Sign in to use this feature.

Years

Between: -

Subjects

remove_circle_outline
remove_circle_outline
remove_circle_outline
remove_circle_outline
remove_circle_outline
remove_circle_outline
remove_circle_outline
remove_circle_outline
remove_circle_outline

Journals

remove_circle_outline
remove_circle_outline
remove_circle_outline
remove_circle_outline
remove_circle_outline
remove_circle_outline
remove_circle_outline
remove_circle_outline
remove_circle_outline
remove_circle_outline
remove_circle_outline
remove_circle_outline

Article Types

Countries / Regions

remove_circle_outline
remove_circle_outline
remove_circle_outline
remove_circle_outline

Search Results (388)

Search Parameters:
Keywords = strength decay

Order results
Result details
Results per page
Select all
Export citation of selected articles as:
22 pages, 5868 KB  
Article
Transitioning from WiFi 6 to WiFi 7: A Metrological Assessment of Human-Centric EMF Exposure and Multi-Link Operation (MLO) Dynamics
by Andreea Maria Buda, David Vatamanu, Sergiu Iulian Andreica, Calin Munteanu and Simona Miclaus
Sensors 2026, 26(8), 2479; https://doi.org/10.3390/s26082479 - 17 Apr 2026
Viewed by 164
Abstract
This paper presents a comprehensive experimental assessment of electromagnetic field (EMF) exposure dynamics during the transition from IEEE 802.11ax (Wi-Fi 6) to IEEE 802.11be (Wi-Fi 7). Using a human-centric experimental setup, we evaluate the impact of Wi-Fi 7’s core innovations—4096-QAM modulation, 320 MHz [...] Read more.
This paper presents a comprehensive experimental assessment of electromagnetic field (EMF) exposure dynamics during the transition from IEEE 802.11ax (Wi-Fi 6) to IEEE 802.11be (Wi-Fi 7). Using a human-centric experimental setup, we evaluate the impact of Wi-Fi 7’s core innovations—4096-QAM modulation, 320 MHz bandwidth, and Multi-Link Operation—under iPerf3-controlled high-traffic conditions. A key contribution of this study is the analysis of multi-client influence, comparing EMF emission profiles when one versus two devices are active. Our results reveal a significant paradigm shift: while Wi-Fi 7 generates higher near-field peaks (up to 955.92 mV/m in MLO mode at 20 cm) to sustain high-order modulation, it exhibits an aggressive spatial decay, with E-field intensity collapsing by up to 76.6% at one meter. We demonstrate that the transition from a single-client to a dual-client configuration significantly alters the stochastic nature of the field, increasing the probability of transient high-power events, as characterized by our Complementary Cumulative Distribution Function (CCDF) framework. The findings confirm that Wi-Fi 7’s performance gains are decoupled from long-range exposure; the high-intensity field remains strictly localized, providing a natural safety buffer. This study provides new experimental vista into how next-generation WLAN systems trade near-field strength for far-field safety, maintaining compliance with international limits while supporting multi-device gigabit connectivity. Full article
(This article belongs to the Special Issue Antenna and Sensor Technologies for Environmental EMF Sensing)
Show Figures

