Abstract
Background: Repeated vertical jump tests are widely used to assess neuromuscular function and lower limb performance. However, inconsistent formulas for average power output produce large discrepancies, limiting comparability across studies and limiting practical applications. This study aimed to compare three different models for the calculation of average power output, Bosco, Miron Georgescu (MG), and Modified Miron Georgescu-15s (MGM-15), applied to identical jump test data, in order to evaluate their computational behavior and practical relevance in athlete performance profiling. Methods: A single-group quasi-experimental study was conducted with 25 physically active male university students (mean age: 21.4 ± 2.7 years), who performed a 15 s repeated vertical jump test on the OptoJump Next system. Raw parameters including flight time, contact time, and jump height were recorded and exported. Average power output (W/kg) was subsequently calculated using three distinct computational models, each applied to the same dataset of flight and contact times. A repeated-measures ANOVA was used to compare outputs across models, with Bonferroni-adjusted pairwise comparisons for post hoc analysis (α = 0.05). Results: Significant differences were observed (p < 0.001). The Bosco model produced the highest values of average power (40.13 ± 8.56 W/kg), followed by MG (21.07 ± 5.92 W/kg), while MGM-15 yielded the lowest and most consistent outputs (4.08 ± 0.61 W/kg). Effect sizes were very large (η2p = 0.952), confirming that calculation models strongly influenced the outcomes. Conclusions: The findings demonstrate that average power output differed markedly across formulas, despite identical performance data. Bosco and MG models tended to overestimate values due to simplified assumptions, whereas the MGM-15 method produced lower and more consistent outputs that may better capture repeated jump demands. The standardization of computational models is fundamental to ensure comparability and to improve athlete performance profiling in research and practice.
1. Introduction
Vertical jumps have long been regarded as one of the most practical field tests for assessing neuromuscular function and lower limb performance [,,]. Their popularity comes from the simplicity of execution, non-invasive nature, and sensitivity to training-induced adaptations across many sports [,,]. Distinct performance patterns are also observed in sports characterized by repeated, similar motor demands [,]. Recent evidence further supports their relevance, showing that jump-derived metrics are associated with independent measures of athletic performance [].
The precision of jump testing has increased with modern technologies such as force plates and optical or inertial systems [,,,,]. Among the available protocols, repeated jump tests are particularly informative, as they integrate both flight and contact times, providing a detailed evaluation of fatigue resistance, intermuscular coordination, and average power output [,,,,,]. Research shows these tests elicit changes in energetic and neuromuscular control parameters at the articular level, as well as in movement patterns, including the anticipatory dynamics of the muscular and tendinous structures involved [,]. Moreover, they can effectively track fatigue resistance and training adaptation across sport-specific contexts such as judo [], volleyball [], and football [].
Historically, repeated jumps have often been interpreted as proxies for anaerobic capacity, echoing laboratory-based protocols such as the Wingate test [,]. Yet, this interpretation is debated, since the elastic energy used and movement efficiency can amplify apparent power output, suggesting that these tests reflect a broader neuromuscular strategy rather than pure energy system contribution [].
Several computational models have been proposed to estimate average power output in repeated vertical jump assessments, each emerging from different theoretical premises. The first structured version, developed by the Romanian doctor Miron Georgescu (MG) in the 1950s, emphasized endurance-like jumping ability in a fixed time interval or fixed number of jumps, and is still known today in Latin America as the “Georgescu Test” []. The original protocol prescribed 35 continuous “ball like” jumps, from which aberrant ones were visually discarded, leaving the first 30 valid repetitions to be analyzed. To our knowledge, the MG protocol was also applied in Romania for the evaluation of various national elite sports teams before competitions []. Decades later, Bosco introduced a formula linking jump count and flight time, which spread internationally because of its operational simplicity and compatibility with early measurement systems []. Both protocols, developed by Georgescu and Bosco, required the athlete to jump as high as possible while minimizing ground contact time, essentially “ball-like jumps”, hence the term repeated vertical jumps [,].
Critiques, however, pointed out that these early approaches treat jump mechanics as a purely energetic processes and neglect crucial variables such as neuromotor control, anticipatory coordination, and elastic energy reutilization [,,]. To address these issues, the Modified-Miron Georgescu-15 s protocol (MGM-15) was introduced as a more integrative method, factoring in both mechanical outputs and psycho–neuro–motor elements such as coordination and fatigue regulation [,]. The psycho–neuro–motor concept, described by Marin et al. [], emphasizes a holistic integration of psychological, neural and motor mechanism within human performance training.
Recent evidence has shown [,] that the Bosco and MG models may produce substantially amplified values when elastic contributions dominate the movement, even in non-biological simulations (for example a repeated ball bounces). In contrast, MGM-15 provides more conservative estimates that appear better aligned with physiological plausibility []. Despite the widespread use of these formulas, the central challenge remains identifying which method best reflects true mechanical power output. Bosco’s formula for average power, although widely adopted, tends to systematically overestimate performance, a limitation that may compromise the accuracy of athlete monitoring and result interpretation []. More integrative models, such as MGM-15, could offer estimates that are biomechanically, physiologically, and from the psycho–neuro–motor perspective more consistent, accounting for mechanical outputs, anticipatory coordination, elastic energy use, and movement variability [,].
Although a preliminary investigation comparing these three methods under identical conditions [] had a small sample (N = 5), it revealed significant discrepancies between models, and was the first to directly compare all three calculation methods. To strengthen the evidence, the present study extends the investigation to a larger cohort of subjects.
This study aims to determine whether these methodological differences persist in a larger sample. We hypothesize that significant differences will emerge between models, with MGM-15 offering the most functionally relevant estimates of lower limb power. These findings have practical implications for accurate performance monitoring and informed training decisions in sport performance.
2. Materials and Methods
2.1. Participants
Twenty-five physically active male university students (age, M = 21.4 ± 2.7 years; height, M = 178.6 ± 4.72 cm; body mass, M = 73 ± 8.12 kg), all enrolled at the Faculty of Physical Education and Sport, were recruited on a voluntary basis from various sport disciplines. To reduce potential selection bias, participants who met the inclusion and exclusion criteria were randomly chosen from the eligible pool until the target sample size was reached. Inclusion criteria required participants to be actively engaged in competitive sports training at least three times per week for the past six months, and to be familiar with performing vertical jumps. Exclusion criteria included any musculoskeletal injury or lower-limb surgery, as well as any cardiovascular, neurological, or balance-related disorders that could interfere with performance or safety. Only male athletes were included because the proportion of female athletes available in the faculty at the time of recruitment was very small, which would not have allowed for balanced representation or reliable statistical comparison. Elite athletes were also excluded in order to avoid heterogeneity due to highly specialized training backgrounds, which could have required stratified sampling and larger cohorts. Most participants reported a background in football training, while others were recreationally engaged in fitness or related activities, leading to a relatively homogeneous group in terms of performance level. These inclusion and exclusion criteria, as well as the preparticipation health screening process, were based on ACSM guidelines to ensure participant safety and methodological rigor [], and are consistent with previous studies using vertical jump testing [,].
