Sign in to use this feature.

Years

Between: -

Subjects

remove_circle_outline
remove_circle_outline
remove_circle_outline
remove_circle_outline
remove_circle_outline

Journals

Article Types

Countries / Regions

Search Results (77)

Search Parameters:
Keywords = standardized ileal digestible

Order results
Result details
Results per page
Select all
Export citation of selected articles as:
27 pages, 1304 KB  
Article
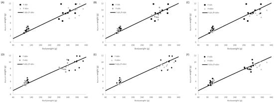
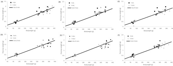
Supply Organ Development in Young Broilers in Response to Changing Dietary Fat and Amino Acids in the Starter Period
by Edward Diehl, Ellen van Eerden, Masja Duijster and René Kwakkel
Poultry 2025, 4(4), 56; https://doi.org/10.3390/poultry4040056 - 14 Nov 2025
Abstract
Early growth in broilers depends on the rapid development of supply organs that enable nutrient use and support the growth of demand tissues such as muscle and bone. This study evaluated whether increasing dietary fat (and thereby AME) and amino acid concentration in [...] Read more.
Early growth in broilers depends on the rapid development of supply organs that enable nutrient use and support the growth of demand tissues such as muscle and bone. This study evaluated whether increasing dietary fat (and thereby AME) and amino acid concentration in starter diets enhances supply organ development and growth performance in Cobb male broilers. A 2 × 2 factorial design compared two fat levels, corresponding to two AME levels (F− 2750 vs. F+ 3050 kcal/kg), and two standardized ileal digestible lysine levels (AA− 1.0% vs. AA+ 1.2%) in an ideal ratio, to other essential AAs during days 0–11. Higher amino acid concentration consistently improved body weight gain, feed efficiency, and nutrient utilization throughout the trial, whereas the benefits of higher AME were mainly observed during the first 11 days. Diets high in both fat and amino acids reduced early feed intake, suggesting satiety effects. The effects on supply organ development were limited; only the pancreas and small intestine exhibited treatment-related differences in relative weight or allometric growth. In conclusion, increased amino acid concentration in starter diets improved overall broiler performance and nutrient efficiency, whereas dietary fat provided only short-term benefits. These improvements were not consistently associated with morphological changes in supply organs. Full article
(This article belongs to the Collection Poultry Nutrition)
Show Figures

Figure 1

18 pages, 530 KB  
Article
Drying Temperature Dictates Ileal Amino Acid Digestibility of Enzyme-Treated Soybean Meal in 25 kg Pigs
by Xianyi Tan, Chao Liu, Lixuan Lu, Yong Zhuo, Lin Li and Yunxiang Liang
Animals 2025, 15(22), 3288; https://doi.org/10.3390/ani15223288 - 13 Nov 2025
Abstract
Soybean meal causes health issues in piglets due to the presence of antigenic proteins. Although enzymatic treatment can break down antigenic proteins, subsequent high-temperature drying may impair amino acid (AA) digestibility via the Maillard reaction. This study evaluated whether the air-drying temperature affects [...] Read more.
Soybean meal causes health issues in piglets due to the presence of antigenic proteins. Although enzymatic treatment can break down antigenic proteins, subsequent high-temperature drying may impair amino acid (AA) digestibility via the Maillard reaction. This study evaluated whether the air-drying temperature affects the ileal AA digestibility of a novel reduced-sugar enzyme-treated soybean meal (ESM) in 25 kg pigs, using fishmeal as a high-digestibility reference. In two trials using pigs fitted with simple T-cannulas in the terminal ileum, ileal digestibility was assessed. In trial 1, a replicated 3 × 3 Latin square design with three diets (fishmeal, ESM, and a nitrogen-free diet; two pigs per diet) and three periods were used per square. Fishmeal showed greater apparent (82.50% vs. 45.01%) and standardized (86.60% vs. 48.86%) digestibility of crude protein and all amino acids than ESM dried at 130 °C. In trial 2, eight pigs were allocated to two diets in a two-period crossover design to compare the AA digestibility of ESM dried at high (130 °C; HtESM) and low (80 °C; LtESM) temperatures. LtESM exhibited greater apparent (82.24% vs. 52.40%) and standardized (86.37% vs. 56.47%) digestibility of crude protein and more amino acids than HtESM. Collectively, the drying temperature critically determined the AA digestibility of ESM, irrespective of its reducing sugar content. Full article
(This article belongs to the Section Animal Nutrition)
Show Figures