Figure 1

15 pages, 972 KB  
Article
β Decay of 20Na
by Qiang Wang, You-Bao Wang, Jun Su, Zhi-Yu Han, B. Alex Brown, Li-Hua Chen, Zi-Qiang Chen, Bao-Qun Cui, Bo Dai, Tao Ge, Xin-Yue Li, Yun-Ju Li, Zhi-Hong Li, Gang Lian, Yin-Long Lyu, Rui-Gang Ma, Tian-Li Ma, Xie Ma, Ying-Jun Ma, Yi Su, Bing Tang, Chun-Guang Wang, Hong-Yi Wu, Fu-Rong Xu, Sheng-Quan Yan, Sheng Zeng, Hao Zhang, Yun Zheng, Chao Zhou, Yang-Ping Shen, Bing Guo, Tian-Jue Zhang and Wei-Ping Liuadd Show full author list remove Hide full author list
Particles 2026, 9(2), 40; https://doi.org/10.3390/particles9020040 - 17 Apr 2026
Viewed by 209
Abstract
20Na is a well-known β-delayed α emitter, owing to the large decay energy of 20Na above the α + 16O threshold in the A=5α daughter nucleus 20Ne. In this work, the decay property of 20 [...] Read more.
20Na is a well-known β-delayed α emitter, owing to the large decay energy of 20Na above the α + 16O threshold in the A=5α daughter nucleus 20Ne. In this work, the decay property of 20Na is investigated in detail via the β-γ β-α and β-γ-α coincidence spectroscopy. As the day-one experiment of the Beijing Rare Isotope Facility (BRIF), the intense 20Na beam was produced using the Isotope Separator On Line (ISOL) technique through the 100 MeV proton bombarding a stack of MgO as a thick target. Specific interest was focused on the exotic decay mode of 20Na; the previously reported low-energy α lines at 713 and 846 keV were confirmed, and several weak β-γ-α decay sequences were clearly identified for the first time, thanks to the strong resolving power of α-γ coincidence spectroscopy. The decay properties of 20Na are compared to the shell model calculation, which agree reasonably well with the allowed β transition strengths and subsequent electro-magnetic transitions with the use of the sd shell-model space with the USDB interaction. Full article
Show Figures

Figure 1

21 pages, 6392 KB  
Article
Mechanical and Bond Behavior of a Hybrid Steel–Basalt–Polypropylene Fiber-Reinforced High-Performance Concrete with Steel, GFRP or CFRP Bars
by Piotr Smarzewski
Materials 2026, 19(8), 1546; https://doi.org/10.3390/ma19081546 - 13 Apr 2026
Viewed by 406
Abstract
This study addresses the limited availability of unified experimental datasets comparing ribbed steel and smooth FRP bars embedded in the same hybrid-fiber high-performance concrete (HPC) matrix under identical conditions. It investigates the mechanical and bond behavior of a triple-fiber HPC combining hooked-end steel [...] Read more.
This study addresses the limited availability of unified experimental datasets comparing ribbed steel and smooth FRP bars embedded in the same hybrid-fiber high-performance concrete (HPC) matrix under identical conditions. It investigates the mechanical and bond behavior of a triple-fiber HPC combining hooked-end steel (ST), basalt (BA), and polypropylene (PP) fibers and reinforced with steel, GFRP, and CFRP bars of identical diameter and embedment. Under a uniform curing regime, the HFRC reached a compressive strength of approximately 82 MPa and exhibited a high fracture energy Gf approximately 3.7 kJ/m2 with a stable post-peak response in a notched-beam test, demonstrating effective multi-scale crack bridging within a dense hybrid fiber network. Pull-out tests on 200 mm embedment revealed distinct interfacial mechanisms: ribbed steel developed a pronounced peak bond stress (τmax = 13.05 MPa) and the largest bond energy (Gb = 146 N/mm) due to mechanical interlock, whereas smooth GFRP and CFRP showed low τmax (=1.46 and 0.78 MPa) and smoothly decaying τ–s governed by adhesion–friction with Gb = 3–4 N/mm. A consistent experimental framework enabled direct mechanistic comparison of bond–slip behavior across reinforcement types without confounding matrix or curing variables. Simple constitutive laws calibrated to the experimental τ–s curves (ramp–softening for steel and ramp–plateau or exponential for FRP) captured the stiffness, strength, and energy hierarchy with low error. The main contribution of this study lies in providing a configuration-consistent reference dataset and calibrated bond–slip descriptions for hybrid-fiber HPC members reinforced with both steel and FRP bars. The results highlight the role of the hybrid fiber network in improving crack stability and provide design-oriented parameters for anchorage assessment and nonlinear bond–slip modeling. Although the results are based on a limited experimental program, they establish a mechanistically coherent basis for further optimization of hybrid HPC matrices and development of performance-based anchorage formulations in high-performance structural applications. Full article
Show Figures

