Research on the Detection Method of Organic Matter in Tea Garden Soil Based on Image Information and Hyperspectral Data Fusion
Abstract
:1. Introduction
2. Materials and Methods
2.1. Collection of Soil Samples and Estimation of the Organic Matter Content
2.2. Hyperspectral Image Acquisition
2.3. Extraction of Spectral Features and Picture Features
2.4. Preprocessing of the Spectral Data and Characteristic Band Screening
2.5. Data Fusion
2.6. Model Building and Evaluation Criteria
3. Results
3.1. Spectral Preprocessing Results
3.2. Characteristic Wavelength Screening Results
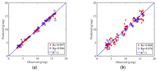
3.3. Predictive Modeling Using Only Spectral Data
3.4. Predictive Modeling of Fusion Data
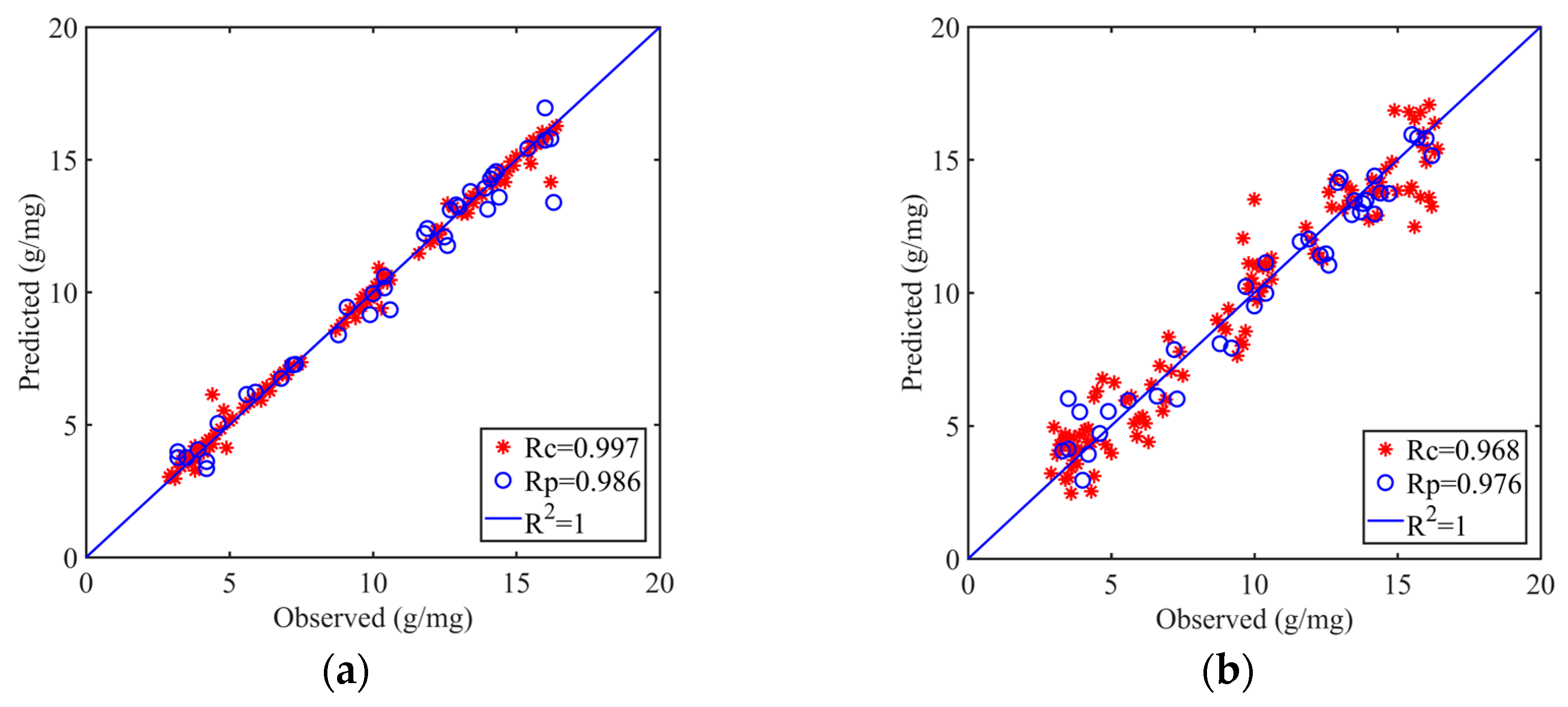
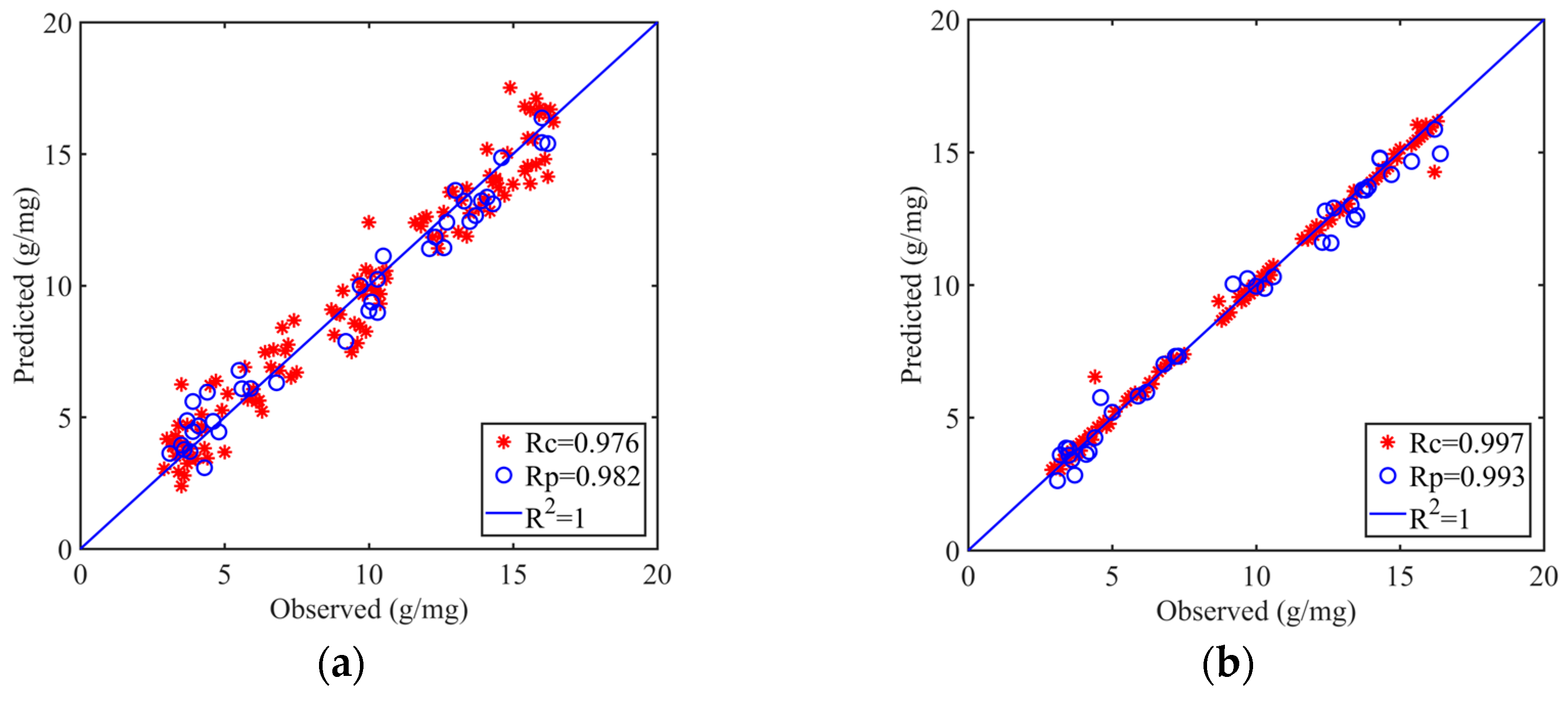
3.4.1. Low-Level Fusion
3.4.2. Middle-Level Fusion
4. Discussion
4.1. Analysis of Data Fusion Model Results
4.2. Analysis of the Impact of Each Algorithm on the Results
5. Conclusions
Author Contributions
Funding
Data Availability Statement
Conflicts of Interest
References
- Chen, J.; Wu, S.; Dong, F.; Li, J.; Zeng, L.; Tang, J.; Gu, D. Mechanism Underlying the Shading-Induced Chlorophyll Accumulation in Tea Leaves. Front. Plant Sci. 2021, 12, 779819. [Google Scholar] [CrossRef] [PubMed]
