error_outline You can access the new MDPI.com website here. Explore and share your feedback with us.
 
 
Sign in to use this feature.

Years

Between: -

Subjects

remove_circle_outline
remove_circle_outline
remove_circle_outline
remove_circle_outline
remove_circle_outline
remove_circle_outline
remove_circle_outline
remove_circle_outline
remove_circle_outline

Journals

Article Types

Countries / Regions

Search Results (61)

Search Parameters:
Keywords = suspended microfluidics

Order results
Result details
Results per page
Select all
Export citation of selected articles as:
21 pages, 6409 KB  
Article
Numerical Study on Oil Particle Enrichment in a Rectangular Microfluidic Channel Based on Acoustic Standing Waves
by Zhenzhen Liu, Jingrui Wang, Yong Cai, Yan Liu, Xiaolei Hu and Haoran Yan
Micromachines 2026, 17(1), 79; https://doi.org/10.3390/mi17010079 - 7 Jan 2026
Abstract
This study presents a method for enriching oil-suspended particles within a rectangular microfluidic channel using acoustic standing waves. A modified Helmholtz equation is solved to establish the acoustic field model, and the equilibrium between acoustic radiation forces and viscous drag is described by [...] Read more.
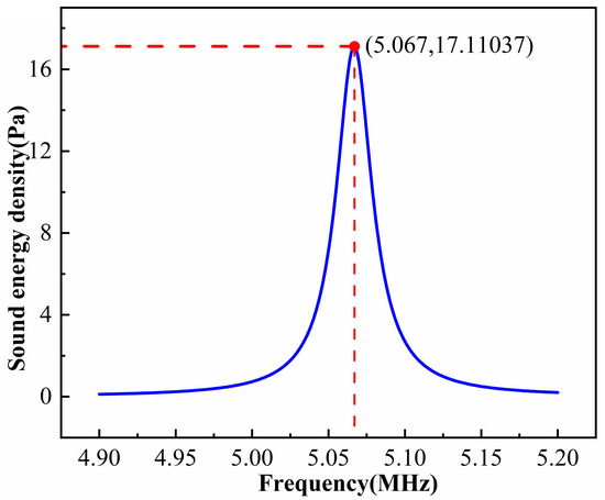
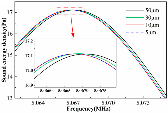
This study presents a method for enriching oil-suspended particles within a rectangular microfluidic channel using acoustic standing waves. A modified Helmholtz equation is solved to establish the acoustic field model, and the equilibrium between acoustic radiation forces and viscous drag is described by combining Gor’kov potential theory with the Stokes drag model. Based on this force balance, the particle motion equation is derived, enabling the determination of the critical particle size necessary for efficient enrichment in oil-filled microchannels. A two-dimensional standing-wave microchannel model is subsequently developed, and the influences of acoustic, fluidic, and particle parameters on particle migration and aggregation are systematically investigated through theoretical analysis and numerical simulations. The results indicate that when the channel dimension and acoustic wavelength satisfy the half-wavelength resonance condition, a stable standing-wave field forms, effectively focusing suspended particles at the acoustic pressure nodes. Enrichment efficiency is found to be strongly dependent on inlet flow velocity, particle diameter, acoustic frequency, temperature, and particle density. Lower flow velocities and larger particle sizes result in higher enrichment efficiencies, with the most uniform and stable pressure distribution achieved when the acoustic frequency matches the resonant channel width. Increases in temperature and particle density enhance the acoustic radiation force, thereby accelerating the aggregation of particles. These findings offer theoretical foundations and practical insights for acoustically assisted online monitoring of wear particles in lubricating oils, contributing to advanced condition assessment and fault diagnosis in mechanical systems. Full article
(This article belongs to the Special Issue Recent Development of Micro/Nanofluidic Devices, 2nd Edition)
Show Figures

