Sign in to use this feature.

Years

Between: -

Subjects

remove_circle_outline
remove_circle_outline
remove_circle_outline
remove_circle_outline
remove_circle_outline
remove_circle_outline
remove_circle_outline
remove_circle_outline
remove_circle_outline

Journals

remove_circle_outline
remove_circle_outline
remove_circle_outline
remove_circle_outline

Article Types

Countries / Regions

remove_circle_outline
remove_circle_outline
remove_circle_outline
remove_circle_outline
remove_circle_outline
remove_circle_outline

Search Results (1,307)

Search Parameters:
Keywords = statistical hydrology

Order results
Result details
Results per page
Select all
Export citation of selected articles as:
15 pages, 2183 KB  
Article
Analysis of Annual Water Level Variability in the Mead and Powell Reservoirs of the Colorado River
by Ognjen Bonacci, Ana Žaknić-Ćatović and Tanja Roje-Bonacci
Water 2026, 18(2), 224; https://doi.org/10.3390/w18020224 - 14 Jan 2026
Abstract
This analysis examines long-term changes in water levels of the Mead and Glen Canyon reservoirs on the Colorado River. Both reservoirs display clear declining trends in water levels, particularly after 2003. The causes include a combination of climate change, megadrought, increased water consumption, [...] Read more.
This analysis examines long-term changes in water levels of the Mead and Glen Canyon reservoirs on the Colorado River. Both reservoirs display clear declining trends in water levels, particularly after 2003. The causes include a combination of climate change, megadrought, increased water consumption, and alterations in the hydrological regime. Lake Mead exhibits a stronger and more concerning decline than Lake Powell, including extreme drought conditions over the past three years. The Rescaled Adjusted Partial Sums (RAPS) analysis identifies three statistically distinct subperiods, with an unambiguous decline in the most recent period. The day-to-day (DTD) method indicates reduced day-to-day water level variability in Lake Mead following the commissioning of the Powell reservoir, confirming its regulating influence. The Standardized Hydrological Index (SHI) indicates an accelerating intensification of drought conditions over the past 20 years. Regression analysis confirms a strong relationship between the water levels of the two reservoirs, along with significantly increased water losses in the more recent period. The literature suggests that climate projections are highly unfavorable, with further reductions in Colorado River discharge expected. The study underscores the urgent need to adapt water-management policies and align consumption with the new hydrological realities. Full article
(This article belongs to the Section Hydrology)
Show Figures

Figure 1

18 pages, 2456 KB  
Article
Linking Precipitation Deficits to Reservoir Storage: Robust Statistical Analyses in the Monte Cotugno Catchment (Sinni Basin, Italy)
by Marco Piccarreta and Mario Bentivenga
Water 2026, 18(2), 223; https://doi.org/10.3390/w18020223 - 14 Jan 2026
Abstract
This study examines the hydroclimatic controls on reservoir storage dynamics in the Sinni River basin (southern Italy), with a specific focus on the Monte Cotugno dam—the largest earth-fill reservoir in Europe. Using monthly precipitation data (2000–2024) from eight gauges and standardized indicators (SPI [...] Read more.
This study examines the hydroclimatic controls on reservoir storage dynamics in the Sinni River basin (southern Italy), with a specific focus on the Monte Cotugno dam—the largest earth-fill reservoir in Europe. Using monthly precipitation data (2000–2024) from eight gauges and standardized indicators (SPI at multiple timescales and SRI for storage), we apply robust trend, correlation, autocorrelation, and causality analyses, supported by advanced preprocessing (TFPW), to disentangle climatic influences from anthropogenic pressures. Results show a statistically significant and persistent decline in the SRI series, indicating progressive storage depletion, despite stationary or slightly positive trends in precipitation at annual and hydrologically relevant timescales. These findings highlight the dominant role of cumulative operational losses and systemic inefficiencies—rather than sustained climatic drying—as primary drivers of reservoir decline. Granger causality and lagged-correlation analyses reveal that multi-month to annual precipitation anomalies (SPI-3, SPI-6, SPI-12) exert the strongest influence on storage variations, yet the basin’s ability to convert rainfall into effective reservoir supply is severely constrained by infrastructural and management limitations. The study underscores the urgent need to integrate climate-based monitoring with infrastructural modernization and governance reforms to address the combined climatic and anthropogenic pressures increasingly affecting Mediterranean water systems. Full article
Show Figures

