Sign in to use this feature.

Years

Between: -

Subjects

remove_circle_outline
remove_circle_outline
remove_circle_outline
remove_circle_outline
remove_circle_outline
remove_circle_outline
remove_circle_outline
remove_circle_outline
remove_circle_outline

Journals

remove_circle_outline
remove_circle_outline
remove_circle_outline
remove_circle_outline
remove_circle_outline
remove_circle_outline
remove_circle_outline
remove_circle_outline
remove_circle_outline
remove_circle_outline

Article Types

Countries / Regions

remove_circle_outline
remove_circle_outline
remove_circle_outline
remove_circle_outline

Search Results (363)

Search Parameters:
Keywords = student-athletes

Order results
Result details
Results per page
Select all
Export citation of selected articles as:
18 pages, 321 KB  
Article
Influence of Bilateral Upper Limb Morphological Asymmetry on Grip Strength Related to Gender in Non-Athlete University Students
by Stefan Alecu, Gheorghe Adrian Onea, Dana Badau, Adela Badau and Florentina Nechita
Symmetry 2026, 18(1), 122; https://doi.org/10.3390/sym18010122 - 8 Jan 2026
Abstract
Bilateral morphological asymmetry of the upper limbs may influence grip strength even in semi-active young adults. Understanding this relationship is important for identifying early neuromuscular imbalances with implications for ergonomics and rehabilitation. This study aimed to examine associations between upper limb anthropometric characteristics [...] Read more.
Bilateral morphological asymmetry of the upper limbs may influence grip strength even in semi-active young adults. Understanding this relationship is important for identifying early neuromuscular imbalances with implications for ergonomics and rehabilitation. This study aimed to examine associations between upper limb anthropometric characteristics and grip strength in non-athlete students, considering gender and manual dominance. The sample included 192 healthy university students (110 females, 82 males; mean age 19.92 ± 1.4 years) without prior sports training. Thirteen bilateral anthropometric parameters of the upper limbs were assessed, including hand and palm dimensions, segmental lengths, and arm and forearm circumferences, along with grip strength measured by dynamometry in two positions: arm extended and arm flexed at 90°. Statistical analysis revealed significant differences in forearm length, arm and forearm circumferences, and grip strength (p < 0.001). The dominant limb consistently demonstrated higher grip strength, with mean differences of approximately 2 kg. Male participants showed higher absolute values for all morphological and functional variables, whereas stronger correlations between distal upper-limb morphology and grip strength were observed in females. These findings indicate that, despite largely symmetric skeletal dimensions, moderate functional asymmetries exist and grip strength is influenced primarily by local muscular development rather than overall limb size. Full article
(This article belongs to the Special Issue Symmetry Application in Motor Control in Sports and Rehabilitation)
13 pages, 756 KB  
Article
The Acute Effects of High-Intensity Interval Training on Oxidative Stress Markers and Phagocyte Oxidative Burst Activity in Young Professional Athletes and Non-Athlete University Students
by László Balogh, Eszter Szklenár, Ádám Diós, Attila Csaba Arany, József Márton Pucsok, Zalán Mihály Bács, László Rátgéber, Zoltán Csiki, Ágnes Gyetvai and Gábor Papp
Life 2026, 16(1), 84; https://doi.org/10.3390/life16010084 - 6 Jan 2026
Viewed by 216
Abstract
During exercise, increased oxygen consumption results in elevated production of reactive oxygen species (ROS). If the antioxidant system is unable to counteract this surge in ROS, oxidative stress occurs. Physical activity modulates both the generation and clearance of ROS through dynamic interactions between [...] Read more.
During exercise, increased oxygen consumption results in elevated production of reactive oxygen species (ROS). If the antioxidant system is unable to counteract this surge in ROS, oxidative stress occurs. Physical activity modulates both the generation and clearance of ROS through dynamic interactions between metabolic and antioxidant systems, and also influences the oxidative burst activity of phagocytes, a key component of the innate immune response. To investigate the acute physiological responses to high-intensity interval training (HIIT), we assessed the effects of a single HIIT session on oxidative stress markers and the oxidative burst activity of phagocytes in young professional athletes and non-athlete individuals. Blood samples were collected before and after a HIIT session from eleven male athletes (mean age: 22.1 ± 4.5 years) and ten male non-athlete university students (mean age: 21.6 ± 2.3 years). Participants performed a single treadmill HIIT session of ten 45-s intervals at 75–85% of heart rate reserve, separated by 45-s low-intensity recovery periods, with target intensities individualized using the Karvonen formula. Total antioxidant capacity, activities of catalase, superoxide dismutase and glutathione peroxidase enzymes, total serum nitrite/nitrate levels, lipid peroxidation products, and oxidative burst activity of phagocytes were evaluated before and after exercise. In athletes, a significant increase was observed in the activity of superoxide dismutase (from a median of 2.09 to 2.21 U/mL; p = 0.037) and catalase (from a median of 32.94 to 45.45 nmol/min/mL; p = 0.034) after exercise, whereas no significant changes were found in the control group. Total serum nitrite/nitrate levels significantly increased in both groups after exercise (athletes: from a median of 8.70 to 9.95 µM; p = 0.029; controls: from a median of 10.20 to 11.50 µM; p = 0.016). Oxidative burst capacity of peripheral blood phagocytes was significantly higher in athletes both before (median: 10,422 vs. 6766; p = 0.029) and after (median: 9365 vs. 7370; p = 0.047) the HIIT session compared to controls. Our findings demonstrate that training status markedly influences oxidative stress responses, with athletes exhibiting more effective long-term antioxidant adaptations. These results emphasize the necessity of tailoring exercise regimens to baseline fitness levels in order to optimize oxidative stress management across different populations. Full article
Show Figures

