Assessing Climate-Change-Driven Impacts on Water Scarcity: A Case Study of Low-Flow Dynamics in the Lower Kalu River Basin, Sri Lanka
Abstract
1. Introduction
2. Materials and Methods
2.1. Study Area and Input Data
2.2. Data Analysis and Pre-Processing
2.3. Hydrological Model Setup, Calibration, and Validation
2.4. Climate Projections and Bias Correction
2.5. Streamflow under Climate Change Scenarios
2.6. Determination of Low-Flow Threshold for Water Deficit Analysis
3. Results
3.1. Performances of Hydrological Model Simulations (Calibration and Validation)
3.2. Selection of RCM Data and Performance of Bias Correction
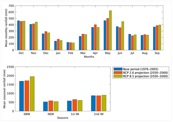
3.3. Projected Precipitation over Kuda Ganga Sub-Basin
3.4. Future Streamflow at Kolemodara Intake
3.4.1. Variations in Q50 and Q10
3.4.2. Changes in MAM7 and MAM30 of Discharge
3.4.3. Changes in Baseflow Index (BFI)
3.4.4. Continuous Low-Flow and Deficit Volume
4. Discussion
5. Conclusions
Author Contributions
Funding
Data Availability Statement
Acknowledgments
Conflicts of Interest
References
- National Research Council; Sarachik, E.S. Global Environmental Change: Research Pathways for the Next Decade; National Academy Press: Washington, DC, USA, 1999. [Google Scholar]
- IPCC. IPCC, 2023: Summary for Policymakers. In Climate Change 2023: Synthesis Report. Contribution of Working Groups I, II and III to the Sixth Assessment Report of the Intergovernmental Panel on Climate Change; Core Writing Team, Lee, H., Romero, J., Eds.; IPCC: Geneva, Switzerland, 2023; pp. 1–34. [Google Scholar] [CrossRef]
- Lemos, M.C.; Finan, T.J.; Fox, R.W.; Nelson, D.R.; Tucker, J. The Use of Seasonal Climate Forecasting in Policymaking: Lessons from Northeast Brazil. Clim. Change 2002, 55, 479–507. [Google Scholar] [CrossRef]
- Findlater, K.; Webber, S.; Kandlikar, M.; Donner, S. Climate services promise better decisions but mainly focus on better data. Nat. Clim. Change 2021, 11, 731–737. [Google Scholar] [CrossRef]
- Vaughan, C.; Dessai, S. Climate services for society: Origins, institutional arrangements, and design elements for an evaluation framework. Wiley Interdiscip. Rev. Clim. Change 2014, 5, 587–603. [Google Scholar] [CrossRef] [PubMed]
- Fisher, S.; Dodman, D.; Van Epp, M.; Garside, B. The usability of climate information in sub-national planning in India, Kenya and Uganda: The role of social learning and intermediary organisations. Clim. Change 2018, 151, 219–245. [Google Scholar] [CrossRef]
- Hewitt, C.; Mason, S.; Walland, D. The Global Framework for Climate Services. Nat Clim. Change 2012, 2, 831–832. [Google Scholar] [CrossRef]
- World Meteorological Organization. State of Climate Services 2023: Health; World Meteorological Organization: Geneva, Switzerland, 2023. [Google Scholar]
- World Health Organization. World Health Statistics 2017: Monitoring Health for the SDGs, Sustainable Development Goals; World Health Organization: Geneva, Switzerland, 2017. [Google Scholar]
- United Nations. The Sustainable Development Goals Report 2023: Special Edition; United Nations: New York, NY, USA, 2023. [Google Scholar]
- Venter, O.; Sanderson, E.W.; Magrach, A.; Allan, J.R.; Beher, J.; Jones, K.R.; Possingham, H.P.; Laurance, W.F.; Wood, P.; Fekete, B.M.; et al. Sixteen Years of Change in the Global Terrestrial Human Footprint and Implications for Biodiversity Conservation. Nat. Commun. 2016, 7, 12558. [Google Scholar] [CrossRef] [PubMed]
- Sirisena, T.A.J.G.; Bamunawala, J.; Maskey, S.; Ranasinghe, R. Comparison of process-based and lumped parameter models for projecting future changes in fluvial sediment supply to the coast. Front. Earth Sci. 2023, 10, 978109. [Google Scholar] [CrossRef]
- Konapala, G.; Mishra, A.K.; Wada, Y.; Mann, M.E. Climate change will affect global water availability through compounding changes in seasonal precipitation and evaporation. Nat. Commun. 2020, 11, 3044. [Google Scholar] [CrossRef]
- Feist, S.E.; Hoque, M.A.; Islam, M.A.; Ahmed, K.M.; Fowler, M. Recent trends in inland water level change in coastal Bangladesh–Implications of sea level rise in low-lying deltas. Glob. Planet. Change 2021, 206, 103639. [Google Scholar] [CrossRef]