Figure 1

19 pages, 4528 KB  
Article
A Comparative Study on the Compressive Mechanical Properties of Modified Raw Bamboo Squares and Carbonized Bamboo Squares as Coarse Aggregate in Concrete
by Yuqi Zhou, Jiasu Ji, Mingmin Ding, Nuowen Geng, Mo Zong and Yang Wei
Coatings 2026, 16(4), 432; https://doi.org/10.3390/coatings16040432 - 3 Apr 2026
Viewed by 377
Abstract
Bamboo is widely available and renewable. Using bamboo blocks to partially replace coarse aggregates in the production of concrete solid bricks shows promising application prospects in areas such as nonload-bearing wall materials. However, as a natural biomass material, bamboo squares have disadvantages such [...] Read more.
Bamboo is widely available and renewable. Using bamboo blocks to partially replace coarse aggregates in the production of concrete solid bricks shows promising application prospects in areas such as nonload-bearing wall materials. However, as a natural biomass material, bamboo squares have disadvantages such as susceptibility to decay, water absorption, swelling, and drying shrinkage, necessitating modification when used as concrete coarse aggregate. This study subjected raw bamboo squares to high-temperature carbonization. The compressive performance of concrete made with these carbonized bamboo squares was first tested and compared with concrete containing raw bamboo squares. Subsequently, both raw and carbonized bamboo squares were modified using conventional methods: polyvinyl alcohol (PVA) treatment, epoxy mortar (EM) treatment, epoxy resin (EPR) treatment, water glass (WG) treatment, and glutinous rice glue treatment. Modified bamboo block concrete specimens were prepared, and their compressive strengths were tested and compared. The results indicated that the compressive mechanical performance of carbonized bamboo block concrete consistently outperformed that of raw bamboo block concrete across all substitution rates. Specifically, the optimal modification method—using epoxy mortar (EM) encapsulation—significantly enhanced the mechanical properties. At a high volumetric replacement rate of 30%, the EM-modified carbonized bamboo concrete achieved a compressive strength of 27.79 MPa, which is 15.1% higher than that of identically treated raw bamboo concrete and far exceeds the standard MU7.5 grade requirements. These quantitative findings provide a solid experimental and theoretical basis for the high-value application of bamboo squares in sustainable concrete solid bricks. Full article
Show Figures

Figure 1

15 pages, 7137 KB  
Article
Degradation Mechanism of Mechanical Properties of Concrete in a High Hydraulic Pressure Environment
by Jianmin Du, Xianmin Zhang, Yi Xia and Yongsheng Ji
Materials 2026, 19(7), 1430; https://doi.org/10.3390/ma19071430 - 3 Apr 2026
Viewed by 322
Abstract
Marine concrete engineering faces severe service environment challenges, including high hydraulic pressure, large stress, and serious penetration. The evaluation of the durability and safety of these structures depends directly on the damage mechanism of concrete materials submitted to high hydraulic pressures. This paper [...] Read more.
Marine concrete engineering faces severe service environment challenges, including high hydraulic pressure, large stress, and serious penetration. The evaluation of the durability and safety of these structures depends directly on the damage mechanism of concrete materials submitted to high hydraulic pressures. This paper introduced the experimental research on the mechanical properties and the damage mechanism of concrete submitted to high hydraulic pressures. The permeability tests were carried out on concrete specimens under the effect of different hydraulic pressures (1.2 MPa, 2.4 MPa, 3.6 MPa) and durations (10 d, 20 d, 30 d), after which the compressive strength, micro-cracks, and the ultrasonic velocity were obtained and analyzed. The results show that under the effect of sustained high hydraulic pressure, the micro-cracks in concrete increase, the density decreases, and the harmful pores expand, resulting in a degradation in the mechanical properties of concrete. The damage to concrete is more severe at the near end of the hydraulic head than at the far end. The pore water pressure decays gradually with depth inside the concrete and expands inward when the outer layer of concrete is damaged. The conclusions will provide a scientific basis for the safety evaluation of marine concrete engineering. Full article
(This article belongs to the Section Advanced Materials Characterization)
Show Figures

