Sign in to use this feature.

Years

Between: -

Subjects

remove_circle_outline
remove_circle_outline
remove_circle_outline
remove_circle_outline
remove_circle_outline
remove_circle_outline
remove_circle_outline
remove_circle_outline
remove_circle_outline

Journals

remove_circle_outline
remove_circle_outline
remove_circle_outline
remove_circle_outline
remove_circle_outline
remove_circle_outline

Article Types

Countries / Regions

remove_circle_outline
remove_circle_outline
remove_circle_outline
remove_circle_outline
remove_circle_outline

Search Results (967)

Search Parameters:
Keywords = spatial rich model

Order results
Result details
Results per page
Select all
Export citation of selected articles as:
23 pages, 3875 KB  
Article
Attention-Weighted Hierarchical Decoding for Few-Shot Semantic Segmentation: A Case Study on Batik Cultural Heritage Patterns
by Yuzhou Ma, Haolong Qian and Wei Li
Electronics 2026, 15(6), 1242; https://doi.org/10.3390/electronics15061242 - 17 Mar 2026
Abstract
Few-shot semantic segmentation aims to learn accurate pixel-level classification from limited annotated samples, a critical capability for real-world applications where data acquisition is expensive or impractical. However, existing methods often struggle with fine-grained texture details and complex boundaries under data-scarce conditions, particularly when [...] Read more.
Few-shot semantic segmentation aims to learn accurate pixel-level classification from limited annotated samples, a critical capability for real-world applications where data acquisition is expensive or impractical. However, existing methods often struggle with fine-grained texture details and complex boundaries under data-scarce conditions, particularly when applied to domains with intricate visual patterns (such as batik patterns). To address this few-shot learning challenge, we constructed a few-shot batik pattern dataset and proposed a novel network architecture centered on attention weighting and hierarchical decoding. Our method leverages a pre-trained ResNet101 backbone for transfer learning to establish a strong feature foundation. It incorporates a dual-attention module that combines spatial and channel attention to dynamically highlight semantically rich regions and intricate texture boundaries specific to batik. For multi-scale context aggregation, a lightweight module utilizing parallel dilated convolutions is introduced to efficiently capture features from varying receptive fields. Finally, a hierarchical decoder progressively integrates these enhanced, multi-scale features with high-resolution shallow features to reconstruct precise segmentation maps. Comprehensive evaluations on a dedicated batik dataset show that our model achieves state-of-the-art performance, with a mean Intersection over Union (mIoU) of 79.22% and a pixel accuracy (PA) of 92.47%. It notably improves over the strong DeepLabV3+ baseline by 3.3% in mIoU and 0.95% in PA, demonstrating its effectiveness for the task of batik pattern segmentation under data-scarce conditions. Full article
(This article belongs to the Section Artificial Intelligence)
Show Figures

Figure 1

28 pages, 12746 KB  
Article
PSTNet: A Hyperspectral Image Classification Method Based on Adaptive Spectral–Spatial Tokens and Parallel Attention
by Shaokang Yu, Yong Mei, Xiangsuo Fan, Song Guo, Wujun Xu and Jinlong Fan
Remote Sens. 2026, 18(6), 901; https://doi.org/10.3390/rs18060901 - 15 Mar 2026
Abstract
Hyperspectral image classification holds significant applications across multiple domains due to its rich spectral and spatial information. However, it faces challenges such as spectral variation within the same object, spectral variation across different objects, and noise interference. Existing methods like convolutional neural networks [...] Read more.
Hyperspectral image classification holds significant applications across multiple domains due to its rich spectral and spatial information. However, it faces challenges such as spectral variation within the same object, spectral variation across different objects, and noise interference. Existing methods like convolutional neural networks perform well in local feature extraction but inadequately model long-range dependencies. While Transformers can capture global relationships, they struggle to effectively coordinate spectral and spatial information modeling. To address these limitations, this paper proposes a dual-branch collaborative Transformer network (PST-Net). This architecture integrates an adaptive spectral–spatial token (ASST) module, a Parallel Attention-Augmented lightweight CNN branch (PA-SSCNN), and a collaborative fusion layer. The ASST constructs joint representation tokens through local spectral smoothing and learnable spatial embedding. PA-SSCNN employs 3D-2D cascaded convolutions and channel–spatial attention mechanisms to enhance local texture and spatial feature extraction; CHIB enables deep interaction and synergistic fusion of dual-branch features across different levels and scales. Experimental results demonstrate that with only 2% labeled samples, PST-Net achieves overall classification accuracies of 96.31%, 96.59%, 95.27%, and 89.06% on the Salinas and Whuhh, and the two complex urban scene datasets Qingyun and Houston. Especially in fine-grained categories and complex scenes, it exhibits strong robustness. The ablation experiment further validated the effectiveness and complementarity of each module. This study provides an efficient collaborative modeling framework for hyperspectral image classification that balances global dependencies and local details. Full article
Show Figures