Figure 1

26 pages, 5391 KB  
Article
Quantifying Urban Expansion and Its Driving Forces in the Indus River Basin Using Multi-Source Spatial Data
by Wenfei Luan, Jingyao Zhu, Wensheng Wang, Chunfeng Ma, Qingkai Liu, Yu Wang, Haitao Jing, Bing Wang and Hui Li
Land 2026, 15(1), 164; https://doi.org/10.3390/land15010164 - 14 Jan 2026
Abstract
Urban expansion and its driving factors are frequently analyzed within administrative regions to inform regional urban planning, yet such analyses often fall short at the natural basin scale (referring to the spatial extent defined by hydrological drainage boundaries) due to the scarcity of [...] Read more.
Urban expansion and its driving factors are frequently analyzed within administrative regions to inform regional urban planning, yet such analyses often fall short at the natural basin scale (referring to the spatial extent defined by hydrological drainage boundaries) due to the scarcity of statistical data. Geographic and socio-economic spatial data can offer more detailed information across various research scales compared to traditional data (such as administrative statistical data, survey-based data, etc.), providing a potential solution to this limitation. Thus, this study took the Indus Basin as an example to reveal its urban expansion patterns and driving mechanism based on natural–economic–social time-series (2000–2020) spatial data, landscape expansion index, and geographical detector model (GDM). Future urban expansion distribution under different scenarios was also projected using Cellular Automata and Markov model (CA-Markov). The results indicated the following: (1) The Indus River Basin experienced rapid urban expansion during 2000–2020 dominated by edge-expansion, with urban expansion intensity showing a continuous increase. (2) Between 2000 and 2010 as well as 2010 and 2020, the dominant factor influencing urban expansion shifted from altitude to population (Pop), while the strongest interacting factors shifted from fine particulate matter (PM2.5) and altitude to Gross Domestic Product (GDP) and Pop. (3) Future urban expansion probably occupies substantial mountainous area under the normal scenario, while the expansion region shifts towards the central plains to protect more ecological zones under a sustainable development scenario. Findings in this study would deepen the understanding of urban expansion characteristics of the Indus Basin and benefit its future urban planning. Full article
Show Figures

Figure 1

24 pages, 3803 KB  
Article
Surface Runoff Responses to Forest Thinning in Semi-Arid Oak–Pine Micro-Catchments of Northern Mexico
by Gabriel Sosa-Pérez, Argelia E. Rascón-Ramos, David E. Hermosillo-Rojas, Alfredo Pinedo Alvarez, Eduardo Santellano-Estrada, Raúl Corrales-Lerma, Sandra Rodríguez-Piñeros and Martín Martínez-Salvador
Hydrology 2026, 13(1), 27; https://doi.org/10.3390/hydrology13010027 - 9 Jan 2026
Viewed by 142
Abstract
Hydrological behavior plays a critical role in seasonally dry forest ecosystems, as it underpins water availability for multiple productive activities, including forestry, agriculture, grazing, and urban supply. This study evaluated the hydrological effects of thinning treatments in a semi-arid oak–pine forest of Chihuahua, [...] Read more.
Hydrological behavior plays a critical role in seasonally dry forest ecosystems, as it underpins water availability for multiple productive activities, including forestry, agriculture, grazing, and urban supply. This study evaluated the hydrological effects of thinning treatments in a semi-arid oak–pine forest of Chihuahua, Mexico, using a Before–After–Control–Impact (BACI) design. Three Micro-catchments (MC) with initially comparable tree density and canopy cover were monitored during the rainy seasons of 2018 (pre-thinning) and 2019 (post-thinning). Thinning treatments were applied at 20% and 60% canopy cover in two MC, while a third remained unthinned as a 100% control. Precipitation and surface runoff were recorded at the event scale, and data were analyzed using Weibull probability models with a log link to capture the frequency and magnitude of runoff events. Precipitation patterns were broadly comparable across years, although 2018 included an extreme storm event (59 mm). In contrast, runoff volumes in 2019 were lower despite marginally higher seasonal rainfall, reflecting the absence of large storms. Statistical modeling indicated that for each additional millimeter of precipitation, mean runoff increased by approximately 12%, although thinning significantly altered baseline conditions. Relative to 2018, mean runoff ratios were 0.087 in the 100% canopy catchment, 0.296 in the 60% treatment, and 0.348 in the 20% treatment, suggesting that reduced canopy cover retained proportionally more runoff than the control. BACI contrasts confirmed that thinned catchments maintained higher proportions of runoff than the unthinned control, although statistical significance was marginal for the 20% canopy treatment. Overall, the study provides ecohydrological insights relevant to the management of semi-arid forest ecosystems. Full article
Show Figures

