Effects of Shellfish and Organic Fertilizer Amendments on Soil Nutrients and Tea Yield and Quality
Abstract
1. Introduction
2. Materials and Methods
2.1. Experimental Area and Soil Properties
2.2. Experimental Materials
2.3. Experimental Design
2.4. Sampling
2.5. Determination of Soil Physical and Chemical Properties
2.6. Determination of Tea Yield, Quality, and Heavy Metals
2.7. Statistical Analysis
3. Results
3.1. Soil Physical and Chemical Properties
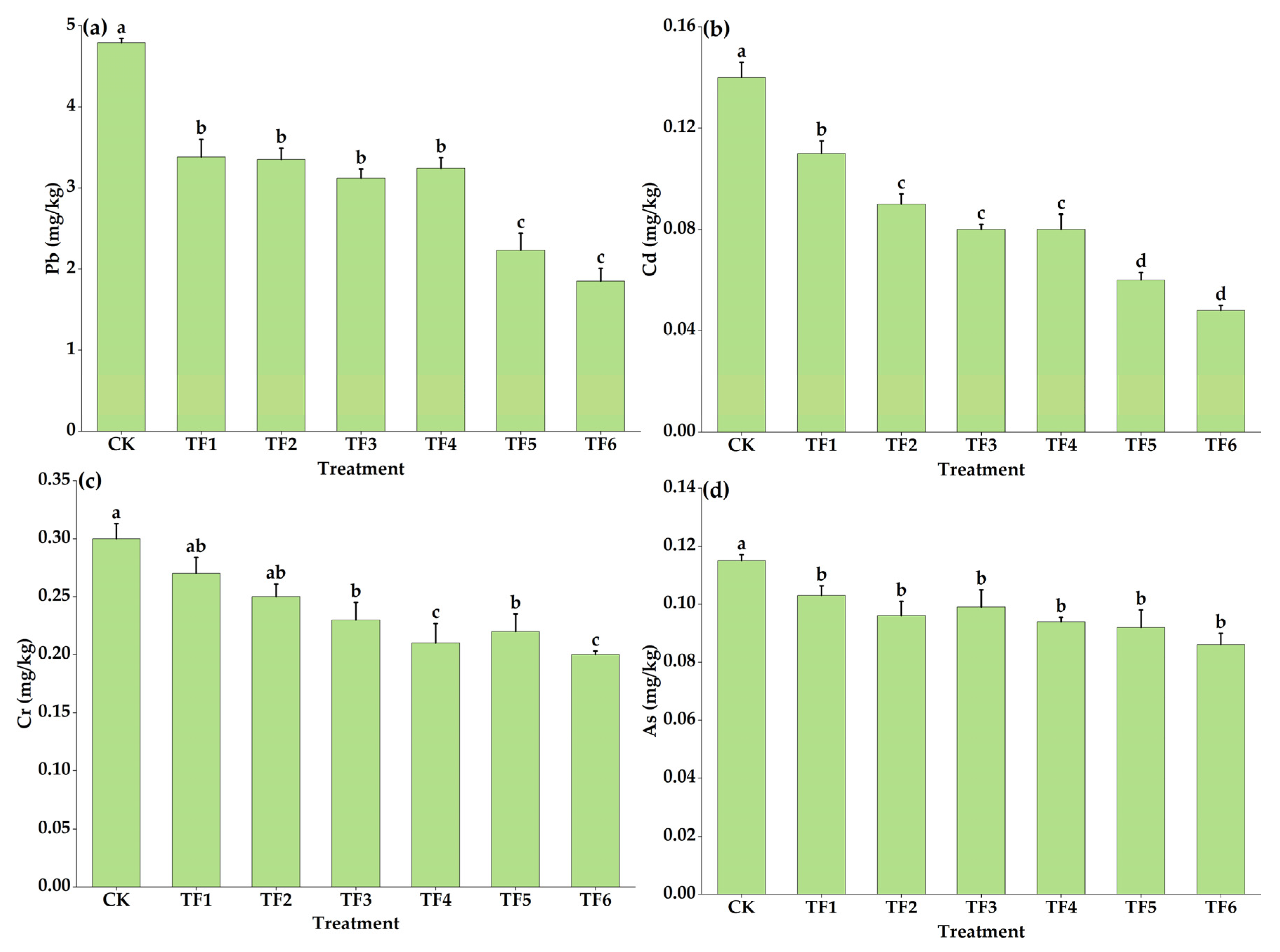
3.2. Soil Heavy Metals
3.3. Soil Available Heavy Metals
3.4. Tea Yield
3.5. Growth and Characteristics of Tea Leaves
3.6. Tea Quality
3.7. Tea Heavy Metals
4. Discussion
5. Conclusions
Author Contributions
Funding
Institutional Review Board Statement
Informed Consent Statement
Data Availability Statement
Conflicts of Interest
References
- Xie, S.; Yang, F.; Feng, H.; Yu, Z.; Wei, X.; Liu, C.; Wei, C. Potential to Reduce Chemical Fertilizer Application in Tea Plantations at Various Spatial Scales. Int. J. Environ. Res. Public Health 2022, 19, 5243. [Google Scholar] [CrossRef] [PubMed]
- Basker, A.; Kirkman, J.H.; Macgregor, A.N. Changes in potassium availability and other soil properties due to soil ingestion by earthworms. Biol. Fertil. Soils 1994, 17, 154–158. [Google Scholar] [CrossRef]
- Yan, P.; Wu, L.; Wang, D.; Fu, J.; Shen, C.; Li, X.; Zhang, L.; Zhang, L.; Fan, L.; Wenyan, H. Soil acidification in Chinese tea plantations. Sci. Total Environ. 2020, 715, 136963. [Google Scholar] [CrossRef] [PubMed]
- Zhang, M.; Fang, L. Tea Plantation–Induced Activation of Soil Heavy Metals. Commun. Soil Sci. Plant Anal. 2007, 38, 1467–1478. [Google Scholar] [CrossRef]
- Zhang, J.; Yang, R.; Li, Y.C.; Peng, Y.; Wen, X.; Ni, X. Distribution, accumulation, and potential risks of heavy metals in soil and tea leaves from geologically different plantations. Ecotoxicol. Environ. Saf. 2020, 195, 110475. [Google Scholar] [CrossRef] [PubMed]
- Gan, C.-d.; Jia, Y.-b.; Yang, J.-y. Remediation of fluoride contaminated soil with nano-hydroxyapatite amendment: Response of soil fluoride bioavailability and microbial communities. J. Hazard. Mater. 2021, 405, 124694. [Google Scholar] [CrossRef]
- Dai, Z.; Zhang, X.; Tang, C.; Muhammad, N.; Wu, J.; Brookes, P.C.; Xu, J. Potential role of biochars in decreasing soil acidification—A critical review. Sci. Total Environ. 2017, 581–582, 601–611. [Google Scholar] [CrossRef]
