Analytical Investigation of Thermal Radiation Effects on Electroosmotic Propulsion of Electrically Conducting Ionic Nanofluid with Single-Walled Carbon Nanotube Interaction in Ciliated Channels
Abstract
1. Introduction
2. Mathematical Formulation
3. Governing Equations
4. Solution Procedure
4.1. Zeroth-Order System
4.2. First-Order System
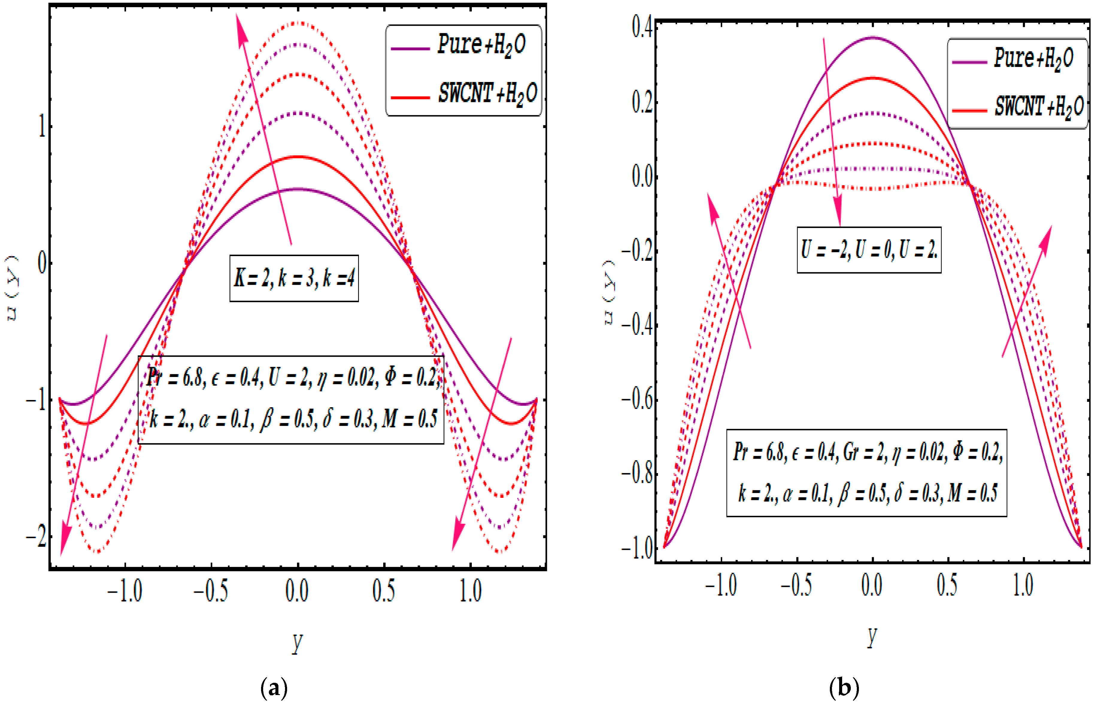
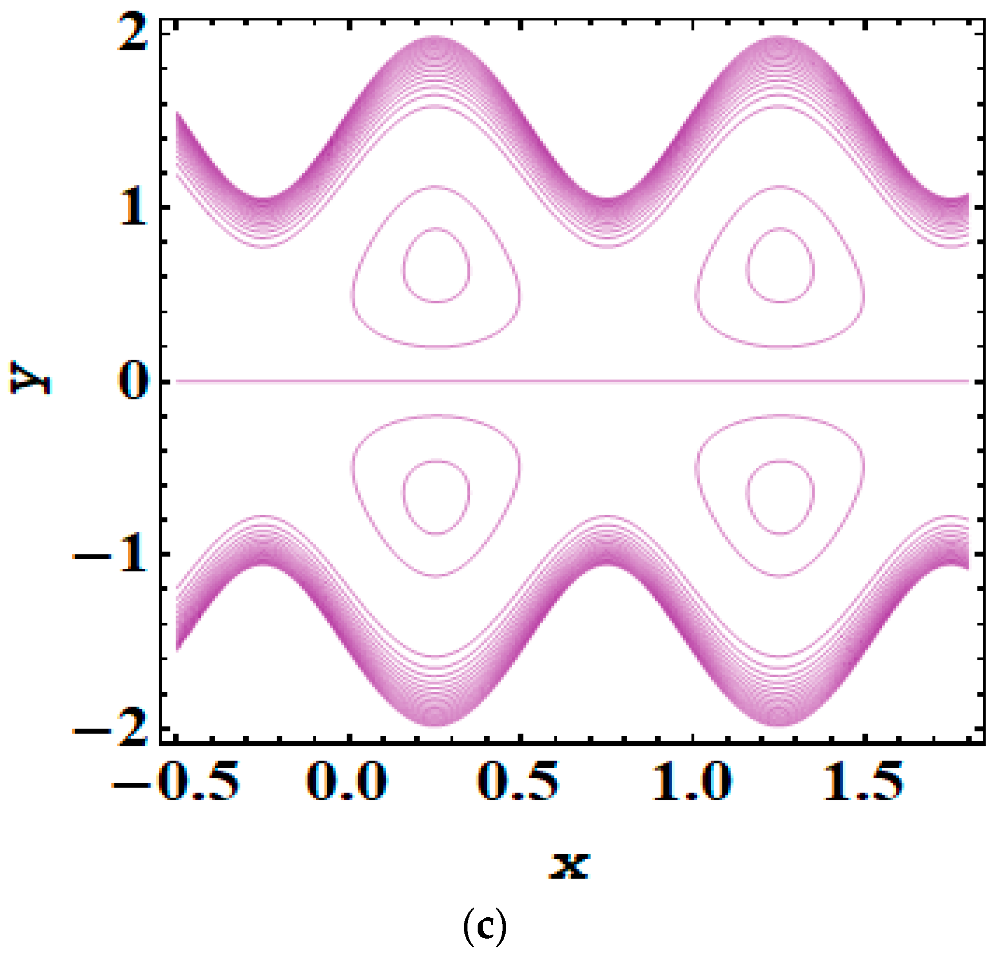