Figure 1

18 pages, 4345 KB  
Article
Single-Thermocouple Suspended Microfluidic Thermal Sensor with Improved Heat Retention for the Development of Multifunctional Biomedical Detection
by Lin Qin, Xiasheng Wang, Chenxi Wu, Yuan Ju, Hao Zhang, Xin Cheng, Yuanlin Xia, Cao Xia, Yubo Huang and Zhuqing Wang
Sensors 2025, 25(15), 4532; https://doi.org/10.3390/s25154532 - 22 Jul 2025
Viewed by 2696
Abstract
Thermal sensors are widely used in medical, industrial and other fields, where the requirements for high sensitivity and portability continues to increase. Here we propose a suspended bridge structure fabricated using MEMS, which effectively shrinks the size and reduces heat loss. This study [...] Read more.
Thermal sensors are widely used in medical, industrial and other fields, where the requirements for high sensitivity and portability continues to increase. Here we propose a suspended bridge structure fabricated using MEMS, which effectively shrinks the size and reduces heat loss. This study reviews current sensor-related theories of heat conduction, convective heat transfer and thermal radiation. Heat loss models for suspended and non-suspended bridge structures are established, and finite element analysis is conducted to evaluate their thermal performance. The thermal performance of the suspended bridge structure is further validated through infrared temperature measurements on the manufactured sensor device. Theoretical calculations demonstrate that the proposed suspension bridge structure reduces heat loss by 88.64% compared with traditional designs. Benefiting from this improved heat retention, which was also confirmed by infrared thermography, the thermal sensor fabricated based on the suspension bridge structure achieves an ultra-high sensitivity of 0.38 V/W and a fast response time of less than 200 ms, indicating a high accuracy in thermal characterization. The correlation coefficient obtained for the sensor output voltage and input power of the sensor is approximately 1.0. Based on this design, multiple microfluidic channels with suspended bridge structures can be integrated to realize multi-component detection, which is important for the development of multifunctional biomedical detection. Full article
(This article belongs to the Section Biomedical Sensors)
Show Figures

Figure 1

15 pages, 3286 KB  
Article
Enhanced Sensitivity Microfluidic Microwave Sensor for Liquid Characterization
by Kim Ho Yeap, Kai Bor Tan, Foo Wei Lee, Han Kee Lee, Nuraidayani Effendy, Wei Chun Chin and Pek Lan Toh
Processes 2025, 13(7), 2183; https://doi.org/10.3390/pr13072183 - 8 Jul 2025
Viewed by 1120
Abstract
This paper presents the development and analysis of a planar microfluidic microwave sensor featuring three circular complementary split-ring resonators (CSRRs) fabricated on an RO3035 substrate. The sensor demonstrates enhanced sensitivity in characterizing liquids contained in a fine glass capillary tube by leveraging a [...] Read more.
This paper presents the development and analysis of a planar microfluidic microwave sensor featuring three circular complementary split-ring resonators (CSRRs) fabricated on an RO3035 substrate. The sensor demonstrates enhanced sensitivity in characterizing liquids contained in a fine glass capillary tube by leveraging a novel configuration: a central 5-split-ring CSRR with a drilled hole to suspend the capillary, flanked by two 2-split-ring CSRRs to improve the band-stop filtering effect. The sensor’s performance is benchmarked against another CSRR-based microwave sensor with a similar configuration. High linearity is observed (R2 > 0.99), confirming its capability for precise ethanol concentration prediction. Compared to the replicated square CSRR design from the literature, the proposed sensor achieves a 35.22% improvement in sensitivity, with a frequency shift sensitivity of 567.41 kHz/% ethanol concentration versus 419.62 kHz/% for the reference sensor. The enhanced sensitivity is attributed to several key design strategies: increasing the intrinsic capacitance by enlarging the effective area and radial slot width to amplify edge capacitive effects, adding more split rings to intensify the resonance dip, placing additional CSRRs to improve energy extraction at resonance, and adopting circular CSRRs for superior electric field confinement. Additionally, the proposed design operates at a lower resonant frequency (2.234 GHz), which not only reduces dielectric and radiation losses but also enables the use of more cost-effective and power-efficient RF components. This advantage makes the sensor highly suitable for integration into portable and standalone sensing platforms. Full article
(This article belongs to the Special Issue Development of Smart Materials for Chemical Sensing)
Show Figures