Participants were asked to refrain from intense physical activity for at least 24 h before testing and to maintain normal hydration and sleep routines. All participants provided written informed consent. The study protocol was approved by the institutional ethics committee (Registration number: 326/02.06.2025) and conducted in accordance with the Declaration of Helsinki.
2.2. Research Design
This study employed a single-group quasi-experimental design to investigate the variability of lower limb average power output (W/kg) calculated using three established models: Bosco [], MG [], and the MGM-15 proposed by Hillerin [,]. The goal was to compare the results yielded by each model during a standardized repeated vertical jump test performed over 15 s.
2.3. Procedure
Before starting the assessment, all participants were informed about the study procedures and objectives, and standardized demonstrations of the repeated jumps task were provided to ensure that they clearly understood the execution requirements. After this briefing, participants performed a standardized warm-up consisting of 5 min of light jogging, followed by dynamic stretching and three sets of submaximal countermovement jumps to prepare the neuromuscular system for maximal efforts. To ensure familiarization, all participants also performed submaximal practice trials of the repeated jump task during the standardized warm-up, following identical instructions as were set for the main test. This procedure minimized learning effects and ensured comparable technical execution. The warm-up protocol was designed to minimize injury risk and ensure consistent test conditions. All tests were conducted in a temperature-controlled indoor environment (20 °C, moderate ventilation) in accordance with ACSM facility standards []. This setting was selected to ensure safety, comfort, and standardized test conditions by minimizing environmental influence on neuromuscular performance.
To assess lower-limb average power output, participants performed maximal consecutive vertical jumps for 15 s (15 s jump test), using both legs and assisted by arm swing. This mode of jumping like a ball focuses on elastic energy return and neuromuscular efficiency. The test was administered using the OptoJump Next System (Microgate, Bolzano, Italy), a validated optical measurement device [], which recorded jump metrics in real time and provided auditory signals marking the start and end of the trial (see Figure 1).

Figure 1.
The 15 s repeated vertical jump test with arm swing.
Participants were instructed to jump as high and as elastically as possible throughout the duration, minimizing ground contact time and maximizing flight time in each repetition.
OptoJump recorded raw data on flight time (Tf), contact time (Tc), and jump height (h), which were exported in XML format for analysis. Based on these parameters, three models were applied to calculate the average power output (PU) for each participant.
MG methodology
where, PU = average power output (W/kg), g = gravitational acceleration (typically 9.81 m/s2), Tf = flight time (s), and Tc = contact time (s). This method emphasizes the explosive efficiency by relating flight time squared to ground contact duration.
Bosco methodology
where, n is the number of jumps in 15 s, PU = average power output (W/kg), g = gravitational acceleration (typically 9.81 m/s2), Tf = flight time (s), and Tc = contact time (s). This model uses cumulative flight time and jump count to estimate mechanical power.
MGM-15 methodology
where, PU = average power output (W/kg), g = gravitational acceleration (typically 9.81 m/s2), Tf = flight time (s), and Tc = contact time (s). This updated formula balances both flight and contact time, offering a more conservative and time-specific representation of lower limb power.
In all three models, g = 9.81 m/s2 (acceleration due to gravity). By applying these formulas to the same jump performance data, this design allowed for direct comparisons and the identification of systematic discrepancies among the models, with implications for performance assessment accuracy.
2.4. Worked Example
For clarity and replicability, we provide here a worked example of how Equation (3) was applied to the raw OptoJump data. The system exports for each jump the flight time (Tf) and contact time (Tc), from which jump height (m) is also derived. For instance, in one jump, the parameters were Tc = 0.223 s Tf = 0.565 s, corresponding to a jump height of 39.1 cm (0.391 m). Substituting into Equation (3),
Applying the same computation to the following jump (Tc = 0.202 s, Tf = 0.538 s, jump height 35.5 cm = 0.355 m) yields a value of 4.37 W/kg. This procedure was repeated for every jump recorded in the 15 s test series, and the arithmetic mean of all average power values represents the final MGM-15 output for each participant. The calculations can be replicated directly using the raw XML export from OptoJump, which contains all required kinematic parameters. The worked example is provided for illustration purposes; the same procedure was applied to all jumps in each 15 s series to calculate the final values reported in this study.
2.5. Statistical Analysis
Descriptive statistics (mean and standard deviation) were calculated for each of the three average power output calculation models (Bosco, Miron Georgescu, and MGM-15) to provide an overview of data distribution and variability. The normality of each variable was assessed using the Shapiro–Wilk test, which is appropriate for small to moderate sample sizes. Since all variables met the assumption of normal distribution (p > 0.05), parametric tests were applied in subsequent analyses.
Therefore, to compare average power output values across the three methods, a one-way repeated-measures analysis of variance (ANOVA) was applied, suitable for analyzing differences within subjects across multiple conditions []. To evaluate whether the assumption of sphericity was met for the repeated-measures ANOVA, Mauchly’s test of sphericity was conducted. In cases where this assumption was violated, the Greenhouse–Geisser correction was used to adjust the degrees of freedom and preserve the validity of the statistical inference. Following a significant main effect, post hoc pairwise comparisons were performed using Bonferroni-adjusted paired t-tests, which correct for the Type I error rate associated with multiple comparisons. Effect sizes were reported using partial eta squared (η2p), with interpretation thresholds based on Cohen’s conventional values []: small (≥0.01), medium (≥0.06), and large (≥0.14).
All statistical tests were two-tailed, and the significance level was set at p < 0.05. Data analysis was conducted using IBM SPSS Statistics for Windows, version 23.0 (IBM Corp., Armonk, NY, USA).
3. Results
Descriptive statistics, assumption testing, and results from the repeated measures ANOVA are presented below. Statistically significant differences between the three methods of average power calculation (Bosco, MG, MGM-15) were identified. Detailed results are provided in Table 1, Table 2, Table 3 and Table 4.

Table 1.
Descriptive statistics for average power output (N = 25).

Table 2.
Mauchly’s test of sphericity and Greenhouse–Geisser correction.

Table 3.
Repeated-measures ANOVA for average power output.

Table 4.
Pairwise comparisons between conditions with Bonferroni adjustment.
