Abstract
This study aimed to investigate the structure-borne sound suppression of a strongly/weakly excited curved panel. Quadratic nonlinear resonance can induce anti-symmetric modal responses to replace symmetric modal responses, even though the physical panel dimensions and excitation distribution are symmetric. Unlike cubic nonlinear resonance, quadratic nonlinear resonance can be induced regardless of whether the panel vibration amplitude is small or large. As the sound radiation efficiency of anti-symmetric responses is much lower than that of symmetric responses, this quadratic nonlinear resonance effect is thus used for sound suppression. A set of multimode formulations was developed from the nonlinear structural governing equation and sound radiation efficiency equation. The quadratic nonlinear resonant responses and some other nonlinear responses were computed from the multimode formulations. Modal convergence studies and parametric studies were performed to understand the effects of various parameters on the quadratic nonlinear responses and sound suppression. The results showed that when the panel was strongly excited, the difference between the peak sound levels in the linear and nonlinear cases was up to 12 dB, and when the panel was weakly excited, the difference was up to 6 dB.
MSC:
65M99; 65P99; 37M05
1. Introduction
Over recent decades, numerous research articles regarding acoustics and vibration have been published. Although many studies on nonlinear structural vibration have been published, very few considered structural nonlinearities in their models. For example, Shi et al. [1] proposed a particle-reinforced gradient honeycomb sandwich panel to overcome the sound insulation capacity limited by the law of mass and light weight requirements. The results showed that the sound insulation of the honeycomb sandwich panel could be significantly improved by adding more reinforcement particles and increasing the particle mass fraction.
Xu et al. [2] sought to optimize the lightweight sandwich panel design by maximizing the sound insulation performance and minimizing the panel mass simultaneously. The researchers provided basic formulas to model the acoustic objective function and solved the optimization problem for a bi-objective programming model using the non-dominated sorting genetic algorithm II. Mo et al. [3] presented a theoretical and numerical study on the vibrations of the supporting frame coupled with the acoustic micro-membranes within the lattice. The results showed how the global response in the sound transmission loss of the acoustic micro-membranes assembly was related to the geometrical parameters of the corresponding cells and lattice.
Urban et al. [4] used vibrometry to assess the influence of external thermal composite insulation systems on the façade of airborne sound insulation; the impact of the use of an external thermal composite system on airborne sound insulation was studied in detail. Consistency was found between the structural resonance frequencies and bending wave velocity dispersion curves. The mass–spring–mass resonance and coincidence effects were the main factors affecting the dips in the acoustic insulation spectrum.
Ou [5] developed an optimization method for maximizing the low-frequency sound insulation of plate structures. The basic ideas of this approach combined (1) a sound transmission loss analysis of a plate with arbitrary boundary conditions; (2) a single-number rating method; and (3) a genetic algorithm. The aim was to search for the optimal solutions to the multiple-parameter optimization problem. Lu et al. [6] designed a novel membrane-type acoustic metamaterial with a high sound transmission loss at low frequencies (less than 500 Hz) and investigated a mechanism based on negative mass density theory. The numerical results showed that the sound transmission loss could be modulated to a higher value by changing the structural parameters, such as the membrane surface density, the unit cell film shape, and the membrane tension.
Han et al. [7] studied the sound insulation properties of a spherical structure of subwavelength size. They built a coded topological spherical model on the subwavelength scale, with two materials arranged periodically according to the coding idea. The results showed that, at the subwavelength scale, the sound insulation effect of the coded topological spherical model was very significant; the sound pressure after using sound insulation was near 0.3 Pa, but the incident sound pressure was 100 Pa.
Zhao and Li [8] carried out an analysis of the factors that influence the acoustic performance of a muffler considering acoustic–structural coupling. Based on the basic equations, the authors derived finite element equations of the muffler system that considered the acoustic–structural coupling effect. It was found that the acoustic–structural coupling was the result of the interaction between the structure and the air inside the expansion chamber under acoustic excitation, which manifested as mutations in the sound pressure inside the muffler in some frequency bands. Mar-Or and Givoli [9] developed a mathematical model comprising two parallel, infinitely long, flat membranes lying on elastic foundations and the acoustic medium separating them. The structural–acoustic coupling manifested as a vibrational excitation of one of the membranes, which induced vibrations in the other. The proposed model was two-dimensional and involved a small number of parameters, but at the same time, it could bring to light some important features associated with structural–acoustic coupling.
Zhang et al. [10] modeled a three-dimensional acoustic cavity with a flexible partition. The field functions of the structural–acoustic coupling solution domain were described by employing an improved Fourier series method. The general formula considering the structural–acoustic coupling between the panel and the cavities was obtained using the Rayleigh–Ritz method based on the energy principle. The results showed the effects of the translational and rotational stiffness of structural boundaries on the structural–acoustic coupling characteristics of the model.