Figure 1

18 pages, 4561 KB  
Article
Relationship Between Sleep Irregularity and School Non-Attendance Among Japanese Elementary and Junior High School Students
by Ikuko Hirata, Tomoko Nishimura, Yuko Osuka, Manabu Wakuta and Masako Taniike
Children 2026, 13(1), 80; https://doi.org/10.3390/children13010080 - 4 Jan 2026
Viewed by 173
Abstract
Background/Objectives: In Japan, the number of elementary and junior high school students who do not attend school is increasing. Sleep problems are considered a contributing factor. Methods: This study utilized self-administered questionnaires about the sleep patterns and backgrounds of 25,257 students [...] Read more.
Background/Objectives: In Japan, the number of elementary and junior high school students who do not attend school is increasing. Sleep problems are considered a contributing factor. Methods: This study utilized self-administered questionnaires about the sleep patterns and backgrounds of 25,257 students from the 3rd–10th grades across 91 elementary schools, 51 junior high schools, and 36 high schools in Japan. Latent class analysis was performed to assess sleep regularity. Logistic regression analysis was conducted to examine the relationship between sleep regularity and school attendance status, as well as the relationship with protective factors against non-attendance. Results: Overall, 19,005 students responded. The response rate was 75.2%. Sleep regularity was categorized into Class 1, Regular; Class 2, Somewhat Irregular; Class 3, Irregular; and Class 4, Schedule-Dependent. Class 1 decreased with grade, from 61.8% in the 3rd grade to 46.2% in the 10th grade. Class 3 comprised 10.0% of students not experiencing school non-attendance, 37.9% among students with persistent school non-attendance, and 17.9% among students who had resumed school attendance after school non-attendance in the previous year. Classes 2, 3, and 4 showed a negative relationship with protective factors against non-attendance such as good relationships with teachers and family, good communication, academic performance, proficiency in athletic activities, and the presence of a place to belong outside school. Conclusions: Sleep irregularity is related to school non-attendance and may serve as a barometer of students’ communication and academic difficulties. Additionally, we propose an early intervention for sleep problems to prevent the exacerbation of school non-attendance. Full article
(This article belongs to the Special Issue Insufficient Sleep Syndrome in Children and Adolescents)
Show Figures