Figure 1

17 pages, 3108 KB  
Article
Study on the Mechanical Property Degradation Laws of 6061-T6 Aluminum Alloy Under the Synergistic Effect of Corrosion and Cyclic Loading
by Qisheng Long, Xiangjie Nie, Chuanfu Yan, Zhongquan Chen, Zuodong Li, Siru Chen and Zhen Huang
Materials 2026, 19(7), 1416; https://doi.org/10.3390/ma19071416 - 2 Apr 2026
Viewed by 367
Abstract
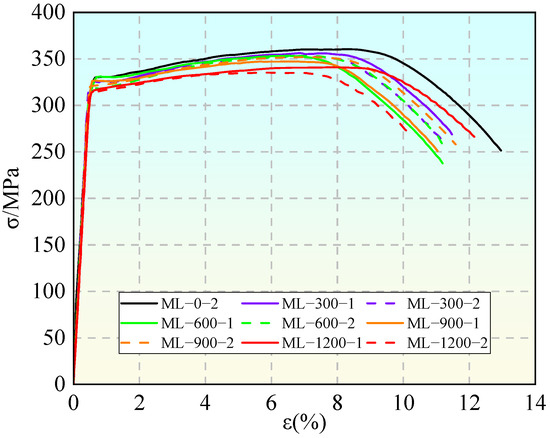
To investigate the mechanical property degradation laws of 6061-T6 aluminum alloy under the synergistic effect of coastal corrosive environments and cyclic loading, the effects of various corrosion durations (0 h, 600 h, 900 h, and 1200 h) on the static performance, hysteretic characteristics, [...] Read more.
To investigate the mechanical property degradation laws of 6061-T6 aluminum alloy under the synergistic effect of coastal corrosive environments and cyclic loading, the effects of various corrosion durations (0 h, 600 h, 900 h, and 1200 h) on the static performance, hysteretic characteristics, and energy dissipation capacity of the material were studied through indoor accelerated salt spray corrosion tests, monotonic tensile tests, and multi-regime cyclic loading tests. The results indicate that after 1200 h of corrosion, the yield strength and ultimate strength decreased by an average of 2.28% and 5.16%, respectively, with the peak stress point shifting significantly forward. Corrosion significantly inhibits the cyclic hardening effect and accelerates the loss of ductility, with the ductility loss of 1200 h specimens reaching up to 44.0%. Strain is the key factor in activating the energy dissipation potential of the material; when the loading amplitude exceeds 4%, the energy dissipation coefficient stabilizes between 3.0 and 3.3. However, the combination of corrosion and random loading exacerbates the decay of energy dissipation capacity. This study aims to provide a theoretical foundation for the performance assessment and safety assurance of aluminum alloy structures in coastal engineering. Full article
(This article belongs to the Section Metals and Alloys)
Show Figures

Figure 1

27 pages, 12681 KB  
Article
Study on Damage and Tensile Properties of Thermal-Treated Granite Under Different Thermal Shock Conditions
by Kun Li, Xiaoming Zhao, Haoyu Wang, Dongjie Li, Donghong Dang and Yan Xi
Materials 2026, 19(7), 1404; https://doi.org/10.3390/ma19071404 - 1 Apr 2026
Viewed by 404
Abstract
With the development of deep geothermal resources, including hot dry rock, the issues of low rock-breaking efficiency and wellbore instability encountered when drilling into high-temperature granite reservoirs have become increasingly prominent. The study aims to elucidate the physical degradation and fracture failure mechanisms [...] Read more.
With the development of deep geothermal resources, including hot dry rock, the issues of low rock-breaking efficiency and wellbore instability encountered when drilling into high-temperature granite reservoirs have become increasingly prominent. The study aims to elucidate the physical degradation and fracture failure mechanisms of granite exposed to high temperatures and thermal shock. The mineral composition and microstructure of granite were analyzed by X-ray diffraction (XRD) combined with field emission scanning electron microscopy (FE-SEM). Systematic experiments were conducted to investigate the thermal damage mechanisms and mechanical properties of thermal-treated (25 °C to 600 °C) granite under different cooling conditions (natural cooling, water cooling, LN2 cooling). The experimental results show that the physical parameters of granite exhibit significant path dependence on temperature and cooling rate. When the temperature exceeds 400 °C, the rock undergoes pronounced nonlinear volumetric expansion and a sharp increase in porosity, with P-wave velocity decaying exponentially as the temperature rises. Mechanical tests reveal that high temperature considerably weakens the rock tensile strength. For granite at 600 °C, the maximum reduction in strength reaches 80.79%, and faster cooling leads to greater strength degradation. Additionally, 3D morphology analysis indicates that the section roughness of granite increases exponentially with temperature, where the arithmetic mean height Sa more comprehensively reflects the overall characteristics of surface morphology and demonstrates the strongest ability for characterizing strength. These findings provide a theoretical basis for the efficient volumetric fracturing and rapid drilling technologies applicable to hot dry rock. Full article
(This article belongs to the Section Construction and Building Materials)
Show Figures