Figure 1

16 pages, 264 KB  
Article
The Addition of an Acid Protease Improved the Digestibility of Crude Protein and Amino Acids of Soybean Meal, but Not of Corn, in Piglets
by Leury J. Souza, José A. L. Barbosa, Hélio Moreira Júnior, Francisco A. Pereira, Marcos L. P. Tse and Urbano S. Ruiz
Animals 2025, 15(20), 3037; https://doi.org/10.3390/ani15203037 - 20 Oct 2025
Viewed by 396
Abstract
The aim of this study was to evaluate two proteases (P1 and P2) on the apparent and standardized ileal digestibility (AID and SID, respectively), of crude protein (CP) and amino acids (AAs) and apparent total tract digestibility (ATTD) of nutrients and gross energy [...] Read more.
The aim of this study was to evaluate two proteases (P1 and P2) on the apparent and standardized ileal digestibility (AID and SID, respectively), of crude protein (CP) and amino acids (AAs) and apparent total tract digestibility (ATTD) of nutrients and gross energy (GE) of corn and soybean meal, with 46% and 48% CP, in pigs by the index method. Ninety crossbred castrated male piglets (13.52 ± 1.96 kg body weight) were fed a nitrogen-free diet, or diets containing corn or soybean meal as the sole sources of CP and AAs, supplemented or not with 0.05% of P1 or 0.01% of P2, an acid protease. Treatment differences were considered statistically significant at p < 0.05. The inclusion of proteases in corn and of P1 in soybean meal diets did not improve the digestibility of nutrients and energy. Otherwise, the addition of P2, an acid protease, in soybean meal diets increased (p < 0.05) the AID and SID of Lys, Met, Phe, Ala, Cys, and Glu, and the respective digestible AA values, from 7.5% to 22%, compared to soybean meal without proteases. The use of the acid protease can be an important tool to enhance the digestibility of the AAs of soybean meal in piglets. Full article
16 pages, 609 KB  
Article
Dietary Lysine Supplementation Above Requirement Improves Carcass Traits and Enhances Pork Flavor Profiles in Finishing Pigs Under Commercial Conditions
by Jialong Liao, Fengyi Song, Boyang Wan, Haijun Sun, Jingdong Yin and Xin Zhang
Foods 2025, 14(18), 3262; https://doi.org/10.3390/foods14183262 - 20 Sep 2025
Viewed by 790
Abstract
To explore the effects of dietary lysine level (DLLs) on growth performance, carcass traits, meat quality and flavor characteristics in finishing pigs under large-scale commercial farming conditions, approximately 450 Duroc × Landrace × Yorkshire crossbred finishing pigs (initial body weight: 103.65 ± 4.28 [...] Read more.
To explore the effects of dietary lysine level (DLLs) on growth performance, carcass traits, meat quality and flavor characteristics in finishing pigs under large-scale commercial farming conditions, approximately 450 Duroc × Landrace × Yorkshire crossbred finishing pigs (initial body weight: 103.65 ± 4.28 kg) were randomly assigned to four treatment groups in this study. Each group consisted of four replicate pens, with 25~30 pigs per pen. The Lys100 group received a diet formulated according to the NRC (2012) standard. The standardized ileal digestible lysine (SID Lys) levels in the diets for the Lys115, Lys130 and Lys145 groups were set at 115%, 130% and 145% of the level in the Lys100 group, respectively. The trial lasted for 31 days. The results showed that increasing DLLs by 15%, 30% or 45%, while safeguarding the lysine requirement and maintaining the ideal ratios of other essential amino acids to lysine, had no negative impact on growth performance or meat quality. For carcass traits, increasing lysine levels in diets linearly increased loin eye area (p = 0.018) and tended to reduce backfat thickness at the 10th rib (p = 0.096). Methionine and glycine contents in the longissimus thoracis (LT) muscle linearly increased with an increase in DLLs (p = 0.014 and 0.073, respectively). Furthermore, increasing lysine levels by 45% significantly increased the percentage of volatile flavor compounds (VOCs) belonging to nitrogen compounds (p = 0.040), ethers (p = 0.026) and aldehydes (p = 0.040), as well as increased contents of key VOCs, such as (E)-2-Nonenal (p = 0.005), (E)-2-Octenal (p = 0.005) and 1-Octen-3-one (p = 0.008), contributing to enhanced sweet, fruity, fatty and waxy flavor profiles. According to various indexes, better carcass traits and pork flavor could be achieved by increasing lysine levels by 45% in diets based on the recommended value for finishing pigs. Full article
(This article belongs to the Special Issue Meat Quality and Palatability)
Show Figures

