Ma, Dongtao Wu, Zhengqian Ye and Dan Liu
Toxics 2023, 11(3), 262; https://doi.org/10.3390/toxics11030262 - 12 Mar 2023
Cited by 10 | Viewed by 4673
Abstract
Soil acidification in tea plantations leads to an excessive heavy metal content in tea, decreasing its yield and quality. How to apply shellfish and organic fertilizers to improve soil and ensure the safe production of tea is still not clear. A two-year field [...] Read more.
Soil acidification in tea plantations leads to an excessive heavy metal content in tea, decreasing its yield and quality. How to apply shellfish and organic fertilizers to improve soil and ensure the safe production of tea is still not clear. A two-year field experiment was conducted in tea plantations in which the soil was characterized by a pH of 4.16 and concentrations of lead (Pb) (85.28 mg/kg) and cadmium (Cd) (0.43 mg/kg) exceeding the standard. We used shellfish amendments (750, 1500, 2250 kg/ha) and organic fertilizers (3750, 7500 kg/ha) to amend the soils. The experimental results showed that compared with the treatment without any amendment (CK), the soil pH increased by 0.46 on average; the soil available nitrogen, phosphorus, and potassium contents increased by 21.68%, 19.01%, and 17.51% respectively; and the soil available Pb, Cd, Cr, and As contents decreased by 24.64%, 24.36%, 20.83%, and 26.39%, respectively. In comparison to CK, the average yield of tea also increased by 90.94 kg/ha; tea polyphenols, free amino acids, caffeine, and water extract increased by 9.17%, 15.71%, 7.54%, and 5.27%, respectively; and the contents of Pb, Cd, As, and Cr in the tea decreased significantly (p < 0.05) by 29.44–61.38%, 21.43–61.38%, 10.43–25.22%, and 10.00–33.33%, respectively. The greatest effects on all parameters occurred with the largest amendment of both shellfish (2250 kg/ha) and organic fertilizer (7500 kg/ha) combined. This finding suggests that the optimized amendment of shellfish could be used as a technical measure to improve the health quality of both soil and tea in acidified tea plantations in the future. Full article
(This article belongs to the Special Issue Quality Control and Safety Management of Tea)
Show Figures

Figure 1

22 pages, 5900 KB  
Article
Identification of Rubber Plantations in Southwestern China Based on Multi-Source Remote Sensing Data and Phenology Windows
by Guokun Chen, Zicheng Liu, Qingke Wen, Rui Tan, Yiwen Wang, Jingjing Zhao and Junxin Feng
Remote Sens. 2023, 15(5), 1228; https://doi.org/10.3390/rs15051228 - 23 Feb 2023
Cited by 17 | Viewed by 4731
Abstract
The continuous transformation from biodiverse natural forests and mixed-use farms into monoculture rubber plantations may lead to a series of hazards, such as natural forest habitats fragmentation, biodiversity loss, as well as drought and water shortage. Therefore, understanding the spatial distribution of rubber [...] Read more.
The continuous transformation from biodiverse natural forests and mixed-use farms into monoculture rubber plantations may lead to a series of hazards, such as natural forest habitats fragmentation, biodiversity loss, as well as drought and water shortage. Therefore, understanding the spatial distribution of rubber plantations is crucial to regional ecological security and a sustainable economy. However, the spectral characteristics of rubber tree is easily mixed with other vegetation such as natural forests, tea plantations, orchards and shrubs, which brings difficulty and uncertainty to regional scale identification. In this paper, we proposed a classification method combines multi-source phenology characteristics and random forest algorithm. On the basis of optimization of input samples and features, phenological spectrum, brightness, greenness, wetness, fractional vegetation cover, topography and other features of rubber were extracted. Five classification schemes were constructed for comparison, and the one with the highest classification accuracy was used to identify the spatial pattern of rubber plantations in 2014, 2016, 2018 and 2020 in Xishuangbanna. The results show that: (1) the identification results are in consistent with field survey and rubber plantations area generally shows a first increasing and then decreasing trend; (2) the Overall Accuracy (OA) and Kappa coefficient of the proposed method are 90.0% and 0.86, respectively, with a Producer’s Accuracy (PA) and User’s Accuracy (UA) of 95.2% and 88.8%, respectively; (3) cross-validation was employed to analyze the accuracy evaluation indexes of the identification results: both PA and UA of the rubber plantations stay stable over 85%, with the minimum fluctuation and best stability of UA value. The OA value and Kappa coefficient were stable in the range of 0.88–0.90 and 0.84–0.86, respectively. The method proposed provides reliable results on spatial distribution of rubber, and is potentially transferable to other mountainous areas as a robust approach for rapid monitoring of rubber plantations. Full article
(This article belongs to the Special Issue Remote Sensing of Land Use and Land Change with Google Earth Engine)
Show Figures

Figure 1

20 pages, 4960 KB  
Article
Detection and Correction of Abnormal IoT Data from Tea Plantations Based on Deep Learning
by Ruiqing Wang, Jinlei Feng, Wu Zhang, Bo Liu, Tao Wang, Chenlu Zhang, Shaoxiang Xu, Lifu Zhang, Guanpeng Zuo, Yixi Lv, Zhe Zheng, Yu Hong and Xiuqi Wang
Agriculture 2023, 13(2), 480; https://doi.org/10.3390/agriculture13020480 - 17 Feb 2023
Cited by 8 | Viewed by 3018
Abstract
This paper proposes a data anomaly detection and correction algorithm for the tea plantation IoT system based on deep learning, aiming at the multi-cause and multi-feature characteristics of abnormal data. The algorithm is based on the Z-score standardization of the original data and [...] Read more.
This paper proposes a data anomaly detection and correction algorithm for the tea plantation IoT system based on deep learning, aiming at the multi-cause and multi-feature characteristics of abnormal data. The algorithm is based on the Z-score standardization of the original data and the determination of sliding window size according to the sampling frequency. First, we construct a convolutional neural network (CNN) model to extract abnormal data. Second, based on the support vector machine (SVM) algorithm, the Gaussian radial basis function (RBF) and one-to-one (OVO) multiclassification method are used to classify the abnormal data. Then, after extracting the time points of abnormal data, a long short-term memory network is established for prediction with multifactor historical data. The predicted values are used to replace and correct the abnormal data. When multiple consecutive abnormal values are detected, a faulty sensor judgment is given, and the specific faulty sensor location is output. The results show that the accuracy rate and micro-specificity of abnormal data detection for the CNN-SVM model are 3–4% and 20–30% higher than those of the traditional CNN model, respectively. The anomaly detection and correction algorithm for tea plantation data established in this paper provides accurate performance. Full article
(This article belongs to the Special Issue Sensors Applied to Agricultural Products)
Show Figures

Figure 1

Back to TopTop