Graphical abstract

27 pages, 10119 KB  
Article
Construction Methods of Mesoscopic Models for Concrete and Quantitative Analysis of Mesoscopic Damage
by Xiaoli Wang, Shutao Li, Yeqing Chen, Shang Ma and Jialin Chen
Materials 2026, 19(7), 1392; https://doi.org/10.3390/ma19071392 - 31 Mar 2026
Viewed by 340
Abstract
Existing mesoscopic numerical models still exhibit shortcomings in terms of the aggregate geometric fidelity, interface transition zone (ITZ) characterization, and modeling efficiency. To solve these problems, this paper establishes a two-dimensional mesoscopic model and analysis method for concrete, considering randomly distributed convex polygons [...] Read more.
Existing mesoscopic numerical models still exhibit shortcomings in terms of the aggregate geometric fidelity, interface transition zone (ITZ) characterization, and modeling efficiency. To solve these problems, this paper establishes a two-dimensional mesoscopic model and analysis method for concrete, considering randomly distributed convex polygons of aggregate grains and a three-phase structure comprising aggregate, mortar, and ITZ. An efficient random placement algorithm based on background meshing is proposed to enable rapid and accurate model construction. The effects of aggregate geometry, spatial distribution, and ITZ on mechanical properties and damage evolution have been systematically studied. A quantitative relationship has been established between damage energy and the decay of strength and stiffness, and damage quantification indices have been proposed. The damage rates of mortar and ITZ, along with the variation characteristics of the damage variable dc at each stage, have been quantified. Neglecting the ITZ leads to overestimation of the peak strength and stiffness of concrete while exacerbating its post-peak brittle behavior. The most significant increases occur in both stiffness decay and damage growth at 90% of peak stress. A sudden change occurs at approximately 0.17% axial strain (corresponding to 80% of peak stress). This study offers a meso-scale foundation for understanding concrete failure and designing high-performance concrete. Full article
(This article belongs to the Section Construction and Building Materials)
Show Figures

Figure 1

29 pages, 9816 KB  
Article
A Prediction Model of Interlayer Bond Strength for 3D-Printed Concrete Considering Printing Interval and Environmental Effects
by Wenbin Xu, Zihao Xu, Tao Liu, Jun Ouyang, Juan Wang, Hailong Wang and Wenqiang Xu
Materials 2026, 19(7), 1377; https://doi.org/10.3390/ma19071377 - 30 Mar 2026
Viewed by 424
Abstract
Interlayer bond strength is critical for ensuring the safety and durability of 3D-printed concrete (3DPC) structures. However, there remains a lack of real-time prediction methods addressing interlayer performance under the combined effects of interval time and environmental factors during the in situ printing [...] Read more.
Interlayer bond strength is critical for ensuring the safety and durability of 3D-printed concrete (3DPC) structures. However, there remains a lack of real-time prediction methods addressing interlayer performance under the combined effects of interval time and environmental factors during the in situ printing process. To address this issue, this study conducted experiments considering various printing interval times and environmental conditions, incorporating monitoring of dielectric constant and water evaporation, alongside interlayer splitting tensile tests. By integrating the SHAP interpretability algorithm with nonlinear regression analysis, the results indicate that the printing interval time is the dominant factor inducing interlayer strength decay (with a contribution rate of 68.6%), while relative humidity emerges as the primary environmental variable (with a contribution rate of 21.3%). Mechanism analysis reveals that prolonged printing intervals intensify the hydration of the lower deposited layer, leading to reduced interfacial moisture content and loss of plasticity. Furthermore, environmental evaporation significantly regulates this process, with high-humidity environments notably mitigating the moisture loss and strength reduction caused by time delays. Based on the correlation mechanism between moisture and strength, a dimensionless general prediction model for 3DPC interlayer strength was established, incorporating printing interval time and an evaporation index (goodness of fit, R2 = 0.96). Consequently, a digital twin quality inversion scheme based on companion specimen monitoring and printing timestamps was proposed. This study quantifies the intrinsic relationships among printing interval time, environmental conditions, and interlayer strength, offering a novel approach for determining the construction window and achieving non-destructive quality prediction for 3DPC in complex environments. Full article
(This article belongs to the Special Issue Additive Manufacturing of Structural Materials and Their Composites)
Show Figures