- Koutroulis, A.G.; Papadimitriou, L.V.; Grillakis, M.G.; Tsanis, I.K.; Warren, R.; Betts, R.A. Global water availability under high-end climate change: A vulnerability based assessment. Glob. Planet. Change 2019, 175, 52–63. [Google Scholar] [CrossRef]
- He, C.; Liu, Z.; Wu, J.; Pan, X.; Fang, Z.; Li, J.; Bryan, B.A. Future global urban water scarcity and potential solutions. Nat. Commun. 2021, 12, 4667. [Google Scholar] [CrossRef] [PubMed]
- World Bank. High and Dry: Climate Change, Water, and the Economy; World Bank: Washington, DC, USA, 2016. [Google Scholar] [CrossRef]
- Shelton, S.; Pushpawela, B.; Liyanage, G. The long-term trend in the diurnal temperature range over Sri Lanka from 1985 to 2017 and its association with total cloud cover and rainfall. J. Atmos. Sol.-Terr. Phys. 2022, 227, 105810. [Google Scholar] [CrossRef]
- Dissanayaka, K.D.C.R.; Rajapakse, R.L.H.L. Long-term precipitation trends and climate extremes in the Kelani River basin, Sri Lanka, and their impact on streamflow variability under climate change. Paddy Water Environ. 2019, 17, 281–289. [Google Scholar] [CrossRef]
- Marambe, B.; Punyawardena, R.; Silva, P.; Premalal, S.; Rathnabharathie, V.; Kekulandala, B.; Nidumolu, U.; Howden, M. Climate, Climate Risk, and Food Security in Sri Lanka: The Need for Strengthening Adaptation Strategies. In Handbook of Climate Change Adaptation; Filho, W.L., Ed.; Springer: Berlin/Heidelberg, Germany, 2015; pp. 1759–1789. [Google Scholar] [CrossRef]
- Punyawardena, B.V.R.; Mehmood, S.; Hettiarachchi, A.K.; Iqbal, M.; De Silva, A.S.H.S.A.; Goheer, A. Future climate of Sri Lanka: An approach through dynamic downscaling of ECHAM4 general circulation model (GCM). Trop. Agric. 2013, 161, 35–52. [Google Scholar]
- Fan, M. Sri Lanka’s Water Supply and Sanitation Sector: Achievements and a Way Forward; No. 35; Asian Development Bank: Manila, Philippines, 2015. [Google Scholar]
- FCG International, Ltd. Comprehensive Strategic Investment Plan and Road Map for the Water Supply and Sanitation Sector in Sri Lanka; Ministry of Urban Development, Water Supply & Housing Facilities: Ratmalana, Sri Lanka, 2020. [Google Scholar]
- Kubiak-Wójcicka, K.; Zeleňáková, M.; Blištan, P.; Simonová, D.; Pilarska, A. Influence of climate change on low flow conditions. Case study: Laborec River, eastern Slovakia. Ecohydrol. Hydrobiol. 2021, 21, 570–583. [Google Scholar] [CrossRef]
- Chokkavarapu, N.; Mandla, V.R. Comparative study of GCMs, RCMs, downscaling and hydrological models: A review toward future climate change impact estimation. SN Appl. Sci. 2019, 1, 1698. [Google Scholar] [CrossRef]
- Jayaminda, C.; Gunawardhana, L.; Rajapakse, L. Rating Performances of Global Climate Models in Capturing Monsoon Rainfall Patterns in Sri Lanka. In Proceedings of the 2023 Moratuwa Engineering Research Conference (MERCon), Moratuwa, Sri Lanka, 9–11 November 2023; pp. 264–269. [Google Scholar] [CrossRef]
- Teutschbein, C.; Seibert, J. Regional Climate Models for Hydrological Impact Studies at the Catchment Scale: A Review of Recent Modeling Strategies. Geogr. Compass 2010, 4, 834–860. [Google Scholar] [CrossRef]
- Azmat, M.; Wahab, A.; Huggel, C.; Qamar, M.U.; Hussain, E.; Ahmad, S.; Waheed, A. Climatic and hydrological projections to changing climate under CORDEX-South Asia experiments over the Karakoram-Hindukush-Himalayan water towers. Sci. Total Environ. 2020, 703, 135010. [Google Scholar] [CrossRef] [PubMed]
- Sirisena, T.A.J.G.; Maskey, S.; Bamunawala, J.; Coppola, E.; Ranasinghe, R. Projected Streamflow and Sediment Supply under Changing Climate to the Coast of the Kalu River Basin in Tropical Sri Lanka over the 21st Century. Water 2021, 13, 3031. [Google Scholar] [CrossRef]
- Deb, P.; Shrestha, S. Hydrology Measurement and Analysis Training Manual; Asian Institute of Technology: Pathumthani, Thailand, 2015. [Google Scholar] [CrossRef]
- Hydrologic Engineering Center. Hydrologic Modelling System HEC-HMS User’s Manual Version 4.7. 2021. Available online: https://www.hec.usace.army.mil/confluence/hmsdocs/hmsum/latest (accessed on 14 March 2021).