Figure 1

23 pages, 8969 KB  
Article
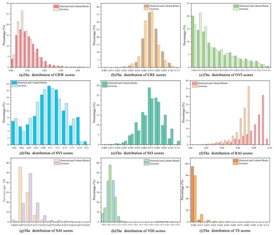
Evaluation of Spatial Integration Degree Between Hankou Historical and Cultural Blocks and Surrounding Areas in Wuhan Based on Street View Images
by Hong Xu, Xiaoyu Jiang, Jun Shao, Ziming Li, Wei Pang and Lixiang Zhou
Buildings 2026, 16(6), 1158; https://doi.org/10.3390/buildings16061158 - 15 Mar 2026
Abstract
With China’s urban growthism past its peak, urban development has shifted from incremental expansion to inventory quality improvement. Renovating historical and cultural blocks—a core area for urban quality enhancement—makes exploring their integration with surroundings highly significant. Existing studies on historical district research mainly [...] Read more.
With China’s urban growthism past its peak, urban development has shifted from incremental expansion to inventory quality improvement. Renovating historical and cultural blocks—a core area for urban quality enhancement—makes exploring their integration with surroundings highly significant. Existing studies on historical district research mainly focus on single-dimensional research such as protection policies, spatial structure analysis, and quality evaluation, lacking a systematic and quantitative evaluation of the spatial integration degree between historical and cultural blocks and their surrounding areas. To improve research on the integrated development of historical and cultural districts and their surrounding areas, this study employs deep learning and machine learning techniques to process street view images from 2721 data points in 2024, investigating the integration of Wuhan Hankou’s historical and cultural districts with their surrounding areas. The spatial integration degree between a historical and cultural district and its surroundings refers to the coordinated development level in terms of history and culture, spatial ecology, and transportation infrastructure. Specifically, the DeepLab v3+ model processes the blocks’ street view images to generate indicator data (Green Visual Index, Sky Visibility Index, Road Area Index, Spatial Enclosure Index, Color Richness (Wheel), Color Richness (Entropy), Spatial Accessibility Index, Vehicle Disturbance Index, Traffic Sign, which is used to quantify the historical culture, spatial ecology, and transportation facilities of historical and cultural blocks and their surrounding areas. The Coupling Coordination Degree model evaluates spatial integration, while the Geodetector Model quantitatively analyzes interactions between spatial integration and driving factors here. The results show that the spatial interaction and dependence between the Hankou Historical and Cultural District and its surrounding areas are relatively high, but spatial coordination is insufficient; the integration remains at a primary stage with structural contradictions. SVI, SEI, and RAI have a significant impact on integration, while Spatial Accessibility Index, Green Visual Index, and CRW have a moderate influence, and CRE, Vehicle Disturbance Index, and Traffic Signs have a relatively weak impact. Among them, SVI exhibits the strongest interactive effect with other indicators and plays a leverage role in improving integration. Full article
(This article belongs to the Section Architectural Design, Urban Science, and Real Estate)
Show Figures