Figure 1

18 pages, 4459 KB  
Article
Wollastonite in Acrylic Paint to Protect Normal and Heat-Treated Spruce Wood Against Coniophora puteana
by Hamid R. Taghiyari, Elham Nadali, Antonio Pizzi, Afshin Rahmati, Olaf Schmidt and Antonios N. Papadopoulos
Polymers 2026, 18(7), 788; https://doi.org/10.3390/polym18070788 - 25 Mar 2026
Viewed by 385
Abstract
This study investigates the efficacy of wollastonite-enriched acrylic paint in protecting spruce wood (Picea abies) against the brown-rot fungus Coniophora puteana. Unheated and heat-treated wood samples (185 °C for 4 h) were coated with either plain acrylic paint or wollastonite-enriched [...] Read more.
This study investigates the efficacy of wollastonite-enriched acrylic paint in protecting spruce wood (Picea abies) against the brown-rot fungus Coniophora puteana. Unheated and heat-treated wood samples (185 °C for 4 h) were coated with either plain acrylic paint or wollastonite-enriched acrylic paint and exposed to the fungus. Fungal resistance was evaluated by measuring mass loss (ML) and compression strength parallel to the grain. While conventional acrylic coatings provide a physical barrier against moisture and limited microbial attack, their effectiveness against C. puteana is often insufficient. Our results show that untreated controls lost 23.8% of their mass, whereas plain acrylic paint reduced mass loss only slightly. In contrast, wollastonite-enriched paint significantly decreased ML in both unheated and heat-treated specimens, demonstrating superior antifungal performance. These findings indicate that incorporating wollastonite into acrylic paint enhances fungal resistance, offering a simple, environmentally friendly, and effective surface treatment for spruce wood. This study fills a research gap in the use of mineral additives in acrylic coatings and highlights a practical approach for improving wood durability against fungal decay. Full article
(This article belongs to the Special Issue Wood Polymer Composites: Progress and Prospects)
Show Figures

Figure 1

17 pages, 3581 KB  
Article
Macro–Meso Damage Mechanism of Sandstone Under Wet–Dry Cycles: A Study Based on Nuclear Magnetic Resonance Technology
by Yuancheng Wei, Fujun Niu, Shu Zhu and Jin Zhang
Materials 2026, 19(6), 1215; https://doi.org/10.3390/ma19061215 - 19 Mar 2026
Viewed by 343
Abstract
Water level fluctuations in reservoir areas subject bank slopes to intense wet–dry cycles (WDCs), compromising rock mass stability. This study investigates the macro–meso damage evolution of yellow sandstone from the Wudongde Reservoir. Specimens subjected to 0–20 WDCs were analyzed using nuclear magnetic resonance [...] Read more.
Water level fluctuations in reservoir areas subject bank slopes to intense wet–dry cycles (WDCs), compromising rock mass stability. This study investigates the macro–meso damage evolution of yellow sandstone from the Wudongde Reservoir. Specimens subjected to 0–20 WDCs were analyzed using nuclear magnetic resonance (NMR) alongside Brazilian splitting, uniaxial, and triaxial compression tests. Results indicate that porosity increases linearly with WDC, rising from 6.12% to 17.61% after 20 cycles, driven by the transformation of micropores into macropores. Macroscopic mechanical parameters, particularly tensile strength and cohesion, exhibit significant exponential and sharp decay, respectively, while the internal friction angle remains relatively stable. Notably, increasing confining pressure effectively mitigates WDC-induced deterioration by inhibiting microcrack propagation. The damage mechanism is primarily attributed to the dissolution of clay binder and uneven mineral swelling/shrinkage, whereas the rigid mineral skeleton remains largely intact. These findings provide a theoretical basis for quantifying rock damage and predicting slope stability in complex hydrological environments. Full article
(This article belongs to the Section Construction and Building Materials)
Show Figures

