Sign in to use this feature.

Years

Between: -

Subjects

remove_circle_outline
remove_circle_outline
remove_circle_outline
remove_circle_outline
remove_circle_outline
remove_circle_outline
remove_circle_outline
remove_circle_outline
remove_circle_outline

Journals

Article Types

Countries / Regions

Search Results (34)

Search Parameters:
Keywords = structure-borne sound

Order results
Result details
Results per page
Select all
Export citation of selected articles as:
21 pages, 3692 KB  
Article
First-Principles Investigation of Pressure-Induced Structural, Elastic, and Vibrational Properties of In3Sc
by Yazid Hedjar, Salima Saib and Alfonso Muñoz
Crystals 2025, 15(11), 946; https://doi.org/10.3390/cryst15110946 - 31 Oct 2025
Viewed by 382
Abstract
This study reports a first-principles investigation of the structural, mechanical, electronic, and vibrational properties of In3Sc in several crystal structures: AuCu3 (Pm3¯m), Al3Ti (I4/mmm), Ni3Sn (P63/mmc), and BiF3 (Fm [...] Read more.
This study reports a first-principles investigation of the structural, mechanical, electronic, and vibrational properties of In3Sc in several crystal structures: AuCu3 (Pm3¯m), Al3Ti (I4/mmm), Ni3Sn (P63/mmc), and BiF3 (Fm3¯m), with a focus on pressure effects. Calculated equilibrium lattice constants, bulk, shear, and Young’s moduli show good agreement with experimental and theoretical data, especially for the cubic AuCu3 phase. Elastic constants, examined with the Born stability criteria, reveal that the cubic (SG 221), tetragonal (SG 139), and hexagonal (SG 194) phases are mechanically stable at zero pressure, while the BiF3-type cubic (SG 225) is unstable. Pressure-dependent variations in lattice parameters, bulk modulus, and elastic moduli, captured by polynomial fits, demonstrate stiffening effects and pressure-induced phase transitions. Band structures and density of states confirm metallicity in all stable phases, with In–Sc hybridization governing bonding. Phonon dispersions and Grüneisen parameters, calculated under compression, establish the dynamical stability of the mechanically stable structures and provide insight into vibrational and thermal behavior. Debye temperature and sound velocities highlight favorable thermal-transport features. Altogether, the results clarify the intrinsic mechanical and thermodynamic response of In3Sc, supporting its potential as a promising intermetallic for structural and functional use under extreme conditions. Full article
(This article belongs to the Section Inorganic Crystalline Materials)
Show Figures

Figure 1

16 pages, 4249 KB  
Article
Defining Robust NVH Requirements for an Electrified Powertrain Mounting System Based on Solution Space During Early Phase of Development
by José G. Cóndor López, Karsten Finger and Sven Herold
Appl. Sci. 2025, 15(18), 10241; https://doi.org/10.3390/app151810241 - 20 Sep 2025
Viewed by 1104
Abstract
Electrification introduces additional NVH (noise, vibration and harshness) challenges during the development of powertrain mounting systems due to high-frequency excitations from the powertrain and the absence of masking effects from the combustion engine. In these frequency ranges, engine mounts can stiffen up to [...] Read more.
Electrification introduces additional NVH (noise, vibration and harshness) challenges during the development of powertrain mounting systems due to high-frequency excitations from the powertrain and the absence of masking effects from the combustion engine. In these frequency ranges, engine mounts can stiffen up to a factor of five due to continuum resonances, reducing their structure-borne sound isolation properties and negatively impacting the customer’s NVH perception. Common hardening factors used during elastomer mount development are therefore limited in terms of their applicable validation frequency range. This study presents a methodology for determining decoupled permissible stiffness ranges for a double-isolated mounting system up to 1500 Hz, based on solution space engineering. Instead of optimizing for a single best design, we seek to maximize solution boxes, resulting in robust stiffness ranges that ensure the fulfillment of the formulated system requirements. These ranges serve as NVH requirements at the component level, derived from the sound pressure level at the seat location. They provide tailored guidelines for mount development, such as geometric design or optimal resonance placement, while simultaneously offering maximum flexibility by spanning the solution space. The integration of machine learning approaches enables the application of large-scale finite-element models within the framework of solution space analysis by reducing the computational time by a factor of 7.19·103. From a design process standpoint, this facilitates frontloading by accelerating the evaluation phase as suppliers can directly benchmark their mounting concepts against the permissible ranges and immediately verify compliance with the defined targets. Full article
(This article belongs to the Special Issue Advances in Dynamic Systems by Smart Structures)
Show Figures