- Feng, H.; Cheng, J. Whole—Process Risk Management of Soil Amendments for Remediation of Heavy Metals in Agricultural Soil—A Review. Int. J. Environ. Res. Public Health 2023, 20, 1869. [Google Scholar] [CrossRef]
- Dimirkou, A.; Ioannou, Z.; Golia, E.E.; Danalatos, N.; Mitsios, I.K. Sorption of Cadmium and Arsenic by Goethite and Clinoptilolite. Commun. Soil Sci. Plant Anal. 2009, 40, 259–272. [Google Scholar] [CrossRef]
- Mohan, D.; Pittman, C.U.; Bricka, M.; Smith, F.; Yancey, B.; Mohammad, J.; Steele, P.H.; Alexandre-Franco, M.F.; Gómez-Serrano, V.; Gong, H. Sorption of arsenic, cadmium, and lead by chars produced from fast pyrolysis of wood and bark during bio-oil production. J. Colloid Interface Sci. 2007, 310, 57–73. [Google Scholar] [CrossRef]
- Deng, A.; Wu, X.; Su, C.; Zhao, M.; Wu, B.; Luo, J. Enhancement of soil microstructural stability and alleviation of aluminium toxicity in acidic latosols via alkaline humic acid fertiliser amendment. Chem. Geol. 2021, 583, 120473. [Google Scholar] [CrossRef]
- Wan Mahari, W.A.; Waiho, K.; Azwar, E.; Fazhan, H.; Peng, W.; Ishak, S.D.; Tabatabaei, M.; Yek, P.N.Y.; Almomani, F.; Aghbashlo, M.; et al. A state-of-the-art review on producing engineered biochar from shellfish waste and its application in aquaculture wastewater treatment. Chemosphere 2022, 288, 132559. [Google Scholar] [CrossRef] [PubMed]
- Zeng, T.; Guo, J.; Li, Y.; Wang, G. Oyster shell amendment reduces cadmium and lead availability and uptake by rice in contaminated paddy soil. Environ. Sci. Pollut. Res. 2022, 29, 44582–44596. [Google Scholar] [CrossRef]
- Palansooriya, K.N.; Shaheen, S.M.; Chen, S.S.; Tsang, D.C.W.; Hashimoto, Y.; Hou, D.; Bolan, N.S.; Rinklebe, J.; Ok, Y.S. Soil amendments for immobilization of potentially toxic elements in contaminated soils: A critical review. Environ. Int. 2020, 134, 105046. [Google Scholar] [CrossRef] [PubMed]
- Shaheen, S.M.; Hooda, P.S.; Tsadilas, C.D. Opportunities and challenges in the use of coal fly ash for soil improvements—A review. J. Environ. Manage. 2014, 145, 249–267. [Google Scholar] [CrossRef]
- Liu, J.; Shu, A.; Song, W.; Shi, W.; Li, M.; Zhang, W.; Li, Z.; Liu, G.; Yuan, F.; Zhang, S.; et al. Long-term organic fertilizer substitution increases rice yield by improving soil properties and regulating soil bacteria. Geoderma 2021, 404, 115287. [Google Scholar] [CrossRef]
