Study on the Mechanical Property Degradation Laws of 6061-T6 Aluminum Alloy Under the Synergistic Effect of Corrosion and Cyclic Loading
Abstract
1. Introduction
2. Experimental Program
2.1. Specimen Preparation and Experimental Conditions
| Element | Si | Fe | Cu | Mn | Mg | Cr | Zn | Ti |
|---|---|---|---|---|---|---|---|---|
| GB50429 | 0.4–0.8 | ≤0.7 | 0.15–0.40 | ≤0.15 | 0.8–1.2 | 0.04–0.5 | ≤0.25 | ≤0.15 |
| Measured value | 0.645 | 0.488 | 0.232 | 0.074 | 1.044 | 0.104 | 0.130 | 0.025 |
| Corrosion Duration (h) | 0 | 300 | 600 | 900 | 1200 |
|---|---|---|---|---|---|
| Monotonic tension | ML-0-1 | ML-300-1 | ML-600-1 | ML-900-1 | ML-1200-1 |
| ML-0-2 | ML-300-2 | ML-600-2 | ML-900-2 | ML-1200-2 | |
| Constant amplitude loading | CL-DC-A-0 | / | CL-DC-A-600 | CL-DC-A-900 | CL-DC-A-1200 |
| CL-DC-B-0 | / | CL-DC-B-600 | CL-DC-B-900 | CL-DC-B-1200 | |
| CL-SC-A-0 | / | CL-SC-A-600 | CL-SC-A-900 | CL-SC-A-1200 | |
| Variable amplitude loading | CL-DC-D-0 | / | CL-DC-D-600 | CL-DC-D-900 | CL-DC-D-1200 |
| CL-DC-E-0 | / | CL-DC-E-600 | CL-DC-E-900 | CL-DC-E-1200 | |
| CL-SC-D-0 | / | CL-SC-D-600 | CL-SC-D-900 | CL-SC-D-1200 | |
| Random loading | CL-DC-G-0 | / | CL-DC-G-600 | CL-DC-G-900 | CL-DC-G-1200 |
| CL-DC-H-0 | / | CL-DC-H-600 | CL-DC-H-900 | CL-DC-H-1200 |
| Loading Regimes | Description of Cyclic Loading Amplitudes |
|---|---|
| CL-DC-A | Constant-amplitude displacement: ±0.15 mm, ±0.3 mm, ±0.6 mm, ±0.75 mm; each amplitude is repeated 4 times. |
| CL-DC-B | Constant-amplitude displacement: ±0.15 mm, ±0.375 mm, ±0.3 mm, ±0.525 mm, ±0.445 mm, ±0.675; each amplitude repeated 4 times. |
| CL-DC-D | Variable-amplitude displacement: The specimen was loaded in the tensile direction with displacement increments of 0.075 mm, up to a maximum displacement of 0.75 mm. |
| CL-DC-E | Variable-amplitude displacement: The specimen was loaded symmetrically with an amplitude increment of 0.075 mm, up to a maximum displacement of 0.6 mm. |
| CL-DC-G | Random displacement loading (simulating earthquake ground motion time history). |
| CL-DC-H | Random displacement loading (simulating seismic ground motion time history). |
| CL-SC-A | Constant amplitude strain: ±1%, ±2%, ±4%; each amplitude repeated 3 times. |
| CL-SC-D | Variable-amplitude strain: Unidirectional cyclic tensile loading with increments of 0.25% up to a maximum strain of 4.5%. |
2.2. Salt Spray Test Setup
2.3. Loading Regimes
2.4. Test Implementation
3. Results and Analysis
3.1. Tensile Properties
3.2. Cyclic Loading
3.2.1. Hysteretic Performance and Damage Analysis Under Displacement-Controlled Loading
3.2.2. Cyclic Response Characteristics Under Strain-Controlled Loading
3.2.3. Comparison of Monotonic and Cyclic Loading Test Results
3.2.4. Skeleton Curves
3.2.5. Energy Dissipation
4. Conclusions
- (1)
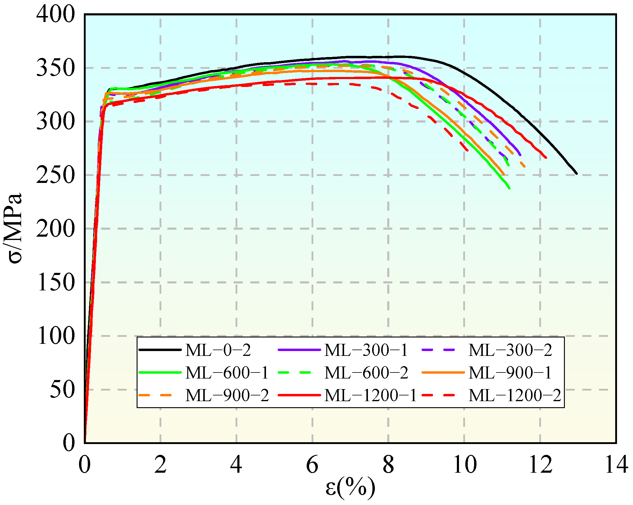
- After 600 h of corrosion, the yield strength decreased by an average of approximately 2.28%; after 1200 h of corrosion, the ultimate strength decreased by an average of approximately 5.16%, and the peak stress point shifted noticeably to a lower strain level. Simultaneously, as corrosion severity increased, the ductility of the specimens exhibited a declining trend. The elongation after fracture decreased significantly, with a maximum reduction of about 13%, indicating that the plastic deformation capacity of the material was severely impaired.