Figure 1

13 pages, 652 KB  
Article
Evaluation of Alterations in Nutrient Utilization and Intestinal Health in Response to Heat Stress in Pekin Ducks Based on a Pair-Feeding Experimental Design
by Xiangyi Zeng, Arshad Javid, Gregory S. Fraley, Gang Tian, Keying Zhang, Shiping Bai, Xuemei Ding, Jianping Wang, Yan Liu, Yue Xuan, Shanshan Li and Qiufeng Zeng
Animals 2025, 15(15), 2213; https://doi.org/10.3390/ani15152213 - 28 Jul 2025
Viewed by 648
Abstract
The objective of this study was to investigate alterations in nutrient utilization, standardized ileal digestibility of amino acids (SIDAA), and intestinal health in response to heat stress (HS) in Pekin ducks. A total of 240 healthy 28-day-old male Pekin ducks were randomly allocated [...] Read more.
The objective of this study was to investigate alterations in nutrient utilization, standardized ileal digestibility of amino acids (SIDAA), and intestinal health in response to heat stress (HS) in Pekin ducks. A total of 240 healthy 28-day-old male Pekin ducks were randomly allocated to three groups: a normal control (NC) group, an HS group, and a pair-fed (PF; provided an amount of feed equal to that consumed by the HS group to eliminate the effects of feed intake) group, each with eight replicate cages of ten birds. The results showed that HS significantly reduced the apparent utilization of dietary energy, ether extract, and crude protein compared to both the NC and PF groups (p < 0.05), but yielded comparable SIDAA to the PF group. The HS group exhibited reduced mRNA levels of EAAT3 and PepT1, along with elevated mRNA levels of CAT1, GLUT5, and FATP6 in the jejunum compared to the NC or PF groups, respectively (p < 0.05). Furthermore, HS resulted in a significant deterioration of jejunal morphology and goblet cell count compared to the NC and PF groups (p < 0.05). Serum fluorescein isothiocyanate-dextran levels were significantly higher in HS ducks than in NC ducks (p < 0.05), but did not differ from PF ducks. At order-level classification of ileal mucosal microbiota, HS markedly increased the relative abundance of Bacillales, Deferribacterales, and Actinomycetales versus NC (p < 0.05), while significantly decreasing Bifidobacteriales abundance relative to PF (p < 0.05). Collectively, HS induces a leaky gut and microbiota dysbiosis that compromises gut health, thereby reducing dietary nutrient utilization in Pekin ducks. The observed reduction in feed intake constitutes a primary driver of intestinal health deterioration in heat-stressed Pekin ducks. Full article
(This article belongs to the Section Poultry)
Show Figures