Figure 1

22 pages, 6011 KB  
Article
Quantifying Spatiotemporal Groundwater Storage Variations in China (2003–2019) Using Multi-Source Data
by Lin Tu, Zhangli Sun, Zhoutao Zheng and Ahmed Samir Abowarda
Water 2026, 18(2), 151; https://doi.org/10.3390/w18020151 - 6 Jan 2026
Viewed by 182
Abstract
Groundwater constitutes a vital freshwater resource essential for sustaining agricultural productivity, industrial processes, and domestic water supply. Quantifying spatiotemporal dynamics of Groundwater Storage (GWS) across China provides a critical scientific basis for sustainable water resource management and conservation. Employing a unified methodology combining [...] Read more.
Groundwater constitutes a vital freshwater resource essential for sustaining agricultural productivity, industrial processes, and domestic water supply. Quantifying spatiotemporal dynamics of Groundwater Storage (GWS) across China provides a critical scientific basis for sustainable water resource management and conservation. Employing a unified methodology combining Gravity Recovery and Climate Experiment (GRACE) observations and global hydrological models (GLDAS, WGHM), this study investigates spatiotemporal variations in Groundwater Storage Anomalies (GWSA) across China and its nine major river basins from February 2003 to December 2019. The results indicate an overall declining trend in China’s GWSA at −2.27 to −0.38 mm/yr. Significant depletion hotspots are identified in northern Xinjiang, southeastern Tibet, and the Haihe River Basin. Conversely, statistically significant increasing trends are detected in the Endorheic Basin of the Tibetan Plateau and the middle reaches of the Yangtze River Basin. Although GWSA inversions derived from different Global Land Data Assimilation System (GLDAS) models show general consistency, there are still pronounced regional heterogeneities in model performance. The findings offer critical scientific foundations for water resources managers and policymakers to formulate sustainable groundwater management strategies in China. Full article
(This article belongs to the Special Issue Remote Sensing and GIS in Water Resource Management)
Show Figures

Figure 1

23 pages, 2473 KB  
Article
Multi-Model Comparison of Hydrologic Simulation Performance Using DWAT, PRMS, and TANK Models
by Deokhwan Kim, Wonjin Jang, Heechan Han, Hyoung-Sub Shin, Hyeonjun Kim and Cheolhee Jang
Water 2026, 18(2), 145; https://doi.org/10.3390/w18020145 - 6 Jan 2026
Viewed by 199
Abstract
This study compares the streamflow simulation performance of a semi-distributed hydrological model, DWAT (Dynamic Water Resources Assessment Tool), and two conceptual models, PRMS and TANK, across three watersheds in the Republic of Korea representing mountainous (Okdong-gyo), mixed-use (Wonbu-gyo), and urbanized (Daegok-gyo) conditions. All [...] Read more.
This study compares the streamflow simulation performance of a semi-distributed hydrological model, DWAT (Dynamic Water Resources Assessment Tool), and two conceptual models, PRMS and TANK, across three watersheds in the Republic of Korea representing mountainous (Okdong-gyo), mixed-use (Wonbu-gyo), and urbanized (Daegok-gyo) conditions. All models were calibrated and validated using identical hydroclimatic datasets and evaluation periods to ensure a fair comparison. Model performance was evaluated using nine statistical metrics (R2, NSE, LogNSE, KGE, RMSE, MAE, RE, VE, and RSR), supplemented by low-flow analysis based on a Q90 threshold and non-parametric statistical tests. DWAT exhibited the most stable and highest overall performance across all watersheds, with particularly strong results in the urbanized Daegok-gyo basin (NSE = 0.85, R2 = 0.88). The TANK model performed best in the mixed-use Wonbu-gyo basin (NSE = 0.82, R2 = 0.83), whereas PRMS showed a systematic tendency to underestimate streamflow, especially under high-flow and low-flow conditions. Statistical comparisons using Friedman and post hoc Dunn tests confirmed that performance differences among models were statistically significant (p < 0.001). Overall, the results demonstrate that hydrological model performance strongly depends on watershed characteristics and provide a quantitative and statistically supported basis for selecting appropriate runoff simulation models according to basin type. Full article
(This article belongs to the Special Issue Application of Hydrological Modelling to Water Resources Management)
Show Figures