Figure 1

24 pages, 6431 KB  
Article
Selective Multidimensional Particle Fractionation Applying Acoustic Fields
by Krischan Sandmann and Udo Fritsching
Powders 2025, 4(1), 5; https://doi.org/10.3390/powders4010005 - 15 Feb 2025
Viewed by 912
Abstract
The recent progress in the acoustic fractionation of particulate suspensions within microfluidic devices emphasizes the utility of the acoustic fractionation process also for gas-suspended particles as a significant advancement in the field of mechanical process engineering. In the literature, analytical and numerical studies [...] Read more.
The recent progress in the acoustic fractionation of particulate suspensions within microfluidic devices emphasizes the utility of the acoustic fractionation process also for gas-suspended particles as a significant advancement in the field of mechanical process engineering. In the literature, analytical and numerical studies have found the gas-based acoustic particle fractionation process to be suitable for particles in a size range below 10 µm. The viability remains experimentally unassessed. In this article, we present particle fractionation experiments conducted on gas-born particles suspended in high-intensity acoustic fields. A particle-size-dependent accumulation of particles in the acoustic sound velocity lobes and nodes could be observed, indicative of an acoustic fractionation process. Additionally, evidence of acoustic streaming and acoustic focusing has been found, both of which have the potential to impede the fractionation process. The experimental results align with the conclusions of numeric simulations. The in-process particle behavior is discussed in the context of the relevant literature and reinforces the notion of selective entrainment. Full article
Show Figures

Figure 1

12 pages, 3482 KB  
Article
Driving Rotational Circulation in a Microfluidic Chamber Using Dual Focused Surface-Acoustic-Wave Beams
by Jin-Chen Hsu and Kai-Li Liao
Micromachines 2025, 16(2), 140; https://doi.org/10.3390/mi16020140 - 25 Jan 2025
Cited by 1 | Viewed by 1820
Abstract
In this paper, enhanced rotational circulation in a circular microfluidic chamber driven by dual focused surface-acoustic-wave (SAW) beams is presented. To characterize the resonant frequency and focusing effect, we simulate the focused SAW field excited by an arc-shaped interdigital transducer patterned on a [...] Read more.
In this paper, enhanced rotational circulation in a circular microfluidic chamber driven by dual focused surface-acoustic-wave (SAW) beams is presented. To characterize the resonant frequency and focusing effect, we simulate the focused SAW field excited by an arc-shaped interdigital transducer patterned on a 128°Y-cut lithium-niobate (LiNbO3) substrate using a finite element method. A full three-dimensional perturbation model of the combined system of the microfluidic chamber and the SAW device is conducted to obtain the acoustic pressure and acoustic streaming fields, which show rotational acoustic pressure and encircling streaming resulted in the chamber. Accordingly, the SAW acoustofluidic system is realized using microfabrication techniques and applied to perform acoustophoresis experiments on submicron particles suspending in the microfluidic chamber. The result verifies the rotational circulation motion of the streaming flow, which is attributed to enhanced angular momentum flux injection and Eckart streaming effect through the dual focused SAW beams. Our results should be of importance in driving particle circulation and enhancing mass transfer in chamber embedded microfluidic channels, which may have promising applications in accelerating bioparticle or cell reactions and fusion, enhancing biochemical and electrochemical sensing, and efficient microfluidic mixing. Full article
(This article belongs to the Special Issue Surface and Bulk Acoustic Wave Devices)
Show Figures