Wang et al. [11] studied the free vibration responses of an equivalent viscous-damped system based on a complex damping model using a time-domain method. The researchers found that the traditional step-by-step integration method could not be used to calculate the time-domain responses. Thus, their proposed equivalent viscous damping model was adopted to generate a theoretical solution that could eliminate the divergent term for the complex damping model.
Kong et al. [12] proposed a method for improving the broadband low-frequency sound absorption and energy absorbance of an arched-curve Helmholtz resonator with negative Poisson’s ratio. A negative Poisson’s ratio arched-curve Helmholtz resonator structure was adopted. The shape of the embedded tube was designed as a circular tube and a regular hexagonal tube, with the two shapes symmetrically distributed within the center of the circle. The traditional concave sandwich structure with negative Poisson’s ratio was modified to ensure outstanding sound absorption performance.
Lee and Ng [13] presented a theoretical and experimental study of the insertion loss of a stiffened enclosure plate. The theoretical analysis was based on a finite element method combined with a classical solution. The numerical and experimental results revealed that (1) the structural–acoustic coupling effect is an important factor for insertion loss and (2) stiffeners can be used to enhance the insertion loss ability at frequencies below the fundamental resonance. However, at other frequencies, the stiffened enclosure plate exhibits worse insertion loss performance. Lee [14] theoretically and experimentally studied the insertion loss of a cavity-backed semi-cylindrical enclosure panel. The theoretical model considered the three-dimensional acoustic modes of the semi-cylindrical cavity and the noise source vibration mode shape. It was found that the higher structural resonances in the semi-cylindrical system significantly reduced the insertion loss performance, and only the first structural resonance in the rectangular system was the important one. Many other studies have been conducted on linear structural acoustics and sound insulation techniques that cannot be fully discussed in this paper (e.g., [15,16,17,18,19,20,21,22]).
Unlike investigations on linear structural acoustics and linear sound insulation, far fewer studies on nonlinear sound and vibration have been carried out; some of these are introduced here. For example, Banks and Smith [23] presented a methodology for estimating physical parameters in a class of structural–acoustic systems. The general model under consideration consisted of an interior cavity that was separated from an exterior disturbance by an enclosing elastic structure. The model was weakly nonlinear as a result of the coupling mechanism between the structural vibrations and the interior acoustic dynamics. An illustrative model was developed, and approximation results were generated to show the effectiveness of the proposed technology.
Dalsen [24] developed a nonlinear model that described the interaction of sound and elastic waves in a two-dimensional acoustic chamber with one flexible wall. The composite dynamics of the structural–acoustic model was based on the linearized equations for a gas defined on the interior of the chamber and the nonlinear Timoshenko beam equations on the interface. The uniform stability of the energy associated with the interactive system of partial differential equations could be achieved by incorporating a nonlinear feedback boundary-damping scheme in the equations for the gas and the beam. Asadi et al. [25] experimentally and analytically investigated the internal resonances in a clamped–clamped beam resonator. It was demonstrated that the intermodal coupling between the second and third flexural modes in an asymmetric structure provided the optimal conditions to easily implement strong coupling to induce a high-energy transfer between the internally resonated modes. Their design strategies could be integrated into a typical micro/nanoelectromechanical system (M/NEMS) via a simple modification of the geometric parameters of the resonators.
Yu and Cho [26] studied multimode nonlinear behavior for the performance enhancement of resonant micro-electro-mechanical systems. The authors proposed a simple, non-prismatic stepped-beam design and experimentally realized the strong 1:2 internal resonance by coupling its second and third flexural modes, with negligible Duffing-type nonlinear effects. The strong nonlinear coupling provided a wide resonant bandwidth and improved the frequency stability. Lee et al. [27] developed a mixed finite element and classical formulation for the nonlinear multimodal structural–acoustic interaction of a composite plate backed by a three-dimensional cavity. This research mainly focused on the modeling technique. The main advantages of the adopted approach were as follows: (1) there was no need to update the nonlinear matrices; (2) the sizes of the nonlinear matrices could be reduced drastically; and (3) the acoustic pressure that acts on the plate could be obtained from the classical solution of the three-dimensional wave equation. It could avoid the numerical error induced by the coupling between the two-dimensional finite elements and three-dimensional boundary elements.
Lee et al. [28] carried out a theoretical analysis of the nonlinear vibration effects on the sound absorption of a panel absorber and the sound transmission loss of a panel backed with a rectangular cavity. The harmonic balance method was employed to derive a structural–acoustic formulation from two-coupled partial differential equations representing the nonlinear structural forced vibration and induced acoustic pressure. The effects of the excitation level, cavity depth, boundary condition, and damping factors were examined. The main findings included the following: (1) the well-known “jump phenomenon” in nonlinear vibration was observed in the sound absorption and transmission loss curves; (2) the absorption peak and transmission loss dip due to the nonlinear resonance were significantly wider than those in linear cases because of the wider resonant bandwidth; and (3) nonlinear vibration could be a positive factor for widening the absorption bandwidth, but it could degrade the transmission loss at the resonant frequency.