Figure 1

19 pages, 14904 KB  
Article
National-Scale Conservation Gaps and Priority Areas for Invasive Plant Control in China: An Integrated MaxEnt-InVEST Framework
by Bao Liu, Mao Lin, Siyu Liu, Xingzhuang Ye and Shipin Chen
Plants 2026, 15(6), 898; https://doi.org/10.3390/plants15060898 - 13 Mar 2026
Viewed by 148
Abstract
Invasive alien plants (IAPs) pose a severe and escalating threat to biodiversity and ecosystem services in China. However, a systematic nationwide assessment that identifies invasion hotspots, quantifies their overlap with protected area networks, and pinpoints critical conservation gaps is still lacking. This hinders [...] Read more.
Invasive alien plants (IAPs) pose a severe and escalating threat to biodiversity and ecosystem services in China. However, a systematic nationwide assessment that identifies invasion hotspots, quantifies their overlap with protected area networks, and pinpoints critical conservation gaps is still lacking. This hinders the development of spatially targeted management strategies. To address this, we developed an integrated analytical framework coupling the Maximum Entropy (MaxEnt) model with the InVEST habitat quality model. Using a high-resolution, county-level distribution database of 293 IAPs, we mapped potential species richness and habitat degradation across China. The geo-detector model was further employed to identify the primary environmental factors and their interactions. Spatial overlay analysis was conducted to delineate core invasion habitats (areas of high invasion suitability and high degradation) and assess their coverage within China’s national nature reserves. Nighttime light intensity (DMSP, 34.39%), annual precipitation (Bio12, 14.16%), and mean diurnal range (Bio2, 11.82%) were the factors with the highest contribution in the model, highlighting the statistical interaction between anthropogenic pressure and climatic conditions. The core invasion habitat spanned 20.10 × 104 km2, predominantly (66.04%) concentrated in high-intensity human disturbance zones. Notably, only 11.18% of this core habitat falls within existing national nature reserves, revealing a vast conservation gap of 17.85 × 104 km2. Our results indicate a profound spatial mismatch between invasion hotspots and the current protected area network in China. We prioritize southeastern coastal urban agglomerations-characterized by high anthropogenic pressure (DMSP), high precipitation (Bio12), and low diurnal temperature range (Bio2)-for immediate monitoring and intervention. This integrated assessment provides a national-scale, spatially explicit prediction of invasion risk for 293 plant species in China, and offers an evidence-based decision-support tool for optimizing invasive species management and biodiversity conservation. Full article
(This article belongs to the Section Plant Modeling)
Show Figures

Figure 1

30 pages, 10668 KB  
Article
MambaLIC: State-Space Models for Efficient Remote Sensing Image Compression
by Haobo Xiong, Kai Liu, Huachao Xiao, Chongyang Ding and Feiyang Wang
Remote Sens. 2026, 18(6), 881; https://doi.org/10.3390/rs18060881 - 12 Mar 2026
Viewed by 112
Abstract
Remote sensing (RS) images, characterized by their large size and rich texture, require algorithms capable of effectively integrating both global and local features for compression. However, existing Learned Image Compression (LIC) approaches face distinct bottlenecks. While Transformer-based architectures typically suffer from heavy computational [...] Read more.
Remote sensing (RS) images, characterized by their large size and rich texture, require algorithms capable of effectively integrating both global and local features for compression. However, existing Learned Image Compression (LIC) approaches face distinct bottlenecks. While Transformer-based architectures typically suffer from heavy computational loads, standard State Space Models (SSMs) often incur prohibitive memory costs when processing high-resolution inputs. To address these limitations, we propose MambaLIC, a novel RS image compression network that integrates the efficient long-range modeling of SSMs with the local modeling ability of CNNs. In this paper, we introduce an innovative Remote Sensing State Space Model (RS-SSM) module, which combines visual SSM with dynamic convolution for remote sensing image compression. This integration facilitates effective interaction between local and global information, thereby enhancing the performance of RS image compression. Furthermore, we propose an SSM attention-based (SSA-based) spatial-channel context model for better entropy modeling. Compared to Transformer-CNN mixed architectures, MambaLIC reduces computational complexity by 63.9% and achieves superior rate-distortion (RD) performance. Consequently, compared to the latest SS2D-based method MambaIC, MambaLIC achieves substantial efficiency gains, saving 78.8% in memory usage. Experimental results demonstrate that MambaLIC achieves state-of-the-art (SOTA) performance, outperforming VVC (VTM-17.0) by 14.22%, 18.48%, and 17.47% in BD-rate on UC-Merced, LoveDA, and xView datasets, respectively. Full article
Show Figures