Figure 1

13 pages, 9188 KB  
Article
Sound Absorption of Hydroponically Grown Plants
by Gino Iannace, Antonella Bevilacqua, Amelia Trematerra and Giovanni Amadasi
Acoustics 2025, 7(2), 24; https://doi.org/10.3390/acoustics7020024 - 23 Apr 2025
Cited by 9 | Viewed by 1816
Abstract
Hydroponics is a method of growing plants without soil and serves as an efficient agricultural production system. Compared to traditional farming, hydroponic crops offer significant water savings while also reducing the need for chemical pesticides by eliminating soil-borne diseases and pests. Additionally, hydroponic [...] Read more.
Hydroponics is a method of growing plants without soil and serves as an efficient agricultural production system. Compared to traditional farming, hydroponic crops offer significant water savings while also reducing the need for chemical pesticides by eliminating soil-borne diseases and pests. Additionally, hydroponic materials are being studied as a potential food source for space missions and as a substitute for industrially produced animal feed during winter. This paper explores the acoustic absorption properties of green materials derived from hydroponic systems. The roots of wheat grown in a porous layer formed a rigid skeleton structure. After drying, test specimens were prepared for acoustic measurements, undertaken using an impedance tube, to assess the material’s sound absorption performance. The results indicate optimal absorption around 600 Hz and 2000 Hz, reaching α = 0.95–1.0, which is significant. A brief description of the substrate layers is also provided. Full article
Show Figures

Figure 1

20 pages, 6001 KB  
Article
Structure-Borne Sound Suppression of a Strongly/Weakly Excited Curved Panel Using a Quadratic Nonlinear Resonance Effect
by Yiu-Yin Lee
Axioms 2025, 14(2), 125; https://doi.org/10.3390/axioms14020125 - 9 Feb 2025
Viewed by 1082
Abstract
This study aimed to investigate the structure-borne sound suppression of a strongly/weakly excited curved panel. Quadratic nonlinear resonance can induce anti-symmetric modal responses to replace symmetric modal responses, even though the physical panel dimensions and excitation distribution are symmetric. Unlike cubic nonlinear resonance, [...] Read more.
This study aimed to investigate the structure-borne sound suppression of a strongly/weakly excited curved panel. Quadratic nonlinear resonance can induce anti-symmetric modal responses to replace symmetric modal responses, even though the physical panel dimensions and excitation distribution are symmetric. Unlike cubic nonlinear resonance, quadratic nonlinear resonance can be induced regardless of whether the panel vibration amplitude is small or large. As the sound radiation efficiency of anti-symmetric responses is much lower than that of symmetric responses, this quadratic nonlinear resonance effect is thus used for sound suppression. A set of multimode formulations was developed from the nonlinear structural governing equation and sound radiation efficiency equation. The quadratic nonlinear resonant responses and some other nonlinear responses were computed from the multimode formulations. Modal convergence studies and parametric studies were performed to understand the effects of various parameters on the quadratic nonlinear responses and sound suppression. The results showed that when the panel was strongly excited, the difference between the peak sound levels in the linear and nonlinear cases was up to 12 dB, and when the panel was weakly excited, the difference was up to 6 dB. Full article
(This article belongs to the Special Issue Interdisciplinary Applications of Dynamical Systems)
Show Figures