Figure 1

25 pages, 7034 KB  
Article
Weakening Mechanism and Microstructure Evolution of Coal Measure Coarse Sandstone Under Groundwater Action with Different pH Values
by Guoqing Liu, Xiaoyong Wang, Shun Liang, Xuehua Li, Qundi Qu, Qiang Wang, Yalong Zhang, Dingrui Chu, Xiaokang Liang, Ming Liang and Haibin Liu
Appl. Sci. 2026, 16(5), 2563; https://doi.org/10.3390/app16052563 - 6 Mar 2026
Viewed by 410
Abstract
Variations in the groundwater chemical environment are a critical factor affecting the mechanical property degradation and structural alteration of coal measure strata. Addressing the engineering challenges commonly encountered in coal mining areas of Northwest China, where groundwater with varying pH leads to difficulties [...] Read more.
Variations in the groundwater chemical environment are a critical factor affecting the mechanical property degradation and structural alteration of coal measure strata. Addressing the engineering challenges commonly encountered in coal mining areas of Northwest China, where groundwater with varying pH leads to difficulties in controlling surrounding rock in underground spaces, this study established a comprehensive experimental methodology integrating mechanical loading, nuclear magnetic resonance (NMR) quantitative pore analysis, and scanning electron microscopy (SEM) microstructural characterization. The study revealed the mechanical degradation mechanisms and microstructural evolution characteristics of coal measure coarse sandstone under groundwater environments with different pH values (6–10). With prolonged immersion time, the peak strength and elastic modulus of the coarse sandstone exhibited exponential decay across all pH environments. NMR analysis revealed that the porosity evolved through a path of “increase–decrease–re-increase,” while the macroscopic mechanical failure mode shifted from brittle to brittle-ductile and finally to ductile characteristics. Micropores continuously transformed into medium and large pores, and the macroscopic failure mode exhibited a transition from brittle to brittle-ductile. The findings indicate that groundwater with varying acidity/alkalinity systematically alters the integrity and load-bearing capacity of coal measure coarse sandstone through the complex mechanism of “mineral dissolution (acidic H+ corrosion, alkaline OH hydrolysis)—structural damage—pore/fracture evolution—mechanical degradation.” This mechanism not only reveals the essence of progressive rock damage in weak acid to moderately strong alkaline environments but also provides important insights for the integrity, sealing capacity, and permeability modification of various underground engineering applications, such as CO2 geological storage, unconventional natural gas development, and underground space utilization. Full article
Show Figures

Figure 1

7 pages, 853 KB  
Brief Report
Halo Phenomena in Light- to Medium-Mass Nuclei with Three-Body Models
by Lorenzo Fortunato
Particles 2026, 9(1), 21; https://doi.org/10.3390/particles9010021 - 2 Mar 2026
Viewed by 420
Abstract
Short-lived nuclear systems with light to medium masses are showing halo phenomena in regions of the nuclear chart that were still unexplored when halo nuclei were discovered 40 years ago. We study these exotic systems with three-body models, including nucleon–nucleon correlations, with the [...] Read more.
Short-lived nuclear systems with light to medium masses are showing halo phenomena in regions of the nuclear chart that were still unexplored when halo nuclei were discovered 40 years ago. We study these exotic systems with three-body models, including nucleon–nucleon correlations, with the aim of reproducing measurable properties like radii and electromagnetic transition strengths. On the nucleon-rich side, drip-line fluorine isotopes are showing clear signs of a halo structure. Recently, we proposed that F29 is a moderate two-neutron halo nucleus with a large radius and a strong B(E1) response to the continuum. The three-body model places it at the borders of the island of inversion, which is corroborated by new data. According to our models, the next interesting isotope, F31, also has large spatial extension due to p-wave components and enhanced B(E1) response, pointing to a speculative halo structure. On the proton-rich side, we have studied the Sb102 system, composed of a Sn100 core plus a proton–neutron-correlated subsystem. We find that the weakening of the proton–neutron correlations with respect to the bare deuteron indicates that this is a one-proton emitter. We propose that the presence of a resonant state and its decay might provide a crucial benchmark for this system. Full article
Show Figures