- Maltas, A.; Charles, R.; Jeangros, B.; Sinaj, S. Effect of organic fertilizers and reduced-tillage on soil properties, crop nitrogen response and crop yield: Results of a 12-year experiment in Changins, Switzerland. Soil Tillage Res. 2013, 126, 11–18. [Google Scholar] [CrossRef]
- Ji, L.; Ni, K.; Wu, Z.; Zhang, J.; Yi, X.; Yang, X.; Ling, N.; You, Z.; Guo, S.; Ruan, J. Effect of organic substitution rates on soil quality and fungal community composition in a tea plantation with long-term fertilization. Biol. Fertil. Soils 2020, 56, 633–646. [Google Scholar] [CrossRef]
- Schofield, R.K.; Taylor, A.W. The Measurement of Soil pH. Soil Sci. Soc. Am. J. 1955, 19, 164–167. [Google Scholar] [CrossRef]
- Bray, R.H.; Kurtz, L.T. Determination of total, organic, and available forms of phosphorus in soils. Soil Sci. 1945, 59, 39–46. [Google Scholar] [CrossRef]
- Roberts, T.L.; Ross, W.J.; Norman, R.J.; Slaton, N.A.; Wilson, J.C.E. Predicting Nitrogen Fertilizer Needs for Rice in Arkansas Using Alkaline Hydrolyzable-Nitrogen. Soil Sci. Soc. Am. J. 2011, 75, 1161–1171. [Google Scholar] [CrossRef]
- Leaf, A.L. Determination of Available Potassium in Soils of Forest Plantations. Soil Sci. Soc. Am. J. 1958, 22, 458–459. [Google Scholar] [CrossRef]
- Huang, T.; Yang, N.; Lu, C.; Qin, X.; Siddique, K.H.M. Soil organic carbon, total nitrogen, available nutrients, and yield under different straw returning methods. Soil Tillage Res. 2021, 214, 105171. [Google Scholar] [CrossRef]
- Alaboudi, K.A.; Ahmed, B.; Brodie, G. Effect of biochar on Pb, Cd and Cr availability and maize growth in artificial contaminated soil. Ann. Agric. Sci. 2019, 64, 95–102. [Google Scholar] [CrossRef]
- Huang, R.-Q.; Gao, S.-F.; Wang, W.-L.; Staunton, S.; Wang, G. Soil arsenic availability and the transfer of soil arsenic to crops in suburban areas in Fujian Province, southeast China. Sci. Total Environ. 2006, 368, 531–541. [Google Scholar] [CrossRef] [PubMed]
- Wen, B.; Zhang, X.; Ren, S.; Duan, Y.; Zhang, Y.; Zhu, X.; Wang, Y.; Ma, Y.; Fang, W. Characteristics of soil nutrients, heavy metals and tea quality in different intercropping patterns. Agrofor. Syst. 2020, 94, 963–974. [Google Scholar] [CrossRef]
- Ma, L.; Yang, X.; Shi, Y.; Yi, X.; Ji, L.; Cheng, Y.; Ni, K.; Ruan, J. Response of tea yield, quality and soil bacterial characteristics to long-term nitrogen fertilization in an eleven-year field experiment. Appl. Soil Ecol. 2021, 166, 103976. [Google Scholar] [CrossRef]