Anvariyeh et al. [29] studied the nonlinear vibro-acoustic behaviors of a double-panel structure with an acoustic cavity under harmonic excitation. The flexible panels were modeled using von Karman plate theory. The solution of the corresponding nonlinear equations was obtained using the Galerkin method in conjunction with the multiple scales method. Various nonlinear resonances were stated and investigated in detail, and jump phenomena were observed for primary and super-harmonic resonance cases. In addition, with the increase in cavity depth, the steady-state amplitude of the vibration increased in the subharmonic resonance cases.
Aside from the aforementioned research, other studies have considered the effect of structural nonlinearity on acoustic responses (e.g., [30,31,32,33,34,35,36]). In fact, most research mainly focused on the understanding of nonlinear structural–acoustic phenomena or solving problems associated with insulation panels subjected to weak excitation. Previous studies did not make use of these aspects to improve the sound insulation performance of the panels in the structural–acoustic system. In practice, an insulation panel may be strongly or weakly excited by sound pressure; thus, this study aimed to investigate the sound suppression of a strongly/weakly excited panel and examined the effectiveness of the proposed quadratic nonlinear resonance for sound suppression.
2. Theoretical Formulation
Consider an initially curved panel subject to transverse harmonic excitation and study its quadratic nonlinear vibration responses (see Figure 1). According to the modeling process described in [37], the flexural bending mode of the curved panel along the width is assumed to be neglected. The governing equation of the curved panel is adopted. Note that the panel considered in this paper is cylindrical (or singly curved) and is not the type of doubly curved panel used for sound suppression in [38]. The nonlinearities of this curved panel are caused by flexural bending and axial deformation along its length (i.e., the x direction).
where w is the transverse displacement; ρ is the panel surface density; E is Young’s modulus; I is the second moment of area; is the initial deflection profile (i.e., ), is the initial center deflection); , and are the 1st, 2nd, and 4th derivatives with respect to x, respectively; a, b and h are the panel length, width, and thickness, respectively; and F(t) is the harmonic excitation function.
Figure 1.
Initial curved panel and vibration mode shapes.
The transverse displacement of the simply supported case can be expressed in the following modal form:
where Am is the modal displacement of the mth mode and m is the mode number. The mode convergence study presented in this paper shows that the three-mode approach is sufficiently accurate (see Section 3). In other words, the first three modes are considered. Hence, inserting Equation (2) into Equation (1) yields the following:
where κ is a dimensionless excitation parameter; ω is the excitation frequency; and g is gravity.
Conduct the modal reduction process, multiplying each side of Equation (3) by , and take the integration with respect to x.
where ; .
Again, multiply each side of Equation (3) by and take the integration with respect to x.
where ; .
Again, multiply each side of Equation (3) by and take the integration with respect to x.
where ; .
It can be seen from Equations (4)–(6) that a set of quadratic nonlinear terms (e.g., , , and ) is generated in the modal decomposition process. In cases with a damping effect, a damping term ξ wmdAm/dt (where m = 1, 2, 3) is added into Equations (4)–(6). Finally, Equations (4)–(6) can be solved using a well-known numerical integration method (i.e., the Runge–Kutta method [37]). In Section 3, the quadratic nonlinear results obtained from the numerical integration method and the harmonic balance method [28] are compared with each other. When setting the frequency ratio of ω1/ω2 = 2, the phenomenon of quadratic nonlinear resonance occurs; thus, both the ½ subharmonic responses and the fundamental harmonic responses are very significant. According to the harmonic balance method, the modal amplitudes in Equations (4)–(6) are, therefore, approximated by
where A11, A12, A21, A22, A31, and A32 are the fundamental harmonic and ½ subharmonic amplitudes of the first three modes.
Insert Equation (7) into Equation (4), multiply it by or , and then take the integration:
Insert Equation (8) into Equation (5), multiply it by or , and then take the integration:
Insert Equation (9) into Equation (6), multiply it by or , and then take the integration:
There are six algebraic equations (i.e., Equations (10)–(15)) generated in the harmonic balance process. The fundamental harmonic and ½ subharmonic amplitudes can be obtained by solving these six equations. According to [39], the sound power radiated from the mth mode is expressed as
where Wm is the sound power radiated from mth mode; and are the angles between the radial direction and x or y direction, respectively; is the sound pressure at (x,y) induced by the mth modal response; r is the corresponding radius; c is the speed of sound; and ρo is the air density. The radiation efficiency of the mth mode is defined as
where is the root mean square velocity response of the mth mode. For example, the radiation of the mth mode can be given by
where k is the corresponding wave number.