- (2)
- The coupling effect of corrosion and cyclic loading dominates the degradation of cyclic performance. Corrosion significantly suppresses the cyclic hardening effect; for specimens corroded for 1200 h, the cyclic strengthening effect essentially vanished. Meanwhile, corrosion accelerates ductility loss; the severely corroded specimens in the CL-DC-A group experienced a ductility loss of up to 44.0%. Under constant amplitude and regular variable amplitude loading, performance degradation shows high predictability, whereas random loading results in significant scatter.
- (3)
- Strain-controlled tests confirmed that the weakening of mechanical properties by corrosion persists throughout the entire process from elastic to fully plastic deformation. Within the large strain range, the material exhibits significant cyclic hardening, yet corrosion reduces its load-bearing capacity. At a strain amplitude of ±4%, the stable stress amplitude decreased from 376 MPa (uncorroded) to 350 MPa. However, corrosion did not significantly alter the plumpness of the hysteresis loops, suggesting the material still retains good energy dissipation potential.
- (4)
- The energy dissipation capacity of the 6061-T6 aluminum alloy is jointly governed by corrosion, loading regime, and strain level. Corrosion led to a significant decline in cumulative energy dissipation; for DC-A specimens under displacement-controlled constant amplitude loading, the total cumulative energy dissipation of specimens corroded for 1200 h decreased by 9%. When the cyclic xqstrain amplitude of SC-A specimens reached 4%, the energy dissipation coefficient stabilized between 3.0 and 3.3. Variable amplitude and random loading accelerated the damage process and exacerbated the risk of performance degradation.
Author Contributions
Funding
Data Availability Statement
Conflicts of Interest
References
- Georgantzia, E.; Gkantou, M.; Kamaris, G.S. Aluminium alloys as structural material: A review of research. Eng. Struct. 2021, 227, 111372. [Google Scholar] [CrossRef]
- Sun, Y. The use of aluminum alloys in structures: Review and outlook. Structures 2023, 57, 105290. [Google Scholar] [CrossRef]
- Wang, L.; Liang, J.; Li, H.; Cheng, L.; Cui, Z. Quantitative study of the corrosion evolution and stress corrosion cracking of high strength aluminum alloys in solution and thin electrolyte layer containing Cl. Corros. Sci. 2021, 178, 109076. [Google Scholar] [CrossRef]
- Wang, C.; Zhang, T.; Zhang, T.; He, Y.; Bi, Y. Fatigue performance and alternate coupling mechanism of ZL114A aluminum alloy under corrosion-fatigue alternating. Int. J. Fatigue 2024, 183, 108218. [Google Scholar] [CrossRef]
- Wu, S.; Liu, C.; Zhou, K.; Li, Y.; Zhang, Z.; Zhang, B.; Wu, J. Corrosion Behavior of 2A12 and 5A02 Aluminum Alloy in Typical Marine Atmosphere Environment. J. Mater. Res. Technol. 2025, 36, 9403–9412. [Google Scholar] [CrossRef]
- Zhang, P.; He, Z.; Ning, J.; Zhang, L.; Rao, S.; Chen, W. Research on the anti-corrosion superhydrophobic surface of the 7075-T6 high-strength aluminum alloy in aviation. Colloids Surf. A Physicochem. Eng. Asp. 2026, 736, 139556. [Google Scholar] [CrossRef]
- Song, D.; Zhou, Q.; Xu, D.; Zheng, Y.; Cui, Z.; Wan, H. Corrosion prediction and factors analysis of 2A12 aluminum alloy in marine environment based on data mining. Mater. Today Commun. 2025, 42, 111324. [Google Scholar] [CrossRef]
- Li, H.; Feng, R.; Hui, Z.; Huang, Y.; Li, Z.; Zhong, C. Experimental and numerical investigation on 6013-T6 high-strength aluminium alloy H-section members under axial cyclic loading. Thin-Walled Struct. 2025, 218, 114116. [Google Scholar] [CrossRef]
