Sign in to use this feature.

Years

Between: -

Subjects

remove_circle_outline
remove_circle_outline
remove_circle_outline
remove_circle_outline
remove_circle_outline
remove_circle_outline
remove_circle_outline
remove_circle_outline
remove_circle_outline

Journals

remove_circle_outline
remove_circle_outline
remove_circle_outline
remove_circle_outline

Article Types

Countries / Regions

remove_circle_outline
remove_circle_outline
remove_circle_outline

Search Results (323)

Search Parameters:
Keywords = spatial phase shift

Order results
Result details
Results per page
Select all
Export citation of selected articles as:
26 pages, 10158 KB  
Article
Driving Collaborative Governance: Simulating the Dynamic Evolution of Multi-Stakeholder Strategies in Industrial Heritage Renewal Through Policy Levers
by Zhibiao Chen and Minghua Ma
Sustainability 2026, 18(4), 1981; https://doi.org/10.3390/su18041981 - 14 Feb 2026
Viewed by 56
Abstract
At the critical juncture where Chinese cities are transitioning toward intensive urban renewal and sustainable development, the revitalization and adaptive reuse of industrial heritage face a collective action dilemma stemming from the misaligned interests among three key stakeholders: the Local Government (LG), the [...] Read more.
At the critical juncture where Chinese cities are transitioning toward intensive urban renewal and sustainable development, the revitalization and adaptive reuse of industrial heritage face a collective action dilemma stemming from the misaligned interests among three key stakeholders: the Local Government (LG), the Industrial Heritage Developer (IHD), and the Neighboring Complementary Merchants (NCMs). To address this challenge, this study constructs a tripartite evolutionary game model and innovatively proposes an analytical framework of a Multi-Dimensional Policy Lever System, which integrates spatial synergy (k, w, v), economic incentives (p1, p2, q), and behavioral regulation (m, n). Numerical simulations reveal that the successful regeneration of industrial heritage does not rely on any single policy but fundamentally depends on the systematic coordination and dynamic adaptation of these three-dimensional levers. The nonlinear coupling of spatial elements forms the foundation for value leapfrogging. The economic driving force requires a critical shift from government subsidies (p) towards a market-based value capture and recycling mechanism (q). Behavioral interventions provide the necessary cognitive and normative safeguards for cooperation. The research elucidates a three-phase evolutionary pattern of the system, transitioning from a stalemate to synergy, and emphasizes the need for an adaptive and sequential combination of policies. The theoretical contribution of this study lies in providing an integrative quantitative analytical framework. Its practical significance is to offer a scientific basis for decision-makers to construct a dynamic policy toolbox and promote the sustainable collaborative governance of industrial heritage. Full article
Show Figures

Figure 1

24 pages, 2306 KB  
Review
The Evolving Role of Coastal and Marine Spatial Planning in Enhancing Blue Carbon Ecosystems Governance: A Bibliometric Analysis
by Yanhong Lin, Jiaju Lin, Faming Huang, Yancheng Tao, Jianhua Liao, Kebing Wang, Guanglong Qiu and Wenai Liu
Diversity 2026, 18(2), 115; https://doi.org/10.3390/d18020115 - 11 Feb 2026
Viewed by 196
Abstract
Blue carbon ecosystems are critical biodiversity hotspots facing escalating threats. Coastal and Marine Spatial Planning (CMSP) is a key policy tool for protecting their biodiversity and enhancing ecosystem services, resilience, climate action, and sustainable development. We performed a systematic bibliometric analysis (1981–2025) using [...] Read more.
Blue carbon ecosystems are critical biodiversity hotspots facing escalating threats. Coastal and Marine Spatial Planning (CMSP) is a key policy tool for protecting their biodiversity and enhancing ecosystem services, resilience, climate action, and sustainable development. We performed a systematic bibliometric analysis (1981–2025) using the Web of Science Core Collection. The results indicated that global CMSP–blue carbon ecosystems collaborative research exhibits a three-stage evolutionary pattern: the initial phase (2008–2012) of blue carbon concept introduction; the development phase (2013–2018), where research focus shifted to carbon sinks and ecology driven by policy initiatives; and the growth phase (2019–2025), where research focused on precision systematic governance. Research has evolved from baseline ecosystem assessments to policy governance integration, which emerged as a core component of Marine Spatial Planning to advance sustainable development. Research networks exhibit a “center–periphery” pattern. However, the international influence of China’s research output remains limited. Future CMSP collaborative governance will require refining planning frameworks, addressing regional technical adaptation challenges, and establishing a multidimensional policy system to reconcile the effective conservation of blue carbon ecosystems in order to reconcile biodiversity, resilience, and sustainable development. This study maps the CMSP–blue carbon ecosystems research landscape, informing improved climate-friendly marine and coastal spatial planning for enhanced coastal wetland biodiversity and ecological resilience. Full article
(This article belongs to the Special Issue Biodiversity and Ecosystem Conservation of Coastal Wetlands)
Show Figures

