Sign in to use this feature.

Years

Between: -

Subjects

remove_circle_outline
remove_circle_outline
remove_circle_outline
remove_circle_outline
remove_circle_outline
remove_circle_outline
remove_circle_outline
remove_circle_outline
remove_circle_outline

Journals

Article Types

Countries / Regions

Search Results (48)

Search Parameters:
Keywords = spelling correction

Order results
Result details
Results per page
Select all
Export citation of selected articles as:
25 pages, 11789 KB  
Article
Impact of Climate and Land Cover Dynamics on River Discharge in the Klambu Dam Catchment, Indonesia
by Fahrudin Hanafi, Lina Adi Wijayanti, Muhammad Fauzan Ramadhan, Dwi Priakusuma and Katarzyna Kubiak-Wójcicka
Water 2026, 18(2), 250; https://doi.org/10.3390/w18020250 - 17 Jan 2026
Viewed by 208
Abstract
This study examines the hydrological response of the Klambu Dam Catchment in Central Java, Indonesia, to climatic and land cover changes from 2000–2023, with simulations extending to 2040. Utilizing CHIRPS satellite data calibrated with six ground stations, monthly precipitation and temperature datasets were [...] Read more.
This study examines the hydrological response of the Klambu Dam Catchment in Central Java, Indonesia, to climatic and land cover changes from 2000–2023, with simulations extending to 2040. Utilizing CHIRPS satellite data calibrated with six ground stations, monthly precipitation and temperature datasets were analyzed and projected via linear regression aligned with IPCC scenarios, revealing a marginal temperature decline of 0.21 °C (from 28.25 °C in 2005 to 28.04 °C in 2023) and a 17% increase in rainfall variability. Land cover assessments from Landsat imagery highlighted drastic changes: a 73.8% reduction in forest area and a 467.8% increase in mixed farming areas, alongside moderate fluctuations in paddy fields and settlements. The Thornthwaite-Mather water balance method simulated monthly discharge, validated against observed data with Pearson correlations ranging from 0.5729 (2020) to 0.9439 (2015). Future projections using Cellular Automata-Markov modeling indicated stable volumetric flow but a temporal shift, including a 28.1% decrease in April rainfall from 2000 to 2040, contracting the wet season and extending dry spells. These shifts pose significant threats to agricultural and aquaculture activities, potentially exacerbating water scarcity and economic losses. The findings emphasize integrating dynamic land cover data, climate projections, and empirical runoff corrections for climate-resilient watershed management. Full article
(This article belongs to the Special Issue Water Management and Geohazard Mitigation in a Changing Climate)
Show Figures

Figure 1

25 pages, 1704 KB  
Article
Creating Written Stories for Primary School Students Based on Personalized Mnemonics: The Case of One Lithuanian School
by Daiva Jakavonytė-Staškuvienė and Gabija Šarūnaitė
Educ. Sci. 2026, 16(1), 63; https://doi.org/10.3390/educsci16010063 - 3 Jan 2026
Viewed by 365
Abstract
Today, literacy is defined much more broadly, i.e., as the enabling ability to recognize, understand, interpret, create, and use various written materials in different contexts. Creative writing skills are developed in primary school, but it is difficult for students to express their thoughts [...] Read more.
Today, literacy is defined much more broadly, i.e., as the enabling ability to recognize, understand, interpret, create, and use various written materials in different contexts. Creative writing skills are developed in primary school, but it is difficult for students to express their thoughts in writing. This article presents how personalized creative writing prompts can help primary school students with different abilities improve their Lithuanian & General P narrative writing skills. Third-grade students (N = 14) from a private school in a large city participated in the study. An action research approach was applied, preceded by a diagnostic assessment of students’ creative writing skills, during which the essays were written without the aid of prompts. The experiences of each student were also described, as the children composed written narratives using prompts. After analysing the students’ work, progress was noted in all areas of text creation: from the use of vivid language elements in writing, the use of connecting words in sentences, to corrected spelling and punctuation errors. Full article
Show Figures