Figure 1

18 pages, 6569 KB  
Article
Reduction in Floor Impact Noise Using Resilient Pads Composed of Machining Scraps
by Donghyeon Lee, Jonghoon Jeon, Wanseung Kim, Narae Kim, Minjung Lee and Junhong Park
Polymers 2024, 16(20), 2912; https://doi.org/10.3390/polym16202912 - 16 Oct 2024
Viewed by 2489
Abstract
Floor impact noise is a significant social concern to secure a quiescent living space for multi-story building residents in South Korea. The floating floor, consisting of a concrete structure on resilient pads, is a specifically designed system to minimize noise transmission. This floating [...] Read more.
Floor impact noise is a significant social concern to secure a quiescent living space for multi-story building residents in South Korea. The floating floor, consisting of a concrete structure on resilient pads, is a specifically designed system to minimize noise transmission. This floating structure employs polymeric pads as the resilient materials. In this study, we investigated the utilization of helically shaped machining scraps as a resilient material for an alternative approach to floor noise reduction. The dynamic elastic modulus and loss factor of the scrap pads were measured using the vibration test method. The scrap pads exhibited a low dynamic elastic modulus and a high loss factor compared to the polymeric pads. Heavyweight impact sound experiments in an actual building were conducted to evaluate the noise reduction performance. The proposed pads showed excellent performance on the reduction in the structure-borne vibration of the concrete slab and resulting sound generation. The analytical model was used to simulate the response of the floating floor structure, enabling a parametric study to examine the effects of the resilient layer viscoelastic properties. Both experimental and analytical evidence confirmed that the proposed scrap pads contribute to the development of sustainable solutions for the minimization of floor impact noise. Full article
(This article belongs to the Section Polymer Applications)
Show Figures

Figure 1

19 pages, 15502 KB  
Article
Train-Induced Vibration and Structure-Borne Noise Measurement and Prediction of Low-Rise Building
by Jialiang Chen, Sen Hou, Bokai Zheng, Xuming Li, Fangling Peng, Yingying Wang and Junjie Chen
Buildings 2024, 14(9), 2883; https://doi.org/10.3390/buildings14092883 - 12 Sep 2024
Cited by 5 | Viewed by 2839
Abstract
The advancement of urban rail transit is increasingly confronted with environmental challenges related to vibration and noise. To investigate the critical issues surrounding vibration propagation and the generation of structure-borne noise, a two-story frame building was selected for on-site measurements of both vibration [...] Read more.
The advancement of urban rail transit is increasingly confronted with environmental challenges related to vibration and noise. To investigate the critical issues surrounding vibration propagation and the generation of structure-borne noise, a two-story frame building was selected for on-site measurements of both vibration and its induced structure-borne noise. The collected data were analyzed in both the time and frequency domains to explore the correlation between these phenomena, leading to the proposal of a hybrid prediction method for structural noise that was subsequently compared with measured results. The findings indicate that the excitation of structure-borne noise produces significant waveforms within sound signals. The characteristic frequency of the structure-borne noise is 25–80 Hz, as well as that of the train-induced vibration. Furthermore, there exists a positive correlation between structural vibration and structure-borne noise, whereby increased levels of vibration correspond to more pronounced structure-borne noise; additionally, indoor distribution patterns of structure-borne noise are non-uniform, with corner wall areas exhibiting greater intensity than central room locations. Finally, a hybrid prediction methodology that is both semi-analytical and semi-empirical is introduced. The approach derives dynamic response predictions of the structure through analytical solutions, subsequently estimating the secondary noise within the building’s interior using a newly formulated empirical equation to facilitate rapid predictions regarding indoor building vibrations and structure-borne noises induced by subway train operations. Full article
(This article belongs to the Special Issue Vibration Prediction and Noise Assessment of Building Structures)
Show Figures