Figure 1

10 pages, 1266 KB  
Article
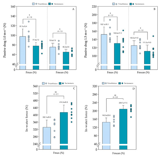
Comparison of the Hydrodynamic Profile Between Competitive Triathletes and Swimmers
by Lawinya Assíria-Costa, Marta L. Machado, Catarina C. Santos and Mário J. Costa
J. Funct. Morphol. Kinesiol. 2026, 11(1), 10; https://doi.org/10.3390/jfmk11010010 - 26 Dec 2025
Viewed by 289
Abstract
Objectives: This study aimed to compare the hydrodynamic profile between triathletes and competitive swimmers and to establish associations with short- and middle-distance performance. Methods: A total of 18 male athletes, including 10 swimmers and 8 triathletes, all registered in their respective federations, underwent [...] Read more.
Objectives: This study aimed to compare the hydrodynamic profile between triathletes and competitive swimmers and to establish associations with short- and middle-distance performance. Methods: A total of 18 male athletes, including 10 swimmers and 8 triathletes, all registered in their respective federations, underwent assessments of passive drag, active drag and power, tethered swimming force, kinematics, and performance over a 200 m and 25 m front crawl. Group comparisons were performed using either Student’s t-test or the Mann–Whitney U test at a significance level of p ≤ 0.05. Results: The triathletes presented higher passive drag and lower levels of force and power to overcome drag. Correlation analysis showed that, among the triathletes, both times at 200 m and 25 m were associated with mean passive drag (r = 0.68 to 0.86) and power (r = −0.58 to −0.80), whereas in swimmers, the mean in-water force was the single variable associated with time at 25 m (r = −0.51). Conclusions: There is a clear hydrodynamic superiority of swimmers compared to triathletes, reflecting their higher mean swimming velocity due to a greater ability to apply force. This suggests that specific technical interventions for triathletes, focusing on drag reduction and improvements in propulsive power, are needed to close this gap with swimmers. Full article
(This article belongs to the Special Issue Innovative Approaches in Monitoring Individual Sports)
Show Figures

Figure 1

10 pages, 251 KB  
Article
OpenCap vs. LESS: Sport-Specific Profiling of Dynamic Knee Valgus
by Ji-Hoon Cho, Seung-Taek Lim and An-Sik Heo
J. Clin. Med. 2025, 14(24), 8879; https://doi.org/10.3390/jcm14248879 - 15 Dec 2025
Viewed by 302
Abstract
Background/Objectives: This study investigated the relationships among the Landing Error Scoring System (LESS), markerless 3D (OpenCap)-derived knee valgus, and surface electromyography (EMG) of quadriceps and hamstrings. Methods: Thirty-two healthy male university students (26 athletes, 6 non-athletes) completed a drop-landing task. LESS [...] Read more.
Background/Objectives: This study investigated the relationships among the Landing Error Scoring System (LESS), markerless 3D (OpenCap)-derived knee valgus, and surface electromyography (EMG) of quadriceps and hamstrings. Methods: Thirty-two healthy male university students (26 athletes, 6 non-athletes) completed a drop-landing task. LESS was video-scored; knee valgus at peak knee flexion was computed with OpenCap; and bilateral rectus femoris (RF) and biceps femoris (BF) EMG was recorded. Phase-specific EMG was normalized to peak dynamic activity. Results: LESS showed an independent negative association with left knee valgus (p = 0.001). In the regression model, bilateral BF acceleration-phase activity was a significant predictor of knee valgus (p < 0.05). Exploratory comparisons indicated that athletes exhibited lower RF deceleration activity and smaller left-side valgus than non-athletes. Conclusions: These findings suggest that hamstring activity during the transition phase is linked to knee alignment. This study demonstrates the complementary value of integrating LESS with markerless 3D motion capture, although caution is warranted when generalizing group differences due to the unequal sample size. Full article
Show Figures