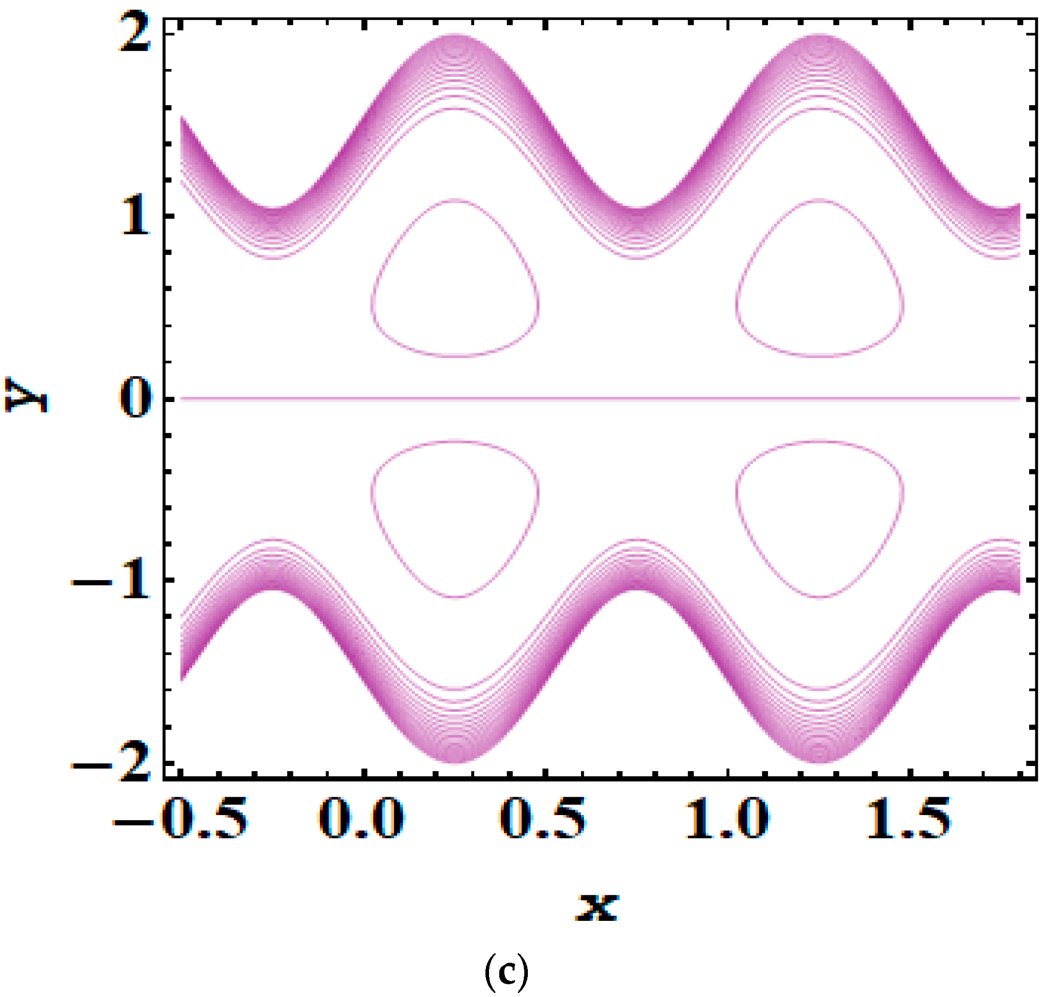
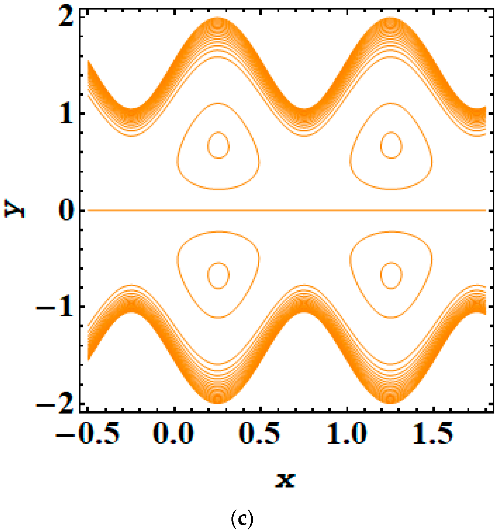
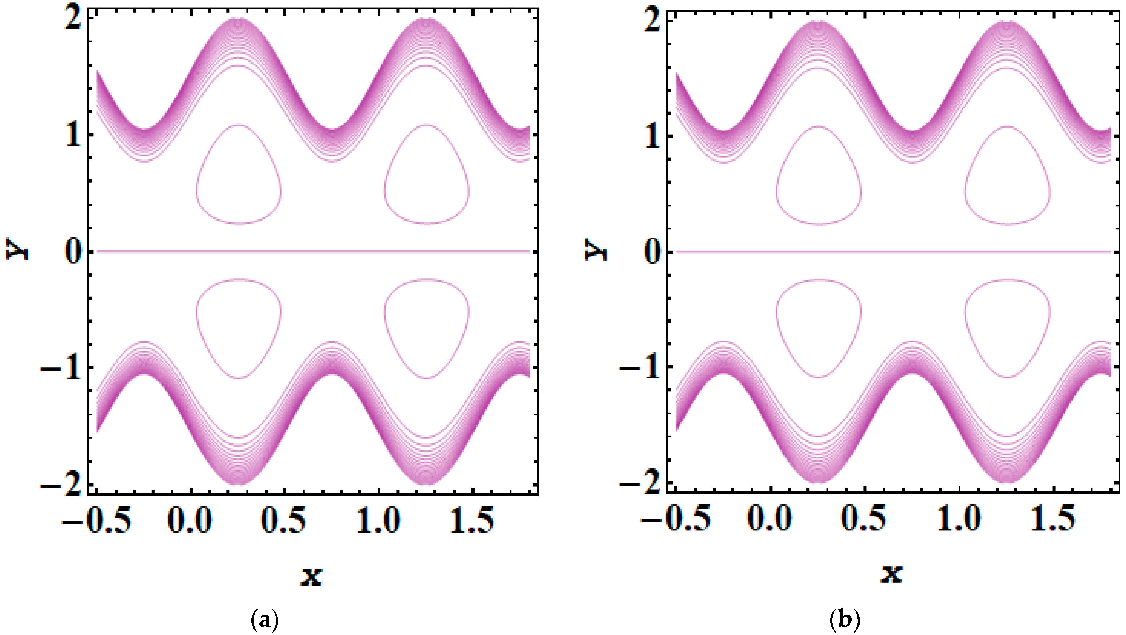
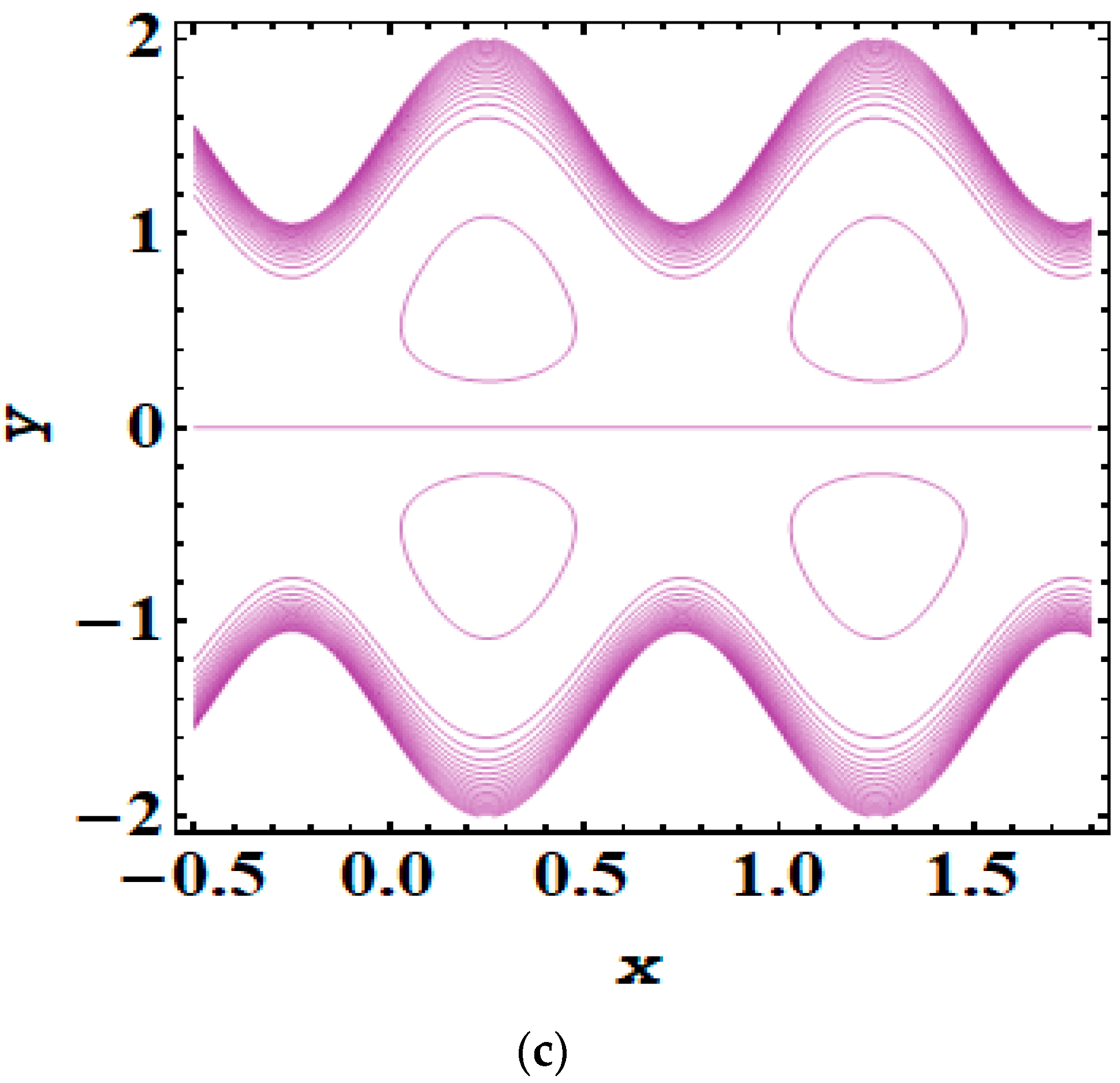
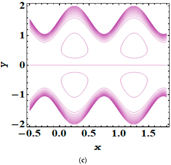