Figure 1

14 pages, 289 KB  
Article
Goedesics Completeness and Cauchy Hypersurfaces of Ricci Solitons on Pseudo-Riemannian Hypersurfaces at the Fictitious Singularity: Schwarzschild-Soliton Geometries and Generalized-Schwarzschild-Soliton Ones
by Orchidea Maria Lecian
Axioms 2025, 14(12), 896; https://doi.org/10.3390/axioms14120896 - 2 Dec 2025
Viewed by 193
Abstract
The methodology is developed here to write Ricci solitons on the newly found structure of the pseudo-spherical cylinder. The methodology is specified for Schwarzschild solitons and for Generalized-Schwarzschild solitons. Accordingly, a new classification is written for the Schwarzschild solitons and for the Generalized-Schwarzschild [...] Read more.
The methodology is developed here to write Ricci solitons on the newly found structure of the pseudo-spherical cylinder. The methodology is specified for Schwarzschild solitons and for Generalized-Schwarzschild solitons. Accordingly, a new classification is written for the Schwarzschild solitons and for the Generalized-Schwarzschild solitons. The rotational field is spelled out. The potential for a tangent vector field is used. The conditions are recalled to discriminate which submanifold of a Ricci manifold is a soliton or is an almost-Ricci soliton. It is my aim to prove that a concurrent vector field is uniquely determined after the 4-velocity vector of a Schwarzschild soliton. As a result, the analytically specified manifold, which is a spacelike submanifold of the Schwarzschild spacetime that admits Ricci solitons. The rotational killing fields are tangent to the event horizon. The conditions that are needed to match the new aspects are spelled out analytically. As a result, the two manifolds described in the work of Bardeen et al. about the requested mass of a stationary, axisymmetric solution of the Einstein Field Equations of the spacetime, which contains a blackhole surrounded with matter from the new results obtained after correcting the work of Hawking 1972 about would-be point ’beyond the conjugate point’ on the analytic continuation of the would-be geodesics: they are proven here to become the tangent manifold (which is expressed from the tangent bundle in General-Relativistic notation). The prescription here is based on one of the books of Landau et al., that the matter is not put into the metric tensor, not even in the ultra-Relativistic limit. This way, the pseudo-spherical cylinder is one implemented from the Minkowskian description and whose asymptotical limit is proven. The new methodology allows one to describe the outer region of the blackhole as one according to which the (union of the trapped) regions is one with null support. For the purpose of the present investigation, the definition of concurrent vector fields in General-Relativity is newly developed. As a further new result, the paradigm is implemented for the shrinking case, which admits as subcase the Schwarzschild manifolds and the Generalized-Schwarzschild manifolds. The Penrose 1965 Theorem is discussed for the framework outlined here; in particular, the presence of trapped hypersurfaces is discarded. The no-hair theorem can now be discussed. Full article
(This article belongs to the Special Issue Mathematical Physics in General Relativity Theory)
23 pages, 1485 KB  
Article
TextShelter: Text Adversarial Example Defense Based on Input Reconstruction
by Guoqin Chang, Haichang Gao, Nuo Cheng, Zhou Yao and Haodong Li
Electronics 2025, 14(23), 4706; https://doi.org/10.3390/electronics14234706 - 29 Nov 2025
Viewed by 498
Abstract
Effective identification of textual adversarial examples is a pressing need for safeguarding application security and maintaining cybersecurity. However, most existing adversarial defense methods for natural language processing can only resist a single form of attack and lack generalizability. To address this issue, this [...] Read more.
Effective identification of textual adversarial examples is a pressing need for safeguarding application security and maintaining cybersecurity. However, most existing adversarial defense methods for natural language processing can only resist a single form of attack and lack generalizability. To address this issue, this paper proposes a simple, efficient, and versatile defense method named TextShelter, which mitigates the limitations of existing approaches that rely on specific attack assumptions and struggle to handle real-world complex adversarial samples. TextShelter integrates three modules—Homoglyph Reversion, Spelling Correction, and Reconstruction-based Backtranslation—and enhances the defense efficiency of each module through careful design and optimization. By collaboratively combining the outputs of these modules, the method achieves effective defense against multi-granularity hybrid perturbations without requiring knowledge of the target model’s structure or parameters, nor any model retraining. Experiments on three datasets including IMDb show that TextShelter can effectively restore the original output labels of adversarial examples, improving classification accuracy by up to 60%. Compared with existing mainstream defense methods, it enhances defensive capability by approximately 50%. Furthermore, TextShelter performs well in terms of sentiment preservation, robustness, and transferability, demonstrating promising extensibility. Full article
(This article belongs to the Special Issue Advancements in AI-Driven Cybersecurity and Securing AI Systems)
Show Figures