Figure 1

14 pages, 1579 KB  
Article
Adaptive Neuromuscular Co-Contraction Strategies Under Varying Approach Speeds and Distances During Single-Leg Jumping: An Exploratory Study
by Wei-Hsun Tai, Hsien-Te Peng, Jian-Zhi Lin and Po-Ang Li
Life 2025, 15(12), 1859; https://doi.org/10.3390/life15121859 - 4 Dec 2025
Viewed by 478
Abstract
Purpose: This study investigated how variations in approach speed and distance influence lower-limb muscle activation, joint co-contraction ratios (CCRs), and mechanical joint stiffness during single-leg approach run jump landings (ARJSL), to clarify adaptive neuromuscular strategies for joint stiffness regulation. Methods: Twenty-five physically active [...] Read more.
Purpose: This study investigated how variations in approach speed and distance influence lower-limb muscle activation, joint co-contraction ratios (CCRs), and mechanical joint stiffness during single-leg approach run jump landings (ARJSL), to clarify adaptive neuromuscular strategies for joint stiffness regulation. Methods: Twenty-five physically active male university students performed ARJSLs under six randomized conditions combining two approach speeds (fast > 4.0 m/s; slow < 4.0 m/s) and three approach distances (3, 6, and 9 m). Surface electromyography (sEMG) from five dominant-limb muscles—rectus femoris, biceps femoris, tibialis anterior, gastrocnemius, and soleus—was analyzed across three movement phases: pre-activation, downward (braking), and push-off. Knee and ankle CCRs were computed, while kinematic and kinetic data were used to calculate mechanical joint stiffness via inverse dynamics. A two-way repeated-measures ANOVA evaluated the main and interaction effects of approach speed and distance. Results: Significant speed × distance interactions were observed for tibialis anterior activation, several CCRs, and eccentric ankle stiffness (p < 0.05). Pre-activation knee CCR increased with longer, faster approaches, indicating anticipatory joint pre-stiffening. During braking, greater ankle co-contraction under fast–9 m conditions coincided with reduced mechanical ankle stiffness, suggesting a compensatory yielding strategy under high kinetic loads. In the push-off phase, faster approaches elicited higher concentric stiffness at the hip and ankle, supporting efficient energy transfer. Rectus femoris and gastrocnemius activation scaled with both approach speed and distance. Conclusions: Athletes adapt neuromuscular co-contraction and mechanical stiffness in a coordinated, phase-dependent manner to balance protection and performance. These insights may inform targeted training strategies for enhancing jump efficiency and mitigating ACL injury risk. Full article
(This article belongs to the Special Issue Sports Biomechanics, Injury, and Physiotherapy)
Show Figures

Figure 1

16 pages, 308 KB  
Article
A Preliminary Investigation of a Conceptual Framework of Performance Enhancement Across Different Life Domains
by Lida Skoufa, Despoina Ourda, Vassilis Barkoukis and Haralambos Tsorbatzoudis
Sports 2025, 13(12), 434; https://doi.org/10.3390/sports13120434 - 4 Dec 2025
Viewed by 272
Abstract
The use of chemically assisted performance enhancement (CAPE) substances has become a prominent trend in today’s competitive societies. Although evidence suggests that CAPE behaviors across different life domains share common characteristics, no consistent theoretical framework exists for understanding the decision to engage in [...] Read more.
The use of chemically assisted performance enhancement (CAPE) substances has become a prominent trend in today’s competitive societies. Although evidence suggests that CAPE behaviors across different life domains share common characteristics, no consistent theoretical framework exists for understanding the decision to engage in such behaviors. The aim of the present study was to examine a unified conceptualization of CAPE behaviors in four life domains. A total of 254 participants (64 competitive athletes, 40 recreational exercisers, 67 students, and 83 professionals) completed a survey assessing distal and proximal associations of CAPE behaviors (adapted for each domain). Path analysis used to evaluate the proposed model demonstrated an adequate fit. Results indicated that proximal associations of intentions (i.e., attitudes, norms, and situational temptation) were predicted by distal variables (i.e., social norms and cultural values). Intentions to engage in CAPE behaviors were predicted by attitudes and situational temptation. Goal commitment predicted only the mean of working, studying, or training. Finally, the mean of supplement use was predicted by norms. These findings provide preliminary evidence for a conceptual framework to understand CAPE behaviors across life domains, which may serve as a basis for designing intervention programs aimed at helping individuals make informed decisions about CAPE. Full article
Show Figures