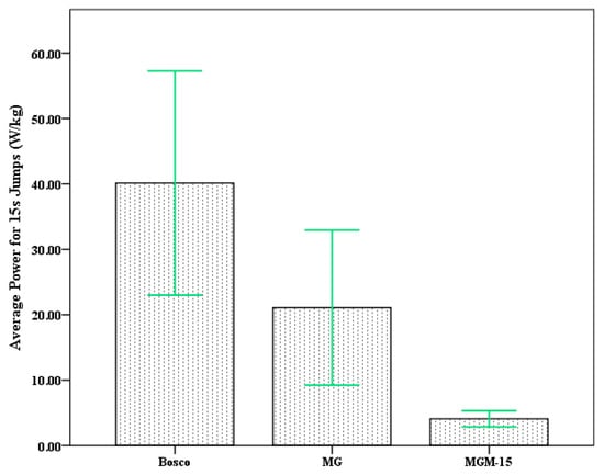
An examination of the descriptive statistics (Table 1) shows the highest mean power output was derived using the Bosco formula (M = 40.13 ± 8.56 W/kg), followed by the MG formula (M = 21.07 ± 5.92 W/kg). The lowest values were observed using the MGM-15 method (M = 4.08 ± 0.61 W/kg). On the other hand, the standard deviation was much lower for MGM-15 (SD = 0.61 W/kg) compared to both Bosco (SD = 8.56 W/kg) and MG (SD = 5.92 W/kg).
This narrower dispersion suggests that MGM-15 produced more consistent outputs across participants, potentially indicating reduced sensitivity to inter-individual variation or to small fluctuations in flight and contact time. Given that all models were applied to the same jump data, this discrepancy in variability underscores fundamental differences in how each method weights biomechanical components such as flight time or contact duration (see Figure 2).

Figure 2.
Differences in average power output between models.
According to Table 2, Mauchly’s test indicates that the assumption of sphericity was violated (p = 0.001), confirming that the variances of the differences between conditions were not equal. This violation further highlights that the three computational models produce not only different central tendencies, but also diverging variance structures, despite being applied to a single within-subjects dataset. The Greenhouse–Geisser correction (ε = 0.531) was therefore applied in all subsequent analyses to reduce the risk of Type I error.
The corrected repeated measures ANOVA from Table 3 reveals a statistically significant main effect of the calculation method on average power output, F (1.06, 25.47) = 479.89, p < 0.001, with a very large effect size (η2p = 0.952). This indicates that the differences between methods were systematic and not random. The magnitude of the effect reflects the strong influence of the computational model on the resulting values, even though the physical performance data remained constant. Thus, the formulas used above explain this outcome. For example, the Bosco model multiplies cumulative flight time and uses jump count, magnifying the results; MG uses a multiplier of 1.5 and disregards flight–contact balance, whereas MGM-15 integrates both flight time (Tf) and contact time (Tc), reducing overestimation.
Pairwise comparisons confirm that all differences between methods were statistically significant, even after correcting for multiple comparisons (p < 0.001 in all cases). The Bosco model produced values nearly ten times higher than MGM-15, while the MG formula occupied an intermediate position.
4. Discussion
This study aimed to determine whether three commonly used models for estimating average power output during repeated vertical jump tests (Bosco, MG, and MGM-15) yield significantly different values when applied to identical performance data. Our findings clearly confirm this hypothesis, revealing systematic and statistically significant discrepancies across all calculation models. Among them, the Bosco formula produced the highest power estimates, followed by the MG model, while MGM-15 consistently reported the lowest values.
Beyond the statistical confirmation, the magnitude and practical implications of these discrepancies are noteworthy, as they could lead to opposite conclusions about an athlete’s power profile depending on the formula applied. These differences arise not from performance variation, but from the mathematical structure of each formula, particularly in how they integrate (or omit) kinematic parameters such as contact time, flight time, and temporal distribution across repetitions. The observed discrepancies may also be amplified by the specific characteristics of the jumping protocol used in this study. The repeated jumps performed “like a ball,” with maximal height and minimal contact time, emphasize elastic energy return. Some formulas do not explicitly account for this component, potentially contributing to the variability and inflation observed in their average power outputs.
These differences were not only statistically robust (p < 0.001 for all pairwise comparisons), but were also practically significant, as demonstrated by a large effect size (partial η2p = 0.952). Importantly, this robustness does not reflect novel evidence of superior physiological performance, but rather represents a new empirical confirmation that the Bosco and MG formulas systematically overestimate average power, in contrast to the more conservative MGM-15 model. Our study does not assume that these discrepancies represent differences in real functional capacity; rather, they stem from the structural characteristics and underlying assumptions of the respective formulas. Given the relatively small sample size, these findings should be interpreted with caution. The 36.04 W/kg gap between Bosco and MGM-15 underscores that these models are not interchangeable representations of the same construct, but rather embody fundamentally divergent assumptions about what is being calculated [].
Notably, both Miron Georgescu and Carmelo Bosco adopted assumptions that mathematically amplified the calculated power output. Georgescu, in his 1953 article, proposed a dual-phase contact model—a passive “damping” phase consuming half of the necessary energy, followed by an active contraction phase producing the equivalent of m × g × h. This reasoning justified his use of a 1.5 multiplication factor in the formula. Bosco, by contrast, applied an even more inflationary factor of 2, and additionally divided solely by contact time, thereby implicitly treating the muscular system as a continuous-output engine while disregarding the elastic contribution []. However, this interpretation oversimplifies the real biomechanics of muscle contraction. The mechanical cycle of repeated jumping may be better conceptualized as a two-phase system, where both contraction and relaxation phases contribute to the output, rather than being reduced solely to the propulsion phase []. In fact, during the flight phase, the muscle continues to function in the short time of relaxation similarly to a two-stroke engine, so the flight time must also be considered as part of the complete movement cycle. Calculating muscular power based only on the brief propulsion phase neglects contributions from elastic and neuromuscular mechanisms, thus potentially overestimating actual performance [,].
The Bosco method of repeated vertical jumps, originally designed in 1983 [] for rapid field application, relies heavily on cumulative flight time and jump count. Its simplicity has contributed to its widespread adoption in performance diagnostics. However, as demonstrated in our results and supported by prior literature [,], this approach may conflate mechanical displacement with muscular output. The elevated values generated by the Bosco formula may reflect not only genuine explosive power, but also the influence of passive elastic recoil mechanisms, which are not accounted for in its calculation logic [,,]. This limitation becomes even more pronounced when analyzing jump protocols that emphasize minimal ground contact and high-frequency execution, such as the “ball-like” style of jumping behavior that naturally exploits the stretch-shortening cycle, as advocated in Bosco-type tests [,]. These outcomes resonate with recent findings [,,], reinforcing concerns that Bosco-derived values may exceed physiological plausibility, particularly under protocols favoring elastic return.
Similarly, the MG formula, which links squared flight time to contact time, offers a closer approximation to explosive performance, but still fails to integrate factors such as neuromuscular coordination, fatigue progression, or energy utilization through the muscle–tendon unit [,,,,]. Its intermediate results, while more conservative than Bosco, still appear to overestimate actual physiological output. Like Bosco, the MG model assumes that all elevation during the flight phase is the result of metabolic effort, ignoring the viscoelastic contributions of the body [].