Figure 1

15 pages, 4158 KB  
Article
Experimental Investigation on Building Sound Environment: Traffic-Induced Air Noise and Structure-Borne Noise
by Jialiang Chen, Lingshan He, Xuming Li, Bokai Zheng, Teng Wang, Dongyang Wang and Chao Zou
Buildings 2024, 14(8), 2380; https://doi.org/10.3390/buildings14082380 - 1 Aug 2024
Cited by 3 | Viewed by 3697
Abstract
The impact of urban traffic on human health is significant. This research conducts field measurements in Guangzhou, China, focusing on a building situated near subgrade roads and viaducts to investigate the characteristics of airborne and structure-borne noise generated by these infrastructures. The analysis [...] Read more.
The impact of urban traffic on human health is significant. This research conducts field measurements in Guangzhou, China, focusing on a building situated near subgrade roads and viaducts to investigate the characteristics of airborne and structure-borne noise generated by these infrastructures. The analysis involves the use of both sound pressure level and overall sound pressure level, as well as an examination of the transfer function between outdoor and indoor noise levels. The findings indicate that traffic-related airborne noise demonstrates a characteristic frequency at 1000 Hz in this scenario, while viaduct- and building-generated structure-borne noise is predominantly distributed at lower frequencies. Additionally, it is worth noting that structural vibrations generate significantly less energy compared to airborne traffic noise sources. The variation in outdoor road noise across different floors over the entire frequency range demonstrates an initial increase followed by a decrease with rising floor height due to air damping effects as well as sound barriers’ attenuation properties. These results enhance engineers’ understanding of urban traffic-induced airborne or structure-borne noise while establishing foundational data for designing layouts integrating urban buildings with roads. Full article
(This article belongs to the Special Issue Vibration Prediction and Noise Assessment of Building Structures)
Show Figures

Figure 1

19 pages, 13096 KB  
Article
Investigation of the Electrical Impedance Signal Behavior in Rolling Element Bearings as a New Approach for Damage Detection
by Florian Michael Becker-Dombrowsky, Johanna Schink, Julian Frischmuth and Eckhard Kirchner
Machines 2024, 12(7), 487; https://doi.org/10.3390/machines12070487 - 19 Jul 2024
Cited by 4 | Viewed by 2085
Abstract
The opportunities of impedance-based condition monitoring for rolling bearings have been shown earlier by the authors: Changes in the impedance signal and the derived features enable the detection of pitting damages. Localizing and measuring the pitting length in the raceway direction is possible. [...] Read more.
The opportunities of impedance-based condition monitoring for rolling bearings have been shown earlier by the authors: Changes in the impedance signal and the derived features enable the detection of pitting damages. Localizing and measuring the pitting length in the raceway direction is possible. Furthermore, the changes in features behavior are physically explainable. These investigations were focused on a single bearing type and only one load condition. Different bearing types and load angles were not considered yet. Thus, the impedance signals and their features of different bearing types under different load angles are investigated and compared. The signals are generated in fatigue tests on a rolling bearing test rig with conventional integrated vibration analysis based on structural borne sound. The rolling bearing impedance is gauged using an alternating current measurement bridge. Significant changes in the vibration signals mark the end of the fatigue tests. Therefore, comparing the response time of the impedance can be compared to the vibration signal response time. It can be shown that the rolling bearing impedance is an instrument for condition monitoring, independently from the bearing type. In case of pure radial loads, explicit changes in the impedance signal are detectable, which indicate a pitting damage. Under combined loads, the signal changes are detectable as well, but not as significant as under radial load. Damage-indicating signal changes occur later compared to pure radial loads, but nevertheless enable an early detection. Therefore, the rolling bearing impedance is an instrument for pitting damage detection, independently from bearing type and load angle. Full article
(This article belongs to the Special Issue Intelligent Machinery Fault Diagnosis and Maintenance)
Show Figures

Figure 1

16 pages, 6802 KB  
Article
Detection of Total Hip Replacement Loosening Based on Structure-Borne Sound: Influence of the Position of the Sensor on the Hip Stem
by Nico Schumacher, Franziska Geiger, Sascha Spors, Rainer Bader, Christian Haubelt and Daniel Kluess
Sensors 2024, 24(14), 4594; https://doi.org/10.3390/s24144594 - 16 Jul 2024
Cited by 4 | Viewed by 3140
Abstract
Accurate detection of implant loosening is crucial for early intervention in total hip replacements, but current imaging methods lack sensitivity and specificity. Vibration methods, already successful in dentistry, represent a promising approach. In order to detect loosening of the total hip replacement, excitation [...] Read more.
Accurate detection of implant loosening is crucial for early intervention in total hip replacements, but current imaging methods lack sensitivity and specificity. Vibration methods, already successful in dentistry, represent a promising approach. In order to detect loosening of the total hip replacement, excitation and measurement should be performed intracorporeally to minimize the influence of soft tissue on damping of the signals. However, only implants with a single sensor intracorporeally integrated into the implant for detecting vibrations have been presented in the literature. Considering different mode shapes, the sensor’s position on the implant is assumed to influence the signals. In the work at hand, the influence of the position of the sensor on the recording of the vibrations on the implant was investigated. For this purpose, a simplified test setup was created with a titanium rod implanted in a cylinder of artificial cancellous bone. Mechanical stimulation via an exciter attached to the rod was recorded by three accelerometers at varying positions along the titanium rod. Three states of peri-implant loosening within the bone stock were simulated by extracting the bone material around the titanium rod, and different markers were analyzed to distinguish between these states of loosening. In addition, a modal analysis was performed using the finite element method to analyze the mode shapes. Distinct differences in the signals recorded by the acceleration sensors within defects highlight the influence of sensor position on mode detection and natural frequencies. Thus, using multiple sensors could be advantageous in accurately detecting all modes and determining the implant loosening state more precisely. Full article
Show Figures