Figure 1

16 pages, 273 KB  
Article
Suboptimal Caloric and Micronutrient Intakes in Female Student Athletes Across Several Division 1 Collegiate Sports
by Rachel L. Victor, Morgan M. Nishisaka, Alexandra F. McGrath, Mia K. Gladding, Liel Grosskopf, Hilla Ben-Moshe, Angelos K. Sikalidis, Aleksandra S. Kristo and Scott K. Reaves
Nutrients 2025, 17(22), 3625; https://doi.org/10.3390/nu17223625 - 20 Nov 2025
Viewed by 809
Abstract
Optimal nutrition in athletes can contribute to training adaptations, recovery, performance, and injury prevention in addition to supporting their overall health and well-being. Macronutrient intake and the link to role in athletic performance has been investigated by several studies, while micronutrient intake in [...] Read more.
Optimal nutrition in athletes can contribute to training adaptations, recovery, performance, and injury prevention in addition to supporting their overall health and well-being. Macronutrient intake and the link to role in athletic performance has been investigated by several studies, while micronutrient intake in athletes appears to be understudied. Therefore, the purpose of this study was to assess caloric and selected micronutrient intakes in female collegiate student-athletes across several sports. The participants from seven sports were instructed to complete 3-day food records; dietary intakes were compared to their individual nutritional needs. Results of this study indicated that average intakes of our participants for vitamin C (132.3%), vitamin K (110.5%), and sodium (173%) intakes were significantly above the recommended intakes. However, average intakes for calories (78.0%), calcium (63.1%), magnesium (68.7%), potassium (83.8%), and iron (80.8%) were all significantly below the recommended intakes. More specifically, indoor volleyball and golf athletes exhibited significantly lower vitamin A intake (53.3% and 43.6%, respectively), while iron insufficiency (% of recommendation) was more pronounced in the indoor volleyball (59.8%), golf (65.4%), and tennis (69.9%) teams. Chronic underconsumption of calories and micronutrients can lead to numerous health and athletic performance related consequences. Thus, recognizing and addressing inadequate intakes is imperative to help the student-athletes meet their needs in alignment with dietary guidelines through nutrition education and counseling, as well as dedicated funding and resources towards promoting their overall health, well-being, and athletic as well as academic performance and success. Full article
(This article belongs to the Section Sports Nutrition)
13 pages, 466 KB  
Article
Prevalence, Common Types, and Risk Factors of Musculoskeletal Disorders Among Female University Student Athletes: A Cross-Sectional Study
by Sarah Bajuaifer, Muniera Alsalem, Dana Alotaibi, Shadan Alshehri, Maryam Amin and Reem M. Alwhaibi
J. Clin. Med. 2025, 14(21), 7750; https://doi.org/10.3390/jcm14217750 - 31 Oct 2025
Viewed by 776
Abstract
Background: Musculoskeletal disorders (MSDs) are a prevalent health concern among athletes, particularly female university students, who may face sport-specific, physiological, and biomechanical risk factors. In Saudi Arabia, the increasing participation of women in organized sports underscores the need to examine the burden [...] Read more.
Background: Musculoskeletal disorders (MSDs) are a prevalent health concern among athletes, particularly female university students, who may face sport-specific, physiological, and biomechanical risk factors. In Saudi Arabia, the increasing participation of women in organized sports underscores the need to examine the burden of MSDs in this under-researched population. Objectives: This study aimed to (1) determine the prevalence of MSDs among female university student athletes, (2) identify the most commonly affected body regions, and (3) investigate associations between MSD occurrence and risk factors including sport type, warm-up practices, weekly training frequency, and history of previous injuries. Methods: A cross-sectional study was conducted among 407 physically active female university students aged 16–25 years from multiple Saudi universities. Data were collected using the validated Arabic version of the Nordic Musculoskeletal Questionnaire (NMQ) and a structured risk factor survey. Descriptive statistics, chi-square tests, and logistic regression analyses were used to examine prevalence and associated factors. Results: Among 407 participants, 65.8% reported at least one MSD in the past 12 months. The most commonly affected regions were the shoulders (43.2%), neck (41.8%), and lower back (32.2%). However, multivariate logistic regression revealed that previous injury history (OR = 2.44, 95% CI: 1.47–4.06, p = 0.001) and higher weekly training frequency (OR = 1.23, 95% CI: 1.02–1.49, p = 0.034) were significant independent predictors of MSD occurrence, while participation in team sports showed a borderline association (OR = 1.59, 95% CI: 0.95–2.67, p = 0.079). Conclusions: MSDs are highly prevalent among female university student athletes in Saudi Arabia, particularly affecting the shoulders, neck, and lower back. A history of previous injury and higher weekly training frequency are identified as significant independent predictors of MSD occurrence, while team sport participation showed a borderline association that warrants further exploration. These findings highlight the need for targeted prevention strategies that emphasize rehabilitation continuity—particularly for athletes with prior injuries—and training load management for those with higher weekly training frequency to reduce the risk of MSDs and promote long-term musculoskeletal health. Full article
Show Figures