Figure 1

31 pages, 5235 KB  
Article
Geographical Patterns in Earth Observation Science and Environmental Research: A Global Bibliometric Assessment (1978–2024)
by Sanja Šamanović, Olga Bjelotomić Oršulić, Vanja Miljković and Karla Čmelar
Earth 2026, 7(1), 25; https://doi.org/10.3390/earth7010025 - 9 Feb 2026
Viewed by 220
Abstract
This paper provides insight into the development of Earth Observation (EO) research within geographic and environmental sciences from 1978 to 2024, using a spatially explicit bibliometric approach. The research is based on 28,871 publications indexed in the Web of Science database, which includes [...] Read more.
This paper provides insight into the development of Earth Observation (EO) research within geographic and environmental sciences from 1978 to 2024, using a spatially explicit bibliometric approach. The research is based on 28,871 publications indexed in the Web of Science database, which includes four EO-related subject categories: remote sensing, environmental science, geography physical, and geography. Two main phases of the de velopment of EO research are identified. The first period (1978–2011) is marked by fundamental research on early satellite imagery, while the second period (2012–2024) represents a strong growth spurred by open data policies, the Sentinel missions and the development of cloud computing platforms. The results indicate marked geographical asymmetries. Research activities are concentrated in the United States, China, Canada and Western Europe, while many countries of the Global South remain underrepresented and rely more heavily on international collaboration. These spatial disparities reflect the uneven global distribution of scientific and technological capacity. Thematic and network analyses show a shift in focus from sensor- and data-driven research towards the application of machine learning, time-series analysis, land use and land cover change studies and Sentinel-based applications. The results provide a contextual framework for understanding how the development of environmental observation research capacity and technological change are shaping contemporary environmental research and its ability to respond to global environmental change. Full article
Show Figures

Figure 1

20 pages, 22757 KB  
Article
Efficient Mapping and Tracking the Properties of Micromechanical Resonators Using Phase-Lock Loops with Closely-Spaced Frequencies
by Agnes Zinth, Samer Houri and Menno Poot
Micromachines 2026, 17(2), 213; https://doi.org/10.3390/mi17020213 - 5 Feb 2026
Viewed by 257
Abstract
Studying the dynamical behavior of micro- and nano-mechanical systems (MEMSs and NEMSs) is essential in various fields from nonlinear dynamics to quantum technologies. Hence, it is important to precisely monitor the mechanical properties of MEMS and NEMS devices. In this work, we show [...] Read more.
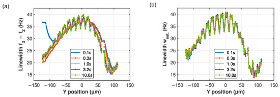
Studying the dynamical behavior of micro- and nano-mechanical systems (MEMSs and NEMSs) is essential in various fields from nonlinear dynamics to quantum technologies. Hence, it is important to precisely monitor the mechanical properties of MEMS and NEMS devices. In this work, we show how to track and spatially map various properties of a mechanical resonator, such as frequency shift, linewidth, and nonlinearity, by appropriately selecting three closely spaced drive frequencies and using phase-locked loops. This technique tracks changes in the system quickly and efficiently, without the need for repeated frequency sweeps of the oscillator response, simply by employing three phase-locked tones. Full article
Show Figures