The Normalized Sound Level (NSL) is defined as
where the root mean square velocity responses can be obtained by solving Equations (4)–(6).
3. Results and Discussion
In this study, the material and physical properties of the curved metal panel are set as follows: Young’s modulus E = 7 × 1010 N/m2, Poisson’s ratio ν = 0.3, mass density ρ = 2700 kg/m3, panel length a = 400 mm, panel width b = 300 mm, panel thickness h = 2 mm, and damping ratio ξ = 0.01. The sound speed and air density are 340 m/s and 1.2 kg/m3, respectively. Figure 2 and Figure 3 show a comparison between the results obtained from the numerical integration method [37] and the harmonic balance method [28]. The frequency ratio of ω1/ω2 and the dimensionless excitation parameter κ are set to two. The initial deflection is 6.481 mm. In general, the two sets of results are in reasonable agreement with each other. In Figure 2, the modal displacement amplitudes are plotted against the excitation frequency. It is obvious that within the excitation frequency ratio from 1.8 to 2.2, the quadratic nonlinear resonance occurs; thus, modal coupling between the first mode and second mode is triggered. The typical resonant peak is removed and replaced by a “V-shaped trough” on the curve. The well-known “jump phenomenon” occurs at the two tips of the trough. The resonance of the third mode occurs around the excitation frequency ratio = 2.25. Note that the panel is subject to uniformly or symmetrically distributed excitation. In linear cases, there would be no anti-symmetrical responses. In other words, the overall vibration response would not be contributed by the second mode, which is anti-symmetric.
Figure 2.
Comparison between the modal displacements (κ = 2, ω1/ω2 = 2) [28,37].
Figure 3.
Comparison between the time histories (κ = 2, ω/ω2 = 1.98, ω1/ω2 = 2) [21,28].
Other results are obtained using the numerical integration method. Figure 3 shows the time history comparison, in which the frequency ratio is about 2. It can be seen that there are only three displacement cycles, while six excitation cycles have been completed. This implies that the response frequency is only half of the excitation frequency. Although the excitation frequency is the resonant frequency of the first mode, the dominant response frequency is the resonant frequency of the second mode. This is because of the modal coupling between the first and second modes. This is the main phenomenon of the quadratic nonlinear resonance, which is used for sound suppression in this paper.
Table 1 and Table 2 show the results of a mode convergence study for various excitation levels, excitation frequencies, and frequency ratios. It can be seen that the fourth mode contribution is insignificant regardless of whether the excitation frequency is within the quadratic nonlinear resonance bandwidth or the excitation level is high. Simply speaking, the three-mode approach used in this study is sufficiently accurate for the numerical cases.
Table 1.
Vibration mode convergence (ω/ω2 = 1.72, ω1/ω2 = 1.5).
Table 2.
Vibration mode convergence (ω/ω2 = 2.15, ω1/ω2 = 2).
Figure 4, Figure 5 and Figure 6 show the modal amplitudes plotted against the excitation frequency for various frequency ratios of ω1/ω2. From Figure 4 and Figure 5, it can be seen that quadratic nonlinear resonance only occurs when the frequency ratios of ω1/ω2 are equal to or near two. As previously mentioned, the V-shaped troughs are found on the first and second modal amplitude curves within the quadratic nonlinear resonant bandwidth, ranging from 1.8 to 2.2. In the other two cases of ω1/ω2 = 1.25 and 1.5, the first mode’s resonant peaks resemble typical nonlinear peaks with a mild jump phenomenon. In the case of ω1/ω2 = 1.25, the second mode response is barely triggered at a very narrow bandwidth, which is near ω2 (see Figure 5). In the case of ω1/ω2 = 1.5, the second mode response is triggered at two narrow resonant bandwidths, which are near ω1 and 2ω2, respectively. In Figure 4, there is a small linear resonant peak on each curve near ω3, which is caused by the resonance of the third mode. In Figure 6, the three third modal amplitude curves almost coincide, except at the frequencies near ω2 (some minor peaks are found). These minor peaks are caused by the 2/3 sub-harmonic resonance. The corresponding peak frequencies are near the resonant frequency of the second mode. There is no strong nonlinear effect or modal coupling effect triggered at this symmetrical mode. Thus, the resonant peak resembles those in linear cases.
Figure 4.
First modal displacement amplitude versus excitation frequency (κ = 2).
Figure 5.
Second modal displacement amplitude versus excitation frequency (κ = 2).
Figure 6.
Third modal displacement amplitude versus excitation frequency (κ = 2).