- Kakavand, E.; Seifi, R.; Abolfathi, M. An investigation on the crack growth in aluminum alloy 7075-T6 under cyclic mechanical and thermal loads. Theor. Appl. Fract. Mech. 2022, 122, 103585. [Google Scholar] [CrossRef]
- Vejar, N.; Pineda, F.; Hidalgo-Rosa, Y.; Schott, E.; Abarca, R.L.; Páez, M. Integrating experimental and computational insights into D-amino acid inhibition of aluminum alloy 7075-T6 corrosion in saline media. Prog. Org. Coat. 2025, 209, 109583. [Google Scholar] [CrossRef]
- Tian, H.Y.; Cui, Z.Y.; Zhang, B.; Yang, W.; Yang, Y.; Cui, H. Atmospheric corrosion and mechanical property degradation of 2524-T3 aluminum alloy in marine environments. Corros. Sci. 2024, 239, 112398. [Google Scholar] [CrossRef]
- Zhou, J.; Wang, B.; Liu, C.; Liu, J. Effect of static elastic stress on the corrosion behavior of 7A04 aluminum alloy exposed to real marine atmospheric environment. J. Mater. Res. Technol. 2023, 26, 8197–8212. [Google Scholar] [CrossRef]
- Tian, H.; Cui, Z.; Qi, X.; Man, C.; Cui, H. Effect of pH and applied potential on tribocorrosion behavior of 7075-T651 high strength aluminum alloy in chloride environment. Corros. Sci. 2025, 246, 112765. [Google Scholar] [CrossRef]
- Qian, S.; Zhang, T.; Chen, Y.; Xie, J.; Chen, Y.; Lin, T.; Li, H. Effect of ultrasonic impact treatment on microstructure and corrosion behavior of friction stir welding joints of 2219 aluminum alloy. J. Mater. Res. Technol. 2022, 18, 1631–1642. [Google Scholar] [CrossRef]
- Dong, C.; Pan, S.; Chen, Q.; Huang, G.; Khadija, F.; Li, Z. Enhancing mechanical properties and corrosion resistance of AA7075 aluminum alloy via cyclic strengthening and artificial aging. J. Alloys Compd. 2026, 1053, 186270. [Google Scholar] [CrossRef]
- Wu, Y.; Peng, L.X.; He, X.C.; Yang, J. Experimental and numerical analyses on mechanical properties of aluminum alloy L-shaped joints under cyclic load. Eng. Struct. 2021, 245, 112854. [Google Scholar] [CrossRef]
- Lu, H.; Wang, Y.; Wu, M.; Mo, S.; Dai, Y. Experimental cyclic behaviour and constitutive modelling of A380 cast aluminium alloy. J. Constr. Steel Res. 2025, 232, 109650. [Google Scholar] [CrossRef]
- Lu, H.; Wang, Y.; Li, B.; Sun, T.; Mo, S.; Ouyang, Y. Experimental cyclic behaviour and constitutive modeling of ADC12 cast aluminium alloy. Structures 2025, 75, 108872. [Google Scholar] [CrossRef]
- Kwon, O.; Lim, H.J.; Sohn, H. Remaining fatigue life estimation under varying amplitude cyclic loading conditions combining ultrasonic waves and relative strain measurements for aluminum 6061-T6 plates with a notch. Theor. Appl. Fract. Mech. 2025, 136, 104825. [Google Scholar] [CrossRef]
- Pankaj, P.; Kim, D.; Jeong, D.; Shim, C. A Comprehensive Finite Element Study of Cold Expanded Insert Installation for the Corrosion Repair of 7075-T6 Aluminum Alloy Holes. Int. J. Nav. Archit. Ocean Eng. 2025, 18, 100716. [Google Scholar] [CrossRef]
- GB/T 26077-2021; Metallic Materials—Fatigue Testing—Axial Strain-Controlled Method. China National Standardization Administration: Beijing, China, 2021.
- GB/T 10125-2021; Corrosion Tests in Artificial Atmospheres—Salt Spray Tests. China National Standardization Administration: Beijing, China, 2021.
- GB/T 16545-2015; Corrosion of Metals and Alloys—Removal of Corrosion Products from Corrosion Test Specimens. China National Standardization Administration: Beijing, China, 2015.
- GB/T2021; Metallic Materials—Tensile Testing—Part 1: Method of Test at Room Temperature. China National Standardization Administration: Beijing, China, 2021.