Figure 1

17 pages, 489 KB  
Article
Protease Enzyme Supplementation in Weaning Piglets Fed Reduced Crude Protein Diets: Effects on Gut Health Integrity and Performance Response
by Nathana Rudio Furlani, Stephane Alverina Briguente Da Motta, Bruno Teixeira Ramos, Wender Vieira Fernandes, Maria Rogervânia Silva de Farias, Rony Riveros, Tarciso Tizziani and Melissa Izabel Hannas
Animals 2025, 15(14), 2109; https://doi.org/10.3390/ani15142109 - 17 Jul 2025
Viewed by 939
Abstract
Two trials evaluated the effects of dietary protease inclusion in weaned piglets fed diets with or without crude protein (CP) reduction, focusing on performance, intestinal health, and amino acid digestibility. In Trial I, 270 piglets (21–63 days) received six treatments: control (PC), PC [...] Read more.
Two trials evaluated the effects of dietary protease inclusion in weaned piglets fed diets with or without crude protein (CP) reduction, focusing on performance, intestinal health, and amino acid digestibility. In Trial I, 270 piglets (21–63 days) received six treatments: control (PC), PC with 100 g/ton protease A (PC+A), CP reduced by 1.0% (NC1) or 1.5% (NC1.5), NC1.5 with 50 g/ton protease A (NC1.5+A), and NC1.5 with 50 g/ton protease B (NC1.5+B). PC+A improved weight gain, feed intake, and feed conversion compared with NC1.5+A. The incidence of diarrhea was reduced in animals fed protease-supplemented diets (PC+A, NC1.5+A and NC1.5+B). PC had greater ileal villus height than NC1.5+B, and PC+A showed a higher jejunal villus-to-crypt ratio than reduced CP groups. NC1.5+B increased jejunal expression of IL-6, TNF-α, and haptoglobin. In Trial II, 12 ileal-cannulated piglets received diets with or without protease A. Protease improved the standardized ileal digestibility (SID) of methionine+cysteine and tryptophan but reduced the SID of glycine and proline. While protease supplementation can improve some amino acids (Met+Cys and Thr) protein digestibility, our findings suggest it cannot fully replace careful amino acid balancing in CP-reduced diets. However, protease-supplemented diets were associated with improved intestinal morphometry and a reduced incidence of diarrhea. Full article
(This article belongs to the Section Animal Nutrition)
Show Figures