- World Meteorological Organization. Manual on Low-Flow Estimation and Prediction Operational Hydrology (Report No. 50, WMO-No. 1029); World Meteorological Organization: Geneva, Switzerland, 2008. [Google Scholar]
- Dissanayake, P.K.M. Applicability of a Two Parameter Water Balance Model to Simulate Daily Rainfall-Runoff a Case Study of Kalu and Gin River Basins. Master’s Thesis, University of Moratuwa, Moratuwa, Sri Lanka, 2017. [Google Scholar]
- Dissanayaka, K.D.C.R. Climate Extremes and Precipitation Trends in Kelani River Basin, Sri Lanka and Impact on Streamflow Variability under Climate Change. Master’s Thesis, University of Moratuwa, Moratuwa, Sri Lanka, 2017. [Google Scholar]
- Herath, M.H.B.C.W.; Wijesekera, N.T.S. Evaluation of HEC-HMS Model for Water Resources Management in Maha Oya Basin in Sri Lanka. Eng. J. Inst. Eng. Sri Lanka 2021, 54, 45–53. [Google Scholar] [CrossRef]
- Jayadeera, P.M.; Wijesekera, N.T.S. A Diagnostic Application of HEC–HMS Model to Evaluate the Potential for Water Management in the Ratnapura Watershed of Kalu Ganga Sri Lanka. Eng. J. Inst. Eng. Sri Lanka 2019, 52, 11–21. [Google Scholar] [CrossRef]
- Wijesekera, N.T.S.; Abeynayake, J.C. Watershed similarity conditions for peak flow transposition–A study of river basins in the wet zone of Sri Lanka. Eng. J. Inst. Eng. Sri Lanka 2003, 36, 26–31. [Google Scholar]
- Perera, K.R.J.; Wijesekera, N.T.S. Identification of the Spatial Variability of Runoff Coefficients of Three Wet Zone Watersheds of Sri Lanka. Eng. J. Inst. Eng. Sri Lanka 2011, 44, 1–10. [Google Scholar] [CrossRef]
- Sapač, K.; Medved, A.; Rusjan, S.; Bezak, N. Investigation of Low- and High-Flow Characteristics of Karst Catchments under Climate Change. Water 2019, 11, 925. [Google Scholar] [CrossRef]
- Allen, R.; Pereira, L.; Raes, D.; Smith, M. Crop Evapotranspiration, Guidelines for Computing Crop Water Requirements–FAO Irrigation and Drainage Paper 56; FAO: Rome, Italy, 1998. [Google Scholar]
- Rivoire, P.; Tramblay, Y.; Neppel, L.; Hertig, E.; Vicente-Serrano, S.M. Impact of the dry-day definition on Mediterranean extreme dry-spell analysis. Nat. Hazards Earth Syst. Sci. 2019, 19, 1629–1638. [Google Scholar] [CrossRef]
- Nyunt, C.T.; Yamamoto, H.; Yamamoto, A.; Nemoto, T.; Kitsuregawa, M.; Koike, T. Application of bias-correction and downscaling method to Kalu Ganga Basin in Sri Lanka. J. Jpn. Soc. Civ. Eng. Ser. B1 (Hydraul. Eng.) 2012, 68, I_115–I_120. [Google Scholar] [CrossRef] [PubMed]
- Zheng, H.; Chiew, F.H.S.; Charles, S.; Podger, G. Future climate and runoff projections across South Asia from CMIP5 global climate models and hydrological modelling. J. Hydrol. Reg. Stud. 2018, 18, 92–109. [Google Scholar] [CrossRef]
- Amogh, M.; Raikar, R.V.; Venkatesh, B.; Mahesha, A. Impacts of Climate Change on Varied River-Flow Regimes of Southern India. J. Hydrol. Eng. 2017, 22, 05017017. [Google Scholar] [CrossRef]