Figure 1

18 pages, 3736 KB  
Article
Contact-Accessible Silver Nanoparticle-Decorated Electrospun Carbon Fibers for Microplastics Detection by SERS
by FNU Joshua, Yuen Yee Li Sip, Aritra Biswas, Violette Gray, Debashis Chanda and Lei Zhai
Materials 2026, 19(6), 1074; https://doi.org/10.3390/ma19061074 - 11 Mar 2026
Viewed by 156
Abstract
Reliable detection of microplastics by surface-enhanced Raman scattering (SERS) is often hindered by poor particle–substrate contact and limited access to plasmonic hotspots on conventional planar substrates optimized for molecular adsorption. Here, we report a rapid microwave-assisted carbothermal shock strategy to fabricate silver nanoparticle-decorated [...] Read more.
Reliable detection of microplastics by surface-enhanced Raman scattering (SERS) is often hindered by poor particle–substrate contact and limited access to plasmonic hotspots on conventional planar substrates optimized for molecular adsorption. Here, we report a rapid microwave-assisted carbothermal shock strategy to fabricate silver nanoparticle-decorated electrospun carbon fibers (AgNPs@ECF) as a three-dimensional plasmonic platform tailored for solid microplastic sensing. Localized microwave-induced heating in a mixed ethanol–hexane system enables Ag nanoparticle nucleation and anchoring on conductive carbon fibers within 45 s, yielding a mechanically compliant, junction-rich architecture without chemical reductants or vacuum processing. The AgNPs@ECF composite was evaluated using morphologically weathered polystyrene (PS) and polyethylene terephthalate (PET) microplastics, along with size-controlled PS bead standards ranging from ~50 nm to 45 μm. Across these models, SERS response is governed primarily by particle–substrate contact geometry and near-field accessibility rather than polymer type. The strongest enhancement occurs in the sub-micrometer regime, where particles can engage multiple AgNP-decorated fiber junctions, while ultrasmall and large, smooth particles show reduced enhancement due to limited contact or rapid field decay. Spatially resolved Raman mapping and finite-difference time-domain simulations support a contact-dominated enhancement mechanism, revealing localized field confinement at particle–fiber interfaces. These results establish the design principles for three-dimensional SERS substrates targeting heterogeneous solid particulates, demonstrating that contact-accessible plasmonic architectures are critical for reliable microplastic detection under realistic solid-particle measurement conditions. Full article
(This article belongs to the Special Issue Emerging Trends and Innovations in Engineered Nanomaterials)
Show Figures

Figure 1

21 pages, 6660 KB  
Article
Infrared and Visible Multi-Scale Pyramid Cross-Layer Fusion Algorithm Based on Thermal Extended Target Separation
by An Liang, Laixian Zhang, Yingchun Li, Hao Ding, Haijing Zheng, Rong Li and Rui Zhu
Photonics 2026, 13(3), 263; https://doi.org/10.3390/photonics13030263 - 10 Mar 2026
Viewed by 136
Abstract
Infrared and visible image fusion aims to synergistically combine the thermal target saliency of infrared images with the rich textual details of visible images. To address the limitations of traditional multi-scale methods in terms of target-background contrast and detail preservation, this paper introduces [...] Read more.
Infrared and visible image fusion aims to synergistically combine the thermal target saliency of infrared images with the rich textual details of visible images. To address the limitations of traditional multi-scale methods in terms of target-background contrast and detail preservation, this paper introduces a novel multi-scale pyramid cross-layer fusion framework. The core of this framework lies in a thermal expansion-based target separation mechanism for superior hierarchical decomposition. Source images are first decomposed via a Gaussian–Laplacian pyramid for multi-resolution representation. By exploiting infrared thermal saliency and visible geometric priors, the scene is explicitly segregated into a target layer and a background layer. The target layer employs deep feature extraction based on Iteratively Reweighted Nuclear Norm minimization to sharpen thermal prominences and enhance contrast; concurrently, the background layer undergoes a cross-modal, cross-layer consistency fusion strategy, integrating spatial textures across frequency bands to maintain structural fidelity and detail richness. This dual-layer paradigm, augmented by multi-scale aggregation, ensures seamless, artifact-free fusion. To comprehensively evaluate the proposed method, systematic experiments are conducted on two benchmark datasets: TNO and RoadScene. Evaluations on the dataset demonstrate that our method outperforms state-of-the-art baselines. Extended experiments on the MSRS dataset further confirm the strong generalization capability and robustness of our method. Furthermore, systematic hyperparameter experiments determine the optimal model configuration, and ablation studies substantiate the effective contribution of both the pyramid segregation module and the IRNN optimization module to the final fusion performance. Extensive hyperparameter testing identified the optimal setup, and ablation studies confirmed the contribution of each key module. Overall, our fusion algorithm demonstrates satisfactory performance in the experiments, representing a clear advance. Full article
(This article belongs to the Special Issue Computational Optical Imaging: Theories, Algorithms, and Applications)
Show Figures