- Wang, Z.B.; Chen, Z.; Tan, E.L.; Zhao, C.-G.; Dai, H.-W. Hysteretic behaviour of steel-reinforced concrete-filled rectangular stainless steel tubular specimens. J. Constr. Steel Res. 2025, 232, 109642. [Google Scholar] [CrossRef]












| Experiment Item | Experimental Condition |
|---|---|
| Experimental temperature | 35 °C |
| Experiment humidity | 93 ± 3 |
| NaCl solution | 5% (wt.%) |
| pH | 6.5~7.5 |
| Spray mode | Continuous spray |
| Salt spray deposition rate | 1~2 mL/(80 cm2·h) |
| Specimen Labels | ρ/(%) | E/GPa | ε/(%) | fy/MPa | Δfy | fu/MPa | Δfu |
|---|---|---|---|---|---|---|---|
| ML-0-1 | - | 70.4 | 12.49 | 331.2 | 0.00% | 362.4 | 0.00% |
| ML-0-2 | - | 71.5 | 12.96 | 330.2 | 363.6 | ||
| ML-300-1 | 0.169 | 70.5 | 11.49 | 323.7 | −2.04% | 358.8 | −1.69% |
| ML-300-2 | 0.161 | 71.2 | 11.34 | 324.2 | 354.9 | ||
| ML-600-1 | 0.246 | 66.7 | 11.19 | 318.5 | −2.28% | 355.8 | −2.05% |
| ML-600-2 | 0.285 | 69.9 | 11.20 | 327.8 | 355.3 | ||
| ML-900-1 | 0.323 | 68.4 | 11.04 | 324.9 | −2.52% | 348.7 | −3.29% |
| ML-900-2 | 0.316 | 68.1 | 11.67 | 319.8 | 353.4 | ||
| ML-1200-1 | 0.352 | 67.6 | 12.26 | 314.3 | −5.15% | 340.6 | −7.01% |
| ML-1200-2 | 0.377 | 66.3 | 10.32 | 313.0 | 334.5 |
| Specimens | σy/MPa | σu/MPa | V/% | σu/σy | Εu/% | η/% |
|---|---|---|---|---|---|---|
| ML-0 | 331 | 363 | 0 | 1.10 | 12.9 | 0 |
| CL-DC-A-0 | 345 | 393 | 8.3 | 1.14 | 11.6 | −9.9 |
| CL-DC-A-600 | 329 | 381 | 5.0 | 1.16 | 11.1 | −14.3 |
| CL-DC-A-900 | 320 | 372 | 2.5 | 1.16 | 9.5 | −26.5 |
| CL-DC-A-1200 | 315 | 362 | −0.3 | 1.15 | 7.2 | −44.0 |
| CL-DC-B-0 | 331 | 398 | 9.6 | 1.20 | 9.5 | −26.0 |
| CL-DC-B-600 | 326 | 379 | 4.4 | 1.16 | 12.3 | −4.5 |
| CL-DC-B-900 | 322 | 366 | 0.8 | 1.14 | 12.8 | −0.6 |
| CL-DC-B-1200 | 317 | 356 | −1.9 | 1.12 | 9.7 | −24.9 |
| CL-DC-D-0 | 340 | 372 | 2.5 | 1.09 | 13.6 | 5.6 |
| CL-DC-D-600 | 331 | 368 | 1.4 | 1.11 | 13.7 | 6.1 |
| CL-DC-D-900 | 323 | 342 | −5.8 | 1.06 | 14.2 | 9.9 |
| CL-DC-D-1200 | 321 | 344 | −5.2 | 1.07 | 13.5 | 5.0 |
| CL-DC-E-0 | 331 | 404 | 11.3 | 1.22 | 11.4 | −11.6 |
| CL-DC-E-600 | 326 | 377 | 3.9 | 1.16 | 12.4 | −3.9 |
| CL-DC-E-900 | 320 | 360 | −0.8 | 1.13 | 9.8 | −23.8 |
| CL-DC-E-1200 | 311 | 340 | −6.3 | 1.09 | 8.9 | −30.9 |
| CL-DC-G-0 | 331 | 395 | 8.8 | 1.19 | 12.4 | −4.1 |
| CL-DC-G-600 | 323 | 381 | 5.0 | 1.18 | 13.3 | 2.8 |
| CL-DC-G-900 | 323 | 385 | 6.1 | 1.19 | 11.9 | −7.6 |
| CL-DC-G-1200 | 307 | 365 | 0.6 | 1.19 | 13.4 | 3.7 |
| CL-DC-H-0 | 337 | 395 | 8.8 | 1.17 | 12.5 | −3.2 |
| CL-DC-H-600 | 327 | 380 | 4.7 | 1.16 | 13.2 | 2.1 |
| CL-DC-H-900 | 321 | 371 | 2.2 | 1.16 | 12.1 | −6.5 |
| CL-DC-H-1200 | 315 | 366 | 0.8 | 1.16 | 12.9 | −0.3 |
| Energy Dissipation | DC-A −0 | DC-A −1200 | DC-E −0 | DC-E −1200 | DC-G −0 | DC-G −1200 | SC-A −0 | SC-A −1200 |
|---|---|---|---|---|---|---|---|---|