- Bremner, J.M. Nitrogen-Total. In Methods of Soil Analysis; SSSA Book Series; Soil Science Society of America: Madison, WI, USA, 1996; pp. 1085–1121. [Google Scholar]
- Bennett, W.F.; Stanford, G.; Dumenil, L. Nitrogen, Phosphorus, and Potassium Content of the Corn Leaf and Grain as Related to Nitrogen Fertilization and Yield. Soil Sci. Soc. Am. J. 1953, 17, 252–258. [Google Scholar] [CrossRef]
- Venkatesan, S.; Murugesan, S.; Senthur Pandian, V.K.; Ganapathy, M.N.K. Impact of sources and doses of potassium on biochemical and greenleaf parameters of tea. Food Chem. 2005, 90, 535–539. [Google Scholar] [CrossRef]
- Tang, S.; Zhou, J.; Pan, W.; Sun, T.; Liu, M.; Tang, R.; Li, Z.; Ma, Q.; Wu, L. Effects of combined application of nitrogen, phosphorus, and potassium fertilizers on tea (Camellia sinensis) growth and fungal community. Appl. Soil Ecol. 2023, 181, 104661. [Google Scholar] [CrossRef]
- Zhong, W.-S.; Ren, T.; Zhao, L.-J. Determination of Pb (Lead), Cd (Cadmium), Cr (Chromium), Cu (Copper), and Ni (Nickel) in Chinese tea with high-resolution continuum source graphite furnace atomic absorption spectrometry. J. Food Drug Anal. 2016, 24, 46–55. [Google Scholar] [CrossRef]
- Yan, P.; Shen, C.; Fan, L.; Li, X.; Zhang, L.; Zhang, L.; Han, W. Tea planting affects soil acidification and nitrogen and phosphorus distribution in soil. Griculture Ecosyst. Environ. 2018, 254, 20–25. [Google Scholar] [CrossRef]
- Ok, Y.S.; Oh, S.-E.; Ahmad, M.; Hyun, S.; Kim, K.-R.; Moon, D.H.; Lee, S.S.; Lim, K.J.; Jeon, W.-T.; Yang, J.E. Effects of natural and calcined oyster shells on Cd and Pb immobilization in contaminated soils. Environ. Earth Sci. 2010, 61, 1301–1308. Available online: https://10.1007/s12665-010-0674-4 (accessed on 9 March 2023). [CrossRef]
- He, K.; He, G.; Wang, C.; Zhang, H.; Xu, Y.; Wang, S.; Kong, Y.; Zhou, G.; Hu, R. Biochar amendment ameliorates soil properties and promotes Miscanthus growth in a coastal saline-alkali soil. Appl. Soil Ecol. 2020, 155, 103674. [Google Scholar] [CrossRef]
- Han, T.; Cai, A.; Liu, K.; Huang, J.; Wang, B.; Li, D.; Qaswar, M.; Feng, G.; Zhang, H. The links between potassium availability and soil exchangeable calcium, magnesium, and aluminum are mediated by lime in acidic soil. J. Soils Sediments 2019, 19, 1382–1392. [Google Scholar] [CrossRef]