Figure 1

14 pages, 255 KB  
Article
Role of a Precision Biotic Fed to Dekalb White Laying Hens at Peak Production
by ElsiAnna Rodewald, Brooke Jasek, Li Zhang, Stacey Roberts, Cristiano Bortoluzzi and Pratima Adhikari
Animals 2025, 15(14), 2095; https://doi.org/10.3390/ani15142095 - 16 Jul 2025
Viewed by 642
Abstract
The objective of this study was to determine the effects of two levels of a precision biotic (PB) within a reduced CP diet for performance, digestibility, and blood biomarkers in Dekalb White laying hens from 24 to 42 weeks of age. A total [...] Read more.
The objective of this study was to determine the effects of two levels of a precision biotic (PB) within a reduced CP diet for performance, digestibility, and blood biomarkers in Dekalb White laying hens from 24 to 42 weeks of age. A total of four diets were fed: (1) an industry-standard positive control (PC) diet with a formulated CP level of 17.5%; (2) a negative control (NC) diet with a formulated CP level of 15.5%; (3) NC with 0.5 kg/ton PB (NC+PB1); (4) NC with 0.7 kg/ton PB (NC+PB2). The NC diet decreased hen–day egg production compared to the PC diet, and supplementation with both levels of PB led to intermediate levels of production. There was a similar trend for the feed conversion ratio (FCR), measured in kilograms of feed per dozen eggs. Feed cost was lower in the reduced CP diets compared to the PC. Apparent total tract digestibility was decreased with PB supplementation without differences in apparent ileal digestibility. The increased plasma uric acid levels in the NC+PB2 group suggest a shift in protein metabolism toward higher efficiency in ammonia detoxification. While more research is needed on PB, this research suggests that supplementation with PB in laying hens could potentially improve performance parameters. Full article
(This article belongs to the Section Poultry)
11 pages, 274 KB  
Article
The Optimal Digestible Leucine-to-Lysine Ratio in Wheat-Based Diets for Finishing Broilers
by Diana Siebert and Christian Scharch
Animals 2025, 15(14), 2092; https://doi.org/10.3390/ani15142092 - 15 Jul 2025
Viewed by 883
Abstract
Male Ross 308 finisher (19 to 33 days) broiler chickens (n = 672) were used to determine the standardized ileal digestible (SID) leucine (Leu)-to-lysine (Lys) ratio for the maximum growth performance and slaughter parameters. A basal diet (incl. wheat, triticale, soybean meal, [...] Read more.
Male Ross 308 finisher (19 to 33 days) broiler chickens (n = 672) were used to determine the standardized ileal digestible (SID) leucine (Leu)-to-lysine (Lys) ratio for the maximum growth performance and slaughter parameters. A basal diet (incl. wheat, triticale, soybean meal, sunflower meal, and synthetic amino acids) deficient in Leu was formulated, and supplementary L-Leu was used to achieve 0.9 and 1.25 SID Leu-to-Lys ratios in increments of 0.05. A slight deficiency in lysine was implemented to truly relate broiler performance to changes in the SID Leu-to-Lys ratio. Diets were fed to broilers in seven pens (12 broilers each). Eight birds per pen were used for carcass evaluation on day 33. Data analysis indicated that SID Leu-to-Lys ratios between 0.96 and 1.025 were required to achieve 95% and 98% of the maximum body weight gain, daily feed consumption, and the European production efficacy factor, respectively. The estimation of recommended SID Leu-to-Lys ratios for the feed conversion ratio and carcass parameters was not possible. Full article
11 pages, 904 KB  
Article
Lowering the Dietary Crude Protein Content Whilst Maintaining Standardized Ileal Digestible Lysine to Crude Protein Ratios Improves Growth and Reduces Diarrhoea in Weaner Pigs
by James E. Langley, Kate J. Plush, Surinder S. Chauhan, John R. Pluske, Sally Tritton, Frank R. Dunshea and Jeremy J. Cottrell
Agriculture 2025, 15(14), 1516; https://doi.org/10.3390/agriculture15141516 - 14 Jul 2025
Viewed by 2151
Abstract
The use of lower crude protein (CP) diets immediately after weaning has long been associated with reduced post-weaning diarrhoea (PWD). However, failing to maintain an appropriate standardized ileal digestible lysine ratio (SID: Lys) may outweigh the benefits in improving PWD outcomes. In this [...] Read more.
The use of lower crude protein (CP) diets immediately after weaning has long been associated with reduced post-weaning diarrhoea (PWD). However, failing to maintain an appropriate standardized ileal digestible lysine ratio (SID: Lys) may outweigh the benefits in improving PWD outcomes. In this experiment, 560 weaners were fed either a control diet (CON; 20.6% crude protein 1.34% standardized ileal digestible lysine, SID Lys: CP = 0.06), LH: a low crude protein, higher SID Lys: CP ratio diet (19.0% CP, 1.34% SID Lys, SID Lys: CP = 0.07), or LL: a low crude protein control SID Lys: CP ratio diet (18.7% CP, 1.1% SID Lys, SID Lys: CP = 0.05) for 1 week after weaning. Pigs were scored for the presence or absence of diarrhoea for 12 days after weaning. Blood samples were taken on days 5, 12 and 28 for inflammatory marker analyses and plasma creatinine analyses. Relative to the CON diet, there was a 42% reduction in the diarrhoea index in pigs fed the LH diet and a 63% reduction in those fed the LL diet (p < 0.05), but LH was significantly higher than LL. There tended to be a greater average daily gain in the LH diet in the first week post-wean (p = 0.054). In summary, lower crude protein diets, irrespective of Lys: CP ratio, were found to be effective at reducing PWD. Moreover, increasing the SID Lys: CP ratio by reducing the CP content of diets from 20.6 to 19% appeared to improve post-weaning growth. Full article
(This article belongs to the Special Issue Effects of Dietary Interventions on Monogastric Animal Production)
Show Figures