In contrast to these energetically amplified models, the MGM-15 method reduces the tendency to overestimate power output by integrating both flight and contact time, aligning with the shift toward evaluating jump tests as indicators of psycho–neuro–motor integrity rather than purely mechanical output [,]. Its structure accounts for both explosive capacity and efficiency in force transmission, making it particularly relevant when assessing neuromuscular readiness under fatigue conditions. Furthermore, the model’s compatibility with time-domain performance analysis complements prior work on neuromuscular anticipation and preparatory motor mechanisms [,].
From a practical standpoint, the underutilization of MGM-15 in international literature remains a gap that should be addressed. Despite its application in disciplines such as volleyball, football, judo, basketball, gymnastics, dance, handball, athletics [,,,,,,,,,,,], and other motor actions [,], its validation against gold-standard biomechanical tools is still limited. Comparative studies across various sports and athlete populations would enhance the methodological visibility and adoption of MGM-15.
An additional theoretical consideration is related to the limitations of traditional formulas when applied to elastic rebound. A previous control experiment [] with a non-biological system (a basketball) demonstrated that the Bosco and MG formulas produce implausibly high energy outputs, despite the absence of metabolic or neuromuscular contributions []. This previous observation can be understood considering Pooper’s notion of a “critical experiment” [], since it illustrates the falsification of the assumption that these models strictly quantify muscular power. Building on this earlier critique, the present findings reinforce the fact that elevated values in human jump tests may largely reflect elastic return [,] and computational assumptions [] rather than true muscular power. Consequently, repeated jump protocols should not be interpreted solely as a measure of anaerobic capacity [], but rather as integrative assessments of neuromuscular coordination and elastic efficiency [], as well as fatigue regulation [], constructs more accurately captured by the MGM-15 approach [,,].
This finding is particularly relevant when considering that the human movement pattern in repeated jumps mimics elastic rebound. Participants are often instructed to minimize ground contact and maximize jump frequency behavior that naturally exploits the stretch-shortening cycle [,,]. In such scenarios, mechanical output does not directly equate to energy expenditure, calling into question the traditional classification of such protocols as valid assessments of anaerobic power capacity [,,,,].
Consequently, while our findings are statistically robust, they should not be interpreted as novel empirical confirmation of athletic superiority or deficiency, but rather as methodological evidence that computational assumptions drive the discrepancies. This aligns with prior critiques [], which have demonstrated that overestimated outputs may result from the formula’s structure rather than genuine neuromuscular performance. Evidently, further research is needed. However, this study represents further incremental steps along this pathway, as part of our ongoing project on methodological standardization in jump-based performance diagnostics.
Thus, the common classification of these tests as “anaerobic power assessments” warrants reconsideration. Instead of serving as direct proxies for metabolic energy systems, the resulting values may reflect a complex interplay between motor control, elastic rebound, and rhythmic regulation, dimensions that align more closely with the conceptual framework underpinning the MGM-15 model []. The test evaluates not just how high or fast an athlete can jump, but how efficiently they can regulate repeated efforts through anticipatory coordination and fatigue-resistant patterns.
While the OptoJump Next system offers practical advantages in field-based performance diagnostics, the absence of simultaneous validation against a force platform in our study represents a methodological limitation. Although prior studies have demonstrated its validity and reliability in standard jump assessments, recent findings [,] highlight potential systematic biases, especially in high-frequency jump protocols where elastic energy contributions are prominent. Moreover, intra-session reliability was not directly assessed in our protocol. Given that our test involved repeated jumps, future research should specifically evaluate the reproducibility of OptoJump measurements in such a dynamic context.
4.1. Practical Implications
The accurate interpretation of power output is critical in athletic performance diagnostics, as it informs both immediate training decisions and long-term performance projections. When overestimated, such as through the application of the Bosco or MG models, power values may give coaches and athletes an overly optimistic representation of the individual’s current physical state and future potential. This potential issue can result in incorrect training loads, flawed recovery planning, and unrealistic expectations regarding progression. A limited ability to differentiate between genuine muscular effort and mechanically influenced output highlights notable methodological limitation in the widespread adoption of certain field tests. This trend may reflect an overemphasis on quantitative outcomes, sometimes at the expense of a deeper consideration of the underlying biomechanical and physiological mechanisms involved. The widespread use of such protocols, despite their conceptual shortcomings, underscores the need for a critical evaluation of what is being measured. The MGM-15 model’s conceptual alignment with motor control theories also makes it a viable candidate for integration into modern athlete monitoring systems, particularly in sports that prioritize movement quality and resilience under fatigue, such as gymnastics, martial arts, or team sports requiring repeated submaximal efforts [,,]. Although currently its use is widespread mainly at the national level, its limited international adoption should not be interpreted as a methodological weakness, but rather as an underexplored area in the literature. Moreover, the MGM-15’s sensitivity to subtle neuromotor variations suggests its potential role in the early detection of overtraining or asymmetries, supporting individualized monitoring strategies []. Therefore, the careful differentiation between genuine physiological outputs and mechanically influenced values is important for ethical, data-informed, and individualized practice in sport science.
4.2. Study Limitations
While this study provides valuable insights, it has several limitations. First, the design was single-group quasi-experimental. All participants underwent the same procedure without the inclusion of a control group, which constitutes a fundamental limitation and prevents causal inferences from the observed outcomes. Second, the present study included only young, physically active male students enrolled at the Faculty of Physical Education and Sports. This restricts the generalizability of the findings to female athletes, older populations, or elite athletes with highly specialized training backgrounds. Although participants were recruited from different sport disciplines, the limited sample size prevented stratifications or comparative analyses across sports. Furthermore, sport-specific influences on repeated-jump behavior were not analyzed, as the primary aim of this study was to compare computational models rather than differences between disciplines. This aspect will be addressed in future phases of our project involving larger, multi-sport cohorts. This focus was deliberate, as recruiting physically active students of similar ages and backgrounds provided a relatively homogeneous sample, reducing inter-individual variability and allowing clearer methodological comparisons. However, this also limits external validity, particularly with respect to elite or female athletes. Third, although the repeated jump test is widely employed in sports diagnostics, the exclusive use of the OptoJump Next system without direct comparison to a force platform (gold standard) limits the ability to establish definitive physiological relevance for the proposed models. Previous research has shown that OptoJump provides valid and reliable results [,,,,]. However, other studies have reported systematic bias when comparing OptoJump to force plates [,,] particularly in tasks involving high-frequency jumping or elastic contributions. Therefore, while the device offers practical advantages in field testing, the lack of gold-standard validation in our specific protocol represents a limitation. Fourth, the intra-session reliability of the device was not assessed in the present study, which may represent a source of measurement error. Although prior studies have shown high intra-session and inter-session reliability for OptoJump [,,,], these findings may not fully generalize to repeated vertical jumps, as used in our protocol. Future studies should include test–retest analyses to better establish reproducibility. Furthermore, inter-rater reliability was not formally assessed; however, to reduce evaluator-related variability, all assessments were consistently supervised by the same research team under standardized conditions. Future phases of our project are specifically designed to address both test–retest and inter-rater reliability in repeated jump conditions. Fifth, although all participants received standardized instructions, demonstrations, and familiarization trials before testing, subtle individual differences in execution may still have influence jump mechanics and power estimation. In addition, fatigue control relied only on 24 h abstinence from intense activity, without objective markers such as ratings of perceived exertion (RPE) or heart rate (HR), which could introduce variability. Sixth, the absence of a longitudinal design precluded the evaluation of the sensitivity of each computational model to training-induced changes or long-term adaptations. Seventh, several important aspects were not controlled in the present study. Participants’ motivation and potential learning effects across repetitions were not objectively assessed, which may have influenced performance. Intra-jump variability, such as the dispersion of flight and contact times across the 15 s series, was also not analyzed, although this could provide valuable insights into neuromuscular control. Finally, although the use of arm swing was standardized in the instructions, subtle technical differences between participants may still have affected the results.