- Hoffland, E.; Kuyper, T.W.; Comans, R.N.J.; Creamer, R.E. Eco-functionality of organic matter in soils. Plant Soil 2020, 455, 1–22. [Google Scholar] [CrossRef]
- İnik, O.; İnik, Ö.; Öztaş, T.; Demir, Y.; Yüksel, A. Prediction of Soil Organic Matter with Deep Learning. Arab. J. Sci. Eng. 2023, 48, 10227–10247. [Google Scholar] [CrossRef]
- Zwiazek, J.J.; Kyaw, T.Y.; Siegert, C.M.; Dash, P.; Poudel, K.P.; Pitts, J.J.; Renninger, H.J. Using hyperspectral leaf reflectance to estimate photosynthetic capacity and nitrogen content across eastern cottonwood and hybrid poplar taxa. PLoS ONE 2022, 17, e0264780. [Google Scholar]
- Yu, F.; Bai, J.; Jin, Z.; Zhang, H.; Yang, J.; Xu, T. Estimating the rice nitrogen nutrition index based on hyperspectral transform technology. Front. Plant Sci. 2023, 14, 1118098. [Google Scholar] [CrossRef] [PubMed]
- Chen, D.; Wu, P.; Wang, K.; Wang, S.; Ji, X.; Shen, Q.; Yu, Y.; Qiu, X.; Xu, X.; Liu, Y.; et al. Combining computer vision score and conventional meat quality traits to estimate the intramuscular fat content using machine learning in pigs. Meat Sci. 2022, 185, 108727. [Google Scholar] [CrossRef] [PubMed]
- Chen, F.; Xu, J.; Wei, Y.; Sun, J. Establishing an eyeball-weight relationship for Litopenaeus vannamei using machine vision technology. Aquac. Eng. 2019, 87, 102014. [Google Scholar] [CrossRef]