Figure 1

11 pages, 2717 KB  
Article
The Pre-Polarization and Concentration of Cells near Micro-Electrodes Using AC Electric Fields Enhances the Electrical Cell Lysis in a Sessile Drop
by Kishor Kaphle and Dharmakeerthi Nawarathna
Biosensors 2025, 15(1), 22; https://doi.org/10.3390/bios15010022 - 6 Jan 2025
Cited by 3 | Viewed by 1440
Abstract
Cell lysis is the starting step of many biomedical assays. Electric field-based cell lysis is widely used in many applications, including point-of-care (POC) applications, because it provides an easy one-step solution. Many electric field-based lysis methods utilize micro-electrodes to apply short electric pulses [...] Read more.
Cell lysis is the starting step of many biomedical assays. Electric field-based cell lysis is widely used in many applications, including point-of-care (POC) applications, because it provides an easy one-step solution. Many electric field-based lysis methods utilize micro-electrodes to apply short electric pulses across cells. Unfortunately, these cell lysis devices produce relatively low cell lysis efficiency as electric fields do not reach a significant portion of cells in the sample. Additionally, the utility of syringe pumps for flow cells in and out of the microfluidics channel causes cell loss and low throughput cell lysis. To address these critical issues, we suspended the cells in a sessile drop and concentrated on the electrodes. We used low-frequency AC electric fields (1 Vpp, 0–100 kHz) to drive the cells effectively towards electrodes and lysed using a short pulse of 10 V. A post-lysis analysis was performed using a hemocytometer, UV-vis spectroscopy, and fluorescence imaging. The results show that the pre-electric polarization of cells, prior to applying short electrical pulses, enhances the cell lysis efficiency. Additionally, the application of AC electric fields to concentrate cells on the electrodes reduces the assay time to about 4 min. In this study, we demonstrated that low-frequency AC electric fields can be used to pre-polarize and concentrate cells near micro-electrodes and improve cell lysis efficiency. Due to the simplicity and rapid cell lysis, this method may be suitable for POC assay development. Full article
(This article belongs to the Special Issue Lab-on-a-Chip Devices for Point-of-Care Diagnostics)
Show Figures

Figure 1

16 pages, 35973 KB  
Article
Micro Coriolis Mass Flow Sensor with Large Channel Diameter Realized by HNA Wet Etching
by Qihui Yu, Maarten J. S. Bonnema, Mahdieh Yariesbouei, Remco J. Wiegerink and Joost C. Lötters
Sensors 2024, 24(24), 7952; https://doi.org/10.3390/s24247952 - 12 Dec 2024
Cited by 1 | Viewed by 1498
Abstract
This paper introduces a Coriolis mass flow and density sensor. The sensor is made using Surface Channel Technology (SCT) but with selective wet etching to create the channels. This method forms suspended microfluidic channels with a larger cross-sectional area. Because of this larger [...] Read more.
This paper introduces a Coriolis mass flow and density sensor. The sensor is made using Surface Channel Technology (SCT) but with selective wet etching to create the channels. This method forms suspended microfluidic channels with a larger cross-sectional area. Because of this larger cross-sectional area, the sensor has a much higher flow range, up to 50 g h1 (for water) with a pressure drop of 1 bar, compared to the standard SCT-based Coriolis sensor, which is only 1.2 g h1. The channel has a semi-elliptical cross-sectional area, measuring 200 micrometers wide and 70 micrometers deep. The channel wall is made of a stack of thin films with a total thickness of 2.5 μm. Water, isopropyl alcohol (IPA), and nitrogen (N2) are used to test and evaluate the sensor’s mass flow and density sensing performance. Full article
(This article belongs to the Section Physical Sensors)
Show Figures

