Sign in to use this feature.

Years

Between: -

Subjects

remove_circle_outline
remove_circle_outline
remove_circle_outline
remove_circle_outline
remove_circle_outline
remove_circle_outline

Journals

Article Types

Countries / Regions

Search Results (14)

Search Parameters:
Keywords = spike and slab priors

Order results
Result details
Results per page
Select all
Export citation of selected articles as:
20 pages, 10452 KB  
Article
Nonlocal Prior Mixture-Based Bayesian Wavelet Regression with Application to Noisy Imaging and Audio Data
by Nilotpal Sanyal
Mathematics 2025, 13(16), 2642; https://doi.org/10.3390/math13162642 - 17 Aug 2025
Viewed by 375
Abstract
We propose a novel Bayesian wavelet regression approach using a three-component spike-and-slab prior for wavelet coefficients, combining a point mass at zero, a moment (MOM) prior, and an inverse moment (IMOM) prior. This flexible prior supports small and large coefficients differently, offering advantages [...] Read more.
We propose a novel Bayesian wavelet regression approach using a three-component spike-and-slab prior for wavelet coefficients, combining a point mass at zero, a moment (MOM) prior, and an inverse moment (IMOM) prior. This flexible prior supports small and large coefficients differently, offering advantages for highly dispersed data where wavelet coefficients span multiple scales. The IMOM prior’s heavy tails capture large coefficients, while the MOM prior is better suited for smaller non-zero coefficients. Further, our method introduces innovative hyperparameter specifications for mixture probabilities and scale parameters, including generalized logit, hyperbolic secant, and generalized normal decay for probabilities, and double exponential decay for scaling. Hyperparameters are estimated via an empirical Bayes approach, enabling posterior inference tailored to the data. Extensive simulations demonstrate significant performance gains over two-component wavelet methods. Applications to electroencephalography and noisy audio data illustrate the method’s utility in capturing complex signal characteristics. We implement our method in an R package, NLPwavelet (≥1.1). Full article
(This article belongs to the Special Issue Bayesian Statistics and Applications)
Show Figures

Figure 1

18 pages, 487 KB  
Article
Variational Bayesian Variable Selection in Logistic Regression Based on Spike-and-Slab Lasso
by Juanjuan Zhang, Weixian Wang, Mingming Yang and Maozai Tian
Mathematics 2025, 13(13), 2205; https://doi.org/10.3390/math13132205 - 6 Jul 2025
Viewed by 1003
Abstract
Logistic regression is often used to solve classification problems. This article combines the advantages of Bayesian methods and spike-and-slab Lasso to select variables in high-dimensional logistic regression. The method of introducing a new hidden variable or approximating the lower bound is used to [...] Read more.
Logistic regression is often used to solve classification problems. This article combines the advantages of Bayesian methods and spike-and-slab Lasso to select variables in high-dimensional logistic regression. The method of introducing a new hidden variable or approximating the lower bound is used to solve the problem of logistic functions without conjugate priors. The Laplace distribution in spike-and-slab Lasso is expressed as a hierarchical form of normal distribution and exponential distribution, so that all parameters in the model are posterior distributions that are easy to deal with. Considering the high time cost of parameter estimation and variable selection in high-dimensional models, we use the variational Bayesian algorithm to perform posterior inference on the parameters in the model. From the simulation results, it can be seen that it is an adaptive prior that can perform parameter estimation and variable selection well in high-dimensional logistic regression. From the perspective of algorithm running time, the method proposed in this article also has high computational efficiency in many cases. Full article
(This article belongs to the Section D: Statistics and Operational Research)
Show Figures