- Farrar, M.B.; Wallace, H.M.; Xu, C.-Y.; Joseph, S.; Dunn, P.K.; Nguyen, T.T.N.; Bai, S.H. Biochar co-applied with organic amendments increased soil-plant potassium and root biomass but not crop yield. J. Soils Sediments 2021, 21, 784–798. [Google Scholar] [CrossRef]
- Yang, X.; Huang, Y.; Liu, K.; Zheng, C. Effects of oyster shell powder on leaching characteristics of nutrients in low-fertility latosol in South China. Environ. Sci. Pollut. Res. 2022, 29, 56200–56214. [Google Scholar] [CrossRef]
- Fu, Y.; Luo, Y.; Auwal, M.; Singh, B.P.; Van Zwieten, L.; Xu, J. Biochar accelerates soil organic carbon mineralization via rhizodeposit-activated Actinobacteria. Biol. Fertil. Soils 2022, 58, 565–577. [Google Scholar] [CrossRef]
- Luo, X.; Liu, G.; Xia, Y.; Chen, L.; Jiang, Z.; Zheng, H.; Wang, Z. Use of biochar-compost to improve properties and productivity of the degraded coastal soil in the Yellow River Delta, China. J. Soils Sediments 2017, 17, 780–789. [Google Scholar] [CrossRef]
- Lin, Z.-H.; Qi, Y.-P.; Chen, R.-B.; Zhang, F.-Z.; Chen, L.-S. Effects of phosphorus supply on the quality of green tea. Food Chem. 2012, 130, 908–914. [Google Scholar] [CrossRef]
- Venkatesan, S.; Ganapathy, M.N.K. Impact of nitrogen and potassium fertiliser application on quality of CTC teas. Food Chem. 2004, 84, 325–328. [Google Scholar] [CrossRef]
- Gu, S.; Hu, Q.; Cheng, Y.; Bai, L.; Liu, Z.; Xiao, W.; Gong, Z.; Wu, Y.; Feng, K.; Deng, Y.; et al. Application of organic fertilizer improves microbial community diversity and alters microbial network structure in tea (Camellia sinensis) plantation soils. Soil Tillage Res. 2019, 195, 104356. [Google Scholar] [CrossRef]
- Sun, L.; Fan, K.; Wang, L.; Ma, D.; Wang, Y.; Kong, X.; Li, H.; Ren, Y.; Ding, Z. Correlation among Metabolic Changes in Tea Plant Camellia sinensis (L.) Shoots, Green Tea Quality and the Application of Cow Manure to Tea Plantation Soils. Molecules 2021, 26, 6180. [Google Scholar] [CrossRef] [PubMed]
- Wang, L.; Butterly, C.R.; Chen, Q.; Mu, Z.; Wang, X.; Xi, Y.; Zhang, J.; Xiao, X. Surface Amendments Can Ameliorate Subsoil Acidity in Tea Garden Soils of High-Rainfall Environments. Pedosphere 2016, 26, 180–191. [Google Scholar] [CrossRef]
- Duan, Y.; Shen, J.; Zhang, X.; Wen, B.; Ma, Y.; Wang, Y.; Fang, W.; Zhu, X. Effects of soybean–tea intercropping on soil-available nutrients and tea quality. Acta. Physiol. Plant. 2019, 41, 140. [Google Scholar] [CrossRef]