- Chen, Y.; Wang, J.; Liu, G.; Yang, Y.; Liu, Z.; Deng, H. Hyperspectral Estimation Model of Forest Soil Organic Matter in Northwest Yunnan Province, China. Forests 2019, 10, 217. [Google Scholar] [CrossRef]
- Yang, C.; Feng, M.; Song, L.; Jing, B.; Xie, Y.; Wang, C.; Qin, M.; Yang, W.; Xiao, L.; Sun, J.; et al. Hyperspectral monitoring of soil urease activity under different water regulation. Plant Soil 2022, 477, 779–792. [Google Scholar] [CrossRef]
- Rahimi-Ajdadi, F.; Abbaspour-Gilandeh, Y.; Mollazade, K.; Hasanzadeh, R.P.R. Development of a novel machine vision procedure for rapid and non-contact measurement of soil moisture content. Measurement 2018, 121, 179–189. [Google Scholar] [CrossRef]
- An, T.; Huang, W.; Tian, X.; Fan, S.; Duan, D.; Dong, C.; Zhao, C.; Li, G. Hyperspectral imaging technology coupled with human sensory information to evaluate the fermentation degree of black tea. Sens. Actuators B Chem. 2022, 366, 131994. [Google Scholar] [CrossRef]
- Yin, Y.; Li, J.; Ling, C.; Zhang, S.; Liu, C.; Sun, X.; Wu, J. Fusing spectral and image information for characterization of black tea grade based on hyperspectral technology. LWT 2023, 185, 115150. [Google Scholar] [CrossRef]
- NY/T 1121.6-2006; Soil testing part VI: Determination of soil organic matter, Agricultural Industry Standard of the People’s Republic of China. Ministry of Agriculture and Rural Affairs of the People’s Republic of China: Beijing, China, 2006.