| cycle1 | 227 | 200 | 186 | 164 | 165 | 136 | 584 | 511 |
| cycle2 | 232 | 203 | 197 | 188 | 169 | 144 | 588 | 514 |
| cycle3 | 237 | 206 | 216 | 195 | 189 | 174 | 591 | 518 |
| cycle4 | 423 | 395 | - | - | 193 | 178 | 1982 | 1904 |
| cycle5 | 422 | 392 | - | - | - | - | 2006 | 1917 |
| cycle6 | 422 | 391 | - | - | - | - | 2015 | 1929 |
| sum | 1964 | 1787 | 599 | 547 | 716 | 632 | 22,741 | 22,029 |
| Energy Dissipation Coefficient | DC-A −0 | DC-A −1200 | DC-E −0 | DC-E −1200 | DC-G −0 | DC-G −1200 | SC-A −0 | SC-A −1200 |
|---|---|---|---|---|---|---|---|---|
| cycle1 | 1.11 | 0.95 | 0.25 | 0.21 | 0.28 | 0.21 | 1.73 | 1.55 |
| cycle2 | 1.07 | 0.94 | 0.57 | 0.54 | 0.24 | 0.18 | 1.71 | 1.66 |
| cycle3 | 1.06 | 0.92 | 0.88 | 0.86 | 0.65 | 0.48 | 1.66 | 1.65 |
| cycle4 | 1.52 | 1.41 | - | - | 0.71 | 0.53 | 2.64 | 2.22 |
| cycle5 | 1.52 | 1.39 | - | - | - | - | 2.63 | 2.24 |
| cycle6 | 1.49 | 1.35 | - | - | - | - | 2.6 | 2.31 |
| cycle-7 | - | - | - | - | - | - | 3.23 | 3.05 |
| cycle-8 | - | - | - | - | - | - | 3.21 | 3.07 |
| cycle-9 | - | - | - | - | - | - | 3.24 | 3.11 |
Disclaimer/Publisher’s Note: The statements, opinions and data contained in all publications are solely those of the individual author(s) and contributor(s) and not of MDPI and/or the editor(s). MDPI and/or the editor(s) disclaim responsibility for any injury to people or property resulting from any ideas, methods, instructions or products referred to in the content. |
© 2026 by the authors. Licensee MDPI, Basel, Switzerland. This article is an open access article distributed under the terms and conditions of the Creative Commons Attribution (CC BY) license.
Share and Cite
Long, Q.; Nie, X.; Yan, C.; Chen, Z.; Li, Z.; Chen, S.; Huang, Z. Study on the Mechanical Property Degradation Laws of 6061-T6 Aluminum Alloy Under the Synergistic Effect of Corrosion and Cyclic Loading. Materials 2026, 19, 1416. https://doi.org/10.3390/ma19071416
Long Q, Nie X, Yan C, Chen Z, Li Z, Chen S, Huang Z. Study on the Mechanical Property Degradation Laws of 6061-T6 Aluminum Alloy Under the Synergistic Effect of Corrosion and Cyclic Loading. Materials. 2026; 19(7):1416. https://doi.org/10.3390/ma19071416
Chicago/Turabian StyleLong, Qisheng, Xiangjie Nie, Chuanfu Yan, Zhongquan Chen, Zuodong Li, Siru Chen, and Zhen Huang. 2026. "Study on the Mechanical Property Degradation Laws of 6061-T6 Aluminum Alloy Under the Synergistic Effect of Corrosion and Cyclic Loading" Materials 19, no. 7: 1416. https://doi.org/10.3390/ma19071416
APA StyleLong, Q., Nie, X., Yan, C., Chen, Z., Li, Z., Chen, S., & Huang, Z. (2026). Study on the Mechanical Property Degradation Laws of 6061-T6 Aluminum Alloy Under the Synergistic Effect of Corrosion and Cyclic Loading. Materials, 19(7), 1416. https://doi.org/10.3390/ma19071416