Figure 1

14 pages, 262 KB  
Article
From Nutritional Profiles to Digestibility Insights: Exploring Palm Kernel Cake and Decanter Cake in Broiler Diets
by Mohammad Naeem Azizi, Teck Chwen Loh, Eric Lim Teik Chung, Muhamad Faris Ab Aziz, Hooi Ling Foo, Jiaxiang Liu, Zakaria Aiman Farzana and Letchumanan Samuel Raj
Animals 2025, 15(13), 1966; https://doi.org/10.3390/ani15131966 - 4 Jul 2025
Viewed by 1513
Abstract
Feed costs constitute the largest expense in poultry production, prompting the exploration of locally available, low-cost alternatives, such as palm oil by-products, to reduce production costs [...] Full article
(This article belongs to the Special Issue Alternative Protein Sources for Animal Feeds)
16 pages, 591 KB  
Article
Variability in Fishmeal Nutritional Value in Weaned Pigs and Development of Predictive Equations
by Pei Yang, Xiaoyan Su, Bin Li, Junqi Jin, Bing Yu, Jun He, Jie Yu, Quyuan Wang, Huifen Wang, Daiwen Chen and Hui Yan
Animals 2025, 15(13), 1872; https://doi.org/10.3390/ani15131872 - 24 Jun 2025
Viewed by 492
Abstract
The apparent ileal digestibility (AID) and standardized ileal digestibility (SID) of amino acids, digestible energy (DE), metabolizable energy (ME), and the apparent total tract digestibility (ATTD) of nutrients in 10 fishmeal (FM) samples were evaluated in weaned barrows (Duroc × Landrace × Yorkshire) [...] Read more.
The apparent ileal digestibility (AID) and standardized ileal digestibility (SID) of amino acids, digestible energy (DE), metabolizable energy (ME), and the apparent total tract digestibility (ATTD) of nutrients in 10 fishmeal (FM) samples were evaluated in weaned barrows (Duroc × Landrace × Yorkshire) using two experiments. In Experiment 1, 11 piglets (18.87 ± 0.10 kg) fitted with T-cannulas were randomly allocated to an 11 × 6 Latin-square design with 11 diets (1 nitrogen-free diet and 10 assay diets) and six periods. The AID and SID of all amino acids (AAs) except proline showed significant differences among all FM (p < 0.05). Importantly, the SID of amino acids was positively correlated with key antioxidant markers and immune parameters, and it was negatively correlated with oxidative stress markers (MDA) and pro-inflammatory cytokines (IL-2 and IL-6). In Experiment 2, 11 piglets (18.05 ± 1.15 kg) were assigned to an 11 × 5 Latin-square design with 11 diets (a 96.35% corn diet and 10 assay diets) and five consecutive periods. Significant variations were observed in the DE, ME, and ATTD of dry matter among different FM samples (p < 0.05). Moreover, predictive equations for estimating the SID of lysine, methionine, threonine, and tryptophan, as well as DE and ME, were established using stepwise regression analysis based on the chemical composition of the FM. These findings demonstrate that the nutritional value of FM in nursery pig diets has been underestimated, and this study provides precise data and predictive methods for evaluating the nutritional quality of FM in precision nutrition. Full article
(This article belongs to the Section Pigs)
Show Figures

Figure 1

17 pages, 607 KB  
Article
Influence of Dietary Energy and Lysine Concentration on Layer Hen Performance and Egg Quality During Peak Production
by Gert Coertze, Rene Kwakkel, Laura Star and Christine Jansen van Rensburg
Poultry 2025, 4(2), 26; https://doi.org/10.3390/poultry4020026 - 17 Jun 2025
Cited by 1 | Viewed by 2199
Abstract
Limited published data areavailable on the current DLys requirements of Hy-Line Silver-Brown layers. The effects of energy (AMEn) and standardized ileal digestible lysine (DLys) concentration on the performance of Hy-Line Silver-Brown layers were studied from 20 to 35 weeks [...] Read more.
Limited published data areavailable on the current DLys requirements of Hy-Line Silver-Brown layers. The effects of energy (AMEn) and standardized ileal digestible lysine (DLys) concentration on the performance of Hy-Line Silver-Brown layers were studied from 20 to 35 weeks of age. The experimental design was randomized with twenty-four dietary treatments arranged as a 2 × 12 factorial with two AMEn concentrations (2750 and 2900 kcal/kg feed) and twelve levels of DLys (4.2, 4.5, 4.8, 5.1, 5.4, 5.7, 6.0, 6.6, 6.3, 6.9, 7.2, and 7.5 g/kg). Total egg weight (TEW), average egg weight, total egg number (TEN), laying rate, total feed intake, average daily feed intake (ADFI), mortality, hen body weight, hen body weight gain, eggshell thickness, eggshell breaking strength, yolk weight, albumen weight, and eggshell weight were recorded. An increase in energy content from 2750 to 2900 kcal AMEn/kg reduced ADFI (p < 0.001), egg mass output (p = 0.042), and feed conversion ratio (p = 0.018, g/g; p = 0.001, g/dozen) and increased the fat percentage in the liver (p = 0.028). An increased DLys intake from 529 to 882 mg/hen/day increased the TEN (p = 0.001), TEW (p < 0.001), and egg mass output (p < 0.001); improved the feed conversion ratio (p < 0.001); and reduced carcass (p = 0.001) and liver fat percentage (p = 0.05). Hy-Line Silver-Brown hens require no more than 780 mg (optimized egg production) and 880 mg (maximized egg weight) DLys/hen/day during pre-peak and peak production phases. Full article
(This article belongs to the Collection Poultry Nutrition)
Show Figures