Figure 1

23 pages, 2635 KB  
Article
Transformer-Based Dynamic Flame Image Analysis for Real-Time Carbon Content Prediction in BOF Steelmaking
by Hao Yang, Meixia Fu, Wei Li, Lei Sun, Qu Wang, Na Chen, Ronghui Zhang, Zhenqian Wang, Yifan Lu, Zhangchao Ma and Jianquan Wang
Metals 2026, 16(2), 185; https://doi.org/10.3390/met16020185 - 4 Feb 2026
Viewed by 220
Abstract
Accurately predicting molten steel carbon content plays a crucial role in improving productivity and energy efficiency during the Basic Oxygen Furnace (BOF) steelmaking process. However, current data-driven methods primarily focus on endpoint carbon content prediction, while lacking sufficient investigation into real-time curve forecasting [...] Read more.
Accurately predicting molten steel carbon content plays a crucial role in improving productivity and energy efficiency during the Basic Oxygen Furnace (BOF) steelmaking process. However, current data-driven methods primarily focus on endpoint carbon content prediction, while lacking sufficient investigation into real-time curve forecasting during the blowing process, which hinders real-time closed-loop BOF control. In this article, a novel Transformer-based framework is presented for real-time carbon content prediction. The contributions include three main aspects. First, the prediction paradigm is reconstructed by converting the regression task into a sequence classification task, which demonstrates superior robustness and accuracy compared to traditional regression methods. Second, the focus is shifted from traditional endpoint-only forecasting to long-term prediction by introducing a Transformer-based model for continuous, real-time prediction of carbon content. Last, spatial–temporal feature representation is enhanced by integrating an optical flow channel with the original RGB channels, and the resulting four-channel input tensor effectively captures the dynamic characteristics of the converter mouth flame. Experimental results on an independent test dataset demonstrate favorable performance of the proposed framework in predicting carbon content trajectories. The model achieves high accuracy, reaching 84% during the critical decarburization endpoint phase where carbon content decreases from 0.0829 to 0.0440, and delivers predictions with approximately 75% of errors within ±0.05. Such performance demonstrates the practical potential for supporting intelligent BOF steelmaking. Full article
Show Figures

Figure 1

15 pages, 2198 KB  
Article
High-Resolution OFDR with All Grating Fiber Combining Phase Demodulation and Cross-Correlation Methods
by Yanlin Liu, Yang Luo, Xiangpeng Xiao, Zhijun Yan, Yu Qin, Yichun Shen and Feng Wang
Sensors 2026, 26(3), 1004; https://doi.org/10.3390/s26031004 - 3 Feb 2026
Viewed by 218
Abstract
Spatial resolution is a critical parameter for optical frequency domain reflectometry (OFDR). Phase-sensitive OFDR (Φ-OFDR) measures strain by detecting phase variations between adjacent sampling points, having the potential to achieve the theoretical limitation of spatial resolution. However, the results of Φ-OFDR suffer from [...] Read more.
Spatial resolution is a critical parameter for optical frequency domain reflectometry (OFDR). Phase-sensitive OFDR (Φ-OFDR) measures strain by detecting phase variations between adjacent sampling points, having the potential to achieve the theoretical limitation of spatial resolution. However, the results of Φ-OFDR suffer from large fluctuations due to multiple types of noise, including coherent fading and system noise. This work presents an OFDR-based strain sensing method that combines phase demodulation with cross-correlation analysis to achieve high spatial resolution. In the phase demodulation, the frequency-shift averaging (FSAV) and rotating vector summation (RVS) algorithms are first employed to suppress coherent fading noise and achieve accurate strain localization. Then the cross-correlation approach with an adaptive window is proposed. Guided by the accurate strain boundary obtained from phase demodulation, the length and position of the cross-correlation window are automatically adjusted to fit for continuous and uniform strain regions. As a result, an accurate and complete strain distribution along the entire fiber is finally obtained. The experimental results show that, within a strain range of 100–700 με, the method achieves a spatial resolution of 0.27 mm for the strain boundary, with a root-mean-square error approaching 0.94%. The processing time reaches approximately 0.035 s, with a demodulation length of 1.6 m. The proposed approach offers precise spatial localization of the strain boundary and stable strain measurement, demonstrating its potential for high-resolution OFDR-based sensing applications. Full article
(This article belongs to the Special Issue FBG and UWFBG Sensing Technology)
Show Figures