Figure 1

14 pages, 6610 KB  
Article
Computational and Theoretical Investigation of Acoustical and Vibrational Properties of Rigid Thin Material
by Haydar Aygun
Acoustics 2024, 6(1), 83-96; https://doi.org/10.3390/acoustics6010005 - 16 Jan 2024
Viewed by 2931
Abstract
A computational and theoretical investigation of acoustical and vibrational properties of rigid thin fiberglass material was carried out for different boundary conditions. Fiberglass materials could be applied in industries varying from the aircraft and automotive sectors to the built environment and construction sectors. [...] Read more.
A computational and theoretical investigation of acoustical and vibrational properties of rigid thin fiberglass material was carried out for different boundary conditions. Fiberglass materials could be applied in industries varying from the aircraft and automotive sectors to the built environment and construction sectors. Plate vibration and acoustic radiation were applied to predict the deflection of the thin fiberglass material and sound radiation efficiency at different locations on its surface, while a study-controlled equation of motion known as the Kirchhoff thin plate theory was applied for a COMSOL simulation of the thin material to determine the deflection of the plate and to obtain stress distribution, velocity contour, displacement, and acoustic pressure at the first resonance of the material. The results of this paper show that thin fiberglass material could be applied to sandwich building elements to form panels for reducing airborne noise and to lessen the sound transmission of structural borne noise, to cover noise barriers to make them more sustainable and weather resistant, to dampen the vibration of machines, and to reduce the structural vibration of buildings. Full article
Show Figures

Figure 1

16 pages, 3404 KB  
Article
Improving Electric Vehicle Structural-Borne Noise Based on Convolutional Neural Network-Support Vector Regression
by Xiaoli Jia, Lin Zhou, Haibo Huang, Jian Pang and Liang Yang
Electronics 2024, 13(1), 113; https://doi.org/10.3390/electronics13010113 - 27 Dec 2023
Cited by 1 | Viewed by 2058
Abstract
In order to enhance the predictive accuracy and control capabilities pertaining to low- and medium-frequency road noise in automotive contexts, this study introduces a methodology for Structural-borne Road Noise (SRN) prediction and optimization. This approach relies on a multi-level target decomposition and a [...] Read more.
In order to enhance the predictive accuracy and control capabilities pertaining to low- and medium-frequency road noise in automotive contexts, this study introduces a methodology for Structural-borne Road Noise (SRN) prediction and optimization. This approach relies on a multi-level target decomposition and a hybrid model combining Convolutional Neural Network (CNN) and Support Vector Regression (SVR). Initially, a multi-level target analysis method is proposed, grounded in the hierarchical decomposition of vehicle road noise along the chassis parts, delineated layer by layer, in accordance with the vibration transmission path. Subsequently, the CNN–SVR hybrid model, predicated on the multi-level target framework, is proposed. Notably, the hybrid model exhibits a superior predictive accuracy exceeding 0.97, surpassing both traditional CNN and SVR models. Finally, the method and model are deployed for sensitivity analysis of chassis parameters in relation to road noise, as well as for the prediction and optimization analysis of SRN in vehicles. The outcomes underscore the high sensitivity of parameters such as the dynamic stiffness of the rear axle bushing and the large front swing arm bushing influencing SRN. The optimization results, facilitated by the CNN–SVR hybrid model, align closely with the measured outcomes, displaying a negligible relative error of 0.82%. Furthermore, the measured results indicate a noteworthy enhancement of 4.07% in the driver’s right-ear Sound Pressure Level (SPL) following the proposed improvements compared to the original state. Full article
(This article belongs to the Special Issue Applications of Artificial Intelligence in Mechanical Engineering)
Show Figures