- Liu, J.; Dong, Z.; Xia, J.; Wang, H.; Meng, T.; Zhang, R.; Han, J.; Wang, N.; Xie, J. Estimation of soil organic matter content based on CARS algorithm coupled with random forest. Spectrochim. Acta Part A Mol. Biomol. Spectrosc. 2021, 258, 1386–1425. [Google Scholar] [CrossRef] [PubMed]
- Sun, J.; Yang, W.; Feng, M.; Liu, Q.; Kubar, M.S. An efficient variable selection method based on random frog for the multivariate calibration of NIR spectra. RSC Adv. 2020, 10, 16245–16253. [Google Scholar] [CrossRef] [PubMed]
- Jiang, H.; Xu, W.; Ding, Y.; Chen, Q. Quantitative analysis of yeast fermentation process using Raman spectroscopy: Comparison of CARS and VCPA for variable selection. Spectrochim. Acta Part A Mol. Biomol. Spectrosc. 2020, 228, 117781. [Google Scholar] [CrossRef] [PubMed]
- Han, M.; Wang, X.; Xu, Y.; Cui, Y.; Wang, L.; Lv, D.; Cui, L. Variable selection for the determination of the soluble solid content of potatoes with surface impurities in the visible/near-infrared range. Biosyst. Eng. 2021, 209, 170–179. [Google Scholar] [CrossRef]
- Cebi, N.; Yilmaz, M.T.; Sagdic, O. A rapid ATR-FTIR spectroscopic method for detection of sibutramine adulteration in tea and coffee based on hierarchical cluster and principal component analyses. Food Chem. 2017, 229, 517–526. [Google Scholar] [CrossRef] [PubMed]
- Cruz-Tirado, J.P.; Oliveira, M.; de Jesus Filho, M.; Godoy, H.T.; Amigo, J.M.; Barbin, D.F. Shelf life estimation and kinetic degradation modeling of chia seeds (Salvia hispanica) using principal component analysis based on NIR-hyperspectral imaging. Food Control 2021, 123, 107777. [Google Scholar] [CrossRef]
- Liu, Z.; Zhang, R.; Yang, C.; Hu, B.; Luo, X.; Li, Y.; Dong, C. Research on moisture content detection method during green tea processing based on machine vision and near-infrared spectroscopy technology. Spectrochim. Acta Part A Mol. Biomol. Spectrosc. 2022, 272, 1386–1425. [Google Scholar] [CrossRef]
- Ren, G.; Wang, Y.; Ning, J.; Zhang, Z. Highly identification of keemun black tea rank based on cognitive spectroscopy: Near infrared spectroscopy combined with feature variable selection. Spectrochim. Acta Part A Mol. Biomol. Spectrosc. 2020, 230, 118079. [Google Scholar] [CrossRef]
- Dong, C.; Ye, Y.; Yang, C.; An, T.; Jiang, Y.; Ye, Y.; Li, Y.; Yang, Y. Rapid detection of catechins during black tea fermentation based on electrical properties and chemometrics. Food Biosci. 2021, 40, 100855. [Google Scholar] [CrossRef]
- Ouyang, Q.; Wang, L.; Zareef, M.; Chen, Q.; Guo, Z.; Li, H. A feasibility of nondestructive rapid detection of total volatile basic nitrogen content in frozen pork based on portable near-infrared spectroscopy. Microchem. J. 2020, 157, 105020. [Google Scholar] [CrossRef]