Figure 1

21 pages, 3932 KB  
Article
Historical and Future Drought Intensification in the Pantanal Wetland: Evidence from Multi-Source Weather Data and CMIP6 Multi-Model Projections
by Jakob Ernst, Milica Stojanovic and Rogert Sorí
Environments 2025, 12(11), 413; https://doi.org/10.3390/environments12110413 - 2 Nov 2025
Viewed by 1076
Abstract
The Pantanal, considered the world’s largest tropical wetland, is increasingly threatened by intensifying droughts driven by climate variability and climate change. Using Multi-Source Weather data (MSWX), and bias-corrected multi-model means from five Coupled Model Intercomparison Project Phase 6 (CMIP6) simulations for the years [...] Read more.
The Pantanal, considered the world’s largest tropical wetland, is increasingly threatened by intensifying droughts driven by climate variability and climate change. Using Multi-Source Weather data (MSWX), and bias-corrected multi-model means from five Coupled Model Intercomparison Project Phase 6 (CMIP6) simulations for the years 1980–2100, we assessed historical and future drought conditions under SSP2-4.5 and SSP5-8.5 scenarios for the Pantanal. Drought conditions were identified through the Standardised Precipitation Index (SPI) and the Standardised Precipitation–Evapotranspiration Index (SPEI) across multiple timescales, and with different reference periods. A historical analysis revealed a significant drying trend, culminating in the extreme droughts of 2019/2020 and 2023/24. Future projections indicate a dual pressure of declining precipitation and rising temperatures, intensifying the severity of dry conditions. By the late 21st century, SSP5-8.5 shows persistent, severe multi-year droughts, while SSP2-4.5 projects more variable but still intensifying dry spells. The SPEI highlights stronger drying than the SPI, underscoring the growing role of evaporative demand, which was confirmed through risk ratios for drought occurrence across temperature anomaly bins. These results offer multi-scalar insights into drought dynamics across the Pantanal wetland, with critical implications for biodiversity, water resources, and wildfire risk. Thus, they emphasise the urgency of adaptive management strategies to preserve ecosystem integrity under a warmer, drier future climate. Full article
Show Figures

Figure 1

14 pages, 275 KB  
Article
The Creation of Bahá’u’lláh and the New Era: “Textbook” of the Bahá’í Faith
by Robert Weinberg
Religions 2025, 16(10), 1263; https://doi.org/10.3390/rel16101263 - 1 Oct 2025
Viewed by 810
Abstract
This article examines the creation of Dr. John E. Esslemont’s seminal work Bahá’u’lláh and the New Era (1923), the first comprehensive introductory book in English on the Bahá’í Faith. Drawing particularly on the extensive correspondence between Esslemont and Luṭfu’lláh Ḥakím, the article traces [...] Read more.
This article examines the creation of Dr. John E. Esslemont’s seminal work Bahá’u’lláh and the New Era (1923), the first comprehensive introductory book in English on the Bahá’í Faith. Drawing particularly on the extensive correspondence between Esslemont and Luṭfu’lláh Ḥakím, the article traces Esslemont’s journey from his initial encounter with the Bahá’í teachings in 1914 to the book’s publication and subsequent global impact. The unique involvement of ‘Abdu’l-Bahá and Shoghi Effendi in reviewing and correcting the manuscript is highlighted, along with Esslemont’s collaboration with prominent early Bahá’ís. Rather than specifically addressing the book’s content, this paper examines its preparation and publication, its rapid translation and worldwide dissemination in multiple languages. Finally, Esslemont’s legacy is considered, both through his book and his personal example as a pioneering Western adherent of the Bahá’í Faith. Esslemont’s original spelling of Bahá’í names and terminology in his correspondence has been maintained. Full article
(This article belongs to the Special Issue The Bahá’í Faith: Doctrinal and Historical Explorations—Part 2)
8 pages, 786 KB  
Data Descriptor
OrthoKnow-SP: A Large-Scale Dataset on Orthographic Knowledge and Spelling Decisions in Spanish Adults
by Jon Andoni Duñabeitia
Data 2025, 10(7), 101; https://doi.org/10.3390/data10070101 - 24 Jun 2025
Viewed by 1000
Abstract
Orthographic knowledge is a critical component of skilled language use, yet its large-scale behavioral signatures remain understudied in Spanish. To address this gap, we developed OrthoKnow-SP, a megastudy that captures spelling decisions from 27,185 native Spanish-speaking adults who completed an 80-item forced-choice task. [...] Read more.
Orthographic knowledge is a critical component of skilled language use, yet its large-scale behavioral signatures remain understudied in Spanish. To address this gap, we developed OrthoKnow-SP, a megastudy that captures spelling decisions from 27,185 native Spanish-speaking adults who completed an 80-item forced-choice task. Each trial required selecting the correctly spelled word from a pair comprising a real word and a pseudohomophone foil that preserved pronunciation while violating the correct graphemic representation. The stimuli targeted six high-confusability contrasts in Spanish orthography. We recorded response accuracy and reaction times for over 2.17 million trials, alongside demographic and device metadata. Results show robust variability across items and individuals, with item-level metrics closely aligned with independent norms of word prevalence. A composite difficulty index integrating speed and accuracy further allowed fine-grained item ranking. The dataset provides the first population-scale norms of Spanish spelling difficulty, capturing regional and generational diversity absent from traditional lab-based studies. Public release of OrthoKnow-SP enables new research on the cognitive and demographic factors shaping orthographic decisions, and provides educators, clinicians, and developers with a valuable benchmark for assessing spelling competence and modeling written language processing. Full article
Show Figures

