A Weighted Bayesian Kernel Machine Regression Approach for Predicting the Growth of Indoor-Cultured Abalone
Abstract
1. Introduction
- We propose a novel weighted Bayesian kernel machine regression (WBKMR) model that integrates Gaussian processes with a spike-and-slab prior, enabling both accurate predictions and variable selection.
- The model explicitly accounts for heteroscedasticity, allowing for varying levels of error variance across observations, which is critical for analyzing aquaculture data.
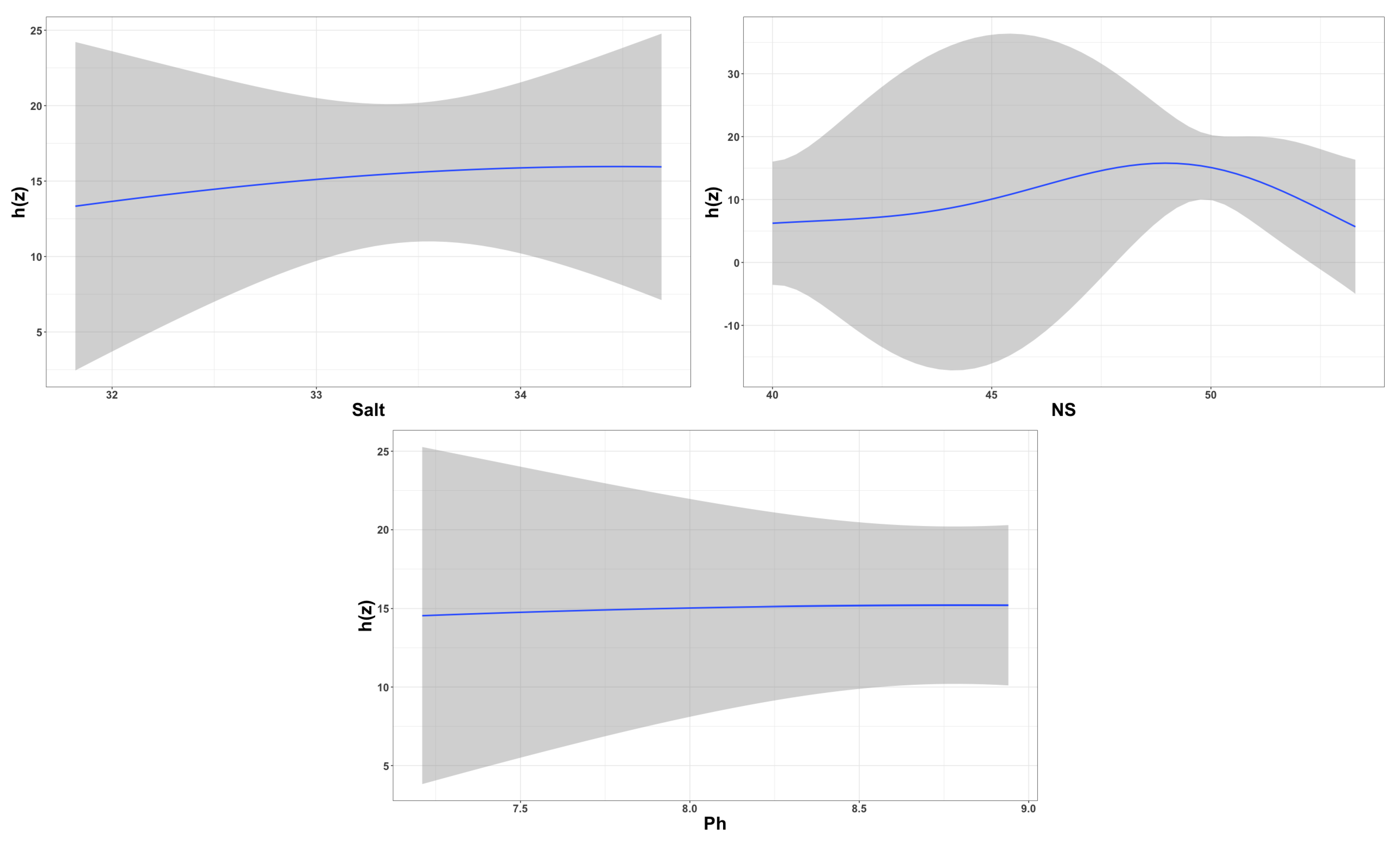
- Using Posterior Inclusion Probability (PIP) analysis, the model identifies the most critical environmental factors, such as dissolved oxygen, nutrient supply, and salinity, and quantifies their relative influence on abalone growth.
- Comparative experiments demonstrate that the proposed model achieves superior predictive accuracy compared to baseline methods.