- Chen, Y.; Wang, F.; Wu, Z.; Jiang, F.; Yu, W.; Yang, J.; Chen, J.; Jian, G.; You, Z.; Zeng, L. Effects of Long-Term Nitrogen Fertilization on the Formation of Metabolites Related to Tea Quality in Subtropical China. Metabolites 2021, 11, 146. [Google Scholar] [CrossRef]
- Zhou, B.; Chen, Y.; Zeng, L.; Cui, Y.; Li, J.; Tang, H.; Liu, J.; Tang, J. Soil nutrient deficiency decreases the postharvest quality-related metabolite contents of tea (Camellia sinensis (L.) Kuntze) leaves. Food Chem. 2022, 377, 132003. [Google Scholar] [CrossRef]
- Tao, C.; Song, Y.; Chen, Z.; Zhao, W.; Ji, J.; Shen, N.; Ayoko, G.A.; Frost, R.L. Geological load and health risk of heavy metals uptake by tea from soil: What are the significant influencing factors? Catena 2021, 204, 105419. [Google Scholar] [CrossRef]
- Zheng, X.; Zhang, B.; Lai, W.; Wang, M.; Tao, X.; Zou, M.; Zhou, J.; Lu, G. Application of bovine bone meal and oyster shell meal to heavy metals polluted soil: Vegetable safety and bacterial community. Chemosphere 2023, 313, 137501. [Google Scholar] [CrossRef] [PubMed]
- Bi, D.; Yuan, G.; Wei, J.; Xiao, L.; Feng, L. Conversion of Oyster Shell Waste to Amendment for Immobilising Cadmium and Arsenic in Agricultural Soil. Bull. Environ. Contam. Toxicol. 2020, 105, 277–282. [Google Scholar] [CrossRef] [PubMed]
- Hu, X.; Huang, X.; Zhao, H.; Liu, F.; Wang, L.; Zhao, X.; Gao, P.; Li, X.; Ji, P. Possibility of using modified fly ash and organic fertilizers for remediation of heavy-metal-contaminated soils. J. Clean. Prod. 2021, 284, 124713. [Google Scholar] [CrossRef]
- Yi, X.; Ji, L.; Hu, Z.; Yang, X.; Li, H.; Jiang, Y.; He, T.; Yang, Y.; Ni, K.; Ruan, J. Organic amendments improved soil quality and reduced ecological risks of heavy metals in a long-term tea plantation field trial on an Alfisol. Sci. Total Environ. 2022, 838, 156017. [Google Scholar] [CrossRef] [PubMed]



| Index | pH | Available N | Available P | Available K | Organic Matter | Available Pb | Available Cd | Available Cr | Available As | Total Cd | Total Pb |
|---|---|---|---|---|---|---|---|---|---|---|---|
| Content | 4.16 | 50.46 mg/kg | 75.26 mg/kg | 110.64 mg/kg | 30.14 g/kg | 20.95 mg/kg | 0.14 mg/kg | 0.15 mg/kg | 0.12 mg/kg | 0.43 mg/kg | 85.28 mg/kg |
| Experimental Material | Pb | Cd | Cr | As | Hg |
|---|---|---|---|---|---|
| Shellfish amendment | 10.80 | 0.37 | 3.33 | 1.72 | 0.06 |
| Organic fertilizer | 13.64 | 0.26 | 10.26 | 4.24 | 0.26 |