Taken together, these limitations underline the need for the cautious interpretation of the present findings, and highlight the importance of methodological standardization in future research.
5. Conclusions
This study shows that the estimation of average power output in repeated vertical jump tests depends strongly on the calculation model. The Bosco and MG formulas produced substantially higher values, reflecting assumptions that enhance mechanical output, while the MGM-15 method generated more conservative and biomechanically plausible results by integrating both flight and contact times. These discrepancies suggest that repeated jump tests reflect combined neuromuscular and elastic contributions, rather than true muscular energy expenditure. Importantly, by expanding on a preliminary investigation [], our larger-sample analysis enhances the generalizability of these findings. Therefore, coaches and performance centers should be cautious, standardize computation methods, and consider MGM-15 as a more realistic framework for monitoring performance in applied sport science.
Author Contributions
Conceptualization, P.J.d.H. and V.A.G.; methodology, V.A.G. and P.J.d.H.; software, V.A.G.; validation, P.J.d.H. and C.M.C.; formal analysis, V.A.G. and A.R.I.; investigation, V.A.G.; resources, C.M.C. and A.I.; data curation, A.R.I. and A.I.; writing—original draft preparation, V.A.G.; writing—review and editing, P.J.d.H. and A.I.; visualization, A.R.I.; supervision, P.J.d.H.; project administration, P.J.d.H.; funding acquisition, V.A.G., A.R.I., C.M.C. and A.I. All authors have read and agreed to the published version of the manuscript.
Funding
This research received no external funding.
Institutional Review Board Statement
The study was conducted in accordance with the Declaration of Helsinki and approved by the Ethics Committee of Aurel Vlaicu University—Faculty of Physical Education and Sport (Registration number: 326/02.06.2025, approval date: 2 June 2025).
Informed Consent Statement
Informed consent was obtained from all subjects involved in the study.
Data Availability Statement
Data are contained within the article.
Acknowledgments
The authors would like to express their gratitude to the athletes who voluntarily participated in this study, as well as to the sport club and trainers for their valuable support during the experiment.
Conflicts of Interest
Author Pierre Joseph de Hillerin is employed by Neuromotrica-Information for Sport and Human Performance Ltd., the authors declare no conflicts of interest.
Abbreviations
The following abbreviations are used in this manuscript:
MG | Miron Georgescu |
MGM-15 | Modified Miron Georgescu 15 s |
W/kg | Watts per kilogram |
PU | Average power |
Tf | Flight time |
Tc | Contact time |
g2 | Gravitational acceleration |
h | Jump height |
References
- Nishiumi, D.; Nishioka, T.; Saito, H.; Kurokawa, T.; Hirose, N. Associations of eccentric force variables during jumping and eccentric lower-limb strength with vertical jump performance: A systematic review. PLoS ONE 2023, 18, e0289631. [Google Scholar] [CrossRef]
- Nejić, K.; Stanković, M.; Rančić, D.; Jelaska, I.; Pezelj, L.; Katanić, B.; Badau, A.; Badau, D.; Masanovic, B. Associations Between Jump Performance, Speed, and COD Abilities in Young Elite Volleyball Players. Appl. Sci. 2025, 15, 9489. [Google Scholar] [CrossRef]
- Dobbs, W.C.; Tolusso, D.V.; Fedewa, M.V.; Esco, M.R. Effect of post activation potentiation on explosive vertical jump: A systematic review and meta-analysis. J. Strength Cond. Res. 2019, 33, 2009–2018. [Google Scholar] [CrossRef]
- Aksović, N.; Bjelica, B.; Milanović, F.; Cicović, B.; Bubanj, S.; Nikolić, D.; Skrypchenko, I.; Rozhechenko, V.; Zelenović, M. Evaluation and comparative analysis of the results of a vertical jump between young basketball and handball players. Pedagog. Phys. Cult. Sports 2022, 26, 126–133. [Google Scholar] [CrossRef]
- Grădinaru, L.; Mergheș, P.; Oravițan, M. The contribution of plyometric exercises assisted by sensory technology on vertical jump parameters in U15 female volleyball players. Pedagog. Phys. Cult. Sports 2024, 28, 156–167. [Google Scholar] [CrossRef]
- França, C.; Marques, A.; Ihle, A.; Nuno, J.; Campos, P.; Gonçalves, F.; Martins, J.; Gouveia, É. Associations between muscular strength and vertical jumping performance in adolescent male football players. Hum. Mov. 2023, 24, 94–100. [Google Scholar] [CrossRef]
- Leite, I.; Goethel, M.; Conceição, F.; Ávila-Carvalho, L. How does the jumping performance differ between acrobatic and rhythmic gymnasts? Biomechanics 2023, 3, 457–468. [Google Scholar] [CrossRef]
- Băltean, A.I.; De Hillerin, P.J.; Geantă, V.A. Effects of a short-term aquatic training program on in-water vertical jump performance and neuromuscular output in water polo players. Sport Mont 2025, 23, 101–107. [Google Scholar] [CrossRef]
- Xu, J.; Turner, A.; Comyns, T.M.; Chavda, S.; Bishop, C. The Association between Countermovement Rebound Jump Metrics and Independent Measures of Athletic Performance. Appl. Sci. 2024, 14, 3718. [Google Scholar] [CrossRef]
- Loturco, I.; Pereira, L.A.; Kobal, R.; Kitamura, K.; Abad, C.C.C.; Marques, G.; Guerriero, A.; Moraes, J.E.; Nakamura, F.Y. Validity and usability of a new system for measuring and monitoring variations in vertical jump performance. J. Strength Cond. Res. 2017, 31, 2579–2585. [Google Scholar] [CrossRef]
- Sanders, G.J.; Skodinski, S.; Peacock, C.A. Impact of early season jump loads on neuromuscular performance in Division I volleyball: Analyzing force, velocity, and power from countermovement jump tests. Transl. Sports Med. 2025, 2025, 7216781. [Google Scholar] [CrossRef] [PubMed]