Figure 1

42 pages, 1739 KB  
Review
A Review of the Advances and Emerging Approaches in Hydrological Forecasting: From Traditional to AI-Powered Models
by Kevin Paolo V. Robles, Jerose G. Solmerin, Gerald Christian E. Pugat and Cris Edward F. Monjardin
Water 2026, 18(1), 119; https://doi.org/10.3390/w18010119 - 4 Jan 2026
Viewed by 549
Abstract
Hydrological forecasting has evolved rapidly in response to intensifying climate variability, increasing data availability, and advances in computational modeling. This review synthesizes developments from 2006 to 2025, examining four major forecasting domains: statistical approaches, physically based models, data-driven machine learning and deep learning [...] Read more.
Hydrological forecasting has evolved rapidly in response to intensifying climate variability, increasing data availability, and advances in computational modeling. This review synthesizes developments from 2006 to 2025, examining four major forecasting domains: statistical approaches, physically based models, data-driven machine learning and deep learning techniques, and hybrid or emerging physics–AI frameworks. Recent literature shows a decisive shift toward integrated, data-rich systems that leverage remote sensing, IoT networks, and artificial intelligence to overcome limitations in traditional forecasting. While hybrid and physics-informed AI models achieve notable improvements in accuracy, lead time, and scalability, persistent challenges remain, especially regarding data scarcity, model interpretability, cross-basin generalization, climate non-stationarity, and operational computational demands. This review highlights these limitations and outlines future directions needed to strengthen hydrological forecasting as a tool for climate adaptation, early warning systems, and long-term water resource planning. By consolidating methodological advances and emerging gaps, the study provides insights into how hydrological forecasting can transition toward more resilient, transparent, and decision-oriented frameworks. Full article
Show Figures

Figure 1

23 pages, 6265 KB  
Article
Spatio-Temporal Evaluation and Attribution Analysis of Urban Flood Resilience in the Beijing–Tianjin–Hebei Region: A Multi-Method Coupling Approach
by Yafeng Yang, Shaohua Wang, Ru Zhang, Fang Wan, Yiyang Li and Zongzhi Wang
Water 2026, 18(1), 109; https://doi.org/10.3390/w18010109 - 1 Jan 2026
Viewed by 442
Abstract
Urban floods increasingly threaten the mega-regions’ sustainable development, yet the pace and causes of change in urban flood resilience (UFR) remain elusive. This study proposes a new index system for UFR from three dimensions: resistance, recovery, and adaptability. The system includes 18 indicators [...] Read more.
Urban floods increasingly threaten the mega-regions’ sustainable development, yet the pace and causes of change in urban flood resilience (UFR) remain elusive. This study proposes a new index system for UFR from three dimensions: resistance, recovery, and adaptability. The system includes 18 indicators across natural, economic, social, and infrastructure aspects. A comprehensive evaluation model combining entropy weighting, Criteria Importance Through Intercriteria Correlation (CRITIC), and VlseKriterijumska Optimizacija I Kompromisno Resenje (VIKOR) methods is developed and validated for the Beijing–Tianjin–Hebei (BTH) region of China, covering 2011–2022. Spatial dependence is diagnosed with global and local Moran’s I statistics, while an Extreme Gradient Boosting-Shapley Additive Explanations (XGBoost-SHAP) isolates the contribution of each driver. The results indicate that UFR in the BTH region exhibited a generally increasing but fluctuating trend. Spatially, UFR displays a pronounced gradient, with higher levels concentrated in the northwest and lower levels in the southeast. Significant spatial autocorrelation is observed, spatial autocorrelation strength ranging from 0.330 to 0.404. Key drivers contributing to UFR include urban slope, hydrological station density, per capita park green space area, and population density, all with SHAP importance values exceeding 0.02 (ranging from 0.0012 to 0.1343). These indicators collectively play a dominant role in shaping the region’s resilience dynamics, highlighting their crucial influence on sustainable urban development. Full article
(This article belongs to the Special Issue Flood Risk Assessment on Reservoirs)
Show Figures