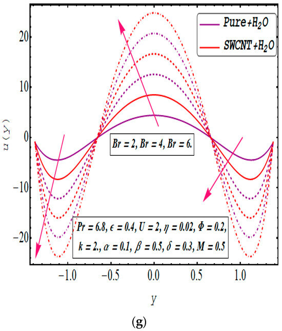
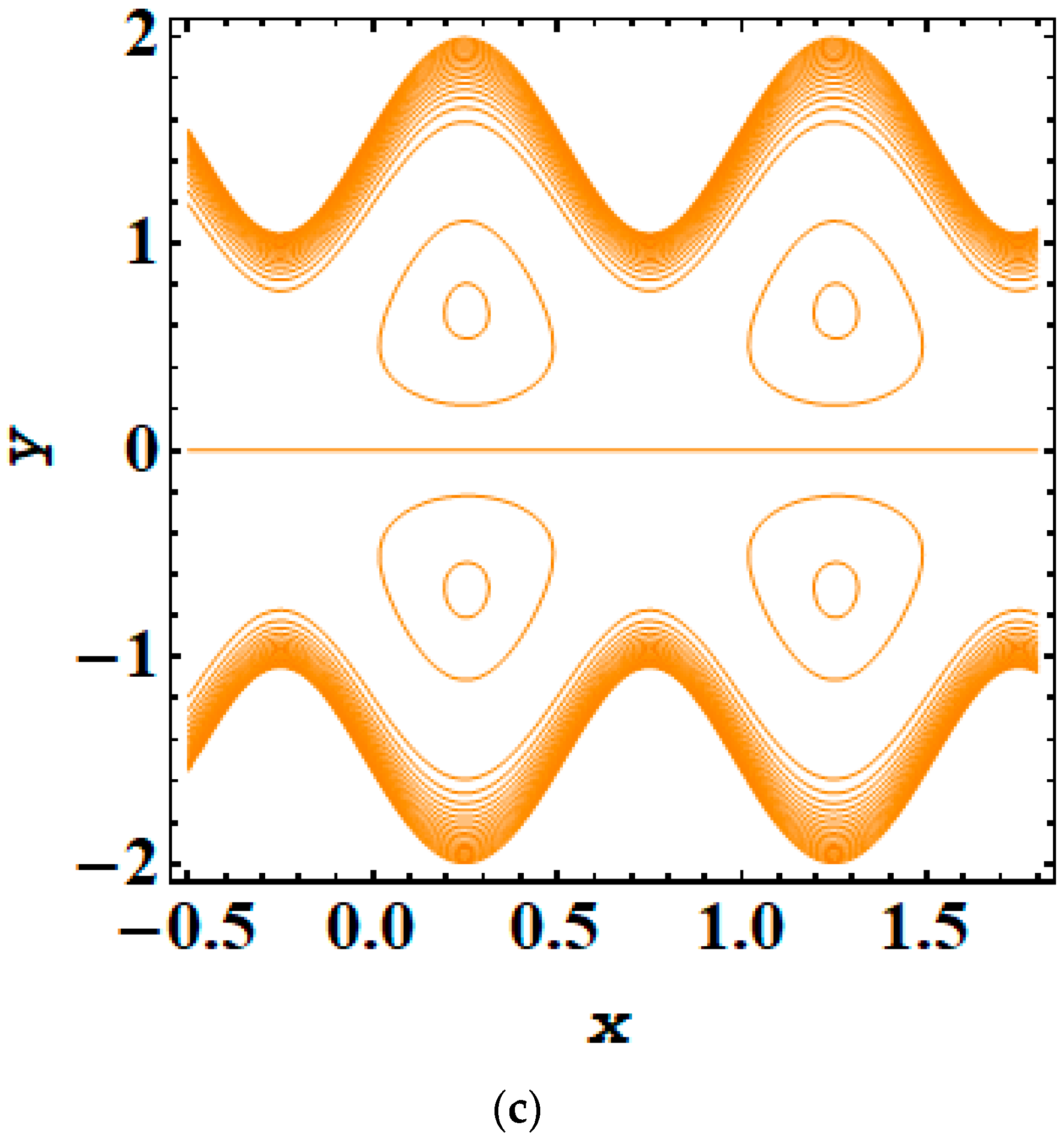
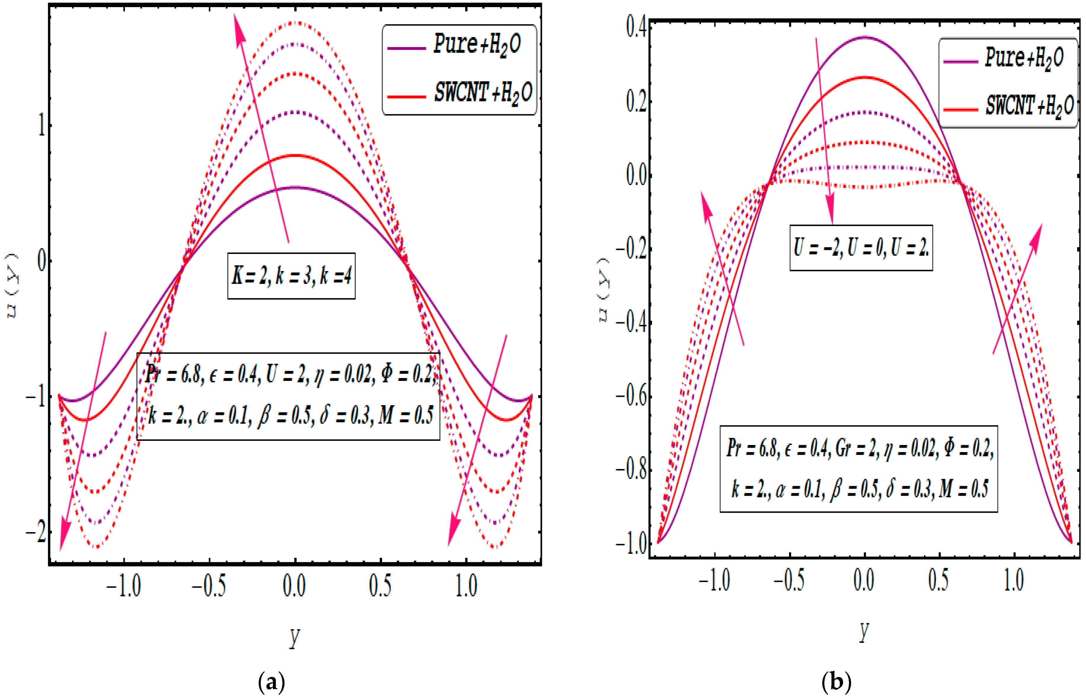
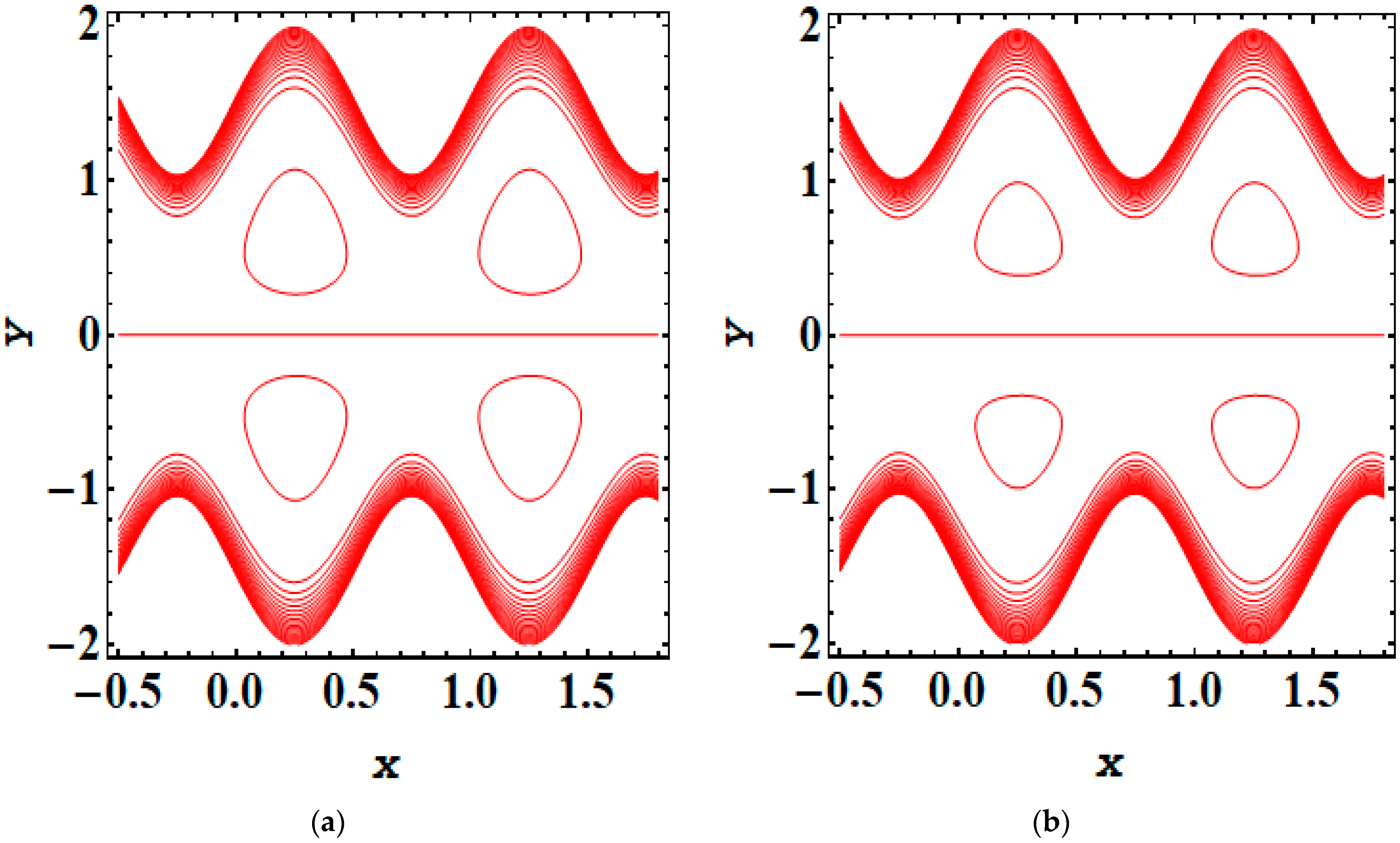
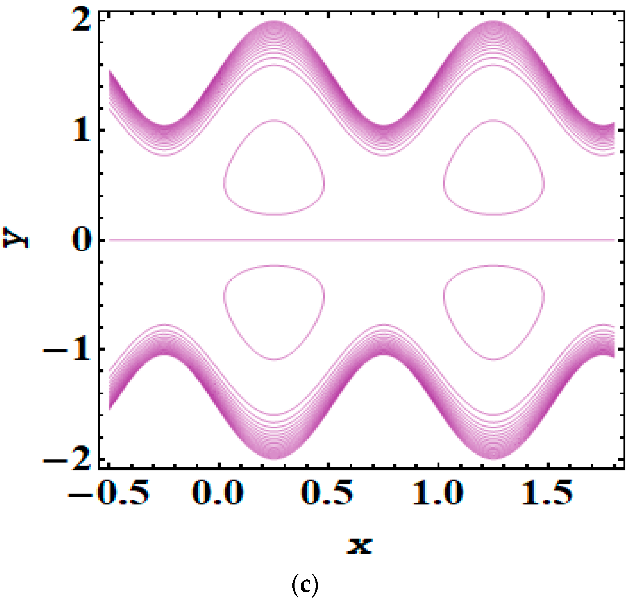
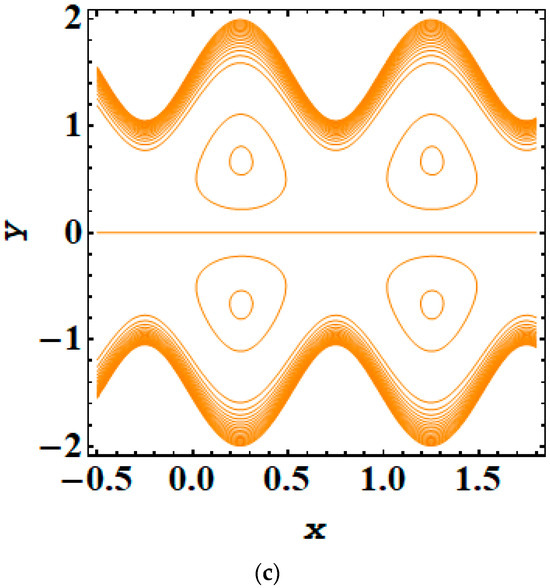