Figure 1

2 pages, 132 KB  
Editorial
Editorial for the Special Issue on AC Electrokinetics in Microfluidic Devices, Volume II
by Antonio Ramos, Pablo García-Sánchez and Raúl Fernández-Mateo
Micromachines 2024, 15(10), 1229; https://doi.org/10.3390/mi15101229 - 30 Sep 2024
Viewed by 1026
Abstract
The use of AC electric fields in manipulating and characterizing liquids and suspended particles in microfluidic systems continues to drive innovation in several fields, such as colloidal science, microelectronics, and biotechnology [...] Full article
(This article belongs to the Special Issue AC Electrokinetics in Microfluidic Devices, Volume II)
16 pages, 32544 KB  
Article
Fabrication of Buried Microchannels with Almost Circular Cross-Section Using HNA Wet Etching
by Qihui Yu, Henk-Willem Veltkamp, Remco J. Wiegerink and Joost C. Lötters
Micromachines 2024, 15(10), 1230; https://doi.org/10.3390/mi15101230 - 30 Sep 2024
Cited by 4 | Viewed by 1997
Abstract
In this paper, a novel fabrication process for the realization of large, suspended microfluidic channels is presented. The method is based on Buried Channel Technology and uses a mixture of HF, HNO3, and water etchant, which has high selectivity between the [...] Read more.
In this paper, a novel fabrication process for the realization of large, suspended microfluidic channels is presented. The method is based on Buried Channel Technology and uses a mixture of HF, HNO3, and water etchant, which has high selectivity between the silicon substrate and the silicon-rich silicon nitride mask material. Metal electrodes for actuation and read-out are integrated into the fabrication process. The microfluidic channels are released from the silicon substrate to allow the vibrational movement needed for the application. The resulting microfluidic channels have a near-circular cross-section, with a diameter up to 300 μm and a channel wall thickness of 1.5 μm. The structure of a micro-Coriolis mass-flow and density sensor is fabricated with this process as an example of a possible application. Full article
(This article belongs to the Special Issue The 15th Anniversary of Micromachines)
Show Figures

Figure 1

12 pages, 3242 KB  
Article
Electrochemical Impedance Spectroscopy-Based Microfluidic Biosensor Using Cell-Imprinted Polymers for Bacteria Detection
by Shiva Akhtarian, Satinder Kaur Brar and Pouya Rezai
Biosensors 2024, 14(9), 445; https://doi.org/10.3390/bios14090445 - 18 Sep 2024
Cited by 10 | Viewed by 3533
Abstract
The rapid and sensitive detection of bacterial contaminants using low-cost and portable point-of-need (PoN) biosensors has gained significant interest in water quality monitoring. Cell-imprinted polymers (CIPs) are emerging as effective and inexpensive materials for bacterial detection as they provide specific binding sites designed [...] Read more.
The rapid and sensitive detection of bacterial contaminants using low-cost and portable point-of-need (PoN) biosensors has gained significant interest in water quality monitoring. Cell-imprinted polymers (CIPs) are emerging as effective and inexpensive materials for bacterial detection as they provide specific binding sites designed to capture whole bacterial cells, especially when integrated into PoN microfluidic devices. However, improving the sensitivity and detection limits of these sensors remains challenging. In this study, we integrated CIP-functionalized stainless steel microwires (CIP-MWs) into a microfluidic device for the impedimetric detection of E. coli bacteria. The sensor featured two parallel microchannels with three-electrode configurations that allowed simultaneous control and electrochemical impedance spectroscopy (EIS) measurements. A CIP-MW and a non-imprinted polymer (NIP)-MW suspended perpendicular to the microchannels served as the working electrodes in the test and control channels, respectively. Electrochemical spectra were fitted with equivalent electrical circuits, and the charge transfer resistances of both cells were measured before and after incubation with target bacteria. The charge transfer resistance of the CIP-MWs after 30 min of incubation with bacteria was increased. By normalizing the change in charge transfer resistance and analyzing the dose–response curve for bacterial concentrations ranging from 0 to 107 CFU/mL, we determined the limits of detection and quantification as 2 × 102 CFU/mL and 1.4 × 104 CFU/mL, respectively. The sensor demonstrated a dynamic range of 102 to 107 CFU/mL, where bacterial counts were statistically distinguishable. The proposed sensor offers a sensitive, cost-effective, durable, and rapid solution for on-site identification of waterborne pathogens. Full article
Show Figures