Figure 1

20 pages, 1873 KB  
Article
Exploring the Effects of a Problem-Posing Intervention with Students at Risk for Mathematics and Writing Difficulties
by Jing Wang, Pamela Shanahan Bazis and Qingli Lei
Educ. Sci. 2025, 15(6), 780; https://doi.org/10.3390/educsci15060780 - 19 Jun 2025
Cited by 1 | Viewed by 2280
Abstract
Word problem posing is a critical component of student mathematics learning. This study examined the effects of a problem-posing intervention designed to improve mathematics performance and sentence-writing conventions. Using a multiple baseline across participants design, three third-grade students with mathematics and writing difficulties [...] Read more.
Word problem posing is a critical component of student mathematics learning. This study examined the effects of a problem-posing intervention designed to improve mathematics performance and sentence-writing conventions. Using a multiple baseline across participants design, three third-grade students with mathematics and writing difficulties received one-on-one intervention delivered after school at a university reading center. Data were collected from baseline, intervention, and maintenance phases. Visual analysis and Tau-U statistical analysis indicated that all three students showed improvements in problem solving, problem posing, total words written, words spelled correctly, and correct writing sequence. Post-intervention data suggested that students maintained the improvement over baseline. Discussion and implications for future practice and research were provided. Full article
Show Figures

Figure 1

14 pages, 1324 KB  
Article
Preprocessing of Physician Notes by LLMs Improves Clinical Concept Extraction Without Information Loss
by Daniel B. Hier, Michael A. Carrithers, Steven K. Platt, Anh Nguyen, Ioannis Giannopoulos and Tayo Obafemi-Ajayi
Information 2025, 16(6), 446; https://doi.org/10.3390/info16060446 - 27 May 2025
Cited by 2 | Viewed by 2854
Abstract
Clinician notes are a rich source of patient information, but often contain inconsistencies due to varied writing styles, abbreviations, medical jargon, grammatical errors, and non-standard formatting. These inconsistencies hinder their direct use in patient care and degrade the performance of downstream computational applications [...] Read more.
Clinician notes are a rich source of patient information, but often contain inconsistencies due to varied writing styles, abbreviations, medical jargon, grammatical errors, and non-standard formatting. These inconsistencies hinder their direct use in patient care and degrade the performance of downstream computational applications that rely on these notes as input, such as quality improvement, population health analytics, precision medicine, clinical decision support, and research. We present a large-language-model (LLM) approach to the preprocessing of 1618 neurology notes. The LLM corrected spelling and grammatical errors, expanded acronyms, and standardized terminology and formatting, without altering clinical content. Expert review of randomly sampled notes confirmed that no significant information was lost. To evaluate downstream impact, we applied an ontology-based NLP pipeline (Doc2Hpo) to extract biomedical concepts from the notes before and after editing. F1 scores for Human Phenotype Ontology extraction improved from 0.40 to 0.61, confirming our hypothesis that better inputs yielded better outputs. We conclude that LLM-based preprocessing is an effective error correction strategy that improves data quality at the level of free text in clinical notes. This approach may enhance the performance of a broad class of downstream applications that derive their input from unstructured clinical documentation. Full article
(This article belongs to the Special Issue Biomedical Natural Language Processing and Text Mining)
Show Figures