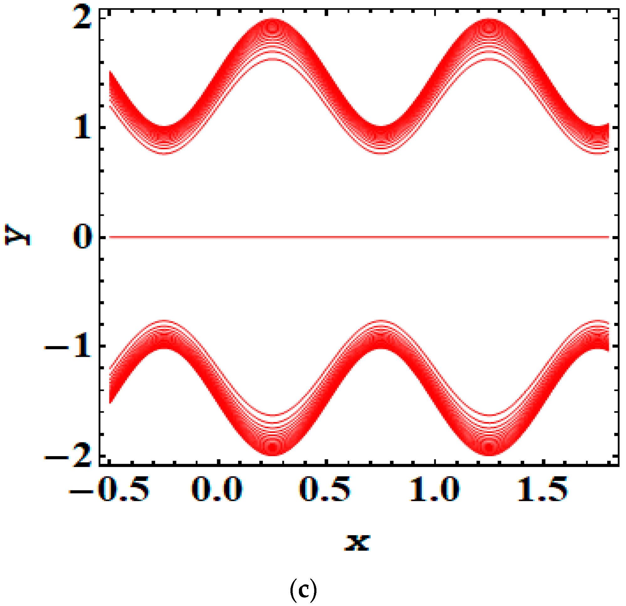
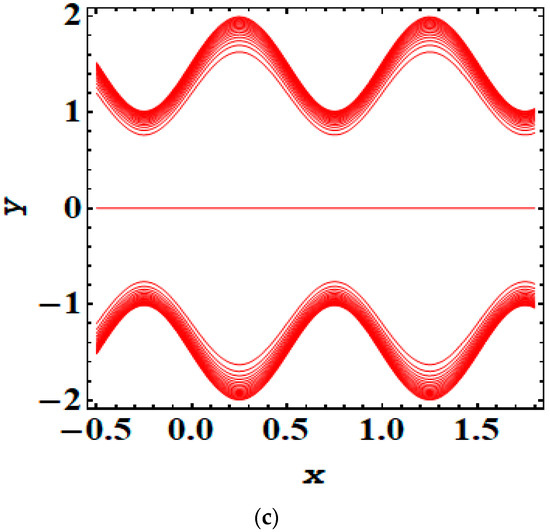
5. Results and Discussion
6. Conclusions
- The velocity tends to increase as the Debye length parameter increases.