Figure 1

22 pages, 5126 KB  
Article
Stable Isotope Analysis of Gryphaea arcuata Reveals the Prevalence of Humid Tropical Conditions During the Early Sinemurian of Normandy (Fresville), Northwestern France
by Christophe Lécuyer, Lucie Peyrède, Eric Buffetaut, Haiyan Tong, Romain Amiot, François Fourel and Florent Arnaud-Godet
Foss. Stud. 2026, 4(1), 1; https://doi.org/10.3390/fossils4010001 - 31 Dec 2025
Viewed by 296
Abstract
Marine deposits in western Europe provide insight into the interplay between the warm Tethys and cooler Boreal domains, offering a climatic context for the radiation of Early Jurassic species. Reconstructions of temperature for the Hettangian and Sinemurian periods are scarce, with inferred marine [...] Read more.
Marine deposits in western Europe provide insight into the interplay between the warm Tethys and cooler Boreal domains, offering a climatic context for the radiation of Early Jurassic species. Reconstructions of temperature for the Hettangian and Sinemurian periods are scarce, with inferred marine temperatures of 15–20 °C based on δ18O values, which are lower than those of subsequent Jurassic stages. This emphasizes the necessity for supplementary data in order to enhance our comprehension of the climatic dynamics that characterized the Early Jurassic period. This study analyses 75 invertebrate samples, including 53 specimens of Gryphaea arcuata, from Early Sinemurian marine sediments in the Fresville quarry, Normandy, France. The present study employs a multi-proxy approach, utilizing δ13C and δ18O values in conjunction with Sr and Mg contents, to assess the processes of fossil diagenesis, marine productivity, and seawater temperatures. Significant post-depositional alteration was observed in the geochemical compositions of 22 bivalve shells assigned to the genera Pseudolimea, Plagiostoma, and Chlamys, which were originally composed of aragonite, except for the outer layer, which is made of calcite. However, the low-Mg calcite shells of Gryphaea arcuata, which are renowned for their diagenetic resistance, retained the majority of their isotopic integrity. The results of the statistical analyses indicate that there was minimal late pervasive diagenesis involving meteoric waters at Fresville. This is in accordance with the typical decrease in δ13C, δ18O values, and Sr and Mg contents that such processes would otherwise cause. Published isotopic data from Sinemurian marine fossils (plesiosaur and shark teeth) were used to estimate seawater δ18O (~−1‰ VSMOW) and surface temperatures (~24 °C). The calculated benthic temperatures of Gryphaea (17 °C) correspond to habitats at depths of about 50 m. These findings suggest a positive hydrological balance and euhaline conditions in a humid tropical climate context. Full article
Show Figures

Figure 1

21 pages, 3405 KB  
Article
Spatiotemporal Dynamics and Lagged Hydrological Impacts of Compound Drought and Heatwave Events in the Poyang Lake Basin
by Ningning Li, Yang Yang, Zikang Xing, Yi Zhao, Jianhui Wei, Miaomiao Ma and Xuejun Zhang
Hydrology 2026, 13(1), 16; https://doi.org/10.3390/hydrology13010016 - 30 Dec 2025
Viewed by 365
Abstract
Compound drought and heatwave (CDHW) events pose a rising threat to global water security and ecosystem stability. While their increased frequency under global warming is recognized, their spatiotemporal evolution and subsequent cascading impacts on hydrological processes in monsoonal lake basins remain poorly quantified. [...] Read more.
Compound drought and heatwave (CDHW) events pose a rising threat to global water security and ecosystem stability. While their increased frequency under global warming is recognized, their spatiotemporal evolution and subsequent cascading impacts on hydrological processes in monsoonal lake basins remain poorly quantified. This study investigates the characteristics and hydrological impacts of CDHW in the Poyang Lake Basin, China’s largest freshwater lake, from 1981 to 2016. Using a daily rolling-window approach with the Standardized Precipitation Index (SPI) and Standardized Temperature Index (STI), we identified CDHW events and characterized them with metrics of frequency, severity, and intensity. Event coincidence analysis (ECA) was employed to quantify the trigger relationship between CDHW and subsequent hydrological droughts (streamflow and lake water level). Our results reveal a paradigmatic shift in the CDHW regime post-2000, marked by statistically significant increases in all three metrics and a fundamental alteration in their statistical distributions. ECA demonstrated that intensified CDHW events significantly enhance hydrological drought risk, primarily through a robust and increasing lagged influence at seasonal timescales (peaking at 40–90 days). Decomposition of compound events attributes this protracted impact predominantly to the heatwave component, which imposes prolonged hydrological stress, in contrast to the more immediate but rapidly decaying influence of drought alone. This study highlights the necessity of integrating compound extremes and their non-stationary, lagged impacts into water resource management and climate adaptation strategies for monsoonal basins. Full article
Show Figures