Figure 1

25 pages, 1964 KB  
Article
Hate Speech Detection and Online Public Opinion Regulation Using Support Vector Machine Algorithm: Application and Impact on Social Media
by Siyuan Li and Zhi Li
Information 2025, 16(5), 344; https://doi.org/10.3390/info16050344 - 24 Apr 2025
Viewed by 2642
Abstract
Detecting hate speech in social media is challenging due to its rarity, high-dimensional complexity, and implicit expression via sarcasm or spelling variations, rendering linear models ineffective. In this study, the SVM (Support Vector Machine) algorithm is used to map text features from low-dimensional [...] Read more.
Detecting hate speech in social media is challenging due to its rarity, high-dimensional complexity, and implicit expression via sarcasm or spelling variations, rendering linear models ineffective. In this study, the SVM (Support Vector Machine) algorithm is used to map text features from low-dimensional to high-dimensional space using kernel function techniques to meet complex nonlinear classification challenges. By maximizing the category interval to locate the optimal hyperplane and combining nuclear techniques to implicitly adjust the data distribution, the classification accuracy of hate speech detection is significantly improved. Data collection leverages social media APIs (Application Programming Interface) and customized crawlers with OAuth2.0 authentication and keyword filtering, ensuring relevance. Regular expressions validate data integrity, followed by preprocessing steps such as denoising, stop-word removal, and spelling correction. Word embeddings are generated using Word2Vec’s Skip-gram model, combined with TF-IDF (Term Frequency–Inverse Document Frequency) weighting to capture contextual semantics. A multi-level feature extraction framework integrates sentiment analysis via lexicon-based methods and BERT for advanced sentiment recognition. Experimental evaluations on two datasets demonstrate the SVM model’s effectiveness, achieving accuracies of 90.42% and 92.84%, recall rates of 88.06% and 90.79%, and average inference times of 3.71 ms and 2.96 ms. These results highlight the model’s ability to detect implicit hate speech accurately and efficiently, supporting real-time monitoring. This research contributes to creating a safer online environment by advancing hate speech detection methodologies. Full article
(This article belongs to the Special Issue Information Technology in Society)
Show Figures

Figure 1

19 pages, 2885 KB  
Article
Creative Writing: Story-Based Learning in Public and Private High School for Exploration of Written Text
by Nali Borrego Ramírez, Marcia L. Ruiz Cansino, Cipatli Anaya Campos, Daniel D. Borrego Gómez and Luis H. Garza Vázquez
Educ. Sci. 2024, 14(12), 1392; https://doi.org/10.3390/educsci14121392 - 19 Dec 2024
Viewed by 3173
Abstract
Case study to investigate whether creative writing through story-based learning in public and private secondary schools can account for performance in readability, purpose, word/sentence relationships, vocabulary diversity, correct use of punctuation marks and proper use of spelling rules. The exclusion criteria, applied only [...] Read more.
Case study to investigate whether creative writing through story-based learning in public and private secondary schools can account for performance in readability, purpose, word/sentence relationships, vocabulary diversity, correct use of punctuation marks and proper use of spelling rules. The exclusion criteria, applied only to public and private secondary school students, first, second and third periods. The sampling is convenient as the participants were selected from accessible educational institutions. This is a cross-sectional study of descriptive qualitative cut in which the coding of linguistic patterns and dominant themes is used. When triangulated with statistical results it was found that despite the variability in the results there was a production of original narratives, which corroborates the theories about the relationship between creativity and divergent thinking. It is confirmed that ABH is an active methodology based on the emotional link with creative writing from which components of the structure and creation of the narrative are derived, and it was found that most of the students are in a zone of proximal development, i.e., they are ready to learn with the help of a tutor or more advanced partner. Full article
(This article belongs to the Special Issue Technology-Mediated Active Learning Methods)
Show Figures