Figure 1

23 pages, 341 KB  
Article
All-Mighty Soccer and the Structure of Gender Stereotypy in Romania
by Adrian Constantin Nagel, Sorina Voiculescu and Silvia Nicoleta Mirica
Soc. Sci. 2025, 14(11), 637; https://doi.org/10.3390/socsci14110637 - 31 Oct 2025
Cited by 1 | Viewed by 1216
Abstract
This article explores how gender stereotypes and institutional practices influence the development and public image of women’s football in Romania, framing the case within debates on social sustainability (SDG 5), media representation, and sports governance. Using a mixed-methods approach, we triangulate (1) a [...] Read more.
This article explores how gender stereotypes and institutional practices influence the development and public image of women’s football in Romania, framing the case within debates on social sustainability (SDG 5), media representation, and sports governance. Using a mixed-methods approach, we triangulate (1) a qualitative content analysis of DigiSport online coverage (n = 57 articles; 2022–2025), (2) public testimonies collected at a national conference on gender and sport held in Timișoara in 2025 and (3) two in-depth, semi-structured interviews with one professional player whose multi-club career offers cross-organizational insights and one professional player who is still a student at the start of her career. The findings reveal systematic symbolic exclusion: in our sample, stories about women’s football make up approximately 2% of total football coverage and are mostly limited to results-only briefs, with little contextual information about athletes, resources, or structures. Historically, post-socialist policy changes have led to formal recognition but limited material support, resulting in symbolic compliance, such as UEFA/FRF mandates without corresponding investments. Current initiatives, like FRF’s Modele de Femeie campaign and UEFA-supported GOALSCORE, increase visibility but coexist with persistent gendered framings in media narratives and public discourse. The interviews support the media findings, highlighting recurring barriers—such as precarious funding, limited pathways, gendered disrespect in stadiums, and the psychological impact of marginalization—alongside stories of resilience and agency. We argue that achieving sustainable inclusion in women’s football requires more than regulatory measures; it calls for media parity, stable resources, and gender-competent leadership. Aligning policy with cultural change through equitable coverage standards, transparent funding, and accountability measures can transform football from a symbol of inequality into a space of social empowerment. Full article
Show Figures