Figure 1

21 pages, 5372 KB  
Article
Hydrological Response of an Enclosed Karst Groundwater System to Drainage Induced by Tunnel Excavation in a Typical Anticline Geo-Structure
by Xiantao Xu, Qian Zhao, Xiangsheng Kong, Lei Zhang, Xiaojie Zhang, Tao Yu, Xiaowei Zhang and Qiang Xia
Water 2026, 18(1), 87; https://doi.org/10.3390/w18010087 - 29 Dec 2025
Viewed by 339
Abstract
The drainage of groundwater in mountainous tunnel projects always leads to substantial decline of the regional water table, which may induce numerous environmental issues, such as spring depletion, surface subsidence, vegetation degradation, and impacts on local water supplies, especially in the enclosed karst [...] Read more.
The drainage of groundwater in mountainous tunnel projects always leads to substantial decline of the regional water table, which may induce numerous environmental issues, such as spring depletion, surface subsidence, vegetation degradation, and impacts on local water supplies, especially in the enclosed karst aquifers of anticlines in the area, such as the Jura mountain type. A systematic hydrological monitoring was conducted during the excavation of the Wufu Tunnel in Chongqing, China. The monitoring data includes discharge rate and water level collected from tunnels, boreholes, coal mines, springs, and ponds, respectively. Hydrological responses of karst aquifers and surface water bodies to tunnel drainage and precipitation were investigated by statistical analysis, Mann–Kendall test, heat map, and wavelet analysis. Results show that the enclosed karst water system has strong hydraulic connections and good water storage conditions. Tunnel drainage is the dominant factor causing dynamic changes at monitoring points, while the influence of rainfall is relatively limited. Borehole water levels and coal mine drainage have a close correlation with tunnel inflow, while springs are influenced by both rainfall and tunnel drainage. Few pond monitoring points are related to rainfall. Tunnel drainage has transformed the regional groundwater dynamic conditions, causing local groundwater flow direction reversal and reconstructing the groundwater recharge-flow-discharge pattern. Full article
Show Figures

Figure 1

20 pages, 5111 KB  
Article
Integrating Long-Term Climate Data into Sponge City Design: A Case Study of the North Aegean and Marmara Regions
by Mehmet Anil Kizilaslan
Sustainability 2026, 18(1), 331; https://doi.org/10.3390/su18010331 - 29 Dec 2025
Viewed by 180
Abstract
Climate change is altering hydrological regimes across the North Aegean and Marmara regions of Türkiye, with increasing relevance for both drought occurrence and flood generation. This study examines long-term variability in temperature, precipitation, and evaporation using meteorological observations over a long time series [...] Read more.
Climate change is altering hydrological regimes across the North Aegean and Marmara regions of Türkiye, with increasing relevance for both drought occurrence and flood generation. This study examines long-term variability in temperature, precipitation, and evaporation using meteorological observations over a long time series and relates these changes to urban water management issues. Daily records from 12 meteorological stations, with data availability varying by station and extending back to 1926, were analysed using the non-parametric Mann–Kendall trend test and Sen’s slope estimator. The results indicate statistically significant warming trends across all stations, with several locations recording daily maximum temperatures exceeding 44 °C. Precipitation trends exhibit pronounced spatial heterogeneity: while most stations show decreasing long-term tendencies, others display unchanging or non-significant trends. Nevertheless, extreme daily rainfall events exceeding 200 mm are observed at multiple coastal and island stations, indicating a tendency toward high-intensity precipitation. Evaporation trends also vary across the region, with increasing rates at stations such as Tekirdağ and Çanakkale and decreasing trends at Bandırma and Yalova, reflecting the influence of local atmospheric conditions. Taken together, these findings point to a coupled risk of intensified flooding during short-duration rainfall events and increasing water stress during warm and dry periods. Such conditions challenge the effectiveness of conventional grey infrastructure. The results are therefore interpreted within the framework of the Sponge City approach, which emphasizes permeable surfaces, decentralized storage, infiltration, and the integration of green and blue infrastructure. By linking long-term hydroclimatic trends with urban design considerations, this study provides a quantitative basis for informing adaptive urban water management and planning strategies in Mediterranean-type climate regions. Full article
Show Figures