Figure 1

18 pages, 1133 KB  
Article
PMDRSpell: Dynamic Residual Chinese Spelling Check Method Guided by Phonological and Morphological Knowledge
by Guanguang Chang, Yangsen Zhang, Youren Yu and Jiayuan Song
Electronics 2024, 13(24), 4989; https://doi.org/10.3390/electronics13244989 - 18 Dec 2024
Cited by 1 | Viewed by 1382
Abstract
Since the errors in Chinese Spell Correction (CSC) involve phonetically or morphologically confusing Chinese characters, mainstream models have made numerous attempts to fuse phonological and morphological knowledge. We observe that in erroneous sentences where the vast majority of Chinese characters are correctly written, [...] Read more.
Since the errors in Chinese Spell Correction (CSC) involve phonetically or morphologically confusing Chinese characters, mainstream models have made numerous attempts to fuse phonological and morphological knowledge. We observe that in erroneous sentences where the vast majority of Chinese characters are correctly written, mainstream models may unintentionally increase the difficulty of predicting these correct characters when integrating multi-modal knowledge across all characters. Additionally, these models often overlook the potential relationship between the phonological and morphological modalities of a Chinese character when utilizing multi-modal information. In this paper, we propose an end-to-end model called PMDRSpell, which models erroneous Chinese characters in sentences using their multi-modal knowledge and reduces the use of multi-modal information for correct Chinese characters. Additionally, it uncovers the relationship between phonological and morphological features based on the characteristics of phonograms, enhancing the similarity between similar Chinese characters. Specifically, coarse-grained and hierarchical detection is first employed to localize and mask error locations within sentences, using the original embedding information as residual features. Next, correlation information in the phonological and morphological modalities of the erroneous characters is extracted to construct new representational features, which are then used to update the erroneous Chinese character information within the residual features. Finally, the masked sentences are predicted using the MLM model and classified to generate correct sentences by combining the residual features with the updated multi-modal information. Our model effectively reduces the interference from correct Chinese characters during the inspection process and leverages multi-modal information to accurately correct incorrect Chinese characters. In our comparison experiments with recent state-of-the-art models, PMDRSpell outperforms the optimal baseline in terms of error-corrected F1 scores for Sighan14 and Sighan15 by 1.2 and 1.0 percentage points, respectively. Full article
Show Figures

Figure 1

37 pages, 8719 KB  
Article
Scope and Prosody in Multiple Wh-Questions
by So-Young Lee
Languages 2024, 9(7), 226; https://doi.org/10.3390/languages9070226 - 21 Jun 2024
Cited by 1 | Viewed by 2823
Abstract
The prosodic marking of the wh-scope has been a good testing ground to shed light on syntax-prosody mapping. Many accounts have been proposed based on various theoretical models, including the E-feature agreement system, the Multiple Spell-Out Model, Contiguity Theory, and the Wrap-XP [...] Read more.
The prosodic marking of the wh-scope has been a good testing ground to shed light on syntax-prosody mapping. Many accounts have been proposed based on various theoretical models, including the E-feature agreement system, the Multiple Spell-Out Model, Contiguity Theory, and the Wrap-XP Model. However, most previous studies focused on the constructions with a single wh-phrase, and few studies paid attention to multiple wh-questions. This paper presents novel data from production experiments to show the prosodic patterns of multiple wh-questions in Korean, for which none of the previous accounts makes correct predictions. This study proposes a new alignment constraint considering the scope relations between wh-words. The necessity of such a constraint suggests that the prosodic structures for wh-scope interpretations are not the direct outcome of syntax and phonology but the aggregation of syntax, phonology, and semantics. Full article
(This article belongs to the Special Issue The Syntax-Prosody Interface in East Asian Languages)
Show Figures