Figure 1

17 pages, 265 KB  
Article
Feeding Broilers with Reduced Dietary Crude Protein or Reduced Soybean Meal Diets Has No Negative Impact on the Performance and Carcass Traits While Reducing the Feed Global Warming Potential
by Bart Matton, Adriaan Verhelle, Lise Vlerick, Katrijn Keirsschieter and Behnam Saremi
Animals 2025, 15(12), 1753; https://doi.org/10.3390/ani15121753 - 13 Jun 2025
Viewed by 1433
Abstract
One way to reduce the environmental impact of the European poultry industry is to feed birds with low crude protein (CP) or low soybean meal (SBM) diets, leading to less SBM import. In this paper, the objective was to examine if low CP [...] Read more.
One way to reduce the environmental impact of the European poultry industry is to feed birds with low crude protein (CP) or low soybean meal (SBM) diets, leading to less SBM import. In this paper, the objective was to examine if low CP and a feed limitation of SBM could be applied to reduce the global warming potential (GWP) of feed without a negative impact of the performance and slaughter parameters. Male Ross 308 birds (n = 1350) were divided between six treatments in a completely randomized design. In a three-phase feeding system, the dietary CP was reduced either only in the finisher phase (from 19% to 17% CP), in the grower phase (from 20% to 19% CP) and finisher phase, or in the starter (from 21% to 20% CP), grower, and finisher phases. In two additional groups, SBM inclusion in feed was reduced in each life phase either to a maximum of 15% SBM (low) or 0% SBM (zero) compared to a positive control (PC) group based on Aviagen 2019 recommendations, modified to 112% for standardized ileal digestibility (SID) arginine (Arg) to lysine (Lys) and 38% for SID histidine (His) to Lys. Data were analyzed with R (Version 4.2.0) using linear regression models. Opteinics™ (Chemovator, Mannheim, Germany) was used to calculate feed GWP. Means were compared with multiple comparisons corrected with Tukey’s test. Low CP diets had no negative effect on performance, carcass weight, and breast meat weight compared to the PC irrespective of the phase in which CP reduction was initiated. Both zero and low SBM groups had superior body weight (p < 0.05), weight gain (p < 0.05), and FCR (p < 0.05) compared to PC at d35. The low and zero SBM groups had higher carcass weight (p < 0.05) and breast meat weight (p < 0.05) compared to the PC. Both low CP and limiting SBM inclusion in feed positively improved the feed GWP compared to the PC. In conclusion, low CP diets can be applied in broilers during a 35 d growth period or specific phases thereof, with no negative impacts on performance parameters. Low and zero SBM-based diets showed superior performance and carcass weight in comparison to a conventional SBM-driven diet. Both strategies can be used to reduce the GWP of feed. Full article
(This article belongs to the Section Animal Nutrition)
29 pages, 790 KB  
Article
Effect of Maternal Probiotic and Piglet Dietary Tryptophan Level on Performance and Piglet Intestinal Health Parameters Pre-Weaning
by Dillon P. Kiernan, John V. O’Doherty, Marion T. Ryan and Torres Sweeney
Microorganisms 2025, 13(6), 1264; https://doi.org/10.3390/microorganisms13061264 - 29 May 2025
Viewed by 1068
Abstract
A 2 × 3 factorial design was used to examine the effects of maternal probiotic supplementation (Bacillus subtilis and Bacillus amyloliquefaciens) and/or piglet dietary Trp levels on sow performance and fecal microbiota composition, as well as offspring pre-weaning performance and intestinal [...] Read more.
A 2 × 3 factorial design was used to examine the effects of maternal probiotic supplementation (Bacillus subtilis and Bacillus amyloliquefaciens) and/or piglet dietary Trp levels on sow performance and fecal microbiota composition, as well as offspring pre-weaning performance and intestinal health parameters on the day of weaning. On day 83 of gestation, 48 sows were allocated to either: (1) control, or (2) control + probiotic (1.1 × 109 colony forming units/kg of feed). Their litters were assigned to 0.22, 0.27, or 0.33% standardized ileal digestible (SID) Trp diets (0.17, 0.21 and 0.25 SID ratio of Trp to lysine (Trp:Lys), SID lysine = 1.3%). At weaning, one piglet per litter was sacrificed for intestinal health analysis. Diet had no effect on sow reproductive or offspring growth performance pre-weaning (p > 0.05). Maternal probiotic supplementation led to distinct microbial communities in the sow feces on day 114 of gestation, increasing the relative abundance of Anaerocella and Sporobacter, while decreasing Lactobacillus, Ruminococcus, and Christensenella (p < 0.05). In the offspring colonic digesta, maternal probiotic supplementation increased Dorea, Sporobacter, and Anaerobacterium, while reducing the potentially harmful phylum Proteobacteria, specifically the family Enterobacteriaceae (p < 0.05), with a tendency for a reduction in the genus Escherichia (p < 0.1). Maternal probiotic supplementation enhanced duodenal morphology and modulated the expression of genes in the ileum, including a downregulation of certain immune and barrier defense genes (p < 0.05). Piglets from probiotic sows had reduced branch chain fatty acids (BCFA) in the cecal digesta and an increase in the total VFA and acetate in the colonic digesta (p < 0.05). There were limited effects of Trp level in the offspring’s creep diet or maternal × creep interactions, though this analysis was likely confounded by the low creep feed intake (total of ~0.83 kg/litter). Full article
(This article belongs to the Special Issue Probiotics, Prebiotics, and Gut Microbes—Second Edition)
Show Figures