Figure 1

18 pages, 8614 KB  
Article
Temporal Variation in Mechanical and Chemical Properties of Bamboo Decayed by Schizophyllum commune QP33
by Xinyi Guo, Xiaolong He, Xiaojiao An, Yaojie Sang, Chengjing Ren, Yuqin Luo, Yan Zhang, Xinxing Wu, Jun Qian, Hui Wang, Fangli Sun and Shuaibo Han
J. Fungi 2026, 12(3), 175; https://doi.org/10.3390/jof12030175 - 28 Feb 2026
Viewed by 593
Abstract
As an important biomass material, bamboo is susceptible to fungal infection during use, leading to severe deterioration. The white-rot fungus Schizophyllum commune is one of the world’s most widely distributed fungi, which preferentially colonizes dead or senescent bamboo tissues. However, the mechanism of [...] Read more.
As an important biomass material, bamboo is susceptible to fungal infection during use, leading to severe deterioration. The white-rot fungus Schizophyllum commune is one of the world’s most widely distributed fungi, which preferentially colonizes dead or senescent bamboo tissues. However, the mechanism of the influence of the S. commune infection on the mechanical and chemical properties of bamboo remains unexplored. This research systematically examined the temporal effects (0, 30, 60, and 90 days) of S. commune QP33 infection on bamboo’s mechanical properties and chemical composition using various characterization methods. Results showed that S. commune QP33 secreted key lignin-modifying enzymes (laccase and lignin peroxidase) and hemicellulases (xylanase). Mass loss of bamboo increased progressively with infection time, reaching 13.33% after 90 days. Decayed bamboo showed distinct mechanical deterioration patterns, including a sharp initial drop in bending strength and a continuous decline in tensile strength. Microstructural and chemical analyses revealed that the fungus preferentially degraded lignin and hemicellulose. This selective degradation led to cell wall delamination and pore formation, ultimately causing the observed macroscopic mechanical deterioration. Our study provides critical insights into the biodeterioration mechanism of bamboo by S. commune and offers valuable guidance for bamboo preservation and high-value utilization. Full article
(This article belongs to the Section Fungi in Agriculture and Biotechnology)
Show Figures

Figure 1

18 pages, 12792 KB  
Article
Exact Solution and Large-Scale Scaling Analysis of the Imaginary Creutz–Stark Ladder
by Yunyao Qi, Heng Lin, Quanfeng Lu, Dan Long, Dong Ruan and Gui-Lu Long
Entropy 2026, 28(3), 259; https://doi.org/10.3390/e28030259 - 27 Feb 2026
Viewed by 436
Abstract
We present an analytical solution for the complex spectrum of a Creutz ladder subject to an imaginary Stark potential. By mapping the system to a momentum-space differential equation, we derive the closed-form solution for the momentum-space wavefunctions. We identify a distinct cross-shaped spectrum [...] Read more.
We present an analytical solution for the complex spectrum of a Creutz ladder subject to an imaginary Stark potential. By mapping the system to a momentum-space differential equation, we derive the closed-form solution for the momentum-space wavefunctions. We identify a distinct cross-shaped spectrum consisting of discrete localized sectors and a continuous branch of asymptotically real states. Our derivation reveals that the discrete sectors arise from a global phase winding condition, whereas the asymptotically real branch emerges when the energy magnitude is smaller than the inter-cell hopping strength, a regime in which the momentum-space wavefunction develops singularities. We demonstrate that these singularities prevent standard quantization; instead, the open boundary conditions are satisfied via a size-dependent imaginary energy component that regulates the wavefunction decay. To investigate the properties of this branch in the thermodynamic limit, we perform large-scale finite-size scaling analysis up to system sizes L109. The numerical results confirm the power-law decay of the residual imaginary energy, supporting the asymptotic reality of these states. Furthermore, scaling of the inverse participation ratio and fractal dimension indicates that these states, while exhibiting size-dependent localization in finite systems, evolve into an extended phase in the thermodynamic limit. Our results establish a theoretical framework for understanding spectral transitions in systems with imaginary Stark potentials, with potential realizations in photonic frequency synthetic dimensions. Full article
(This article belongs to the Special Issue Non-Hermitian Quantum Systems: Emergent Phenomena and New Paradigms)
Show Figures

Figure 1

Back to TopTop