In the cases of ω1/ω2 = 1.25 and 1.5, the nonlinear amplitude peak values are higher than those in the case of ω1/ω2 = 2, and their responses contain a certain amount of higher-frequency components. The higher peak values result in more sound radiation. The higher-frequency components also cause more sound radiation because their radiation efficiencies are higher. The quadratic nonlinear resonance can induce the anti-symmetric mode responses to replace the symmetric mode responses.
Figure 7, Figure 8 and Figure 9 show the modal time histories for various excitation frequencies and frequency ratios of ω1/ω2. The damping ratio is 0.01. In the three cases, the time histories of the second mode show that the corresponding dominant response frequency is half of the excitation frequency. Figure 7a–c show the modal time histories of ω1/ω2 = 1.25. It can be clearly observed that all waveforms are NOT simple harmonic, indicating that some other harmonic components are induced. According to the frequency analysis, for the first mode response in Figure 7a, the ratios of the fundamental harmonic, ½ sub-harmonic, 3/2 harmonic, and third super-harmonic contributions are 1.000, −0.132, 0.059, and 0.008; for the second mode response in Figure 7b, the ratios of the fundamental harmonic, ½ sub-harmonic, 3/2 harmonic, and third super-harmonic contributions are 0.000, 1.000, 0.000, and −0.249; for the third mode response in Figure 7c, the ratios of the fundamental harmonic, ½ sub-harmonic, 3/2 harmonic, and third super-harmonic contributions are 0.987, 0.000, 0.000, and 1.000.
Figure 7.
Time histories of the modal responses (κ = 2, ω/ω2 = 1.20, ω1/ω2 = 1.25).
Figure 8.
Time histories of the modal responses (κ = 2, ω/ω2 = 1.46, ω1/ω2 = 1.5).
Figure 9.
Time histories of the modal responses (κ = 2, ω/ω2 = 1.98, ω1/ω2 = 2).
Figure 8a–c shows the modal time histories of ω1/ω2 = 1.5. Similar to those in Figure 7a–c, the three modal responses contain other harmonic components. This is why the two-mode harmonic balance approach should not be used for these cases. Figure 9a–c shows the modal time histories of ω1/ω2 = 2. The second mode is the dominant mode (evidenced by its amplitude) because its resonant frequency is half of the excitation frequency. The frequency analysis showed that, for the first mode response in Figure 9a, the ratios of the fundamental harmonic, ½ sub-harmonic, 3/2 harmonic, and third super-harmonic contributions are 1.000, 0.000, 0.000, and 0.004; for the second mode response in Figure 9b, the ratios of the fundamental harmonic, ½ sub-harmonic, 3/2 harmonic, and third super-harmonic contributions are 0.000, 1.000, 0.002, and 0.000; for the third mode response in Figure 9c, the ratios of the fundamental harmonic, ½ sub-harmonic, 3/2 harmonic, and third super-harmonic contributions are 1.000, 0.000, 0.000, and 0.000. All waveforms are almost simple harmonic, implying that the approach with two harmonic components is good enough. The time histories of the first and third modes show that the corresponding dominant response frequencies are equal to the excitation. In the cases of ω1/ω2 = 1.25 and 1.5, the waveforms show that some other frequency components are triggered. This is very different from the case of ω1/ω2 = 2, in which modal coupling occurs. The waveforms of the three modes are almost simple harmonic.
Figure 10a–c shows the modal amplitudes plotted against the excitation frequency for various excitation levels. The damping ratio is 0.01. In Figure 10a,b, the first and second modal amplitude curves clearly show that the stronger the excitation level, the wider the quadratic nonlinear resonance bandwidth. In the case of strong excitation (κ = 15 and ω = 1.5ω1), the corresponding phase plot shows that the responses are quasi-chaotic (see Figure 11). There is an unsymmetric V-shaped trough. The left side of the V-shaped trough represents the softening characteristic of the panel stiffness due to the large amplitude vibration, while the right side represents the hardening characteristic. The softening and hardening effects are not necessarily the same. Thus, the V-shaped trough is unsymmetric. In the case of weak excitation (κ = 0.2), the modal amplitudes of the first and second modes are smaller than 0.1 h within the resonant bandwidth, but the quadratic nonlinear resonance still occurs and triggers the coupling between the two modes.

Figure 10.
Modal displacement amplitude versus excitation frequency (ω1/ω2 = 2).
Figure 11.
Phase plot (κ = 15, ω/ω2 = 1.5, ω1/ω2 = 2).
In Figure 10c, the third modal amplitude curves are similar to those in cubic nonlinear cases. In the case of strong excitation, the well-known jump phenomenon is observed. The overall panel stiffness is getting higher to trigger the jump phenomenon. A minor peak is induced at the low frequency (ω = 1.13ω2). In the case of weak excitation, no nonlinear characteristic is found (only a typical linear resonant peak).