Figure 1

26 pages, 12013 KB  
Article
Vegetation Greening Driven by Warming and Humidification Trends in the Upper Reaches of the Irtysh River
by Honghua Cao, Lu Li, Hongfan Xu, Yuting Fan, Huaming Shang, Li Qin and Heli Zhang
Remote Sens. 2026, 18(3), 482; https://doi.org/10.3390/rs18030482 - 2 Feb 2026
Viewed by 301
Abstract
To effectively manage and conserve ecosystems, it is crucial to understand how vegetation changes over time and space and what drives these changes. The Normalized Difference Vegetation Index (NDVI) is a key measure of plant growth that is highly sensitive to climate variations. [...] Read more.
To effectively manage and conserve ecosystems, it is crucial to understand how vegetation changes over time and space and what drives these changes. The Normalized Difference Vegetation Index (NDVI) is a key measure of plant growth that is highly sensitive to climate variations. Despite its importance, there has been limited research on vegetation changes in the upper sections of the Irtysh River. In our study, we combined various datasets, including NDVI, temperature, precipitation, soil moisture, elevation, and land cover. We conducted several analyses, such as Theil–Sen median trend analysis, Mann–Kendall trend and mutation tests, partial correlation analysis, the geographical detector model, and wavelet analysis, to reveal the region’s pronounced warming and moistening trend in recent years, the response relationship between NDVI and the climate, and the primary drivers influencing NDVI variations. We also delved into the spatiotemporal evolution of NDVI and identified key factors driving these changes by analyzing atmospheric circulation patterns. Our main findings are as follows: (1) Between 1901 and 2022, the area’s temperature rose by 0.018 °C/a, with a noticeable increase in the rate of warming around 1990; precipitation increased by 0.292 mm/a. From 1950 to 2022, soil moisture exhibited a steady increase of 0.0002 m3 m−3/a. Spatial trend distributions indicated that increasing trends in temperature and precipitation were evident across the entire region, while trends in soil moisture showed significant spatial variation. (2) During 1982 to 2022, the vegetation greening trend was 0.002/10a, indicating a gradual improvement in vegetation growth in the study area. The spatial distribution of monthly average NDVI values revealed that the main growing season of vegetation spanned April to November, with peak NDVI values occurring in June–August. Combined with serial partial correlation and spatial partial correlation analysis, temperatures during April to May effectively promoted the germination and growth of vegetation, while soil moisture accumulation from June to August (or January to August) effectively met the water demand of vegetation during its growth process, with a significant promoting effect. Geographical detector results demonstrate that temperature exhibits the strongest explanatory power for NDVI variation, whereas land cover has the weakest. The synergistic promotional effect of multiple climatic factors is highly pronounced. (3) Wavelet analysis revealed that the periodic characteristics of NDVI and climate variables over a 2–15-year timescale may have been associated with the impacts of atmospheric circulation. Taking NDVI and climatic factors from June to August as an example, before 2000, temperature was the dominant influencing factor, followed by precipitation and soil moisture; after 2000, precipitation and soil moisture became the primary drivers. The North Atlantic Oscillation (NAO) and Arctic Oscillation (AO) were the primary atmospheric circulation patterns influencing vegetation variability in the region. Their effects were reflected in the inverse relationship observed between NAO/AO indices and NDVI, with typical phases of high and low NDVI closely corresponding to shifts in NAO and AO activity. This study helps us to understand how plants have been changing in the upper parts of the Irtysh River. These insights are critical for guiding efforts to develop the area in a way that is sustainable and beneficial for the environment. Full article
Show Figures

Figure 1

17 pages, 3566 KB  
Article
Changing Climate–Productivity Relationships: Nonlinear Trends and State-Dependent Sensitivities in Eurasian Grasslands
by Cuicui Jiao, Shenqi Zou, Dongbao Xu, Xiaobo Yi and Qingxiang Li
Diversity 2026, 18(2), 77; https://doi.org/10.3390/d18020077 - 29 Jan 2026
Viewed by 197
Abstract
Grassland productivity faces heightened uncertainty under nonlinear climatic forcing. This study characterizes the spatial heterogeneity of nonlinear variations and nonstationary climate sensitivities across the Eurasian Steppe Region (EASR) to provide a scientific basis for its adaptive management. Using the aboveground net primary productivity [...] Read more.
Grassland productivity faces heightened uncertainty under nonlinear climatic forcing. This study characterizes the spatial heterogeneity of nonlinear variations and nonstationary climate sensitivities across the Eurasian Steppe Region (EASR) to provide a scientific basis for its adaptive management. Using the aboveground net primary productivity (ANPP) and climate datasets (1982–2015), we employed piecewise linear regression, LOWESS, and sliding window partial correlation analysis to identify temporal turning points and dynamic climate–productivity relationships. We identified distinct turning points in 1994 and 2008, revealing a phased “Increasing–Decreasing–Increasing” trajectory. A key novelty is the mapping of eight phased trajectory patterns, illustrating significant spatial heterogeneity in productivity trends. Furthermore, we demonstrate temporally reversed climate sensitivities. Notably, the sensitivity of ANPP to temperature shifted from positive to negative as warming-induced water stress intensified. While precipitation remains the dominant driver (68% of the region), its influence is nonstationary and state-dependent. In the Qinghai–Tibet Plateau, the limiting factor transitioned from thermal to water availability. Overall, productivity in the EASR appears to undergo phased reorganization under shifting climatic baselines. Our findings suggest that future ecosystem models should incorporate time-varying sensitivity parameters to account for nonlinear dynamics and potential trend reversals in grassland ecosystems. Full article
Show Figures