Figure 1

19 pages, 872 KB  
Article
Variational Bayesian Quantile Regression with Non-Ignorable Missing Response Data
by Juanjuan Zhang, Weixian Wang and Maozai Tian
Axioms 2025, 14(6), 408; https://doi.org/10.3390/axioms14060408 - 27 May 2025
Viewed by 652
Abstract
For non-ignorable missing response variables, the mechanism of whether the response variable is missing can be modeled through logistic regression. In Bayesian computation, the lack of a conjugate prior for the logistic function poses a significant challenge. Introducing a new Pólya-Gamma variable and [...] Read more.
For non-ignorable missing response variables, the mechanism of whether the response variable is missing can be modeled through logistic regression. In Bayesian computation, the lack of a conjugate prior for the logistic function poses a significant challenge. Introducing a new Pólya-Gamma variable and employing lower-bound approximation are two common methods for parameter inference in conjugate Bayesian logistic regression. It can be observed that these two methods yield essentially the same variational posterior in the calculation of the variational Bayesian posterior. This paper applies a popular Bayesian spike-and-slab LASSO prior for variable selection in quantile regression with non-ignorable missing response variables, which demonstrates good performance in both simulations and practical applications. Full article
Show Figures

Figure 1

16 pages, 1384 KB  
Article
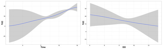
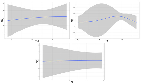
A Weighted Bayesian Kernel Machine Regression Approach for Predicting the Growth of Indoor-Cultured Abalone
by Seung-Won Seo, Gyumin Choi, Ho-Jin Jung, Mi-Jin Choi, Young-Dae Oh, Hyun-Seok Jang, Han-Kyu Lim and Seongil Jo
Appl. Sci. 2025, 15(2), 708; https://doi.org/10.3390/app15020708 - 13 Jan 2025
Cited by 1 | Viewed by 1213
Abstract
The cultivation of abalone, a species with high economic value, faces significant challenges due to its slow growth rate and sensitivity to environmental conditions, resulting in prolonged cultivation periods and increased mortality risks. To address these challenges, we propose a novel probabilistic machine [...] Read more.
The cultivation of abalone, a species with high economic value, faces significant challenges due to its slow growth rate and sensitivity to environmental conditions, resulting in prolonged cultivation periods and increased mortality risks. To address these challenges, we propose a novel probabilistic machine learning approach based on a Bayesian framework to predict abalone growth by modeling key environmental factors, including water temperature, pH, salinity, nutrient supply, and dissolved oxygen levels. The proposed method employs a weighted Bayesian kernel machine regression model, integrating Gaussian processes with a spike-and-slab prior to identify influential variables. This approach accommodates heteroscedasticity, capturing varying levels of variance across observations, and models complex, non-linear relationships between environmental factors and abalone growth. Our analysis reveals that time, dissolved oxygen, salinity, and nutrient supply are the most critical factors influencing growth, while water temperature and pH play relatively minor roles under controlled indoor farming conditions. Interaction analysis highlights the non-linear dependencies among factors, such as the combined effects of salinity and nutrient supply. The proposed model not only improves prediction accuracy compared to baseline methods, but also provides actionable insights into the environmental dynamics that optimize abalone growth. These findings underscore the potential of advanced machine learning techniques in enhancing aquaculture practices and offer a robust framework for managing complex, multi-variable systems in sustainable farming. Full article
Show Figures

Figure 1

22 pages, 4472 KB  
Article
Epilepsy Prediction and Detection Using Attention-CssCDBN with Dual-Task Learning
by Weizheng Qiao, Xiaojun Bi, Lu Han and Yulin Zhang
Sensors 2025, 25(1), 51; https://doi.org/10.3390/s25010051 - 25 Dec 2024
Cited by 5 | Viewed by 2050
Abstract
Epilepsy is a group of neurological disorders characterized by epileptic seizures, and it affects tens of millions of people worldwide. Currently, the most effective diagnostic method employs the monitoring of brain activity through electroencephalogram (EEG). However, it is critical to predict epileptic seizures [...] Read more.
Epilepsy is a group of neurological disorders characterized by epileptic seizures, and it affects tens of millions of people worldwide. Currently, the most effective diagnostic method employs the monitoring of brain activity through electroencephalogram (EEG). However, it is critical to predict epileptic seizures in patients prior to their onset, allowing for the administration of preventive medications before the seizure occurs. As a pivotal application of artificial intelligence in medical treatment, learning the features of EEGs for epilepsy prediction and detection remains a challenging problem, primarily due to the presence of intra-class and inter-class variations in EEG signals. In this study, we propose the spatio-temporal EEGNet, which integrates contractive slab and spike convolutional deep belief network (CssCDBN) with a self-attention architecture, augmented by dual-task learning to address this issue. Initially, our model was designed to extract high-order and deep representations from EEG spectrum images, enabling the simultaneous capture of spatial and temporal information. Furthermore, EEG-based verification aids in reducing intra-class variation by considering the time correlation of the EEG during the fine-tuning stage, resulting in easier inference and training. The results demonstrate the notable efficacy of our proposed method. Our method achieved a sensitivity of 98.5%, a false-positive rate (FPR) of 0.041, a prediction time of 50.92 min during the epilepsy prediction task, and an accuracy of 94.1% during the epilepsy detection task, demonstrating significant improvements over current state-of-the-art methods. Full article
Show Figures