Figure 1

30 pages, 3492 KB  
Article
Redundant or Minimal? A Comparative Study of Augmented Reality Visualization Concepts for Manual Assembly
by Yannick Klein, Leon Paul Mondrian Munz, Maximilian Mushoff, Eva-Maria Grommes and Anja Richert
Virtual Worlds 2026, 5(1), 14; https://doi.org/10.3390/virtualworlds5010014 - 10 Mar 2026
Viewed by 93
Abstract
Augmented reality (AR) offers promising opportunities to support manual assembly, but there is little consensus on how much information AR instructions should contain, reflecting debates between cognitive-load-oriented minimalism and multimedia-learning-based benefits of redundancy. These debates manifest in practice as rich, multimodal overlays or [...] Read more.
Augmented reality (AR) offers promising opportunities to support manual assembly, but there is little consensus on how much information AR instructions should contain, reflecting debates between cognitive-load-oriented minimalism and multimedia-learning-based benefits of redundancy. These debates manifest in practice as rich, multimodal overlays or minimal, complexity-adaptive visualizations designed to avoid clutter and ease authoring. This study compares these approaches by contrasting a redundant AR concept combining three-dimensional models, photographs, and videos with a minimal concept that adapts visualization types to assembly step complexity. In a between-subject experiment with 30 participants (mixed-experience; heterogeneous backgrounds) performing a heat-pump assembly task for the first time in a spatially constrained setup, errors, task time, workload, and usability were measured. The redundant concept led to significantly fewer errors and a lower per-step error probability than the minimal concept, without a penalty in assembly time. Workload and usability were comparable across concepts and primarily driven by performance rather than by visualization style. Step complexity strongly predicted completion time but not error rates, suggesting that operators slow down on complex steps while failures are more sensitive to instructional design. These findings suggest that overly minimal AR instructions increase error risk, whereas redundant AR instructions stabilize performance. Full article
Show Figures

Figure 1

25 pages, 11205 KB  
Article
Remote Sensing Image Captioning via Self-Supervised DINOv3 and Transformer Fusion
by Maryam Mehmood, Ahsan Shahzad, Farhan Hussain, Lismer Andres Caceres-Najarro and Muhammad Usman
Remote Sens. 2026, 18(6), 846; https://doi.org/10.3390/rs18060846 - 10 Mar 2026
Viewed by 217
Abstract
Effective interpretation of coherent and usable information from aerial images (e.g., satellite imagery or high-altitude drone photography) can greatly reduce human effort in many situations, both natural (e.g., earthquakes, forest fires, tsunamis) and man-made (e.g., highway pile-ups, traffic congestion), particularly in disaster management. [...] Read more.
Effective interpretation of coherent and usable information from aerial images (e.g., satellite imagery or high-altitude drone photography) can greatly reduce human effort in many situations, both natural (e.g., earthquakes, forest fires, tsunamis) and man-made (e.g., highway pile-ups, traffic congestion), particularly in disaster management. This research proposes a novel encoder–decoder framework for captioning of remote sensing images that integrates self-supervised DINOv3 visual features with a hybrid Transformer–LSTM decoder. Unlike existing approaches that rely on supervised CNN-based encoders (e.g., ResNet, VGG), the proposed method leverages DINOv3’s self-supervised learning capabilities to extract dense, semantically rich features from aerial images without requiring domain-specific labeled pretraining. The proposed hybrid decoder combines Transformer layers for global context modeling with LSTM layers for sequential caption generation, producing coherent and context-aware descriptions. Feature extraction is performed using the DINOv3 model, which employs the gram-anchoring technique to stabilize dense feature maps. Captions are generated through a hybrid of Transformer with Long Short-Term Memory (LSTM) layers, which adds contextual meaning to captions through sequential hidden layer modeling with gated memory. The model is first evaluated on two traditional remote sensing image captioning datasets: RSICD and UCM-Captions. Multiple evaluation metrics like Bilingual Evaluation Understudy (BLEU), Consensus-based Image Description Evaluation (CIDEr), Recall-Oriented Understudy for Gisting Evaluation (ROUGE-L), and Metric for Evaluation of Translation with Explicit Ordering (METEOR), are used to quantify the performance and robustness of the proposed DINOv3 hybrid model. The proposed model outperforms conventional Convolutional Neural Network (CNN) and Vision Transformers (ViT)-based models by approximately 9–12% across most evaluation metrics. Attention heatmaps are also employed to qualitatively validate the proposed model when identifying and describing key spatial elements. In addition, the proposed model is evaluated on advanced remote sensing datasets, including RSITMD, DisasterM3, and GeoChat. The results demonstrate that self-supervised vision transformers are robust encoders for multi-modal understanding in remote sensing image analysis and captioning. Full article
Show Figures