Figure 1

15 pages, 3915 KB  
Article
Analysis of In Situ Electroporation Utilizing Induced Electric Field at a Wireless Janus Microelectrode
by Haizhen Sun, Linkai Yu, Yifan Chen, Hao Yang and Lining Sun
Micromachines 2024, 15(7), 819; https://doi.org/10.3390/mi15070819 - 25 Jun 2024
Cited by 1 | Viewed by 2014
Abstract
In situ electroporation, a non-invasive technique for enhancing the permeability of cell membranes, has emerged as a powerful tool for intracellular delivery and manipulation. This method allows for the precise introduction of therapeutic agents, such as nucleic acids, drugs, and proteins, directly into [...] Read more.
In situ electroporation, a non-invasive technique for enhancing the permeability of cell membranes, has emerged as a powerful tool for intracellular delivery and manipulation. This method allows for the precise introduction of therapeutic agents, such as nucleic acids, drugs, and proteins, directly into target cells within their native tissue environment. Herein, we introduce an innovative electroporation strategy that employs a Janus particle (JP)-based microelectrode to generate a localized and controllable electric field within a microfluidic chip. The microfluidic device is engineered with an indium tin oxide (ITO)-sandwiched microchannel, where the electric field is applied, and suspended JP microelectrodes that induce a stronger localized electric field. The corresponding simulation model is developed to better understand the dynamic electroporation process. Numerical simulations for both single-cell and chain-assembled cell electroporation have been successfully conducted. The effects of various parameters, including pulse voltage, duration medium conductivity, and radius of Janus microelectrode, on cell membrane permeabilization are systematically investigated. Our findings indicate that the enhanced electric intensity near the poles of the JP microelectrode significantly contributes to the electroporation process. In addition, the distribution for both transmembrane voltage and the resultant nanopores can be altered by conveniently adjusting the relative position of the JP microelectrode, demonstrating a selective and in situ electroporation technique for spatial control over the delivery area. Moreover, the obtained differences in the distribution of electroporation between chain cells can offer insightful directives for the electroporation of tissues or cell populations, enabling the precise and targeted modulation of specific cell populations. As a proof of concept, this work can provide a robust alternative technique for the study of complex and personalized cellular processes. Full article
(This article belongs to the Special Issue Recent Development of Micro/Nanofluidic Devices, 2nd Edition)
Show Figures

Figure 1

32 pages, 5291 KB  
Article
Analytical Investigation of Thermal Radiation Effects on Electroosmotic Propulsion of Electrically Conducting Ionic Nanofluid with Single-Walled Carbon Nanotube Interaction in Ciliated Channels
by Junaid Mehboob, Rahmat Ellahi and Sadiq Mohammad Sait
Symmetry 2024, 16(6), 717; https://doi.org/10.3390/sym16060717 - 9 Jun 2024
Cited by 23 | Viewed by 1363
Abstract
This study examines the behavior of single-walled carbon nanotubes (SWCNTs) suspended in a water-based ionic solution, driven by the combined mechanisms of electroosmosis and peristalsis through ciliated media. The inclusion of nanoparticles in ionic fluid expands the range of potential applications and allows [...] Read more.
This study examines the behavior of single-walled carbon nanotubes (SWCNTs) suspended in a water-based ionic solution, driven by the combined mechanisms of electroosmosis and peristalsis through ciliated media. The inclusion of nanoparticles in ionic fluid expands the range of potential applications and allows for the tailoring of properties to suit specific needs. This interaction between ionic fluids and nanomaterials results in advancements in various fields, including energy storage, electronics, biomedical engineering, and environmental remediation. The analysis investigates the influence of a transverse magnetic field, thermal radiation, and mixed convection acting on the channel walls. The novel physical outcomes include enhanced propulsion efficiency due to SWCNTs, understanding the influence of thermal radiation on fluid behavior and heat exchange, elucidation of the interactions between SWCNTs and the nanofluid, and recognizing implications for microfluidics and biomedical engineering. The Poisson–Boltzmann ionic distribution is linearized using the modified Debye–Hückel approximation. By employing real-world approximations, the governing equations are simplified using long-wavelength and low-Reynolds-number approximation. Conducting sensitivity analyses or exploring the impact of higher-order corrections on the model’s predictions in recent literature might alter the results significantly. This acknowledges the complexities of the modeling process and sets the groundwork for further enhancement and investigation. The resulting nonlinear system of equations is solved through regular perturbation techniques, and graphical representations showcase the variation in significant physical parameters. This study also discusses pumping and trapping phenomena in the context of relevant parameters. Full article
(This article belongs to the Section Mathematics)
Show Figures