Figure 1

23 pages, 1126 KB  
Article
Bayesian Feature Extraction for Two-Part Latent Variable Model with Polytomous Manifestations
by Qi Zhang, Yihui Zhang and Yemao Xia
Mathematics 2024, 12(5), 783; https://doi.org/10.3390/math12050783 - 6 Mar 2024
Viewed by 1662
Abstract
Semi-continuous data are very common in social sciences and economics. In this paper, a Bayesian variable selection procedure is developed to assess the influence of observed and/or unobserved exogenous factors on semi-continuous data. Our formulation is based on a two-part latent variable model [...] Read more.
Semi-continuous data are very common in social sciences and economics. In this paper, a Bayesian variable selection procedure is developed to assess the influence of observed and/or unobserved exogenous factors on semi-continuous data. Our formulation is based on a two-part latent variable model with polytomous responses. We consider two schemes for the penalties of regression coefficients and factor loadings: a Bayesian spike and slab bimodal prior and a Bayesian lasso prior. Within the Bayesian framework, we implement a Markov chain Monte Carlo sampling method to conduct posterior inference. To facilitate posterior sampling, we recast the logistic model from Part One as a norm-type mixture model. A Gibbs sampler is designed to draw observations from the posterior. Our empirical results show that with suitable values of hyperparameters, the spike and slab bimodal method slightly outperforms Bayesian lasso in the current analysis. Finally, a real example related to the Chinese Household Financial Survey is analyzed to illustrate application of the methodology. Full article
(This article belongs to the Special Issue Multivariate Statistical Analysis and Application)
Show Figures

Figure 1

23 pages, 777 KB  
Article
Adaptive MCMC for Bayesian Variable Selection in Generalised Linear Models and Survival Models
by Xitong Liang, Samuel Livingstone and Jim Griffin
Entropy 2023, 25(9), 1310; https://doi.org/10.3390/e25091310 - 8 Sep 2023
Cited by 3 | Viewed by 2872
Abstract
Developing an efficient computational scheme for high-dimensional Bayesian variable selection in generalised linear models and survival models has always been a challenging problem due to the absence of closed-form solutions to the marginal likelihood. The Reversible Jump Markov Chain Monte Carlo (RJMCMC) approach [...] Read more.
Developing an efficient computational scheme for high-dimensional Bayesian variable selection in generalised linear models and survival models has always been a challenging problem due to the absence of closed-form solutions to the marginal likelihood. The Reversible Jump Markov Chain Monte Carlo (RJMCMC) approach can be employed to jointly sample models and coefficients, but the effective design of the trans-dimensional jumps of RJMCMC can be challenging, making it hard to implement. Alternatively, the marginal likelihood can be derived conditional on latent variables using a data-augmentation scheme (e.g., Pólya-gamma data augmentation for logistic regression) or using other estimation methods. However, suitable data-augmentation schemes are not available for every generalised linear model and survival model, and estimating the marginal likelihood using a Laplace approximation or a correlated pseudo-marginal method can be computationally expensive. In this paper, three main contributions are presented. Firstly, we present an extended Point-wise implementation of Adaptive Random Neighbourhood Informed proposal (PARNI) to efficiently sample models directly from the marginal posterior distributions of generalised linear models and survival models. Secondly, in light of the recently proposed approximate Laplace approximation, we describe an efficient and accurate estimation method for marginal likelihood that involves adaptive parameters. Additionally, we describe a new method to adapt the algorithmic tuning parameters of the PARNI proposal by replacing Rao-Blackwellised estimates with the combination of a warm-start estimate and the ergodic average. We present numerous numerical results from simulated data and eight high-dimensional genetic mapping data-sets to showcase the efficiency of the novel PARNI proposal compared with the baseline add–delete–swap proposal. Full article
Show Figures