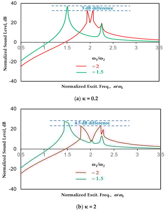
Figure 12 shows the normalized overall sound level plotted against the excitation frequency for various damping ratios. It can be seen that the three curves almost coincide, except at the quadratic nonlinear resonance bandwidth. The smaller the damping ratio, the wider the quadratic nonlinear resonance bandwidth. Similar to that observed in typical linear cases, the sound level in this quadratic nonlinear case can be suppressed using more damping. Figure 13a–d shows the normalized overall sound level plotted against the excitation frequency for various frequency ratios of ω1/ω2 and excitation levels. The damping ratio is 0.01. Figure 13a shows the cases of ω1/ω2 = 1.5 and 2 for κ = 0.2 (i.e., weak excitation level). The peak sound level in the case of ω1/ω2 = 1.5 is about 5 dB higher than that in the case with nonlinear modal coupling (ω1/ω2 = 2). Figure 13b shows the cases of ω1/ω2 = 1.5 and 2 for κ = 2 (i.e., intermediate excitation level). The peak sound level in the case of ω1/ω2 = 1.5 is about 4.5 dB higher than that in the case with nonlinear modal coupling (ω1/ω2 = 2). In Figure 13c, the linear case (no modal coupling) is compared with the case with nonlinear modal coupling for κ = 0.2 (i.e., weak excitation level). The peak sound level in the linear case is about 6 dB higher than that in the case with nonlinear modal coupling. In Figure 13d, the linear case is compared with the case with nonlinear modal coupling for κ = 15 (i.e., strong excitation level). The peak sound level in the linear case is about 12 dB higher than that in the case with modal coupling. These results demonstrate that the quadratic nonlinear resonance can induce anti-symmetric modal responses to replace symmetric modal responses, even though the physical panel dimensions and excitation distribution are symmetric. As the sound radiation efficiency of anti-symmetric responses is much lower than that of symmetric responses, this quadratic nonlinear resonance can be used for sound suppression.
Figure 12.
Normalized sound level versus excitation frequency for various damping ratios (κ = 2, ω1/ω2 = 2).

Figure 13.
Normalized sound level versus excitation frequency.
4. Conclusions
This study addressed the structure-borne sound suppression of a strongly/weakly excited curved panel using the quadratic nonlinear resonance effect. The multimode formulations developed from the nonlinear structural governing equation and sound radiation efficiency equation are presented. The results obtained from the numerical integration method and harmonic balance method are generally consistent. The results show that (1) the quadratic nonlinear resonance effect, which is induced by setting a frequency ratio of ω1/ω2 = 2, can induce anti-symmetric modal responses to replace symmetric modal responses, even though the physical panel dimensions and excitation distribution are symmetric; (2) when quadratic nonlinear resonance occurs, the dominant response frequency is only half of the excitation frequency; (3) unlike cubic nonlinear resonance, quadratic nonlinear resonance can be induced when the panel is weakly excited or the vibration amplitude is very small; and (4) the stronger the excitation, the wider the quadratic nonlinear resonance bandwidth and the higher the sound suppression. When the panel is strongly excited, the difference between the peak sound levels in the linear and nonlinear cases is up to 12 dB, and when the panel is weakly excited, the difference is up to 6 dB.
Funding
This research received no external funding.
Data Availability Statement
The original contributions presented in the study are included in the article.
Conflicts of Interest
The author has no known competing financial interests or personal relationships that could have appeared to influence the work reported in this paper.