Figure 1

11 pages, 232 KB  
Article
SID Trp–Lys Ratio on Pig Performance and Immune Response After LPS Challenge
by Stephane Alverina Briguente Da Motta, Nathana Rudio Furlani, Antonio Carlos Lourenço, Sergio Xavier Silva Junior, Juliana Cristina Ramos Rezende and Melissa Izabel Hannas
Animals 2025, 15(9), 1194; https://doi.org/10.3390/ani15091194 - 23 Apr 2025
Viewed by 1033
Abstract
This study aimed to evaluate the effects of the standardized ileal digestible tryptophan-to-lysine (SID Trp–Lys) ratio through the supplementation of different levels of L-tryptophan on pig performance and immune response following an LPS challenge. A total of 120 entire male pigs, with an [...] Read more.
This study aimed to evaluate the effects of the standardized ileal digestible tryptophan-to-lysine (SID Trp–Lys) ratio through the supplementation of different levels of L-tryptophan on pig performance and immune response following an LPS challenge. A total of 120 entire male pigs, with an average body weight of 16.5 ± 0.50 kg, were allocated in a randomized block design with four treatments, ten replicates per treatment, and three animals per experimental unit. The experimental treatments consisted of SID Trp–Lys ratios of 16%, 18%, 21%, and 24%, achieved through L-tryptophan supplementation. The evaluated performance parameters included the final body weight (BW), average daily gain (ADG), average daily feed intake (ADFI), and feed conversion ratio (FCR). Blood samples were collected on day 21 to determine serum serotonin levels, and on day 26, pigs were inoculated with LPS to induce an immune challenge, followed by blood sampling to assess cytokine responses. The results showed that pigs fed the 16% SID Trp–Lys ratio exhibited a lower FBW (p < 0.05). The SID Trp–Lys ratios influenced performance parameters, with quadratic responses (p < 0.05) observed for the FBW and FCR, where the highest FBW and lowest FCR were recorded at 22.05% and 21% SID Trp–Lys, respectively. A linear increase (p < 0.05) was observed for ADG, with a trend for a linear increase (p = 0.056) in ADFI. No effects (p > 0.10) of the SID Trp–Lys ratios were detected on serum serotonin levels. An increase in cytokine levels (GM-CSF, IFN-γ, IL-1α, IL-1β, IL-1ra, IL-4, IL-6, IL-8, IL-10, IL-12, IL-18, and TNF-α) was observed in pigs challenged with LPS (p < 0.10) compared to non-challenged animals. An interaction effect (p < 0.10) was detected for IL-2 and IL-18. SID Trp–Lys ratios between 21% and 24% optimize growth performance in pigs from 16 to 33 kg and modulate the immune response under LPS-induced challenge conditions. Full article
Back to TopTop