- Li, C.; Fang, H. Assessment of climate change impacts on the streamflow for the Mun River in the Mekong Basin, Southeast Asia: Using SWAT model. Catena 2021, 201, 105199. [Google Scholar] [CrossRef]















| Data | Resolution | Source |
|---|---|---|
| DEM | 30 m × 30 m | Survey Dpt., Sri Lanka |
| Land use | - | Survey Dpt., Sri Lanka |
| Soil data | - | Survey Dpt., Sri Lanka |
| Rainfall | Daily | Dpt. of Meteorology, Sri Lanka |
| Evaporation | Daily | Dpt. of Meteorology, Sri Lanka |
| Streamflow | Daily | Irrigation Dpt., Sri Lanka |
| Reservoir and power plant data | Daily | Ceylon Electricity Board, Sri Lanka |
| Model Component | Parameter | Units | Method of Estimation | Optimum Value * |
|---|---|---|---|---|
| Canopy (Simple Canopy) | Initial Storage | % | Calibration | 0 |
| Canopy max storage | mm | Land-use map | 1.95–2.23 | |
| Crop coefficient | - | Default | 1.0 | |
| Surface (Simple Surface) | Initial storage | % | Calibration | 0 |
| Surface maximum storage | mm | Land-use map | 12.7–20.3 | |
| Loss (Deficit and constant) | Initial Deficit | mm | Calibration | 25 |
| Maximum deficit | mm | Soil map, literature, and calibration | 80.5–81.7 | |
| Constant rate | mm/h | Soil map, literature, and calibration | 1.03–1.18 | |
| Impervious | % | Landuse map and calibration | 5–7 | |
| Transform (Snyder UH) | Standard Lag | h | Snyder UH Method (Ct) | 13.3–30.5 |
| Peaking coefficient | - | Cp (ID Technical Guideline) | 0.50–0.55 | |
| Baseflow (Linear Reservoir) | GW1 Fraction | - | Calibration | 0.05 |
| GW1 Coefficient | h | Basin characteristics and calibration | 50.4–136.7 | |
| GW1 Initial Discharge | m3/s/km2 | Calibration | 0 | |
| GW2 Fraction | - | Calibration | 0.4 | |
| GW2 Coefficient | h | Basin characteristics and calibration | 430–1088.6 | |
| GW2 Initial Discharge | m3/s/km2 | Calibration | 0.04 | |
| Muskingum Routing | K | h | Calibration | 1.7–9.95 |
| X | - | Calibration | 0.2 |
| Period | NSErel | MRAE | PBIAS (%) | RMSE (m3/s) | |
|---|---|---|---|---|---|
| Calibration | 2006/2007 | 0.85 | 0.15 | −8.6 | 34.5 |
| 2011/2012 | 0.67 | 0.24 | 5.7 | 29.7 | |
| Validation | 2008/2009 | 0.84 | 0.21 | 3.1 | 40.7 |
| 2009/2010 | 0.77 | 0.20 | −5.7 | 48.2 | |
| 2013/2014 | 0.74 | 0.35 | 5.1 | 46.3 | |
| Continuous Simulation | 2005–2015 | 0.81 | 0.20 | −3.9 | 55.1 |
| Water Cycles with Drought Events | Longest Deficit Duration (Days) | ||
|---|---|---|---|
| Simulated flow | Observed flow | Difference | |
| 2006/2007 | 32 | 52 | −20 |
| 2011/2012 | 17 | 20 | −03 |
| 2008/2009 | 55 | 46 | 09 |
| 2009/2010 | 23 | 29 | −06 |
| 2013/2014 | 23 | 21 | 02 |
| Total Number of Deficit days | |||
| 2005–2015 | 257 | 272 | −15 |
| Period | Event Number | Year | Season | Number of Deficit Days | Total Deficit Volume (×103 m3) | Deficit Intensity (×103 m3/Day) |
|---|---|---|---|---|---|---|