References
- Shi, G.M.; Wu, X.X.; Jiang, R.J.; Li, S.D. A particle reinforced gradient honeycomb sandwich panel for broadband sound insulation. Mathematics 2023, 11, 502. [Google Scholar] [CrossRef]
- Xu, X.M.; Jiang, Y.P.; Lee, H.P.; Chen, N. Sound insulation performance optimization of lightweight sandwich panels. J. Vibro Eng. 2016, 18, 2574–2586. [Google Scholar] [CrossRef]
- Mo, J.; Peng, Z.R.; Wang, X. Achieving enhanced sound insulation through micromembranes-type acoustic metamaterials. Appl. Sci. 2022, 12, 1950. [Google Scholar] [CrossRef]
- Urbán, D.; Roozen, N.B.; Muellner, H.; Zat’ko, P.; Niemczanowski, A.; Rychtáriková, M.; Glorieux, C. Vibrometry assessment of the external thermal composite insulation systems influence on the facade airborne sound insulation. Appl. Sci. 2018, 8, 703. [Google Scholar] [CrossRef]
- Ou, D.Y. An optimization method for maximizing the low frequency sound insulation of plate structures. Shock. Vib. 2018, 7849327. [Google Scholar] [CrossRef]
- Lu, K.; Wu, J.H.; Guan, D.; Gao, N.S.; Jing, L. A lightweight low-frequency sound insulation membrane-type acoustic metamaterial. AIP Adv. 2016, 6, 025116. [Google Scholar] [CrossRef]
- Han, J.N.; Qin, J.J.; Zhou, Z.Y.; Ji, X.R.; Su, Y.C.; Tang, S. Sound insulation properties of a spherical structure of subwavelength size. AIP Adv. 2019, 9, 055121. [Google Scholar] [CrossRef]
- Zhao, B.; Li, H. Analysis of the Influencing Factors of the Acoustic Performance of the Muffler Considering Acoustic-structural Coupling. Arch. Acoust. 2022, 47, 479–490. [Google Scholar]
- Mar-Or, A.; Givoli, D. A finite element structural-acoustic model of coupled membranes. J. Comput. Acoust. 2004, 12, 605–618. [Google Scholar] [CrossRef]
- Zhang, Y.F.; Du, J.T.; Liu, Y. Structural-acoustic modeling and analysis for a flexible partition panel in three-dimensional acoustic cavity. J. Vib. Eng. Technol. 2019, 7, 335–345. [Google Scholar] [CrossRef]
- Wang, S.X.; He, J.J.; Fan, J.; Sun, P.X.; Wang, D.W. A time-domain method for free vibration responses of an equivalent viscous damped system based on a complex damping model. J. Low Freq. Noise Vib. Act. Control. 2023, 42, 1531–1540. [Google Scholar] [CrossRef]
- Kong, W.F.; Fu, T.; Rabczuk, T. Improvement of broadband low-frequency sound absorption and energy absorbing of arched curve Helmholtz resonator with negative Poisson’s ratio. Appl. Acoust. 2024, 221, 110011. [Google Scholar] [CrossRef]
- Lee, Y.Y.; Ng, C.F. Sound insertion loss of stiffened enclosure plates using the finite element method and the classical approach. J. Sound Vib. 1998, 217, 239–260. [Google Scholar] [CrossRef]
- Lee, Y.Y. Insertion loss of a cavity-backed semi-cylindrical enclosure panel. J. Sound Vib. 2003, 259, 625–636. [Google Scholar] [CrossRef]
- Tai, S.; Bu, C.; Wang, Y.L.; Yue, T.; Liu, H.L.; Wang, L.X. Identification of aircraft longitudinal aerodynamic parameters using an online corrective test for wind tunnel virtual flight. Chin. J. Aeronaut. 2024, 37, 261–275. [Google Scholar] [CrossRef]
- Li, G.M.; Zhang, Y.; Fan, S.W.; Yu, F.; Wang, Y.B. Dynamic-Wave Interference Suppression Based on Angular Increment Assistance for Underwater Imaging Polarization Sensor. IEEE Trans. Instrum. Meas. 2025, 74, 5001713. [Google Scholar] [CrossRef]
- Bai, X.T.; Xiao, Z.Y.; Shi, H.T.; Zhang, K.; Luo, Z.; Wu, Y.H. Omnidirectional sound wave absorption based on the multi-oriented acoustic meta-materials. Appl. Acoust. 2025, 228, 110344. [Google Scholar] [CrossRef]
- Gao, D.B.; Liu, X.J.; Tian, Z.F.; Zhou, Z.M.; Zeng, X.W.; Han, K.F. A broadband low-frequency sound insulation structure based on two-dimensionally inbuilt Helmholtz resonator. Acta Phys. Sin. 2017, 66, 014307. [Google Scholar]
- Garg, N.; Dhruw, S.; Gandhi, L. Prediction of sound insulation of sandwich partition panels by means of artificial neural networks. Arch. Acoust. 2017, 42, 643–651. [Google Scholar] [CrossRef]
- Ri, K.S.; Kim, M.J.; Son-u, S.H. Improvement of sound insulation through double-panel structure by using hybrid local resonator array. Arch. Acoust. 2023, 48, 63–70. [Google Scholar]
- Ju, Z.H.; He, Q.; Zhan, T.Y.; Zhang, H.Y.; Hong, L.; Lu, X.N. Calculation of sound insulation of softwood samples at normal incidence and comparison with experimental data. Wood Res. 2020, 65, 63–74. [Google Scholar] [CrossRef]