- The temperature rises when the electric field is added and decreases when opposed.
- As the magnitude of the Debye length parameter rises, the trapping bolus also increases.
- Adding and removing the electric field significantly impacts trapping phenomena.
- The incorporation of SWCNTs tends to reduce the temperature profile, primarily due to the heightened thermal conductivity of the base fluid.
- The pumping and flow characteristics increase when an electric field is added and decrease when it is opposed.
- The addition or opposition of an electric field greatly influences the dynamics of trapping phenomena.
- The outcomes of this model find potential applications in biomicrofluidics, particularly in the development of controlled medication delivery systems aimed at identifying and targeting cancerous cells during treatment. Additionally, this model holds promise for enhancing the efficiency of solar heat collectors and various cooling systems.
Author Contributions
Funding
Data Availability Statement
Conflicts of Interest
Appendix A
References
- Reuss, F. Sur un nouvel effect de l electricite glvanique. Mem. Soc. Imp. Nat. Mosc. 1890, 2, 326–339. [Google Scholar]
- Kirby, B.J. Chapter 6: Electroosmosis. In Micro Nanoscale Fluid Mechanics: Transport in Microfluidic Devices; Cambridge University Press: Cambridge, UK, 2010. [Google Scholar]
- Bruus, H. Theoretical Microfluidics; Oxford University Press: New York, NY, USA, 2017. [Google Scholar]
- Arangoa, M.A.; Campanero, M.A.; Popineau, Y.; Irache, J.M. Electrophoretic separation and characterization gliadin fractions from isolates and nanoparticulate drug delivery systems. Chromstograhia 1999, 50, 243–246. [Google Scholar] [CrossRef]
- Chang, H.; Chen, H.; Hsieh, M.M.; Tseng, W.L. Electrophoretic separation of DNA in the presence of electrooosmotic flow. Rev. Anal. Chem. 2000, 19, 45–74. [Google Scholar] [CrossRef]
- Fung, Y.C.; Yih, C.S. Peristaltic transport. J. Appl. Mech. 1968, 35, 669–675. [Google Scholar] [CrossRef]
- Srivastava, L.M.; Srivastava, V.P.; Sinha, S.N. Peristaltic transport of a physiological fluid. Biorheology 1983, 20, 153–166. [Google Scholar] [CrossRef] [PubMed]
- Saleem, A.; Qaiser, A.; Nadeem, S.; Ghalambaz, M.; Issakhov, A. Physiological Flow of Non-Newtonian Fluid with Variable Density inside a Ciliated Symmetric Channel Having Compliant Wall. Arab. J. Sci. Eng. 2020, 46, 801–812. [Google Scholar] [CrossRef]
- Chakraborty, S. Augmentation of peristaltic microflows through electro-osmotic mechanisms. J. Phys. D Appl. Phys. 2006, 39, 5356–5363. [Google Scholar] [CrossRef]
- Bandopadhyay, A.; Tripathi, D.; Chakraborty, S. Electroosmosis-modulated peristaltic transport in microfluidic channels. Phys. Fluids 2016, 28, 052002. [Google Scholar] [CrossRef]
- Ranjit, N.K.; Shit, G.C. Entropy generation on electro-osmotic flow pumping by a uniform peristaltic wave under magnetic environment. Energy 2017, 128, 649–660. [Google Scholar] [CrossRef]
- Akram, J.; Akbar, N.S.; Tripathi, D. Numerical study of the electroosmotic flow of Al2O3–CH3OH Sisko nanofluid through a tapered microchannel in a porous environment. Appl. Nanosci. 2020, 10, 4161–4176. [Google Scholar] [CrossRef]
- Ranjit, N.K.; Shit, G.C.; Sinha, A. Transportation of ionic liquids in a porous micro-channel induced by peristaltic wave with Joule heating and wall-slip conditions. Chem. Eng. Sci. 2017, 171, 545–557. [Google Scholar] [CrossRef]
- Bhatti, M.M.; Zeeshan, A.; Ellahi, R.; Ijaz, N. Heat and mass transfer of two-phase flow with Electric double-layer effects induced due to peristaltic propulsion in the presence of the transverse magnetic field. J. Mol. Liq. 2017, 230, 237–246. [Google Scholar] [CrossRef]
- Prakash, J.; Sharma, A.; Tripathi, D. Thermal radiation effects on electroosmosis modulated peristaltic transport of ionic nanoliquids in biomicrofluidics channel. J. Mol. Liq. 2018, 249, 843–855. [Google Scholar] [CrossRef]
- Tripathi, D.; Jhorar, R.; Bég, O.A.; Shaw, S. Electroosmosis modulated peristaltic biorheological flow through an asymmetric microchannel: A mathematical model. Meccanica 2018, 53, 2079–2090. [Google Scholar] [CrossRef]
- Prakash, J.; Ramesh, K.; Tripathi, D.; Kumar, R. Numerical simulation of heat transfer in blood flow altered by electroosmosis through tapered micro-vessels. Microvasc. Res. 2018, 118, 162–172. [Google Scholar] [CrossRef] [PubMed]
- Kattamreddy, V.R.; Makinde, O.D.; Reddy, M.G. Thermal analysis of MHD electro-osmotic peristaltic pumping of Casson fluid through a rotating asymmetric micro-channel. Indian J. Phys. 2018, 92, 1439–1448. [Google Scholar]