- Miranda-Oliveira, P.; Branco, M.; Fernandes, O. Accuracy of inertial measurement units when applied to the countermovement jump of track and field athletes. Sensors 2022, 22, 7186. [Google Scholar] [CrossRef] [PubMed]
- Lesinski, M.; Muehlbauer, T.; Granacher, U. Concurrent validity of the Gyko inertial sensor system for the assessment of vertical jump height in female sub-elite youth soccer players. BMC Sports Sci. Med. Rehabil. 2016, 8, 35. [Google Scholar] [CrossRef]
- Rico-Garcia, M.; Botero-Valencia, J.; Hernández-García, R. Vertical Jump Data from Inertial and Optical Motion Tracking Systems. Data 2022, 7, 116. [Google Scholar] [CrossRef]
- McNeal, J.R.; Sands, W.A.; Stone, M.H. Effects of fatigue on kinetic and kinematic variables during a 60-second repeated jumps test. Int. J. Sports Physiol. Perform. 2010, 5, 218–229. [Google Scholar] [CrossRef]
- Bagchi, A.; Raizada, S.; Thapa, R.K.; Stefanica, V.; Ceylan, H.İ. Reliability and accuracy of portable devices for measuring countermovement jump height in physically active adults: A comparison of force platforms, contact mats, and video-based software. Life 2024, 14, 1394. [Google Scholar] [CrossRef] [PubMed]
- Papadakis, Z.; Panoutsakopoulos, V.; Kollias, I.A. Predictive value of repeated jump testing on nomination status in professional and under-19 soccer players. Int. J. Environ. Res. Public Health 2022, 19, 13077. [Google Scholar] [CrossRef]
- Philipp, N.M.; Cabarkapa, D.; Nijem, R.M.; Blackburn, S.D.; Fry, A.C. Vertical jump neuromuscular performance characteristics determining on-court contribution in male and female NCAA Division 1 basketball players. Sports 2023, 11, 239. [Google Scholar] [CrossRef]
- Bosco, C.; Luhtanen, P.; Komi, P.V. A simple method for measurement of mechanical power in jumping. Eur. J. Appl. Physiol. Occup. Physiol. 1983, 50, 273–282. [Google Scholar] [CrossRef]
- Pazin, N.; Berjan, B.; Nedeljkovic, A.; Markovic, G.; Jaric, S. Power output in vertical jumps: Does optimum loading depend on activity profiles? Eur. J. Appl. Physiol. 2013, 113, 577–589. [Google Scholar] [CrossRef]
- Botezatu, C. Aspecte Neuromusculare ale Anticipării în Pregătirea Structurii Corporale Pentru Contact, în Performanţa Motrică [Neuromuscular Aspects of Anticipation in Preparing the Body Structure for Contact in Motor Performance]. Doctoral Dissertation, Universitatea din Pitești, Pitești, Romania, 2013. [Google Scholar]
- Botezatu, C.; Andrei, C.; Hillerin, P.J. Neuromuscular aspects of anticipation in preparing the body for the contact structure in motrice performance. Sport Sci. Rev. 2014, 23, 1–22. [Google Scholar] [CrossRef]
- Monteiro, L.; Massuça, L.M.; Ramos, S.; Garcia-Garcia, J. Neuromuscular performance of world-class judo athletes on bench press, prone row and repeated jump tests. Appl. Sci. 2024, 14, 2904. [Google Scholar] [CrossRef]
- Freitas-Junior, C.A.; Gantois, P.E.; Fortes, L.E.; Correia, G.; Paes, P.E. Effects of the improvement in vertical jump and repeated jumping ability on male volleyball athletes’ internal load during a season. J. Phys. Educ. Sport 2020, 20, 2924–2931. [Google Scholar] [CrossRef]
- Türkarslan, B.; Deliceoğlu, G. The Effects of the French Contrast Method on Soccer Players’ Jumping, Sprinting and Balance Performance. J. Musculoskelet. Neuronal Interact. 2024, 24, 209–215. [Google Scholar]
- Acar, N.E.; Umutlu, G.; Ersöz, Y.; Akarsu Taşman, G.; Güven, E.; Sınar Ulutaş, D.S.; Kamiş, O.; Erdoğan, M.; Aslan, Y.E. Continuous vertical jump test is a reliable alternative to Wingate anaerobic test and isokinetic fatigue tests in evaluation of muscular fatigue resistance in endurance runners. BMC Sports Sci. Med. Rehabil. 2025, 17, 88. [Google Scholar] [CrossRef]
- McCaulley, G.O.; Cormie, P.; Cavill, M.J.; Nuzzo, J.L.; Urbiztondo, Z.G.; McBride, J.M. Mechanical efficiency during repetitive vertical jumping. Eur. J. Appl. Physiol. 2007, 101, 115–123. [Google Scholar] [CrossRef] [PubMed]
- Georgescu, M. Contribuții la studiul calităților fizice [Contributions to the study of physical qualities]. Cult. Fiz. și Sport 1953, 2, 39–60. [Google Scholar]
- Hillerin, P.J. Despre Proba Miron Georgescu Modificată [About the Modified Miron Georgescu Drill]; Republished Internal Use Material; Institute for Sport Research in Bucharest: București, Romanian, 1997. [Google Scholar]
- Geantă, V.A.; de Hillerin, P.J. Balas, E., Roman, A., Rad, D., Eds.; Assessment of motor skills by jump tests—Comparative analysis. In Student’s Well-Being and Teaching-Learning Efficiency During Post-Pandemic Period; Peter Lang: Berlin, Germany, 2023; Volume IV, pp. 249–271. [Google Scholar]
- Hillerin, P.J. Propunere de interpretare a variabilității timpilor de contact cu solul și de zbor în proba “MGM-15”, cu indicatori ai calității controlului neuromuscular al fazelor interacțiunii de tip motric [Proposal of interpretation of the ground contact and flight time variability for the “MGM-15” drill, using indicators of the neuromuscular control quality for the motor interaction phases]. In Proceedings of the National Psychology Conference, Bucharest, Romania, 1997. [Google Scholar]
- Marin, C.; de Hillerin, P.J.; Marin, M.; Vizitiu, C.; Nistorescu, A.; Vizitiu, A. Arguments for a Unified Psycho-Neuro-Motor Approach in Human Performance Training. Palestrica Third Millenn. Civiliz. Sport 2015, 16, 107–112. Available online: https://www.pm3.ro/pdf/60/ro/08%20-%20marin%20%20%20107-112.pdf (accessed on 10 September 2025).