Figure 1

16 pages, 5517 KB  
Article
A Comparative Study of a Hybrid Experimental–Statistical Energy Analysis Model with Advanced Transfer Path Analysis for Analyzing Interior Noise of a Tiltrotor Aircraft
by Shahin Sohrabi, Amadeu Segura Torres, Ester Cierco Molins, Alessandro Perazzolo, Giuseppe Bizzarro and Pere Vicenç Rodríguez Sorribes
Appl. Sci. 2023, 13(22), 12128; https://doi.org/10.3390/app132212128 - 8 Nov 2023
Cited by 2 | Viewed by 1674
Abstract
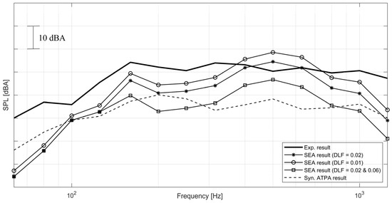
The excessive noise present within an aircraft cabin during flight operations constitutes a notable origin of fatigue, stress, and communication impediments for both pilots and passengers. Ensuring the comfort, well-being, and safety of passengers and crew members necessitates the accurate anticipation of noise [...] Read more.
The excessive noise present within an aircraft cabin during flight operations constitutes a notable origin of fatigue, stress, and communication impediments for both pilots and passengers. Ensuring the comfort, well-being, and safety of passengers and crew members necessitates the accurate anticipation of noise levels. This study concerns the computation of structure-borne noise levels within the cabin of a tiltrotor aircraft. This investigation employed two distinct methodologies: advanced transfer path analysis (ATPA) and statistical energy analysis (SEA). To assess the results obtained with the ATPA approach, the acquired outcomes were compared with empirically measured sound pressure levels during airplane mode operations. The contributions of air-borne and structure-borne noises were calculated with the ATPA methodology. On the other hand, the structure-borne noise was calculated with a hybrid experimental–SEA model with ACTRAN software, and its results were compared with those of the ATPA method. The results show a good agreement between these methods at high frequencies, while at low frequencies, certain adjustments or modifications to the SEA model are necessary to predict the noise levels. Full article
(This article belongs to the Section Acoustics and Vibrations)
Show Figures

Figure 1

15 pages, 9211 KB  
Article
Graph Convolutional Network Surrogate Model for Mesh-Based Structure-Borne Noise Simulation
by Sang-Yun Lee and Sang-Kwon Lee
Appl. Sci. 2023, 13(16), 9079; https://doi.org/10.3390/app13169079 - 9 Aug 2023
Cited by 3 | Viewed by 2974
Abstract
This study presents a unique method of building a surrogate model using a graph convolutional network (GCN) for mesh-based structure-borne noise analysis of a fluid–structure coupled system. Structure-borne noise generated from irregular shape panel vibration and sound pressure was measured in a closed-volume [...] Read more.
This study presents a unique method of building a surrogate model using a graph convolutional network (GCN) for mesh-based structure-borne noise analysis of a fluid–structure coupled system. Structure-borne noise generated from irregular shape panel vibration and sound pressure was measured in a closed-volume cavity coupled with the panel. The proposed network was trained to predict the sound pressure level with three steps. The first step is predicting the natural frequency of panels and cavities using the graph convolutional network, the second step is to predict the averaged vibration and acoustic response of the panel and cavity, respectively, in a given excitation condition using a triangular wave-type inference function based on the natural frequency predicted from the first step, and the third step is to predict the sound pressure in a cavity using a panel and cavity average response as an input to a 2D convolutional neural network (CNN). This method is an efficient way to build a surrogate model for predicting the response of a system which consisted of several sub-systems, like a full vehicle system model. We predicted the response of each sub-system and then combined this to obtain the response of the whole system. Using this method, an average 0.86 r-square value was achieved to predict the panel-induced structure-borne noise in a cavity from 10 to 500 Hz range in 1/12 octave band. This study is the first step towards creating a surrogate model of an engineering system with various sub-systems by changing it into a heterogeneous graph. Full article
(This article belongs to the Special Issue Recent Automotive Noise Vibration Harshness (NVH) and Sound Quality)
Show Figures