Figure 1

28 pages, 2974 KB  
Article
Climate Change Impacts on Agricultural Watershed Hydrology, Southern Ontario: An Integrated SDSM–SWAT Approach
by Rong Hu, Ramesh Rudra, Rituraj Shukla, Ashok Shaw and Pradeep Goel
Hydrology 2026, 13(1), 13; https://doi.org/10.3390/hydrology13010013 - 28 Dec 2025
Viewed by 414
Abstract
Understanding the local-scale impacts of climate change is critical for protecting water resources and ecosystems in vulnerable agricultural regions. This study investigates the Canagagigue Creek Watershed (CCW) in Southern Ontario, Canada, which is an area vital to the Grand River Basin yet threatened [...] Read more.
Understanding the local-scale impacts of climate change is critical for protecting water resources and ecosystems in vulnerable agricultural regions. This study investigates the Canagagigue Creek Watershed (CCW) in Southern Ontario, Canada, which is an area vital to the Grand River Basin yet threatened by sediment runoff, making it an ecologically sensitive area. We applied an integrated Statistical Downscaling Model (SDSM) and Soil and Water Assessment Tool (SWAT) (version 2012) approach under the IPCC A2 scenario to project impacts for the period 2025–2044. The results reveal a fundamental hydrological shift, and evapotranspiration is projected to claim nearly 70% of annual precipitation, leading to a ~30% reduction in total water yield. Seasonally, the annual streamflow peak is projected to shift from March to April, indicating a transition from a snowmelt-dominated to a rainfall-influenced system, while extended low-flow periods increase drought risk. Crucially, sediment yield at the watershed outlet is projected to decrease by 7.9–10.5%. The concomitant reduction in streamflow implies a weakened sediment transport capacity. However, this points to a heightened risk of increased in-stream deposition, which would pose a dual threat, (a) elevating flood risk through channel aggradation and (b) creating a long-term sink for agricultural pollutants that degrades water quality. By linking SDSM and SWAT, this study moves beyond generic predictions, providing a targeted blueprint for climate-resilient land and water management that addresses the complex, interacting challenges of water quantity. Full article
Show Figures

Figure 1

29 pages, 4713 KB  
Article
Benchmarking MSWEP Precipitation Accuracy in Arid Zones Against Traditional and Satellite Measurements
by Abdulrahman Saeed Abdelrazaq, Humaid Abdulla Alnuaimi, Faisal Baig, Mohamed Elkollaly and Mohsen Sherif
Remote Sens. 2026, 18(1), 95; https://doi.org/10.3390/rs18010095 - 26 Dec 2025
Viewed by 295
Abstract
Accurate precipitation data is vital for hydrological modeling, climate research, and water resource management, especially in arid regions like the United Arab Emirates (UAE), where rainfall is sparse and highly variable. This study assesses the performance of the Multi-Source Weighted-Ensemble Precipitation v2.8 (MSWEP) [...] Read more.
Accurate precipitation data is vital for hydrological modeling, climate research, and water resource management, especially in arid regions like the United Arab Emirates (UAE), where rainfall is sparse and highly variable. This study assesses the performance of the Multi-Source Weighted-Ensemble Precipitation v2.8 (MSWEP) dataset against ground-based gauge data and three satellite precipitation products—CMORPH, IMERG, and GSMaP—across the UAE from 2004 to 2020. Evaluation metrics include statistical, categorical, and extreme precipitation indices. MSWEP shows a moderate correlation with gauge data (mean CC = 0.62), performing better than CMORPH (0.54) but below IMERG (0.68). It also yields lower RMSE and MAE than CMORPH and GSMaP, indicating improved error metrics. However, MSWEP overestimates light rainfall and underestimates extreme events, reflected in a lower KGE (0.42) and weak performance in the 95th percentile rainfall, especially in coastal and mountainous areas. Seasonal analysis reveals overestimation in winter and underestimation during summer convective storms. While MSWEP offers strong global coverage and temporal consistency, its application in arid environments like the UAE requires bias correction. These findings highlight the need for integrating multiple datasets and regional adjustments to enhance rainfall estimation accuracy for hydrological and climate-related applications. Full article
(This article belongs to the Section Atmospheric Remote Sensing)
Show Figures