- Jiang, H.; He, Y.; Xu, W.; Chen, Q. Quantitative Detection of Acid Value During Edible Oil Storage by Raman Spectroscopy: Comparison of the Optimization Effects of BOSS and VCPA Algorithms on the Characteristic Raman Spectra of Edible Oils. Food Anal. Methods 2021, 14, 1826–1835. [Google Scholar] [CrossRef]
- Yang, C.; Zhao, Y.; An, T.; Liu, Z.; Jiang, Y.; Li, Y.; Dong, C. Quantitative prediction and visualization of key physical and chemical components in black tea fermentation using hyperspectral imaging. LWT 2021, 141, 110975. [Google Scholar] [CrossRef]
- Liu, H.; Zhang, Y.; Zhang, B. Novel hyperspectral reflectance models for estimating black-soil organic matter in Northeast China. Environ. Monit. Assess. 2008, 154, 147–154. [Google Scholar] [CrossRef] [PubMed]








| Preprocessing Methods | Data Dimensionality Reduction | Models | PCs | Calibration Set | Prediction Set | RPD | ||
|---|---|---|---|---|---|---|---|---|
| R2C | RMSEC | R2P | RMSEP | |||||
| MSC | None | SVR | 5 | 0.922 | 1.268 | 0.928 | 1.097 | 3.696 |
| PLSR | 8 | 0.877 | 1.585 | 0.895 | 1.265 | 3.134 | ||
| RF | SVR | 5 | 0.978 | 0.677 | 0.957 | 0.822 | 4.847 | |
| PLSR | 9 | 0.868 | 1.658 | 0.799 | 1.766 | 2.261 | ||
| VCPA | SVR | 5 | 0.972 | 0.756 | 0.943 | 0.672 | 5.981 | |
| PLSR | 7 | 0.925 | 1.233 | 0.950 | 0.887 | 4.533 | ||
| VCPA-IRIV | SVR | 7 | 0.994 | 0.350 | 0.973 | 0.693 | 6.119 | |
| PLSR | 10 | 0.926 | 1.234 | 0.892 | 1.205 | 3.083 | ||
| SNV | None | SVR | 6 | 0.946 | 1.061 | 0.933 | 0.950 | 3.667 |
| PLSR | 10 | 0.848 | 1.785 | 0.822 | 1.644 | 2.406 | ||
| RF | SVR | 4 | 0.901 | 1.419 | 0.914 | 1.219 | 3.456 | |
| PLSR | 7 | 0.859 | 1.663 | 0.885 | 1.443 | 2.999 | ||
| VCPA | SVR | 7 | 0.965 | 0.846 | 0.964 | 0.807 | 5.273 | |
| PLSR | 9 | 0.937 | 1.118 | 0.953 | 0.895 | 4.711 | ||
| VCPA-IRIV | SVR | 6 | 0.984 | 0.565 | 0.960 | 0.768 | 5.071 | |
| PLSR | 9 | 0.901 | 1.401 | 0.909 | 1.200 | 3.376 | ||
| Smooth | None | SVR | 5 | 0.904 | 1.412 | 0.901 | 1.292 | 3.188 |
| PLSR | 10 | 0.896 | 1.475 | 0.803 | 1.730 | 2.287 | ||
| RF | SVR | 4 | 0.960 | 0.895 | 0.935 | 1.079 | 3.940 | |
| PLSR | 8 | 0.827 | 1.854 | 0.761 | 2.100 | 2.076 | ||
| VCPA | SVR | 5 | 0.926 | 1.213 | 0.909 | 1.337 | 3.345 | |
| PLSR | 9 | 0.946 | 1.017 | 0.940 | 1.082 | 4.168 | ||
| VCPA-IRIV | SVR | 4 | 0.901 | 1.419 | 0.914 | 1.219 | 3.456 | |
| PLSR | 10 | 0.921 | 1.267 | 0.907 | 1.258 | 3.335 | ||
| Preprocessing Methods | Models | Calibration Set | Prediction Set | RPD | ||
|---|---|---|---|---|---|---|
| R2C | RMSEC | R2P | RMSEP | |||
| MSC | SVR | 0.986 | 0.528 | 0.941 | 0.970 | 3.960 |
| PLSR | 0.882 | 1.565 | 0.831 | 1.557 | 2.468 | |
| SNV | SVR | 0.986 | 0.272 | 0.950 | 0.825 | 4.706 |
| PLSR | 0.932 | 1.178 | 0.895 | 1.263 | 3.141 | |
| Smooth | SVR | 0.923 | 1.290 | 0.923 | 1.237 | 3.382 |
| PLSR | 0.874 | 1.523 | 0.882 | 1.460 | 2.915 | |
| Preprocessing Methods | Data Dimensionality Reduction | Models | PCs | Calibration Set | Prediction Set | RPD | ||
|---|---|---|---|---|---|---|---|---|