Figure 1

20 pages, 5295 KB  
Article
In-Process Monitoring of Hobbing Process Using an Acoustic Emission Sensor and Supervised Machine Learning
by Vivian Schiller, Sandra Klaus, Ali Bilen and Gisela Lanza
Algorithms 2023, 16(4), 183; https://doi.org/10.3390/a16040183 - 28 Mar 2023
Cited by 3 | Viewed by 3915
Abstract
The complexity of products increases considerably, and key functions can often only be realized by using high-precision components. Microgears have a particularly complex geometry and thus the manufacturing requirements often reach technological limits. Their geometric deviations are relatively large in comparison to the [...] Read more.
The complexity of products increases considerably, and key functions can often only be realized by using high-precision components. Microgears have a particularly complex geometry and thus the manufacturing requirements often reach technological limits. Their geometric deviations are relatively large in comparison to the small component size and thus have a major impact on the functionality in terms of generating unwanted noise and vibrations in the final product. There are still no readily available production-integrated measuring methods that enable quality control of all produced microgears. Consequently, many manufacturers are not able to measure any geometric gear parameters according to standards such as DIN ISO 21771. If at all, only samples are measured, as this is only possible by means of specialized, sensitive, and cost-intensive tactile or optical measuring technologies. In a novel approach, this paper examines the integration of an acoustic emission sensor into the hobbing process of microgears in order to predict process parameters as well as geometric and functional features of the produced gears. In terms of process parameters, radial feed and tool tumble are investigated, whereas the total profile deviation is used as a representative geometric variable and the overall transmission error as a functional variable. The approach is experimentally validated by means of the design of experiments. Furthermore, different approaches for feature extraction from time-continuous sensor data and different machine-learning approaches for predicting process and geometry parameters are compared with each other and tested for suitability. It is shown that structure-borne sound, in combination with supervised machine learning and data analysis, is suitable for inprocess monitoring of microgear hobbing processes. Full article
Show Figures

Figure 1

16 pages, 5756 KB  
Article
Vibration Transmission across Seismically Damaged Beam-to-Column Junctions of Reinforced Concrete Using Statistical Energy Analysis
by Marios Filippoupolitis and Carl Hopkins
Vibration 2023, 6(1), 149-164; https://doi.org/10.3390/vibration6010011 - 2 Feb 2023
Viewed by 2416
Abstract
To detect human survivors trapped in buildings after earthquakes by using structure-borne sound it is necessary to have knowledge of vibration transmission in collapsed and fragmented reinforced-concrete buildings. In this paper, statistical energy analysis (SEA) is considered for modelling vibration transmission in seismically [...] Read more.
To detect human survivors trapped in buildings after earthquakes by using structure-borne sound it is necessary to have knowledge of vibration transmission in collapsed and fragmented reinforced-concrete buildings. In this paper, statistical energy analysis (SEA) is considered for modelling vibration transmission in seismically damaged, reinforced concrete, beam-to-column junctions where the connection between the beam and the column is made only via the steel reinforcement. An ensemble of 30 randomly damaged beam-to-column junctions was generated using a Monte Carlo simulation with FEM. Experimental SEA (ESEA) is then considered with two or three subsystems to determine the coupling loss factors (CLFs) between the beam and the column with either bending modes or the combination of all mode types. It is shown that bending modes dominate the dynamic response and that the uncertainty of predicting the CLFs using FEM with ESEA is sufficiently low that it should be feasible to estimate the coupling even when the exact angle between the beam and the column is unknown. In addition, the use of two rather than three subsystems for the junction significantly decreases the number of negative coupling loss factors with ESEA. An initial analysis of the results in this paper was presented at the 50th International Congress and Exposition on Noise Control Engineering. Full article
(This article belongs to the Special Issue Feature Papers in Vibration)
Show Figures

Figure 1

Back to TopTop