2. Related Work
3. Background
3.1. Gaussian Processes
3.2. Kernel Machine Regressions
4. Materials and Methods
4.1. Data Description
4.2. Weighted Bayesian Kernel Machine Regression
5. Results
6. Discussions
7. Conclusions
Author Contributions
Funding
Data Availability Statement
Conflicts of Interest
Abbreviations
| BKMR | Bayesian Kernel Machine Regression |
| GP | Gaussian Process |
| MCMC | Markov chain Monte Carlo |
| KMR | Kernel Machine Regression |
| PIP | Posterior Inclusion Probability |
| WBKMR | Weighted Bayesian Kernel Machine Regression |
Appendix A. Markov Chain Monte Carlo Algorithm
- Set initial values for all parameters in .
- For each iteration, sample from the following full conditional posterior distributions:
- (a)
- Step 1: Sample the coefficients for linear fixed effects, , from the full conditional distributionwhere .
- (b)
- Step 2: Sample the variance, , from the full conditional distribution given bywhere .
- (c)
- Step 3: Sample using a Metropolis-Hastings method because the full conditional distribution does not the closed form and is proportional toSpecifically, we generate a candidate sample from a gamma distribution, where the mean is set to the value of from the previous iteration, and the variance is adjusted to achieve an appropriate acceptance rate.
- (d)
- Step 4: Sample using an adaptive Metropolis-Hastings algorithm jointly from the following distributionFor more details, see Bobb et al. (2015) [5].
References
- Korea National Statistical Office. KOSIS Statistical DB. 2018. Available online: http://kosis.kr/index/index.do (accessed on 11 March 2018).
- Won, K.; Kim, B.; Jin, Y.; Park, Y.; Son, M.; Cho, M.; Park, M.; Park, M. Infestation of the Abalone, Haliotis discus hannai, by the Polydora under Intensive Culture Conditions in Korea. J. Fish Pathol. 2013, 26, 139–148. [Google Scholar] [CrossRef]
- Kim, B.; Park, M.; Son, M.; Kim, T.; Myeong, J.; Cho, J. A Study on the Optimum Stocking Density of the Juvenile Abalone, Hailotis discus hannai Net Cage Culture or Indoor Tank Culture. Korean J. Malacol. 2013, 29, 189–195. [Google Scholar] [CrossRef]
- Vosloo, D.; van Rensburg, L.; Vosloo, A. Oxidative stress in abalone: The role of temperature, oxygen and L-proline supplementation. Aquaculture 2013, 416–417, 265–271. [Google Scholar] [CrossRef]
- Bobb, J.F.; Valeri, L.; Claus Henn, B.; Christiani, D.C.; Wright, R.O.; Mazumdar, M. Bayesian kernel machine regression for estimating the health effects of multi-pollutant mixtures. Biostatistics 2015, 16, 493–508. [Google Scholar] [CrossRef] [PubMed]
- Bobb, J.F.; Henn, B.C.; Valeri, L.; Coull, B.A. Statistical software for analyzing the health effects of multiple concurrent exposures via Bayesian kernel machine regression. Environ. Health 2018, 17, 67. [Google Scholar] [CrossRef] [PubMed]
- Williams, C.K.; Rasmussen, C.E. Gaussian Processes for Machine Learning; MIT Press: Cambridge, MA, USA, 2006; Volume 2. [Google Scholar]
- Helidoniotis, F. Growth of Abalone (Haliotis rubra) with Implications for Its Productivity. Ph.D. Thesis, University of Tasmania, Hobart, TAS, Australia, 2011. [Google Scholar]
- Jabeen, K.; Ahamed, K.I. Abalone Age Prediction using Artificial Neural Network. IOSR J. Comput. Eng. 2016, 18, 34–38. [Google Scholar] [CrossRef]
- Misman, M.F.; Samah, A.A.; Aziz, N.A.A.; Majid, H.A.; Shah, Z.A.; Hashim, H.; Harun, M.F. Prediction of Abalone Age Using Regression-Based Neural Network. In Proceedings of the 2019 1st International Conference on Artificial Intelligence and Data Sciences (AiDAS), Ipoh, Malaysia, 19 September 2019; pp. 23–28. [Google Scholar] [CrossRef]
- Khiem, N.M.; Takahashi, Y.; Masumura, T.; Kotake, G.; Yasuma, H.; Kimura, N. A machine learning ensemble approach for predicting growth of abalone reared in land-based aquaculture in Hokkaido, Japan. Aquac. Eng. 2023, 103, 102372. [Google Scholar] [CrossRef]
- Gelman, A.; Carlin, J.B.; Stern, H.S.; Dunson, D.B.; Vehtari, A.; Rubin, D.B. Bayesian Data Analysis, 3rd ed.; CRC Press: Boca Raton, FL, USA, 2014. [Google Scholar]