Figure 1

16 pages, 3892 KB  
Article
Fungal Diversity and Its Relationship with Environmental Factors in Oaxaca and Surrounding States in Southern Mexico
by Mario Ernesto Suárez-Mota, Irene Bautista-Juárez, Wenceslao Santiago-García, Monserrat Vázquez-Sánchez, María Ángelica Navarro-Martínez, Arturo Félix Hernández-Díaz and Faustino Ruiz-Aquino
Forests 2026, 17(3), 340; https://doi.org/10.3390/f17030340 - 9 Mar 2026
Viewed by 198
Abstract
Fungal communities exhibit strong spatial and environmental structuring across forest ecosystems, yet the drivers shaping their diversity patterns remain incompletely understood. In this study, we combined multivariate ordination, clustering analyses, and Zeta diversity (ζ-diversity) metrics to characterize fungal assemblages across environmental [...] Read more.
Fungal communities exhibit strong spatial and environmental structuring across forest ecosystems, yet the drivers shaping their diversity patterns remain incompletely understood. In this study, we combined multivariate ordination, clustering analyses, and Zeta diversity (ζ-diversity) metrics to characterize fungal assemblages across environmental gradients. Canonical Correspondence Analysis (CCA) revealed that fungal community composition was significantly associated with climatic variables, particularly seasonal precipitation, thermal variation, and elevation. Hierarchical and K-means clustering identified coherent community clusters that differed in species richness and alpha diversity. Bray–Curtis distances and a Ward-based dendrogram further supported this separation, revealing a clear hierarchical structure in community similarity. Zeta diversity analysis indicated a slower species turnover, suggesting niche assimilation and habitat homogenization. Furthermore, the grouping of fungal assemblages followed a power-law model, emphasizing the role of deterministic environmental filtering. Critically, our findings reveal that only 1208 (33.5%) of the 3606 recorded species are present within existing Protected Natural Areas (PNAs), indicating a significant conservation gap. Together, these results provide an integrated ecological understanding of fungal diversity patterns, highlighting how climate–topography interactions structure communities and emphasizing the urgent need to align conservation strategies with these environmental drivers. Full article
(This article belongs to the Special Issue Forest Biodiversity and Ecosystem Services Under Climate Variation)
Show Figures

Figure 1

21 pages, 4889 KB  
Article
Social Value Assessment of Ecosystem Services in Urban Cultural Landscapes from the Perspective of Visitors
by Yujia Guo, Yao Du, Shiliang Liu and Yuhong Dong
Land 2026, 15(3), 428; https://doi.org/10.3390/land15030428 - 6 Mar 2026
Viewed by 239
Abstract
The cultural services of urban cultural landscape ecosystems are easily perceived by visitors, and their quantitative assessment and exploration of influencing factors can provide a scientific basis for the optimization of urban cultural landscapes. Existing studies rarely reveal the spatial distribution of the [...] Read more.
The cultural services of urban cultural landscape ecosystems are easily perceived by visitors, and their quantitative assessment and exploration of influencing factors can provide a scientific basis for the optimization of urban cultural landscapes. Existing studies rarely reveal the spatial distribution of the social values of urban cultural landscape ecosystem cultural services and the influencing factors of this spatial distribution from the visitors’ perspective. To reveal the spatial distribution pattern of the social values of urban cultural landscape ecosystem cultural services from the visitors’ perspective, explore its influencing factors, and verify the applicability of the SolVES model in urban cultural landscapes, this study obtained the overall perception and preferences of visitors towards Cangzhou Garden Expo Park through a questionnaire survey. Combining the questionnaire survey data with geographical data, the SolVES 3.0 model was employed to conduct quantitative assessments and spatial distribution analyses of six social values of the ecosystem: esthetic, biodiversity, historical, recreation, learning, and life-sustaining values. The following conclusions were drawn: (1) The maximum value index of recreation value and esthetic value were highest, and showed significant spatial concentrated characteristics, with hotspots concentrated at the northeast side of the park. (2) Biodiversity value and historical value were prominent near areas rich in plant resources and industrial heritage sites. (3) The distance to roads and slope significantly influenced the assessment of social values; social values showed a significant negative correlation with distance to roads. (4) The Garden Expo Park had strong advantages in ecological restoration and social value supply, but there were still problems such as inconvenient transportation and uneven value distribution. Based on the above results, this study proposed suggestions for enhancing the social values of the ecosystem services in Cangzhou Garden Expo Park, and further provided targeted optimization suggestions for the construction and management of urban cultural landscapes. The SolVES model showed good performance in assessing the social values of the ecosystem services of an urban cultural landscape, with high reliability and promising application prospects. Full article
Show Figures