- Bao, Y.; Feng, Q.Z.; Zhao, W.; Zhang, Y.; Luo, J.T.; Liu, X.D. Research on acoustic-structural coupling model and tire parameters of tire acoustic cavity resonance noise. J. Low Freq. Noise Vib. Act. Control. 2024, 43, 796–812. [Google Scholar] [CrossRef]
- Banks, H.T.; Smith, R.C. Parameter estimation in a structural acoustic system with fully nonlinear coupling conditions. Math. Comput. Model. 1996, 23, 17–50. [Google Scholar] [CrossRef][Green Version]
- Dalsen, M.G.V. Uniform stabilization of a nonlinear structural acoustic model with a Timoshenko beam interface. Math. Methods Appl. Sci. 2006, 29, 1749–1766. [Google Scholar] [CrossRef]
- Asadi, K.; Yeom, J.; Cho, H.N. Strong internal resonance in a nonlinear, asymmetric microbeam resonator. Microsyst. Nanoeng. 2021, 7, 9. [Google Scholar] [CrossRef]
- Yu, J.; Cho, H.N. Exploiting and tailoring 1:2 internal resonance in a stepped beam micromechanical resonator for frequency stabilization. Sens. Actuators A—Phys. 2023, 362, 114619. [Google Scholar] [CrossRef]
- Lee, Y.Y.; Guo, X.; Hui, C.K.; Lau, C.M. Nonlinear multi-modal structural/acoustic interaction between a composite plate vibration and the induced pressure. Int. J. Nonlinear Sci. Numer. Simul. 2008, 9, 221–228. [Google Scholar] [CrossRef]
- Lee, Y.Y.; Li, Q.S.; Leung, A.Y.T.; Su, R.K.L. The jump phenomenon effect on the sound absorption of a nonlinear panel absorber and sound transmission loss of a nonlinear panel backed by a cavity. Nonlinear Dyn. 2012, 69, 99–116. [Google Scholar] [CrossRef]
- Anvariyeh, F.S.; Jalili, M.M.; Fotuhi, A.R. Nonlinear vibro-acoustic analysis of a double-panel structure with an enclosure cavity. J. Braz. Soc. Mech. Sci. Eng. 2024, 46, 23. [Google Scholar] [CrossRef]
- Lee, Y.Y.; Su, R.K.L.; Ng, C.F.; Hui, C.K. The effect of modal energy transfer on the sound radiation and vibration of a curved panel: Theory and experiment. J. Sound Vib. 2009, 32, 1003–1015. [Google Scholar] [CrossRef]
- Liu, H.; Qu, Y.G.; Gao, H.; Xie, F.T.; Meng, G. Nonlinear aeroelastic fluid-structure-acoustic interaction analysis of a coupled composite panel with an acoustic cavity in supersonic flow. J. Sound Vib. 2024, 569, 118086. [Google Scholar] [CrossRef]
- Sadri, M.; Younesian, D. Nonlinear harmonic vibration analysis of a plate-cavity system. Nonlinear Dyn. 2013, 7, 1267–1279. [Google Scholar] [CrossRef]
- Anvariyeh, F.S.; Jalili, M.M.; Fotuhi, A.R. Nonlinear vibration analysis of a circular plate-cavity system. J. Braz. Soc. Mech. Sci. Eng. 2019, 41, 66. [Google Scholar] [CrossRef]
- Aginsky, Z.; Gottlieb, O. Nonlinear bifurcation structure of panels subject to periodic acoustic fluid-structure interaction. AIAA J. 2012, 50, 1979–1992. [Google Scholar] [CrossRef]
- Yu, J.; Donmez, A.; Herath, H.; Cho, H.N. One-to-two internal resonance in a micro-mechanical resonator with strong Duffing nonlinearity. J. Micromech. Microeng. 2024, 34, 015007. [Google Scholar] [CrossRef]
- Potekin, R.; Asadi, K.; Kim, S.; Bergman, L.A.; Vakakis, A.F.; Cho, H.N. Ultrabroadband microresonators with geometrically nonlinear stiffness and dissipation. Phys. Rev. Appl. 2020, 13, 014011. [Google Scholar] [CrossRef]
- Lee, Y.Y.; Huang, J.L.; Hui, C.K.; Ng, C.F. Sound absorption of a quadratic and cubic nonlinearly vibrating curved panel absorber. Appl. Math. Model. 2012, 36, 5574–5588. [Google Scholar] [CrossRef]
- Talebitooti, R.; Zarastvand, M.R. The effect of nature of porous material on diffuse field acoustic transmission of the sandwich aerospace composite doubly curved shell. Aerosp. Sci. Technol. 2018, 78, 157–170. [Google Scholar] [CrossRef]
- Wallace, C.E. Radiation resistance of a baffled beam. J. Acoust. Soc. Am. 1972, 51, 936–945. [Google Scholar] [CrossRef]
Disclaimer/Publisher’s Note: The statements, opinions and data contained in all publications are solely those of the individual author(s) and contributor(s) and not of MDPI and/or the editor(s). MDPI and/or the editor(s) disclaim responsibility for any injury to people or property resulting from any ideas, methods, instructions or products referred to in the content. |
© 2025 by the author. Licensee MDPI, Basel, Switzerland. This article is an open access article distributed under the terms and conditions of the Creative Commons Attribution (CC BY) license (https://creativecommons.org/licenses/by/4.0/).