Figure 1

22 pages, 410 KB  
Article
High-Dimensional Variable Selection for Quantile Regression Based on Variational Bayesian Method
by Dengluan Dai, Anmin Tang and Jinli Ye
Mathematics 2023, 11(10), 2232; https://doi.org/10.3390/math11102232 - 10 May 2023
Cited by 4 | Viewed by 2981
Abstract
The quantile regression model is widely used in variable relationship research of moderate sized data, due to its strong robustness and more comprehensive description of response variable characteristics. With the increase of data size and data dimensions, there have been some studies on [...] Read more.
The quantile regression model is widely used in variable relationship research of moderate sized data, due to its strong robustness and more comprehensive description of response variable characteristics. With the increase of data size and data dimensions, there have been some studies on high-dimensional quantile regression under the classical statistical framework, including a high-efficiency frequency perspective; however, this comes at the cost of randomness quantification, or the use of a lower efficiency Bayesian method based on MCMC sampling. To overcome these problems, we propose high-dimensional quantile regression with a spike-and-slab lasso penalty based on variational Bayesian (VBSSLQR), which can, not only improve the computational efficiency, but also measure the randomness via variational distributions. Simulation studies and real data analysis illustrated that the proposed VBSSLQR method was superior or equivalent to other quantile and nonquantile regression methods (including Bayesian and non-Bayesian methods), and its efficiency was higher than any other method. Full article
(This article belongs to the Special Issue Big Data Mining and Analytics with Applications)
Show Figures

Figure 1

19 pages, 337 KB  
Article
A Bayesian Variable Selection Method for Spatial Autoregressive Quantile Models
by Yuanying Zhao and Dengke Xu
Mathematics 2023, 11(4), 987; https://doi.org/10.3390/math11040987 - 15 Feb 2023
Cited by 3 | Viewed by 2285
Abstract
In this paper, a Bayesian variable selection method for spatial autoregressive (SAR) quantile models is proposed on the basis of spike and slab prior for regression parameters. The SAR quantile models, which are more generalized than SAR models and quantile regression models, are [...] Read more.
In this paper, a Bayesian variable selection method for spatial autoregressive (SAR) quantile models is proposed on the basis of spike and slab prior for regression parameters. The SAR quantile models, which are more generalized than SAR models and quantile regression models, are specified by adopting the asymmetric Laplace distribution for the error term in the classical SAR models. The proposed approach could perform simultaneously robust parametric estimation and variable selection in the context of SAR quantile models. Bayesian statistical inferences are implemented by a detailed Markov chain Monte Carlo (MCMC) procedure that combines Gibbs samplers with a probability integral transformation (PIT) algorithm. In the end, empirical numerical examples including several simulation studies and a Boston housing price data analysis are employed to demonstrate the newly developed methodologies. Full article
(This article belongs to the Special Issue Recent Advances in Computational Statistics)
14 pages, 797 KB  
Article
High-Resolution Through-the-Wall Radar Imaging with Exploitation of Target Structure
by Chendong Xu and Qisong Wu
Appl. Sci. 2022, 12(22), 11684; https://doi.org/10.3390/app122211684 - 17 Nov 2022
Cited by 3 | Viewed by 2319
Abstract
It is quite challenging for through-the-wall radar imaging (TWRI) to achieve high-resolution ghost-free imaging with limited measurements in an indoor multipath scenario. In this paper, a novel high-resolution TWRI algorithm with the exploitation of the target clustered structure in a hierarchical Bayesian framework [...] Read more.
It is quite challenging for through-the-wall radar imaging (TWRI) to achieve high-resolution ghost-free imaging with limited measurements in an indoor multipath scenario. In this paper, a novel high-resolution TWRI algorithm with the exploitation of the target clustered structure in a hierarchical Bayesian framework is proposed. More specifically, an extended spike-and-slab clustered prior is imposed to statistically encourage the cluster formations in both downrange and crossrange domains of the target region, and a generative model of the proposed approach is provided. Then, a Markov Chain Monte Carol (MCMC) sampler is used to implement the posterior inference. Compared to other state-of-the-art algorithms, the proposed nonparametric Bayesian algorithm can preserve underlying target clustered properties and effectively suppress these isolated spurious scatterers without any prior information on targets themselves, such as sizes, shapes, and numbers. Full article
(This article belongs to the Special Issue Through-the-Wall Radar Imaging Based on Deep Learning)
Show Figures