Figure 1

22 pages, 5761 KB  
Article
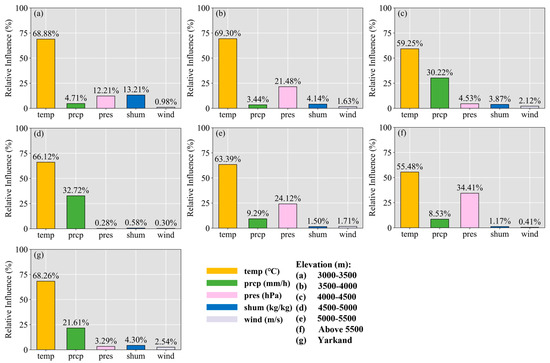
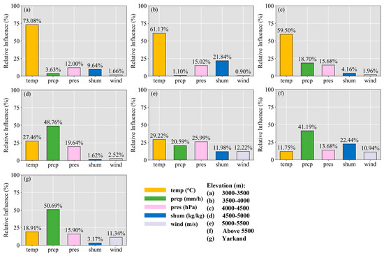
Temperature Governs the Elevation Dependency of Snow Cover Changes in the Upper Reaches of the Yarkand River Basin
by Xin Jiang, He Chen, Zhiguang Tang, Hui Guo, Gang Deng, Yuanhong You and Haiyan Hou
Remote Sens. 2026, 18(1), 80; https://doi.org/10.3390/rs18010080 - 25 Dec 2025
Viewed by 277
Abstract
Understanding the elevation-dependent response of mountain snow cover to climate change requires transcending statistical correlations to reveal the underlying physical mechanisms. This study investigates these mechanisms in the Upper Yarkand River Basin (U-YRB, located on the northwestern edge of the Qinghai–Tibet Plateau) from [...] Read more.
Understanding the elevation-dependent response of mountain snow cover to climate change requires transcending statistical correlations to reveal the underlying physical mechanisms. This study investigates these mechanisms in the Upper Yarkand River Basin (U-YRB, located on the northwestern edge of the Qinghai–Tibet Plateau) from 2002 to 2020 by integrating a Gradient-Boosted Decision Tree (GBDT) model, a process-based degree-day model, and Structural Equation Modeling (SEM). Our analysis reveals a significant overall decline in Snow Cover Area (SCA) at a rate of −0.25%·a−1, with the rate of decrease accelerating below 4000 m but slowing above this threshold. Snow Depth (SD) exhibited a distinct elevation-dependent trend, decreasing at elevations below 3500 m while increasing above 4000 m. GBDT analysis quantified the shifting dominance of climatic drivers: temperature was the primary factor reducing SCA across all elevations, though its contribution diminished with increasing elevation. Precipitation played a critical yet contrasting role, emerging as the key positive driver for SD accumulation at high elevations (>4500 m). A comparative analysis of snowfall and snowmelt processes identified snowmelt as the key process governing elevation-dependent patterns, peaking around 4000 m. Crucially, SEM elucidated a mechanistic shift across the 4000 m threshold: below 4000 m, snow cover loss was primarily driven by temperature via its strong positive effect on snowmelt. Above 4000 m, while the influence of temperature persisted, the dominant positive effect of precipitation on snowfall became the key driver of the observed SD increase. This shift signals a fundamental transition from melt-dominated dynamics at lower elevations to accumulation-influenced dynamics at higher elevations. Our findings clarify the physical processes behind elevation-dependent snow cover changes and underscore the necessity of elevation-stratified frameworks for hydrological prediction and water resource management in alpine basins. Full article
(This article belongs to the Section Atmospheric Remote Sensing)
Show Figures

Graphical abstract

Back to TopTop