| Treatment | Dosage of Shellfish Amendment kg/ha | Dosage of Organic Fertilizer kg/ha |
|---|---|---|
| CK | 0 | 0 |
| TF1 | 750 | 3750 |
| TF2 | 750 | 7500 |
| TF3 | 1500 | 3750 |
| TF4 | 1500 | 7500 |
| TF5 | 2250 | 3750 |
| TF6 | 2250 | 7500 |
| Treatment | pH | Available Phosphorus (mg/kg) | Available Potassium (mg/kg) | Organic Matter (g/kg) | Available Nitrogen (mg/kg) |
|---|---|---|---|---|---|
| CK | 4.08 ± 0.24 b | 83.81 ± 5.42 b | 118.33 ± 16.43 b | 37.15 ± 3.21 b | 171.50 ± 1.71 c |
| TF1 | 4.36 ± 0.31 b | 90.21 ± 7.40 ab | 130.66 ± 11.02 b | 40.13 ± 2.46 b | 189.45 ± 2.37 c |
| TF2 | 4.62 ± 0.26 a | 96.66 ± 22.91 ab | 125.66 ± 11.91 b | 43.68 ± 1.85 a | 212.63 ± 17.06 ab |
| TF3 | 4.48 ± 0.33 b | 105.35 ± 19.05 a | 120.33 ± 14.75 b | 39.18 ± 2.08 b | 204.42 ± 27.91 b |
| TF4 | 4.55 ± 0.25 a | 106.47 ± 25.83 a | 141.00 ± 10.54 a | 42.51 ± 3.15 ab | 209.39 ± 6.12 b |
| TF5 | 4.53 ± 0.31 b | 91.19 ± 9.84 ab | 156.33 ± 13.23 a | 38.23 ± 1.72 b | 202.16 ± 28.83 b |
| TF6 | 4.68 ± 0.38 a | 108.59 ± 19.93 a | 160.33 ± 12.74 a | 44.28 ± 2.12 a | 234.07 ± 10.05 a |
| Treatment | 100-Bud Weight (g) | Moisture Content of New Shoots | Budding Density (m2) | Fresh Leaves Yield (kg/ha) |
|---|---|---|---|---|
| CK | 22.10 ± 0.73 b | 0.51 ± 0.02 a | 208.54 ± 9.24 c | 460.42 ± 24.65 c |
| TF1 | 22.86 ± 1.52 b | 0.51 ± 0.01 a | 211.33 ± 4.26 c | 483.66 ± 31.14 c |
| TF2 | 25.36 ± 1.26 a | 0.51 ± 0.01 a | 233.33 ± 5.02 ab | 561.86 ± 29.56 ab |
| TF3 | 23.96 ± 1.45 b | 0.53 ± 0.02 a | 227.66 ± 2.51 b | 545.62 ± 33.07 b |
| TF4 | 27.40 ± 0.55 a | 0.53 ± 0.04 a | 238.66 ± 14.63 ab | 554.45 ± 22.35 b |
| TF5 | 23.86 ± 0.47 b | 0.54 ± 0.02 a | 246.66 ± 10.07 a | 578.52 ± 18.66 ab |
| TF6 | 26.73 ± 0.82 a | 0.51 ± 0.01 a | 248.33 ± 3.15 a | 584.02 ± 26.93 a |
| Treatment | SPAD | N Concentration (g/kg) | P concentration (g/kg) | K Concentration (g/kg) |
|---|---|---|---|---|
| CK | 49.62 ± 2.28 b | 33.65 ± 3.23 b | 2.47 ± 0.10 b | 11.08 ± 1.59 b |
| TF1 | 56.56 ± 2.23 a | 33.94 ± 3.15 b | 2.72 ± 0.14 a | 11.73 ± 1.03 a |
| TF2 | 57.82 ± 3.04 a | 35.08 ± 2.73 ab | 2.55 ± 0.27 a | 11.32 ± 0.75 ab |
| TF3 | 55.94 ± 2.70 a | 35.94 ± 0.27 ab | 2.64 ± 0.33 a | 11.36 ± 0.80 ab |
| TF4 | 56.10 ± 3.78 a | 35.69 ± 1.33 ab | 2.55 ± 0.11 a | 11.55 ± 0.17 ab |
| TF5 | 56.63 ± 4.04 a | 35.22 ± 2.05 ab | 2.63 ± 0.27 a | 12.06 ± 0.96 a |
| TF6 | 58.29 ± 1.81 a | 36.27 ± 4.73 a | 2.86 ± 0.08 a | 12.15 ± 0.80 a |