Figure 1

19 pages, 869 KB  
Article
Variational Bayesian Inference in High-Dimensional Linear Mixed Models
by Jieyi Yi and Niansheng Tang
Mathematics 2022, 10(3), 463; https://doi.org/10.3390/math10030463 - 31 Jan 2022
Cited by 9 | Viewed by 4854
Abstract
In high-dimensional regression models, the Bayesian lasso with the Gaussian spike and slab priors is widely adopted to select variables and estimate unknown parameters. However, it involves large matrix computations in a standard Gibbs sampler. To solve this issue, the Skinny Gibbs sampler [...] Read more.
In high-dimensional regression models, the Bayesian lasso with the Gaussian spike and slab priors is widely adopted to select variables and estimate unknown parameters. However, it involves large matrix computations in a standard Gibbs sampler. To solve this issue, the Skinny Gibbs sampler is employed to draw observations required for Bayesian variable selection. However, when the sample size is much smaller than the number of variables, the computation is rather time-consuming. As an alternative to the Skinny Gibbs sampler, we develop a variational Bayesian approach to simultaneously select variables and estimate parameters in high-dimensional linear mixed models under the Gaussian spike and slab priors of population-specific fixed-effects regression coefficients, which are reformulated as a mixture of a normal distribution and an exponential distribution. The coordinate ascent algorithm, which can be implemented efficiently, is proposed to optimize the evidence lower bound. The Bayes factor, which can be computed with the path sampling technique, is presented to compare two competing models in the variational Bayesian framework. Simulation studies are conducted to assess the performance of the proposed variational Bayesian method. An empirical example is analyzed by the proposed methodologies. Full article
(This article belongs to the Special Issue Bayesian Inference and Modeling with Applications)
27 pages, 1580 KB  
Article
Mixture of Species Sampling Models
by Federico Bassetti and Lucia Ladelli
Mathematics 2021, 9(23), 3127; https://doi.org/10.3390/math9233127 - 4 Dec 2021
Cited by 2 | Viewed by 2263
Abstract
We introduce mixtures of species sampling sequences (mSSS) and discuss how these sequences are related to various types of Bayesian models. As a particular case, we recover species sampling sequences with general (not necessarily diffuse) base measures. These models include some “spike-and-slab” non-parametric [...] Read more.
We introduce mixtures of species sampling sequences (mSSS) and discuss how these sequences are related to various types of Bayesian models. As a particular case, we recover species sampling sequences with general (not necessarily diffuse) base measures. These models include some “spike-and-slab” non-parametric priors recently introduced to provide sparsity. Furthermore, we show how mSSS arise while considering hierarchical species sampling random probabilities (e.g., the hierarchical Dirichlet process). Extending previous results, we prove that mSSS are obtained by assigning the values of an exchangeable sequence to the classes of a latent exchangeable random partition. Using this representation, we give an explicit expression of the Exchangeable Partition Probability Function of the partition generated by an mSSS. Some special cases are discussed in detail—in particular, species sampling sequences with general base measures and a mixture of species sampling sequences with Gibbs-type latent partition. Finally, we give explicit expressions of the predictive distributions of an mSSS. Full article
Show Figures