Figure 1

31 pages, 2361 KB  
Article
Projection Micro-Stereolithography to Manufacture a Biocompatible Micro-Optofluidic Device for Cell Concentration Monitoring
by Lorena Saitta, Emanuela Cutuli, Giovanni Celano, Claudio Tosto, Dario Sanalitro, Francesca Guarino, Gianluca Cicala and Maide Bucolo
Polymers 2023, 15(22), 4461; https://doi.org/10.3390/polym15224461 - 19 Nov 2023
Cited by 14 | Viewed by 3275
Abstract
In this work, a 3D printed biocompatible micro-optofluidic (MoF) device for two-phase flow monitoring is presented. Both an air–water bi-phase flow and a two-phase mixture composed of micrometric cells suspended on a liquid solution were successfully controlled and monitored through its use. To [...] Read more.
In this work, a 3D printed biocompatible micro-optofluidic (MoF) device for two-phase flow monitoring is presented. Both an air–water bi-phase flow and a two-phase mixture composed of micrometric cells suspended on a liquid solution were successfully controlled and monitored through its use. To manufacture the MoF device, a highly innovative microprecision 3D printing technique was used named Projection Microstereolithography (PμSL) in combination with the use of a novel 3D printable photocurable resin suitable for biological and biomedical applications. The concentration monitoring of biological fluids relies on the absorption phenomenon. More precisely, the nature of the transmission of the light strictly depends on the cell concentration: the higher the cell concentration, the lower the optical acquired signal. To achieve this, the microfluidic T-junction device was designed with two micrometric slots for the optical fibers’ insertion, needed to acquire the light signal. In fact, both the micro-optical and the microfluidic components were integrated within the developed device. To assess the suitability of the selected biocompatible transparent resin for optical detection relying on the selected working principle (absorption phenomenon), a comparison between a two-phase flow process detected inside a previously fully characterized micro-optofluidic device made of a nonbiocompatible high-performance resin (HTL resin) and the same made of the biocompatible one (BIO resin) was carried out. In this way, it was possible to highlight the main differences between the two different resin grades, which were further justified with proper chemical analysis of the used resins and their hydrophilic/hydrophobic nature via static water contact angle measurements. A wide experimental campaign was performed for the biocompatible device manufactured through the PμSL technique in different operative conditions, i.e., different concentrations of eukaryotic yeast cells of Saccharomyces cerevisiae (with a diameter of 5 μm) suspended on a PBS (phosphate-buffered saline) solution. The performed analyses revealed that the selected photocurable transparent biocompatible resin for the manufactured device can be used for cell concentration monitoring by using ad hoc 3D printed micro-optofluidic devices. In fact, by means of an optical detection system and using the optimized operating conditions, i.e., the optimal values of the flow rate FR=0.1 mL/min and laser input power P{1,3} mW, we were able to discriminate between biological fluids with different concentrations of suspended cells with a robust working ability R2=0.9874 and Radj2=0.9811. Full article
(This article belongs to the Special Issue Advances in 3D Printing of Polymer Composites)
Show Figures