| R2C | RMSEC | R2P | RMSEP | |||||
| MSC | RF | SVR | 9 | 0.990 | 0.622 | 0.959 | 0.948 | 4.938 |
| PLSR | 9 | 0.888 | 1.442 | 0.889 | 1.547 | 3.051 | ||
| VCPA | SVR | 9 | 0.983 | 0.579 | 0.976 | 0.660 | 6.459 | |
| PLSR | 10 | 0.951 | 0.987 | 0.950 | 0.941 | 4.534 | ||
| VCPA-IRIV | SVR | 10 | 0.995 | 0.312 | 0.986 | 0.558 | 8.155 | |
| PLSR | 10 | 0.947 | 1.020 | 0.921 | 1.252 | 3.600 | ||
| SNV | RF | SVR | 9 | 0.989 | 0.480 | 0.962 | 0.851 | 5.008 |
| PLSR | 10 | 0.912 | 1.327 | 0.923 | 1.191 | 3.650 | ||
| VCPA | SVR | 9 | 0.995 | 0.323 | 0.970 | 0.761 | 5.854 | |
| PLSR | 10 | 0.954 | 0.956 | 0.965 | 0.818 | 5.448 | ||
| VCPA-IRIV | SVR | 9 | 0.992 | 0.406 | 0.982 | 0.639 | 6.957 | |
| PLSR | 10 | 0.903 | 1.373 | 0.925 | 1.233 | 3.704 | ||
| Smooth | RF | SVR | 8 | 0.981 | 0.623 | 0.950 | 0.942 | 4.530 |
| PLSR | 10 | 0.894 | 1.442 | 0.904 | 1.306 | 3.267 | ||
| VCPA | SVR | 8 | 0.976 | 0.710 | 0.942 | 0.972 | 4.051 | |
| PLSR | 10 | 0.965 | 0.831 | 0.941 | 0.988 | 4.156 | ||
| VCPA-IRIV | SVR | 8 | 0.980 | 0.639 | 0.962 | 0.951 | 4.563 | |
| PLSR | 10 | 0.940 | 1.095 | 0.925 | 1.132 | 3.693 | ||
Disclaimer/Publisher’s Note: The statements, opinions and data contained in all publications are solely those of the individual author(s) and contributor(s) and not of MDPI and/or the editor(s). MDPI and/or the editor(s) disclaim responsibility for any injury to people or property resulting from any ideas, methods, instructions or products referred to in the content. |
© 2023 by the authors. Licensee MDPI, Basel, Switzerland. This article is an open access article distributed under the terms and conditions of the Creative Commons Attribution (CC BY) license (https://creativecommons.org/licenses/by/4.0/).
Share and Cite
Zhang, H.; He, Q.; Yang, C.; Lu, M.; Liu, Z.; Zhang, X.; Li, X.; Dong, C. Research on the Detection Method of Organic Matter in Tea Garden Soil Based on Image Information and Hyperspectral Data Fusion. Sensors 2023, 23, 9684. https://doi.org/10.3390/s23249684
Zhang H, He Q, Yang C, Lu M, Liu Z, Zhang X, Li X, Dong C. Research on the Detection Method of Organic Matter in Tea Garden Soil Based on Image Information and Hyperspectral Data Fusion. Sensors. 2023; 23(24):9684. https://doi.org/10.3390/s23249684
Chicago/Turabian StyleZhang, Haowen, Qinghai He, Chongshan Yang, Min Lu, Zhongyuan Liu, Xiaojia Zhang, Xiaoli Li, and Chunwang Dong. 2023. "Research on the Detection Method of Organic Matter in Tea Garden Soil Based on Image Information and Hyperspectral Data Fusion" Sensors 23, no. 24: 9684. https://doi.org/10.3390/s23249684
APA StyleZhang, H., He, Q., Yang, C., Lu, M., Liu, Z., Zhang, X., Li, X., & Dong, C. (2023). Research on the Detection Method of Organic Matter in Tea Garden Soil Based on Image Information and Hyperspectral Data Fusion. Sensors, 23(24), 9684. https://doi.org/10.3390/s23249684