Figure 1

27 pages, 1905 KB  
Article
On the Use of Structured Prior Models for Bayesian Compressive Sensing of Modulated Signals
by Yosra Marnissi, Yasmine Hawwari, Amadou Assoumane, Dany Abboud and Mohamed El-Badaoui
Appl. Sci. 2021, 11(6), 2626; https://doi.org/10.3390/app11062626 - 16 Mar 2021
Viewed by 2024
Abstract
The compressive sensing (CS) of mechanical signals is an emerging research topic for remote condition monitoring. The signals generated by machines are mostly periodic due to the rotating nature of its components. Often, these vibrations witness strong interactions among two or multiple rotating [...] Read more.
The compressive sensing (CS) of mechanical signals is an emerging research topic for remote condition monitoring. The signals generated by machines are mostly periodic due to the rotating nature of its components. Often, these vibrations witness strong interactions among two or multiple rotating sources, leading to modulation phenomena. This paper is specifically concerned with the CS of this particular class of signals using a Bayesian approach. The main contribution of this paper is to consider the particular spectral structure of these signals through two families of hierarchical models. The first one adopts a block-sparse model that jointly estimates the sparse coefficients at identical or symmetrical positions around the carrier frequencies. The second is a spike-and-slab model where the spike component takes into account the symmetrical properties of the support of non-zero-coefficients in the spectrum. The resulting posterior distribution is approximated using a Gibbs sampler. Simulations show that considering the structure in the prior model yields better noise shrinkage and better reconstruction of small side-bands. Application to condition monitoring of a gearbox through CS of vibration signals highlights the good performance of the proposed models in reconstructing the signal, offering an accurate fault detection with relatively high compression rate. Full article
(This article belongs to the Special Issue Bayesian Inference in Inverse Problem)
Show Figures

Figure 1

10 pages, 1263 KB  
Article
Network as a Biomarker: A Novel Network-Based Sparse Bayesian Machine for Pathway-Driven Drug Response Prediction
by Qi Liu, Louis J. Muglia and Lei Frank Huang
Genes 2019, 10(8), 602; https://doi.org/10.3390/genes10080602 - 9 Aug 2019
Cited by 17 | Viewed by 4432
Abstract
With the advances in different biological networks including gene regulation, gene co-expression, protein–protein interaction networks, and advanced approaches for network reconstruction, analysis, and interpretation, it is possible to discover reliable and accurate molecular network-based biomarkers for monitoring cancer treatment. Such efforts will also [...] Read more.
With the advances in different biological networks including gene regulation, gene co-expression, protein–protein interaction networks, and advanced approaches for network reconstruction, analysis, and interpretation, it is possible to discover reliable and accurate molecular network-based biomarkers for monitoring cancer treatment. Such efforts will also pave the way toward the realization of biomarker-driven personalized medicine against cancer. Previously, we have reconstructed disease-specific driver signaling networks using multi-omics profiles and cancer signaling pathway data. In this study, we developed a network-based sparse Bayesian machine (NBSBM) approach, using previously derived disease-specific driver signaling networks to predict cancer cell responses to drugs. NBSBM made use of the information encoded in a disease-specific (differentially expressed) network to improve its prediction performance in problems with a reduced amount of training data and a very high-dimensional feature space. Sparsity in NBSBM is favored by a spike and slab prior distribution, which is combined with a Markov random field prior that encodes the network of feature dependencies. Gene features that are connected in the network are assumed to be both relevant and irrelevant to drug responses. We compared the proposed method with network-based support vector machine (NBSVM) approaches and found that the NBSBM approach could achieve much better accuracy than the other two NBSVM methods. The gene modules selected from the disease-specific driver networks for predicting drug sensitivity might be directly involved in drug sensitivity or resistance. This work provides a disease-specific network-based drug sensitivity prediction approach and can uncover the potential mechanisms of the action of drugs by selecting the most predictive sub-networks from the disease-specific network. Full article
Show Figures

Figure 1

Back to TopTop