| Treatment | Tea Polyphenols (mg/g) | Free Amino Acids (mg/g) | Tea Polyphenols to Free Amino Acids Ratio | Caffeine (mg/g) | Water Extracts (mg/g) |
|---|---|---|---|---|---|
| CK | 165.34 ± 4.87 b | 32.18 ± 3.21 b | 5.13 ± 0.16 a | 30.41 ± 1.26 b | 398.76 ± 10.72 b |
| TF1 | 168.51 ± 5.61 b | 32.64 ± 2.41 b | 5.16 ± 0.22 a | 31.56 ± 0.63 b | 407.24 ± 24.36 b |
| TF2 | 166.32 ± 5.72 b | 35.55 ± 3.24 ab | 4.67 ± 0.12 b | 31.24 ± 0.84 b | 408.65 ± 20.17 b |
| TF3 | 175.83 ± 4.12 ab | 34.71 ± 2.38 b | 5.06 ± 0.33 a | 31.49 ± 1.12 b | 420.23 ± 15.64 ab |
| TF4 | 180.76 ± 3.61 ab | 38.26 ± 3.61 ab | 4.72 ± 0.21 b | 32.57 ± 2.15 b | 415.74 ± 20.31 ab |
| TF5 | 193.82 ± 2.89 a | 40.59 ± 1.85 a | 4.77 ± 0.14 b | 32.82 ± 3.24 b | 430.61 ± 23.15 a |
| TF6 | 197.74 ± 5.34 a | 41.67 ± 2.34 a | 4.74 ± 0.23 b | 36.53 ± 2.74 a | 436.28 ± 36.24 a |
Disclaimer/Publisher’s Note: The statements, opinions and data contained in all publications are solely those of the individual author(s) and contributor(s) and not of MDPI and/or the editor(s). MDPI and/or the editor(s) disclaim responsibility for any injury to people or property resulting from any ideas, methods, instructions or products referred to in the content. |
© 2023 by the authors. Licensee MDPI, Basel, Switzerland. This article is an open access article distributed under the terms and conditions of the Creative Commons Attribution (CC BY) license (https://creativecommons.org/licenses/by/4.0/).
Share and Cite
Liu, W.; Cui, S.; Ma, J.; Wu, D.; Ye, Z.; Liu, D. Effects of Shellfish and Organic Fertilizer Amendments on Soil Nutrients and Tea Yield and Quality. Toxics 2023, 11, 262. https://doi.org/10.3390/toxics11030262
Liu W, Cui S, Ma J, Wu D, Ye Z, Liu D. Effects of Shellfish and Organic Fertilizer Amendments on Soil Nutrients and Tea Yield and Quality. Toxics. 2023; 11(3):262. https://doi.org/10.3390/toxics11030262
Chicago/Turabian StyleLiu, Wenbin, Shiyu Cui, Jiawei Ma, Dongtao Wu, Zhengqian Ye, and Dan Liu. 2023. "Effects of Shellfish and Organic Fertilizer Amendments on Soil Nutrients and Tea Yield and Quality" Toxics 11, no. 3: 262. https://doi.org/10.3390/toxics11030262
APA StyleLiu, W., Cui, S., Ma, J., Wu, D., Ye, Z., & Liu, D. (2023). Effects of Shellfish and Organic Fertilizer Amendments on Soil Nutrients and Tea Yield and Quality. Toxics, 11(3), 262. https://doi.org/10.3390/toxics11030262