Figure 1

20 pages, 4167 KB  
Article
MCF-SCA: A Multi-Scale Spatio-Temporal Convolution and Multi-Order Gated Spatial-Channel Aggregation Networks for Cross-Subject EEG-Based Emotion Recognition
by Yinghui Meng, Jiaoshuai Song, Duan Li, Jiaofen Nan, Wen Feng, Yongquan Xia, Fubao Zhu and Changxiang Yuan
Information 2026, 17(3), 257; https://doi.org/10.3390/info17030257 - 5 Mar 2026
Viewed by 206
Abstract
Cross-subject emotion recognition using EEG remains challenging due to substantial inter-individual variability. To address this, we propose a Multi-scale Spatio-Temporal Convolution and Multi-order Gated Spatial-Channel Aggregation Network (MCF-SCA). The model leverages multi-scale spatio-temporal convolution to capture rich temporal and spatial features and applies [...] Read more.
Cross-subject emotion recognition using EEG remains challenging due to substantial inter-individual variability. To address this, we propose a Multi-scale Spatio-Temporal Convolution and Multi-order Gated Spatial-Channel Aggregation Network (MCF-SCA). The model leverages multi-scale spatio-temporal convolution to capture rich temporal and spatial features and applies Fast Fourier Transform to transform EEG signals into the frequency domain, enhancing emotion-related representations. A multi-order spatial-channel aggregation module is then introduced, which adaptively integrates features across spatial and channel dimensions through a gating mechanism, enabling dynamic feature weighting and more expressive emotional representations. Experiments on the DEAP dataset show accuracy gains of up to 11–30% for arousal and 12–31% for valence compared with TSception, CNN, LSTM, EEGNet, and MLP. On the DREAMER dataset, improvements reach 5–33% and 3.7–34%, respectively. These results confirm that MCF-SCA achieves superior accuracy and cross-subject adaptability, providing strong support for emotion-based brain–computer interface applications. Full article
(This article belongs to the Section Biomedical Information and Health)
Show Figures

Figure 1

12 pages, 1348 KB  
Proceeding Paper
LDDm-YOLO: A Distilled YOLOv8 Model for Efficient Real-Time UAV Detection on Edge Devices
by Maryam Lawan Salisu and Aminu Musa
Eng. Proc. 2026, 124(1), 68; https://doi.org/10.3390/engproc2026124068 - 4 Mar 2026
Viewed by 63
Abstract
Lightweight deep-learning models, including MobileNet and LDDm-CNN, have demonstrated significant potential for distinguishing drones from other aerial objects, making them well suited for deployment in resource-constrained environments. However, classification-based approaches face inherent limitations for real-time surveillance, as they rely on prior object cropping [...] Read more.
Lightweight deep-learning models, including MobileNet and LDDm-CNN, have demonstrated significant potential for distinguishing drones from other aerial objects, making them well suited for deployment in resource-constrained environments. However, classification-based approaches face inherent limitations for real-time surveillance, as they rely on prior object cropping or manual region-of-interest extraction and lack the capability to localize drones directly within a complex scene. This limitation significantly restricts their applicability and effectiveness in dynamic and safety-critical environments such as airspace monitoring and critical infrastructure protection, where both recognition and spatial localization are crucial. To address this gap, we proposed LDDm-YOLO, which uses the YOLO-v8n as a compact feature extractor and integrates a lightweight, anchor-free detection head with a shallow feature pyramid for multi-scale object localization. We employed knowledge distillation to transfer rich spatial and semantic features from a larger teacher detector (YOLO-V8x), while incorporating Bayesian optimization for hyperparameter tuning. All experiments were conducted on the Google Colab platform with NVIDIA T4 GPU. The proposed LDDm-YOLO achieves competitive mean Average Precision (mAP = 0.96), Precision 0.92, Recall 0.94, and 127.06 FPS, retaining a smaller model size of only 6.25 MB and low computational complexity (8.9 GFLOPs). These results indicate the potential of the proposed model for edge device deployment. Full article
(This article belongs to the Proceedings of The 6th International Electronic Conference on Applied Sciences)
Show Figures