Graphical abstract

19 pages, 339 KB  
Article
Coach–Athlete Relationships and Mental Health: An Exploratory Study on Former Female NCAA Student-Athletes
by Ashley R. Kernan, Michael R. Cope, Jonathan A. Jarvis and Mikaela J. Dufur
Int. J. Environ. Res. Public Health 2025, 22(11), 1652; https://doi.org/10.3390/ijerph22111652 - 30 Oct 2025
Viewed by 2260
Abstract
Female participation in NCAA athletics has grown significantly since the passage of Title IX—the 1972 U.S. federal law that prohibits sex-based discrimination in educational programs and activities receiving federal funding—yet much of the existing research continues to focus on male athletes, leaving important [...] Read more.
Female participation in NCAA athletics has grown significantly since the passage of Title IX—the 1972 U.S. federal law that prohibits sex-based discrimination in educational programs and activities receiving federal funding—yet much of the existing research continues to focus on male athletes, leaving important gaps in our understanding of women’s experiences in collegiate sports. One underexamined area with important public health implications is the role of coach–athlete relationships in shaping female athletes’ mental health, access to resources, and overall collegiate experience. This exploratory study draws on in-depth interviews with 19 former female NCAA athletes to examine how their relationships with coaches influenced their athletic careers, mental health, and perceptions of support. Participants represented a range of sports and competitive levels, allowing for variation in experiences across contexts. Findings reveal that coach–athlete relationships are not only central to performance and motivation but also serve as key sources of emotional, social, and material support—or, in some cases, stress and disengagement. The quality and impact of these relationships were shaped by competitive pressures, team dynamics, and institutional expectations. This study underscores the importance of relational context in understanding the broader landscape of female NCAA athletes’ experiences and suggests that coach–athlete dynamics merit greater attention in both research and athletic program development. These findings underscore the relevance of coach–athlete dynamics as a public health concern, particularly in relation to mental health and emotional well-being in competitive sports environments. Supporting healthier relational cultures in collegiate athletics is essential for promoting positive health outcomes among female student-athletes. Full article
21 pages, 346 KB  
Article
Multidimensional Assessment of Athletic and Non-Athletic Female Students Through Analysis of BMI, Body Perception, Objectification, and Attitudes Towards the Ideal Body
by Dana Badau, Adela Badau, Dragos Florin Teodor, Corina Claudia Dinciu, Victor Dulceata, Dan Cristian Mănescu, Catalin Octavian Mănescu, Marin Florin Litoi and Alina-Mihaela Stoica
Behav. Sci. 2025, 15(11), 1454; https://doi.org/10.3390/bs15111454 - 25 Oct 2025
Cited by 1 | Viewed by 548
Abstract
This study critically examines the multidimensional differences in body image perceptions among female students who participate in regular sports activities compared to their sedentary counterparts. The investigation involved a sample of 436 female students divided into two distinct groups: the sports group (GS, [...] Read more.
This study critically examines the multidimensional differences in body image perceptions among female students who participate in regular sports activities compared to their sedentary counterparts. The investigation involved a sample of 436 female students divided into two distinct groups: the sports group (GS, n = 180), consisting of participants from physical education and sports disciplines, and the non-sports group (GNS, n = 256). Anthropometric measurements such as height, weight, and body mass index (BMI) were systematically taken, along with the administration of three validated psychometric tools: the Silhouette Rating Scale (SRS) to assess body perception and satisfaction, the Objectified Body Consciousness Scale (OBC) to evaluate body objectification, and the Ideal Body Stereotype Scale-Revised (IBIS-R) to analyze perceptions of ideal body stereotypes. Notably, body dissatisfaction (SRS-D) showed the strongest correlation with BMI in both groups, with the non-athletic group displaying slightly higher correlation coefficients (r = 0.940) compared to the athletic group (r = 0.904; p < 0.001). Additionally, stereotypes related to the ideal body (IBIS-R) were strongly correlated with BMI in the non-athletic group (r = 0.846), whereas the athletic group showed a slightly lower correlation (r = 0.805). The body objectification measure (OBC) demonstrated moderate correlations, with the non-athletic group showing stronger associations (r = 0.394 vs. r = 0.352). Linear regression analysis revealed that non-athletic individuals exhibited higher predictive validity, characterized by greater R2 values and stronger correlations between physical and psychosocial factors. The results indicate that participation in sports serves as a protective factor against negative body image, shown by weaker correlations in the sports group. This research suggests that engaging in physical activities is associated with healthier body profiles and a more positive body image, leading to greater satisfaction and more realistic perceptions of body size. Full article
(This article belongs to the Special Issue Body Image and Wellbeing: From a Social Psychology Perspective)
18 pages, 1598 KB  
Article
Inter-Segmental Coordination During Soccer Instep Kicking: A Vector-Coding Comparison Between Experienced Athletes and Novices
by Liwen Zhang, Meizhen Zhang and Hui Liu
Bioengineering 2025, 12(11), 1151; https://doi.org/10.3390/bioengineering12111151 - 24 Oct 2025
Cited by 1 | Viewed by 1258
Abstract
The purpose of this study was to characterize the inter-segmental coordination of hip, knee, and ankle movement of the kicking leg during instep kicking for experienced athletes and novices, using vector coding as a non-linear technique. Motion capture and electromyographic data were collected [...] Read more.
The purpose of this study was to characterize the inter-segmental coordination of hip, knee, and ankle movement of the kicking leg during instep kicking for experienced athletes and novices, using vector coding as a non-linear technique. Motion capture and electromyographic data were collected for 14 soccer-majored college students and 32 novices performing the instep kicking task. The percentage of time spent on the coordination patterns, defined based on hip–knee and knee–ankle coupling angles, was calculated and compared. The agonist–antagonist activity ratio was calculated and compared. The time percentages of the knee–ankle shank dominance of the experienced athletes during the whole kicking movement were significantly greater than those of the novices (p < 0.050). Athletes achieving greater maximum ball speed had more knee flexion dominant coordination patterns in the back swing and leg-cocking, and knee extension dominant coordination patterns in the leg acceleration phase. The lower activity ratio of the tibialis anterior and gastrocnemius muscles contributed significantly to increasing kicking accuracy. These results underscore the value of vector coding in identifying key inter-segmental coordination features and directly support targeted soccer kick training. The dynamic stability exercises involving knee flexion and extension to optimize power transfer for speed, as well as activation and relaxation control exercises of the lower leg muscles to improve the kicking accuracy, may be effective ways to enhance instep kicking motor control ability and performance for soccer athletes. Full article
(This article belongs to the Special Issue Biomechanics in Sport and Motion Analysis)
Show Figures