Figure 1

13 pages, 5518 KB  
Article
Microfluidic Sensor Based on Cell-Imprinted Polymer-Coated Microwires for Conductometric Detection of Bacteria in Water
by Shiva Akhtarian, Ali Doostmohammadi, Daphne-Eleni Archonta, Garrett Kraft, Satinder Kaur Brar and Pouya Rezai
Biosensors 2023, 13(10), 943; https://doi.org/10.3390/bios13100943 - 20 Oct 2023
Cited by 10 | Viewed by 3029
Abstract
The rapid, inexpensive, and on-site detection of bacterial contaminants using highly sensitive and specific microfluidic sensors is attracting substantial attention in water quality monitoring applications. Cell-imprinted polymers (CIPs) have emerged as robust, cost-effective, and versatile recognition materials with selective binding sites for capturing [...] Read more.
The rapid, inexpensive, and on-site detection of bacterial contaminants using highly sensitive and specific microfluidic sensors is attracting substantial attention in water quality monitoring applications. Cell-imprinted polymers (CIPs) have emerged as robust, cost-effective, and versatile recognition materials with selective binding sites for capturing whole bacteria. However, electrochemical transduction of the binding event to a measurable signal within a microfluidic device to develop easy-to-use, compact, portable, durable, and affordable sensors remains a challenge. For this paper, we employed CIP-functionalized microwires (CIP-MWs) with an affinity towards E. coli and integrated them into a low-cost microfluidic sensor to measure the conductometric transduction of CIP–bacteria binding events. The sensor comprised two CIP-MWs suspended perpendicularly to a PDMS microchannel. The inter-wire electrical resistance of the microchannel was measured before, during, and after exposure of CIP-MWs to bacteria. A decline in the inter-wire resistance of the sensor after 30 min of incubation with bacteria was detected. Resistance change normalization and the subsequent analysis of the sensor’s dose-response curve between 0 to 109 CFU/mL bacteria revealed the limits of detection and quantification of 2.1 × 105 CFU/mL and 7.3 × 105 CFU/mL, respectively. The dynamic range of the sensor was 104 to 107 CFU/mL where the bacteria counts were statistically distinguishable from each other. A linear fit in this range resulted in a sensitivity of 7.35 μS per CFU/mL. Experiments using competing Sarcina or Listeria cells showed specificity of the sensor towards the imprinted E. coli cells. The reported CIP-MW-based conductometric microfluidic sensor can provide a cost-effective, durable, portable, and real-time solution for the detection of pathogens in water. Full article
(This article belongs to the Special Issue Microfluidic Biosensing Technologies for Point-of-Care Applications)
Show Figures

Figure 1

12 pages, 2323 KB  
Article
Simultaneous Viscosity Measurement of Suspended Blood and Plasma Separated by an Ultrasonic Transducer
by Yang Jun Kang
Appl. Sci. 2023, 13(6), 3574; https://doi.org/10.3390/app13063574 - 10 Mar 2023
Cited by 5 | Viewed by 3727
Abstract
Blood viscosity is influenced by several factors, including red blood cell (RBC) deformability, hematocrit (Hct), and plasma protein levels. To effectively isolate the individual contributions of several factors, it is necessary to simultaneously measure the viscosities of the blood and plasma. In this [...] Read more.
Blood viscosity is influenced by several factors, including red blood cell (RBC) deformability, hematocrit (Hct), and plasma protein levels. To effectively isolate the individual contributions of several factors, it is necessary to simultaneously measure the viscosities of the blood and plasma. In this study, the viscosities of suspended blood and plasma were obtained sequentially by adopting an ultrasonic transducer for plasma separation and a co-flowing microfluidic channel for viscosity measurement. To improve the measurement accuracy of viscosity, the correction factor was obtained through experiments and numerical simulations, which was then inserted into the analytical expression for viscosity. To stabilize the pulsatile blood flow resulting from a micropump, the frequency (f) and voltage (v) were set to f = 300 Hz and v = 140 au, respectively. Flexible polyethylene tubing (i.d. = 500 µm, length = 40 mm) was connected to the microfluidic device as an air damper. Consequently, the coefficient of variance of the blood velocity decreased by up to 1%. As a demonstration, suspended blood (Hct = 20%, 30%, and 40%) was prepared by adding normal RBCs to autologous plasma. Compared with the previous method, the present method overestimates the viscosity values of both the fluids (i.e., suspended blood: 14–25% and plasma: 7–21%). The present method has the ability to sequentially measure the viscosities of suspended blood and plasma. The integrated system contributes to reducing blood-handling procedures (i.e., blood collection, blood loading into the syringe, and syringe installation into the syringe pump). Full article
(This article belongs to the Special Issue Complex Systems in Biophysics: Modeling and Analysis)
Show Figures

Figure 1

Back to TopTop