- Akram, J.; Akbar, N.S.; Tripathi, D. Blood-based graphene oxide nanofluid flow through capillary in the presence of electromagnetic fields: A Sutterby fluid model. Microvas. Res. 2020, 132, 104062. [Google Scholar] [CrossRef] [PubMed]
- Noreen, S.; Ain, Q. Entropy generation analysis on electroosmotic flow in non-Darcy porous medium via peristaltic pumping. J. Therm. Anal. Calorim. 2019, 137, 1991–2006. [Google Scholar] [CrossRef]
- Choi, S.; Eastman, J. Enhancing thermal conductivity of the fluids with nanoparticles. In Proceedings of the ASME International Mechanical Engineering Congress and Exposition, ASME, San Francisco, CA, USA, 12–17 November 1995. [Google Scholar]
- Tiwari, R.J.; Das, M.K. Heat transfer augmentation in a two-sided lid-driven differentially heated square cavity utilizing nanofluids. Int. J. Heat Mass Transf. 2007, 50, 2002–2018. [Google Scholar] [CrossRef]
- Sleigh, A. The Biology of Cilia and Flagella; MacMillian: New York, NY, USA, 1962; Volume 9, pp. 339–398. [Google Scholar]
- Christensen, S.T.; Pedersen, L.B.; Schneider, L.; Satir, P. Sensory cilia and integration of signal transduction in human health and disease. Traffic 2007, 8, 97. [Google Scholar] [CrossRef]
- Eggenschwiler, J.T.; Anderson, K.V. Cilia and developmental signaling. Annu. Rev. Cell Dev. Biol. 2007, 23, 345. [Google Scholar] [CrossRef] [PubMed]
- Ibanez-Tallon, I.; Heintz, N.; Omran, H. To beat or not to beat: Roles of cilia in development and disease. Hum. Mol. Genet. 2003, 12, R27–R35. [Google Scholar] [CrossRef] [PubMed]
- Davis, E.E.; Brueckner, M.; Katsanis, N. The emerging complexity of the vertebrate cilium: New functional roles for an ancient organelle. Dev. Cell 2006, 11, 9. [Google Scholar] [CrossRef] [PubMed]
- Maiti, S.; Pandey, S.K. Rheological fluid motion in tube by metachronal wave of cilia. arXiv 2013, arXiv:1308.3608v1. [Google Scholar] [CrossRef]
- Asha, S.K.; Namrata, K. Influence of metra chronal ciliary wave motion on peristalatic flow of nanofluid model of synovitis problem. AIP Adv. 2022, 12, 055217. [Google Scholar]
- Gholamalipour, P.; Siavashi, M.; Doranehgard, M.H. Eccentricity effects of heat source inside a porous annulus on the natural convection heat transfer and entropy generation of Cu-water nanofluid. Int. Commun. Heat Mass Transf. 2019, 109, 104367. [Google Scholar] [CrossRef]
- Turkyilmazoglu, M. An analytical treatment for the exact solutions of MHD flow and heat over two–three dimensional deforming bodies. Int. J. Heat Mass Transf. 2015, 90, 781–789. [Google Scholar] [CrossRef]
- Turkyilmazoglu, M. Corrections to long wavelength pproximation of peristalsis viscous fluid flow within a wavy channel. Chin. J. Phys. 2024, 89, 340–354. [Google Scholar] [CrossRef]
- Zhang, L.; Bhatti, M.M.; Marin, M.; Mekheimer, K.S. Entropy analysis on the blood flow through anisotropically tapered arteries filled with magnetic zinc-oxide (ZnO) nanoparticles. Entropy 2020, 22, 1070. [Google Scholar] [CrossRef]
- Sharma, B.K.; Kumar, A.; Gandhi, R.; Bhatti, M.M.; Mishra, N.K. Entropy Generation and Thermal Radiation Analysis of EMHD Jeffrey Nanofluid Flow: Applications in Solar Energy. Nanomaterials 2023, 13, 544. [Google Scholar] [CrossRef]
- Gandhi, R.; Sharma, B.K.; Mishra, N.K.; Al-Mdallal, Q.M. Computer Simulations of EMHD Casson Nanofluid Flow of Blood through an Irregular Stenotic Permeable Artery: Application of Koo-Kleinstreuer-Li Correlations. Nanomaterials 2023, 13, 652. [Google Scholar] [CrossRef] [PubMed]
- Waqas, H.; Khan, S.U.; Bhatti, M.M.; Imran, M. Significance of bioconvection in chemical reactive flow of magnetized Carreau–Yasuda nanofluid with thermal radiation and second-order slip. J. Therm. Anal. Calorim. 2020, 140, 1293–1306. [Google Scholar] [CrossRef]
- Zafar, S.; Khan, A.A.; Sait, S.M.; Ellahi, R. Numerical investigation on unsteady compressible flow of viscous fluid with convection under the effect of Joule heating. J. Comput. Appl. Mech. 2024, 55. [Google Scholar] [CrossRef]
- Kanwal, A.; Khan, A.A.; Sait, S.M.; Ellahi, R. Heat transfer analysis of magnetohydrodynamics peristaltic fluid with inhomogeneous solid particles and variable thermal conductivity through curved passageway. Int. J. Numer. Methods Heat Fluid Flow 2024, 34, 1884–1902. [Google Scholar] [CrossRef]
- Khan, A.A.; Fatima, G.; Sait, S.M.; Ellahi, R. Electromagnetic effects on two-layer peristalsis flow of Powell–Eyring nanofluid in axisymmetric channel. J. Therm. Anal. Calorim. 2024, 149, 3631–3644. [Google Scholar] [CrossRef]
- Ellahi, R. The effects of MHD and temperature dependent viscosity on the flow of non-Newtonian nanofluid in a pipe: Analytical solutions. Appl. Math. Model. 2013, 37, 1451–1457. [Google Scholar] [CrossRef]