- Geantă, V.A.; De Hillerin, P.J. Methodological discrepancies in lower limb average power calculation in a repeated vertical jump test: A preliminary study. Montenegrin J. Sports Sci. Med. 2025, 14, 89–96. [Google Scholar] [CrossRef]
- Ozemek, C.; Bonikowske, A.; Christle, J.; Gallo, P. ACSM’s Guidelines for Exercise Testing and Prescription, 12th ed.; Lippincott Williams & Wilkins: Philadelphia, PA, USA, 2025; pp. 131–134, 332–336. [Google Scholar]
- Marković, G. Does plyometric training improve vertical jump height? A meta-analytical review. Br. J. Sports Med. 2007, 41, 349–355. [Google Scholar] [CrossRef]
- Caseiro-Filho, L.C.; Girasol, C.E.; Rinaldi, M.L.; Lemos, T.W.; Guirro, R.R. Analysis of the accuracy and reliability of vertical jump evaluation using a low-cost acquisition system. BMC Sports Sci. Med. Rehabil. 2023, 15, 107. [Google Scholar] [CrossRef]
- American College of Sports Medicine. Sanders, M.E., Ed.; ACSM’s Health/Fitness Facility Standards and Guidelines; Human Kinetics: Champaign, IL, USA, 2019; p. 86. [Google Scholar]
- Microgate. Home Page: Microgate [Internet]. Available online: https://www.microgate.it (accessed on 7 June 2025).
- Laerd Statistics. One-Way Repeated Measures ANOVA Using SPSS Statistics [Internet]. 2025. Available online: https://statistics.laerd.com/spss-tutorials/one-way-anova-repeated-measures-using-spss-statistics.php (accessed on 1 August 2025).
- Cohen, J. Statistical Power Analysis for the Behavioral Sciences, 2nd ed.; Routledge: New York, NY, USA, 2013. [Google Scholar] [CrossRef]
- Kaufmann, S.; Hoos, O.; Beck, A.; Fueller, F.; Latzel, R.; Beneke, R. The metabolic relevance of type of locomotion in anaerobic testing: Bosco continuous jumping test versus Wingate anaerobic test of the same duration. Int. J. Sports Physiol. Perform. 2021, 16, 1663–1669. [Google Scholar] [CrossRef]
- Schleip, R.; Wilke, J.; Baker, A. Fascia in Sport and Movement; Jessica Kingsley Publishers: London, UK, 2021; pp. 97–105. [Google Scholar]
- Lamontagne, M.; Kennedy, M.J. The biomechanics of vertical hopping: A review. Res. Sports Med. 2013, 21, 380–394. [Google Scholar] [CrossRef]
- Knihs, D.A.; Ache-Dias, J.; Dal Pupo, J. Effects of different levels of fatigue on vertical jump performance, vertical stiffness, and intralimb coordination. Monten. J. Sports Sci. Med. 2021, 11, 9–14. [Google Scholar] [CrossRef]
- Bojsen-Møller, J.; Magnusson, S.P. Mechanical properties, physiological behavior, and function of aponeurosis and tendon. J. Appl. Physiol. 2019, 126, 1800–1807. [Google Scholar] [CrossRef]
- Geantă, V.A.; De Hillerin, P.J. The Potential of the MGM-15 Test as a Method for Evaluating Sports Performance. Monten. J. Sports Sci. Med. 2025, 14, 5–20. [Google Scholar] [CrossRef]
- Mureşan, A.; Bulduş, C.F.; Grosu, V. The control of explosive force training in volleyball using MGM 15 jumping mat. In Proceedings of the WLC 2016 World LUMEN Congress, Logos Universality Mentality Education, Iasi, Romania, 12–17 April 2016. [Google Scholar] [CrossRef]
- Ciobotaru, O.; Voinescu, D.; Ciobotaru, O.; Ciocan, N.; Savu, C. The optimization of the football players’ agility using the data provided by the study of the control parameters by means of the Modified Miron Georgescu Method. Ann. “Dunarea De Jos” Univ. Galati Fasc. XV Phys. Educ. Sport Manag. 2014, 1, 29–33. [Google Scholar]
- Sava, M.A. A study regarding the manifestation of the explosive force to judoka aged 14–16 years. Gymnasium 2015, 16, 149–160. [Google Scholar]
- Gherțoiu, D.M.; Moca, C.M. Jumping reaction time and power output of young female basketball players. Studia UBB Educ. Artis. Gymn. 2018, 63, 107–111. [Google Scholar] [CrossRef] [PubMed]
- Rață, G.; Grapa, F.; Rață, B.; Manole, L.; Ciocan, D. Study on the Correlations between the Flight Height and the Two-Legged and One-Legged Take-Off Power in the “Division A” Female Volleyball Players. Sport Sci. Rev. 2010, 19, 117. [Google Scholar] [CrossRef]
- Macovei, S.; de Hillerin, P.J. Orientation de la préparation physique et technique au moyen d’un test du train inférieur [Orientation of Physical and Technical Preparation Using a Lower-Limb Test]. Cah. De L’insep 1997, 18, 267–271. Available online: https://www.persee.fr/doc/insep_1241-0691_1997_num_18_1_1274 (accessed on 3 October 2025).
- Rață, G.; Rață, B.C.; Manole, L. Study Regarding the Dynamics of the Explosive Force Manifestation in the Lower Limbs in 8-8 Years Old Boys. J. Phys. Educ. Sport 2010, 26. Available online: http://www.efsupit.ro/images/stories/imgs/JPES/2010/4%20RATA.pdf (accessed on 3 October 2025).