Figure 1

25 pages, 3829 KB  
Article
Spatio-Temporal Heterogeneity of Regional Carbon Emission Drivers in China: Evidence from an Integrated Random Forest and GTWR Model
by Jiqiong Yu, Xueting Jiang, Chundi Jiang and Ping Li
Sustainability 2026, 18(5), 2507; https://doi.org/10.3390/su18052507 - 4 Mar 2026
Viewed by 173
Abstract
Precisely identifying the key drivers of regional carbon emissions and their spatiotemporal heterogeneity is critical for formulating differentiated strategies under China’s “Dual Carbon” goals. To address the limitations of traditional models in variable screening and handling non-stationarity, this study constructs an analytical framework [...] Read more.
Precisely identifying the key drivers of regional carbon emissions and their spatiotemporal heterogeneity is critical for formulating differentiated strategies under China’s “Dual Carbon” goals. To address the limitations of traditional models in variable screening and handling non-stationarity, this study constructs an analytical framework that integrates a Random Forest (RF) model for preliminary variable screening, Geographically and Temporally Weighted Regression (GTWR) for spatiotemporal quantification, and the CRITIC method for multidimensional evaluation. Based on panel data from 30 Chinese provinces spanning 2005 to 2023, this study investigates the spatiotemporal evolution of carbon emission drivers. The findings reveal significant regional disparities. In the eastern region, the emission-increasing effect driven by population continues to intensify. Although economic growth shows signs of decoupling from emissions, the emission reduction benefits of industrial upgrading are diminishing. Notably, provinces such as Jiangsu have even experienced a rebound in energy consumption, which is potentially linked to the expansion of digital infrastructure. In the central region, a “pollution haven” effect has emerged due to the relocation of energy-intensive industries. Furthermore, the impacts of population, urbanization, and energy consumption structure exhibit an inverted U-shaped trend, with green urbanization beginning to yield initial emission reductions. In the western region, the suppressive effect of energy intensity on emissions continues to strengthen, particularly around Shaanxi. For northern energy-rich areas, economic growth acts as a prominent driver, while the impact of population displays a clear “positive in the south, negative in the north” spatial pattern. Moreover, northern provinces have successfully leveraged agglomeration effects to achieve emission reductions. Ultimately, these findings provide robust empirical support for constructing a spatially differentiated governance system to facilitate carbon neutrality. Full article
Show Figures

Figure 1

16 pages, 5254 KB  
Article
An Investigation on the Effectiveness of Horizontal Curtain Grouting Based on Multi-Method Joint Analysis: A Case Study of the Cuihongshan Iron-Polymetallic Mine
by Zhiqi Wang, Dajin Liu, Xiaofeng Xue, Guilei Han, Xuetong Gao and Shichong Yuan
Water 2026, 18(5), 613; https://doi.org/10.3390/w18050613 - 4 Mar 2026
Viewed by 180
Abstract
Regional curtain grouting for water interception serves as a critical technique for achieving safe and efficient mining under complex hydrogeological conditions in deep mine deposits. This study focuses on the Cuihongshan Iron-Polymetallic Mine, where repeated incidents of water inrush and sand outbursts have [...] Read more.
Regional curtain grouting for water interception serves as a critical technique for achieving safe and efficient mining under complex hydrogeological conditions in deep mine deposits. This study focuses on the Cuihongshan Iron-Polymetallic Mine, where repeated incidents of water inrush and sand outbursts have occurred due to complex hydrogeological conditions. By identifying the water-conducting pathways and characterizing the spatial distribution of relative aquitards within the mining area, a precise hydrogeological model was established. On this basis, the engineering application and performance evaluation of horizontal curtain grouting were systematically investigated. Through field monitoring and multi-method joint analysis, the water-blocking effectiveness of the grouting technique was comprehensively assessed. The results demonstrate a significant sequential reduction in grout take per meter for primary, secondary, and tertiary grouting holes, indicating a clear cumulative grouting effect. The grout effectively filled karst fractures, forming a continuous and stable water-resisting curtain. The project successfully severed the hydraulic connection between the highly water-rich Quaternary aquifer and the mine workings, substantially reducing mine water inflow. This study provides important theoretical support and practical reference for water hazard control in similar deep metal mines. Full article
(This article belongs to the Section Hydrogeology)
Show Figures

Figure 1

Back to TopTop