Figure 1

24 pages, 11142 KB  
Article
Assessing Climate-Change-Driven Impacts on Water Scarcity: A Case Study of Low-Flow Dynamics in the Lower Kalu River Basin, Sri Lanka
by Rangika Fernando, Harsha Ratnasooriya, Janaka Bamunawala, Jeewanthi Sirisena, Merenchi Galappaththige Nipuni Odara, Luminda Gunawardhana and Lalith Rajapakse
Water 2024, 16(10), 1317; https://doi.org/10.3390/w16101317 - 7 May 2024
Cited by 5 | Viewed by 3076
Abstract
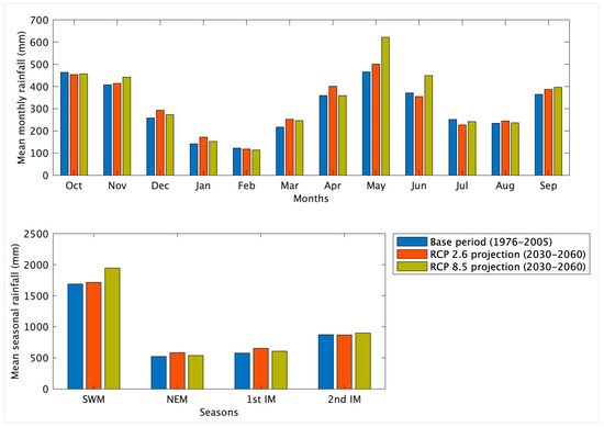
The adverse impacts of climate change are becoming more frequent and severe worldwide, and Sri Lanka has been identified as one of the most severely affected countries. Hence, it is vital to understand the plausible climate-change-driven impacts on water resources to ensure water [...] Read more.
The adverse impacts of climate change are becoming more frequent and severe worldwide, and Sri Lanka has been identified as one of the most severely affected countries. Hence, it is vital to understand the plausible climate-change-driven impacts on water resources to ensure water security and socio-economic well-being. This study presents novel assessments on low-flow dynamics along the lower Kalu River Basin, Sri Lanka, and water availability during the dry spells of the 2030–2060 period. Bias-corrected daily precipitation projections of a high resolution (25 km × 25 km) NCC-NORESM1-M regional climate model is used here to force a calibrated HEC-HMS hydrological model to project catchment discharge during the future period considered under the two end-member Representative Concentration Pathways (i.e., RCP 2.6 and RCP 8.5). Our results show that the study area (i.e., Kuda Ganga sub-basin) may become warmer (in non-monsoonal periods) and wetter (in monsoon season) under both scenarios during the near future (2030–2040) when compared to the baseline period (1976–2005) considered. Consequently, the streamflow may reduce, making it the decade with the largest water deficit within the time horizon. The subsequent deficit volume assessment for the 2031–2040 period shows a probable water shortage (~5 million m3) under the RCP 2.6 scenario, which may last for ~47 days with an average daily intensity of 105,000 m3. Our results highlight the need of incorporating climate-change-driven impacts in water resources management plans to ensure water security. Full article
(This article belongs to the Section Water and Climate Change)
Show Figures

Figure 1

19 pages, 827 KB  
Article
MLSL-Spell: Chinese Spelling Check Based on Multi-Label Annotation
by Liming Jiang, Xingfa Shen, Qingbiao Zhao and Jian Yao
Appl. Sci. 2024, 14(6), 2541; https://doi.org/10.3390/app14062541 - 18 Mar 2024
Cited by 2 | Viewed by 2428
Abstract
Chinese spelling errors are commonplace in our daily lives, which might be caused by input methods, optical character recognition, or speech recognition. Due to Chinese characters’ phonetic and visual similarities, the Chinese spelling check (CSC) is a very challenging task. However, the existing [...] Read more.
Chinese spelling errors are commonplace in our daily lives, which might be caused by input methods, optical character recognition, or speech recognition. Due to Chinese characters’ phonetic and visual similarities, the Chinese spelling check (CSC) is a very challenging task. However, the existing CSC solutions cannot achieve good spelling check performance since they often fail to fully extract the contextual information and Pinyin information. In this paper, we propose a novel CSC framework based on multi-label annotation (MLSL-Spell), consisting of two basic phases: spelling detection and correction. In the spelling detection phase, MLSL-Spell uses the fusion vectors of both character-based pre-trained context vectors and Pinyin vectors and adopts the sequence labeling method to explicitly label the type of misspelled characters. In the spelling correction phase, MLSL-Spell uses Masked Language Mode (MLM) model to generate candidate characters, then performs corresponding screenings according to the error types, and finally screens out the correct characters through the XGBoost classifier. Experiments show that the MLSL-Spell model outperforms the benchmark model. On SIGHAN 2013 dataset, the spelling detection F1 score of MLSL-Spell is 18.3% higher than that of the pointer network (PN) model, and the spelling correction F1 score is 10.9% higher. On SIGHAN 2015 dataset, the spelling detection F1 score of MLSL-Spell is 11% higher than that of Bert and 15.7% higher than that of the PN model. And the spelling correction F1 of MLSL-Spell score is 6.8% higher than that of PN model. Full article
Show Figures

Figure 1

Back to TopTop