Figure 1

11 pages, 1499 KB  
Article
Prehospital Defibrillation Challenges in Victims Wearing Wetsuits: A Pilot Comparison of AED Pad Placement Strategies
by Myriam Santos-Folgar, Martín Otero-Agra, David Currás-García, Felipe Fernández-Méndez, Roberto Barcala-Furelos and Antonio Rodríguez-Núñez
J. Clin. Med. 2025, 14(21), 7536; https://doi.org/10.3390/jcm14217536 - 24 Oct 2025
Viewed by 536
Abstract
Objective: This pilot study compared the positions of the antero-lateral (standard) and antero-posterior (alternative) pads in a simulated cardiac arrest scenario in athletes wearing a wetsuit. Methods: Seventeen undergraduate physical education students were instructed to attend to a simulated victim, with [...] Read more.
Objective: This pilot study compared the positions of the antero-lateral (standard) and antero-posterior (alternative) pads in a simulated cardiac arrest scenario in athletes wearing a wetsuit. Methods: Seventeen undergraduate physical education students were instructed to attend to a simulated victim, with no signs of life, dressed in a wetsuit. In a randomized fashion, they were instructed to place the defibrillator pads in the standard position (antero-lateral) or in the antero-posterior option. The variables analyzed were the time required to perform the procedure and the difficulty and fatigue perceived by the rescuers. Results: Thirty-four interventions were analyzed (17 with each technique), showing that with the antero-posterior option, the time required to expose the area was less (median 6.2 vs. 12.7 s, p = 0.001), but more time was required to dry it (median 31.0 vs. 18.4 s, p = 0.002). No significant differences were found between the two options in the total time from onset to first flush or in the perception of difficulty and fatigue. Conclusions: In the case of caring for a cardiac arrest victim wearing a wetsuit, the alternative of placing the defibrillator pads in the antero-posterior position is not a significant advantage over the standard position. Both configurations may be considered acceptable in prehospital aquatic settings, depending on situational constraints and rescuer preference. Full article
(This article belongs to the Special Issue Cardiopulmonary Resuscitation in the Emergency Care Unit)
Show Figures

Figure 1

15 pages, 1304 KB  
Article
Differences in Average Power Output Values from Computational Models of Repeated Vertical Jump Tests: A Single-Group Quasi Experimental Approach
by Vlad Adrian Geantă, Pierre Joseph de Hillerin, Alexandra Reta Iacobini, Carmen Magdalena Camenidis and Anca Ionescu
J. Funct. Morphol. Kinesiol. 2025, 10(4), 397; https://doi.org/10.3390/jfmk10040397 - 13 Oct 2025
Viewed by 1880
Abstract
Background: Repeated vertical jump tests are widely used to assess neuromuscular function and lower limb performance. However, inconsistent formulas for average power output produce large discrepancies, limiting comparability across studies and limiting practical applications. This study aimed to compare three different models for [...] Read more.
Background: Repeated vertical jump tests are widely used to assess neuromuscular function and lower limb performance. However, inconsistent formulas for average power output produce large discrepancies, limiting comparability across studies and limiting practical applications. This study aimed to compare three different models for the calculation of average power output, Bosco, Miron Georgescu (MG), and Modified Miron Georgescu-15s (MGM-15), applied to identical jump test data, in order to evaluate their computational behavior and practical relevance in athlete performance profiling. Methods: A single-group quasi-experimental study was conducted with 25 physically active male university students (mean age: 21.4 ± 2.7 years), who performed a 15 s repeated vertical jump test on the OptoJump Next system. Raw parameters including flight time, contact time, and jump height were recorded and exported. Average power output (W/kg) was subsequently calculated using three distinct computational models, each applied to the same dataset of flight and contact times. A repeated-measures ANOVA was used to compare outputs across models, with Bonferroni-adjusted pairwise comparisons for post hoc analysis (α = 0.05). Results: Significant differences were observed (p < 0.001). The Bosco model produced the highest values of average power (40.13 ± 8.56 W/kg), followed by MG (21.07 ± 5.92 W/kg), while MGM-15 yielded the lowest and most consistent outputs (4.08 ± 0.61 W/kg). Effect sizes were very large (η2p = 0.952), confirming that calculation models strongly influenced the outcomes. Conclusions: The findings demonstrate that average power output differed markedly across formulas, despite identical performance data. Bosco and MG models tended to overestimate values due to simplified assumptions, whereas the MGM-15 method produced lower and more consistent outputs that may better capture repeated jump demands. The standardization of computational models is fundamental to ensure comparability and to improve athlete performance profiling in research and practice. Full article
(This article belongs to the Special Issue Health and Performance Through Sports at All Ages: 4th Edition)
Show Figures

Figure 1

Back to TopTop