| Historical (2005–2020) | 1 | 2009 | NEM | 8 | 289 | 36 |
| 2 | 2020 | 1st IM | 8 | 54 | 7 | |
| RCP 2.6 (2030–2060) | 1 | 2031 | 1st IM | 10 | 289 | 29 |
| 2 | 2031 | 1st IM | 3 | 54 | 18 | |
| 3 | 2033 | NEM/1st IM | 12 | 453 | 38 | |
| 4 | 2033 | 1st IM/SWM | 47 | 4945 | 105 | |
| 5 | 2033 | SWM | 11 | 1081 | 98 | |
| 6 | 2034 | NEM/1st IM | 15 | 970 | 65 | |
| 7 | 2040 | NEM/1st IM | 2 | 20 | 10 | |
| 8 | 2040 | 1st IM | 5 | 247 | 49 | |
| 9 | 2043 | NEM | 5 | 138 | 28 | |
| 10 | 2044 | NEM | 7 | 233 | 33 | |
| 11 | 2052 | NEM | 4 | 59 | 15 | |
| 12 | 2060 | NEM | 6 | 80 | 13 | |
| RCP 8.5 (2030–2060) | 1 | 2035 | NEM/1st IM | 42 | 4409 | 105 |
| 2 | 2036 | NEM/1st IM | 43 | 3223 | 75 | |
| 3 | 2037 | 1st IM | 25 | 2021 | 81 | |
| 4 | 2038 | NEM/1st IM | 13 | 734 | 56 | |
| 5 | 2040 | 1st IM | 35 | 3234 | 92 | |
| 6 | 2045 | NEM | 18 | 1440 | 80 | |
| 7 | 2051 | NEM/1st IM | 24 | 1471 | 61 | |
| 8 | 2053 | 1st IM | 1 | 1 | 1 | |
| 9 | 2057 | 1st IM | 6 | 206 | 34 |
Disclaimer/Publisher’s Note: The statements, opinions and data contained in all publications are solely those of the individual author(s) and contributor(s) and not of MDPI and/or the editor(s). MDPI and/or the editor(s) disclaim responsibility for any injury to people or property resulting from any ideas, methods, instructions or products referred to in the content. |
© 2024 by the authors. Licensee MDPI, Basel, Switzerland. This article is an open access article distributed under the terms and conditions of the Creative Commons Attribution (CC BY) license (https://creativecommons.org/licenses/by/4.0/).
Share and Cite
Fernando, R.; Ratnasooriya, H.; Bamunawala, J.; Sirisena, J.; Nipuni Odara, M.G.; Gunawardhana, L.; Rajapakse, L. Assessing Climate-Change-Driven Impacts on Water Scarcity: A Case Study of Low-Flow Dynamics in the Lower Kalu River Basin, Sri Lanka. Water 2024, 16, 1317. https://doi.org/10.3390/w16101317
Fernando R, Ratnasooriya H, Bamunawala J, Sirisena J, Nipuni Odara MG, Gunawardhana L, Rajapakse L. Assessing Climate-Change-Driven Impacts on Water Scarcity: A Case Study of Low-Flow Dynamics in the Lower Kalu River Basin, Sri Lanka. Water. 2024; 16(10):1317. https://doi.org/10.3390/w16101317
Chicago/Turabian StyleFernando, Rangika, Harsha Ratnasooriya, Janaka Bamunawala, Jeewanthi Sirisena, Merenchi Galappaththige Nipuni Odara, Luminda Gunawardhana, and Lalith Rajapakse. 2024. "Assessing Climate-Change-Driven Impacts on Water Scarcity: A Case Study of Low-Flow Dynamics in the Lower Kalu River Basin, Sri Lanka" Water 16, no. 10: 1317. https://doi.org/10.3390/w16101317
APA StyleFernando, R., Ratnasooriya, H., Bamunawala, J., Sirisena, J., Nipuni Odara, M. G., Gunawardhana, L., & Rajapakse, L. (2024). Assessing Climate-Change-Driven Impacts on Water Scarcity: A Case Study of Low-Flow Dynamics in the Lower Kalu River Basin, Sri Lanka. Water, 16(10), 1317. https://doi.org/10.3390/w16101317