- Ellahi, R.; Zeeshan, A.; Hussain, F.; Asadollahi, A. Peristaltic blood flow of couple stress fluid suspended with nanoparticles under the influence of chemical reaction and activation energy. Symmetry 2019, 11, 276. [Google Scholar] [CrossRef]
- Choi, S.U.S.; Zhang, Z.G.; Yu, W.; Lockwood, F.E.; Grulke, E.A. Anomalous thermal conductivity enhancement in nanotube suspensions. Appl. Phys. Lett. 2007, 79, 2252–2254. [Google Scholar] [CrossRef]
- Kam, N.W.S.; O’Connell, M.; Wisdom, J.A.; Dai, H. Carbon nanotubes as multifunctional biological transporters and near-infrared agents for selective cancer cell destruction. Proc. Natl. Acad. Sci. USA 2017, 102, 11600–11605. [Google Scholar] [CrossRef]
- Akram, J.; Akbar, N.S.; Tripathi, D. Electoosmosis augmented MHD peristaltic transport of SWCNTs suspention in aqueous media. J. Therm. Anal. Calorim. 2021, 147, 2509–2526. [Google Scholar] [CrossRef]
- Lardner, T.J.; Shack, W.J. Cilia transport. Bull. Math. Biol. 1972, 34, 325–335. [Google Scholar] [CrossRef] [PubMed]
- Akbar, N.S.; Tripathi, D.; Khan, Z.H.; Beg, O.A. Mathematical model for ciliary-induced transport in MHD flow of Cu-H2O nanofluid with magnetic induction. Chin. J. Phys. 2017, 55, 947–962. [Google Scholar] [CrossRef]
- Tripathi, D.; Sharma, A.; Bég, O.A. Electrothermal transport of nanofluids via peristaltic pumping in a finite micro-channel: Effects of Joule heating and Helmholtz-Smoluchowski velocity. Int. J. Heat Mass Trans. 2017, 111, 138–149. [Google Scholar] [CrossRef]
- Narla, V.K.; Tripathi, D.; Bég, O.A. Electro-osmotic nanofluid flow in a curved microchannel. Chin. J. Phys. 2020, 67, 544–558. [Google Scholar] [CrossRef]
- Tripathi, D.; Yadav, A.; Bég, O.A. Electro-kinetically driven peristaltic transport of viscoelastic physiological fluids through a finite length capillary. Math. Model. Math. Biosci. 2017, 283, 155–168. [Google Scholar] [CrossRef]
- Prakash, J.; Tripathi, D. Electroosmotic flow of Williamson ionic nanoliquids in a tapered microfluidic channel in presence of thermal radiation and peristalsis. J. Mol. Liq. 2018, 256, 352–371. [Google Scholar] [CrossRef]
- Ellahi, R.; Sait, S.M.; Shehzad, N.; Mobin, N. Numerical simulation and mathematical modeling of electroosmotic Couette-Poiseuille flow of MHD power-law nanofluid with entropy generation. Symmetry 2019, 11, 1038. [Google Scholar] [CrossRef]






















| Physical Properties | H2O | SWCNT |
|---|---|---|
| 4179.0 | 425 | |
| 997.1 | 2600 | |
| 0.613 | 6600 | |
| 21.0 | 1.9 |
| y | Current Results When α = 0, β = 0, δ = 0 | with Ref. [46], When Br = 0, η = 0, γ = 0 and U = 0 |
|---|---|---|
| −1.3 | ||
| −0.8 | ||
| −0.3 | ||
| 0.2 | ||
| 0.7 | ||
| 1.0 | ||
| 1.3 |
Disclaimer/Publisher’s Note: The statements, opinions and data contained in all publications are solely those of the individual author(s) and contributor(s) and not of MDPI and/or the editor(s). MDPI and/or the editor(s) disclaim responsibility for any injury to people or property resulting from any ideas, methods, instructions or products referred to in the content. |
© 2024 by the authors. Licensee MDPI, Basel, Switzerland. This article is an open access article distributed under the terms and conditions of the Creative Commons Attribution (CC BY) license (https://creativecommons.org/licenses/by/4.0/).
Share and Cite
Mehboob, J.; Ellahi, R.; Sait, S.M. Analytical Investigation of Thermal Radiation Effects on Electroosmotic Propulsion of Electrically Conducting Ionic Nanofluid with Single-Walled Carbon Nanotube Interaction in Ciliated Channels. Symmetry 2024, 16, 717. https://doi.org/10.3390/sym16060717
Mehboob J, Ellahi R, Sait SM. Analytical Investigation of Thermal Radiation Effects on Electroosmotic Propulsion of Electrically Conducting Ionic Nanofluid with Single-Walled Carbon Nanotube Interaction in Ciliated Channels. Symmetry. 2024; 16(6):717. https://doi.org/10.3390/sym16060717
Chicago/Turabian StyleMehboob, Junaid, Rahmat Ellahi, and Sadiq Mohammad Sait. 2024. "Analytical Investigation of Thermal Radiation Effects on Electroosmotic Propulsion of Electrically Conducting Ionic Nanofluid with Single-Walled Carbon Nanotube Interaction in Ciliated Channels" Symmetry 16, no. 6: 717. https://doi.org/10.3390/sym16060717
APA StyleMehboob, J., Ellahi, R., & Sait, S. M. (2024). Analytical Investigation of Thermal Radiation Effects on Electroosmotic Propulsion of Electrically Conducting Ionic Nanofluid with Single-Walled Carbon Nanotube Interaction in Ciliated Channels. Symmetry, 16(6), 717. https://doi.org/10.3390/sym16060717