- Stroescu, S.A. Using Motor Skills Tests in the Selection of Women Gymnasts for Learning the “Forward Danilova” on Beam. In Proceedings of the 5th International Congress on Physical Education, Sport and Kinetotherapy (ICPESK 2015), Bucharest, Romania, 10–13 June 2015; p. 65. [Google Scholar] [CrossRef]
- Popa, D.; Neamțu, M. The Modern Equipment in Training Performance Dancers. Procedia Soc. Behav. Sci. 2013, 76, 665–669. [Google Scholar] [CrossRef]
- Rață, G.; Dobrescu, T.; Marza-Danila, D.N.; Grapa, F.; Rață, B.C.; Rață, M. Longitudinal Study Regarding the Evolution of the “Știința” Bacău Female Volleyball Players. Procedia Soc. Behav. Sci. 2012, 46, 3959–3966. [Google Scholar] [CrossRef]
- Rață, G.; de Hillerin, P.J.; Rață, B.C.; Rață, M.; Andrei, C.; Botezatu, C. Bio-Motor Assessment, Interpretations and Suggestions of the Results Recorded by the Știința Bacău Female Handball Players. In Proceedings of the 4th Annual International Conference: Physical Education, Sport and Health, Pitești, Romania, 18–19 November 2011; University of Pitești: Pitești, Romania, 2011; Volume 15, pp. 538–542, Part II. [Google Scholar]
- Mihăilescu, L.; Vâlcu, B.; Mihăilescu, N. Possibilities for Identifying the Contribution of Strength and Muscle Power of Track and Field Sprint Events. Procedia Soc. Behav. Sci. 2012, 46, 3722–3726. [Google Scholar] [CrossRef]
- Ababei, C.; Pavel, S.; Ababei, R. Study regarding the fitness of the students enrolled in the physical and sportive education and physical therapy and special motor skills academic programs, in the context of future professions. Rom. J. Multidim. Educ. 2024, 16, 233–244. [Google Scholar] [CrossRef]
- Gherman, A.A.; Gomboș, L.; Pătrașcu, A. Developed Jumping Power Relation with Other Neuromuscular Coefficients from the MGM-15 Jump Carpet. pp. 103–107. Available online: https://www.researchgate.net/publication/366634386 (accessed on 5 October 2025).
- Achinstein, P. Crucial experiments. In The Routledge Encyclopedia of Philosophy [Internet]; Taylor and Francis: London, UK, 1998; Available online: https://www.rep.routledge.com/articles/thematic/crucial-experiments/v-1 (accessed on 28 June 2023).
- Popper, K. The Logic of Scientific Discovery; Hutchinson: London, UK, 1959; pp. 66–67. [Google Scholar]
- Wilson, J.M.; Flanagan, E.P. The role of elastic energy in activities with high force and power requirements: A brief review. J. Strength Cond. Res. 2008, 22, 1705–1715. [Google Scholar] [CrossRef]
- Roberts, T.J. Contribution of elastic tissues to the mechanics and energetics of muscle function during movement. J. Exp. Biol. 2016, 219, 266–275. [Google Scholar] [CrossRef] [PubMed]
- de Carvalho, A.R.; Debastiani, J.C.; Peyré-Tartaruga, L.A.; Bertolini, G.R.F. Estimated lower limb mechanical muscular power during vertical jumps by contact mat and Bosco’s equation: A correlation and agreement cross-sectional study. Contrib. Cienc. Soc. 2024, 17, 5222–5234. [Google Scholar] [CrossRef]
- Čular, D.; Ivančev, V.; Zagatto, A.M.; Milić, M.; Beslija, T.; Sellami, M.; Padulo, J. Validity and reliability of the 30-s continuous jump for anaerobic power and capacity assessment in combat sport. Front. Physiol. 2018, 9, 543. [Google Scholar] [CrossRef]
- Xu, J.; Turner, A.; Jordan, M.J.; Comyns, T.M.; Chavda, S.; Bishop, C. A narrative review of rebound jumping and fast stretch-shortening cycle mechanics. Strength Cond. J. 2025, 47, 302–316. [Google Scholar] [CrossRef]
- Gross, M.; Lüthy, F. Anaerobic Power Assessment in Athletes: Are Cycling and Vertical Jump Tests Interchangeable? Sports 2020, 8, 60. [Google Scholar] [CrossRef]
- de Hillerin, P.J.; Ionescu, A.; Iacobini, A.; Stavre, A.; Anghelache, C. Erori și Realitate în Evaluarea Capacității de Efort Anaerob Prin Teste ce Folosesc Săriturile pe Verticală [Errors and Reality in the Assessment of Anaerobic Capacity Through Tests Using Vertical Jumps]. In Proceedings of the Conference Presentation, 29th National Conference of Sports Medicine, Romanian Society of Sports Medicine, Online, 29 March 2021; Available online: https://www.medicinasportiva.ro/SRoMS/2021/program.html (accessed on 3 October 2025).
- Iacobini, A.; de Hillerin, P.J.; Iacobini, A. Case Study on Reducing Lower Limb Asymmetry through Psycho-Neuro-Motor Control Training. Marathon 2024, 16, 75–81. [Google Scholar] [CrossRef]
- Glatthorn, J.F.; Gouge, S.; Nussbaumer, S.; Stauffacher, S.; Impellizzeri, F.M.; Maffiuletti, N.A. Validity and reliability of Optojump photoelectric cells for estimating vertical jump height. J. Strength Cond. Res. 2011, 25, 556–560. [Google Scholar] [CrossRef]
- Condello, G.; Khemtong, C.; Lee, Y.-H.; Chen, C.-H.; Mandorino, M.; Santoro, E.; Liu, C.; Tessitore, A. Validity and Reliability of a Photoelectric Cells System for the Evaluation of Change of Direction and Lateral Jumping Abilities in Collegiate Basketball Athletes. J. Funct. Morphol. Kinesiol. 2020, 5, 55. [Google Scholar] [CrossRef]
- Słomka, K.J.; Sobota, G.; Skowronek, T.; Rzepko, M.; Czarny, W.; Juras, G. Evaluation of Reliability and Concurrent Validity of Two Optoelectric Systems Used for Recording Maximum Vertical Jumping Performance versus the Gold Standard. Acta Bioeng. Biomech. 2017, 19, 141–147. Available online: https://yadda.icm.edu.pl/baztech/element/bwmeta1.element.baztech-dde7b09b-74fc-4481-9413-4f5ff33d6fea (accessed on 1 October 2025). [PubMed]
- Khemiri, A.; Negra, Y.; Ceylan, H.İ.; Hajri, M.; Njah, A.; Hachana, Y.; Yıldız, M.; Bayrakdaroğlu, S.; Muntean, R.I.; Attia, A. Concurrent Validity of the Optojump Infrared Photocell System in Lower Limb Peak Power Assessment: Comparative Analysis with the Wingate Anaerobic Test and Sprint Performance. Appl. Sci. 2025, 15, 10741. [Google Scholar] [CrossRef]
- Attia, A.; Dhahbi, W.; Chaouachi, A.; Padulo, J.; Wong, D.P.; Chamari, K. Measurement Errors When Estimating the Vertical Jump Height with Flight Time Using Photocell Devices: The Example of Optojump. Biol. Sport 2017, 34, 63–70. [Google Scholar] [CrossRef]
Disclaimer/Publisher’s Note: The statements, opinions and data contained in all publications are solely those of the individual author(s) and contributor(s) and not of MDPI and/or the editor(s). MDPI and/or the editor(s) disclaim responsibility for any injury to people or property resulting from any ideas, methods, instructions or products referred to in the content. |
© 2025 by the authors. Licensee MDPI, Basel, Switzerland. This article is an open access article distributed under the terms and conditions of the Creative Commons Attribution (CC BY) license (https://creativecommons.org/licenses/by/4.0/).