- Murphy, K.P. Probabilistic Machine Learning: An Introduction; MIT Press: Cambridge, MA, USA, 2022. [Google Scholar]
- Hu, Z.; Dey, D.K. Generalized variable selection algorithms for Gaussian process models by LASSO-Like penalty. J. Comput. Graph. Stat. 2023, 33, 477–486. [Google Scholar] [CrossRef]
- Mercer, J. Functions of positive and negative type and their connection with the theory of integral equations. Philos. Trans. R. Soc. A 1909, 209, 415–446. [Google Scholar]
- Liu, D.; Lin, X.; Ghosh, D. Semiparametric regression of multidimensional genetic pathway data: Least squares kernel machines and linear mixed models. Biometrics 2007, 63, 1079–1088. [Google Scholar] [CrossRef]
- Oh, Y.; Sun, S.; Lee, K.; Lim, H. Growth and survival of purebred and hybrid according to intraspecific hybridization between Haliotis discus hannai and H. discus discus. Korean J. Malacol. 2018, 34, 31–41. [Google Scholar] [CrossRef]
- Berger, J.O.; Bernardo, J.M.; Sun, D. Objective Bayesian Inference; World Scientific: Singapore, 2024. [Google Scholar]









| Variable | Description |
|---|---|
| Water temperature (°C) | Measured at two-week intervals for 950 days using marine environmental survey equipment (YSI 5908, Xylem, Yellow Springs, OH, USA). |
| DO (mg/L) | Dissolved oxygen levels in the water. |
| pH | Acidity or alkalinity of the water. |
| Salinity (psu) | Salinity levels in the water. |
| Nutrient supply (kg) | Supply of 40 kg of seaweed (Undaria pinnatifida), kelp (Laminaria japonica), and seaweed stems cultivated in nearby areas every two weeks. |
| Variables | Mean | Sd | Min | Q1 | Q2 | Q3 | Max |
|---|---|---|---|---|---|---|---|
| Water Temperature | 16.94 | 5.840 | 8.700 | 12.900 | 15.900 | 22.800 | 26.500 |
| DO | 7.801 | 2.126 | 4.050 | 5.820 | 7.990 | 8.480 | 13.300 |
| pH | 8.385 | 0.522 | 7.210 | 8.440 | 8.560 | 8.760 | 8.940 |
| Salinity | 33.080 | 0.673 | 31.820 | 32.540 | 33.040 | 33.520 | 34.690 |
| NS | 45.840 | 8.124 | 40.000 | 40.000 | 40.000 | 50.000 | 60.000 |
| Training Set | Test Set | |||
|---|---|---|---|---|
| WBKMR | BKMR | WBKMR | BKMR | |
| Set 1 | 0.130 | 0.263 | 2.938 | 2.546 |
| Set 2 | 0.124 | 0.259 | 0.949 | 1.482 |
| Set 3 | 0.121 | 0.247 | 0.569 | 0.731 |
Disclaimer/Publisher’s Note: The statements, opinions and data contained in all publications are solely those of the individual author(s) and contributor(s) and not of MDPI and/or the editor(s). MDPI and/or the editor(s) disclaim responsibility for any injury to people or property resulting from any ideas, methods, instructions or products referred to in the content. |
© 2025 by the authors. Licensee MDPI, Basel, Switzerland. This article is an open access article distributed under the terms and conditions of the Creative Commons Attribution (CC BY) license (https://creativecommons.org/licenses/by/4.0/).
Share and Cite
Seo, S.-W.; Choi, G.; Jung, H.-J.; Choi, M.-J.; Oh, Y.-D.; Jang, H.-S.; Lim, H.-K.; Jo, S. A Weighted Bayesian Kernel Machine Regression Approach for Predicting the Growth of Indoor-Cultured Abalone. Appl. Sci. 2025, 15, 708. https://doi.org/10.3390/app15020708
Seo S-W, Choi G, Jung H-J, Choi M-J, Oh Y-D, Jang H-S, Lim H-K, Jo S. A Weighted Bayesian Kernel Machine Regression Approach for Predicting the Growth of Indoor-Cultured Abalone. Applied Sciences. 2025; 15(2):708. https://doi.org/10.3390/app15020708
Chicago/Turabian StyleSeo, Seung-Won, Gyumin Choi, Ho-Jin Jung, Mi-Jin Choi, Young-Dae Oh, Hyun-Seok Jang, Han-Kyu Lim, and Seongil Jo. 2025. "A Weighted Bayesian Kernel Machine Regression Approach for Predicting the Growth of Indoor-Cultured Abalone" Applied Sciences 15, no. 2: 708. https://doi.org/10.3390/app15020708
APA StyleSeo, S.-W., Choi, G., Jung, H.-J., Choi, M.-J., Oh, Y.-D., Jang, H.-S., Lim, H.-K., & Jo, S. (2025). A Weighted Bayesian Kernel Machine Regression Approach for Predicting the Growth of Indoor-Cultured Abalone. Applied Sciences, 15(2), 708. https://doi.org/10.3390/app15020708