Figure 1

26 pages, 4766 KB  
Article
Built-Up Fraction and Residential Expansion Under Hydrologic Constraints: Quantifying Effects of Terrain, Groundwater and Vegetation Root Depth on Urbanization in Kunming, China
by Chunying Shen, Zhenxiang Zang, Shasha Meng, Honglei Tang, Changrui Qin, Dehui Ning, Yuanpeng Wu, Li Zhao and Zheng Lu
Hydrology 2026, 13(2), 48; https://doi.org/10.3390/hydrology13020048 - 28 Jan 2026
Viewed by 199
Abstract
Urbanization in mountainous regions alters hydrologic systems, yet the spatial patterning of residential (RA) and non-residential (NRA) areas in response to hydrologic constraints remains poorly quantified. In this study, we analyzed how such constraints shaped the distinct locational logic of RA and NRA [...] Read more.
Urbanization in mountainous regions alters hydrologic systems, yet the spatial patterning of residential (RA) and non-residential (NRA) areas in response to hydrologic constraints remains poorly quantified. In this study, we analyzed how such constraints shaped the distinct locational logic of RA and NRA expansion in the mountainous Kunming Core Region (KCR), Southwest China, from 1975 to 2020. Using the Global Human Settlement Layer (GHS-BUILT-S) built-up fraction data and its functionally classified RA and NRA layers at 100 m resolution, we quantified multi-decadal urban land changes via regression and centroid migration analyses. Six hydrologic factors, namely altitude, slope, surface roughness, distance to river (DTR), depth to water table (DTWT) and vegetation root depth (VRD), were derived from global terrain, groundwater, and rooting depth datasets, and harmonized to a common grid. Results show a two-phase urbanization pattern: moderate, compact growth before 1995 followed by rapid, near-exponential expansion, dominated by RA. RA consistently clustered in hydrologically favorable zones (low–moderate roughness, mid-altitudes, lower slopes, proximal rivers, shallow–moderate DTWT, moderate VRD), whereas NRA expanded into more hydrologically variable terrain (higher roughness, intermediate DTR, deeper DTWT, higher altitudes, deeper VRD). Contribution-weighting analysis revealed a temporal shift in dominant drivers: for RA, from river proximity and slope in 1975 to terrain roughness in 2020; for NRA, from vegetation root depth and moderate topography to root depth plus altitude. Geographic centroids of both RA and NRA migrated northeastward, indicating coordinated yet functionally distinct peri-urban and corridor-oriented growth. These findings provide a hierarchical, factor-based framework for integrating hydrologic constraints into risk-informed land-use planning in topographically complex basins. Full article
(This article belongs to the Section Hydrology and Economics/Human Health)
Show Figures

Figure 1

26 pages, 5622 KB  
Article
Phase-Controlled Bidirectional Circularly Polarized Dual 4-Port SIW MIMO Antenna with Enhanced Isolation for Sub-6 GHz Vehicular Communications
by Kamepalli Dharani, M. Sujatha, Samineni Peddakrishna and Jayendra Kumar
Electronics 2026, 15(3), 539; https://doi.org/10.3390/electronics15030539 - 27 Jan 2026
Viewed by 206
Abstract
This paper presents a dual four-port circularly polarized (CP) MIMO antenna based on substrate integrated waveguide (SIW) technology for sub-6 GHz applications. The design consists of two identical four-port SIW-based CP-MIMO antennas arranged in a mirror-symmetric configuration with an air gap of 15 [...] Read more.
This paper presents a dual four-port circularly polarized (CP) MIMO antenna based on substrate integrated waveguide (SIW) technology for sub-6 GHz applications. The design consists of two identical four-port SIW-based CP-MIMO antennas arranged in a mirror-symmetric configuration with an air gap of 15 mm. Each antenna employs four symmetrically arranged cross-shaped SIW patches excited by coaxial probes. Bidirectional radiation is achieved by applying a 180° phase difference between corresponding ports of the mirror symmetric configuration, referred to as the Backward-Radiating Unit (BRU) and the Forward-Radiating Unit (FRU). The bidirectional radiation mechanism is supported by array-factor-based theoretical modelling, which explains the constructive and destructive interference under phase-controlled excitation. To ensure high isolation and stable polarization performance, the antenna design incorporates defected ground structures, inter-element decoupling strips, and vertical metallic vias. Simulations indicate an operating band from 5.1 to 5.4 GHz. Measurements show a −10 dB bandwidth from 5.25 to 5.55 GHz, with the frequency shift attributed to fabrication tolerances and measurement uncertainties. The antenna achieves inter-port isolation better than −15 dB. A 3 dB axial-ratio bandwidth is maintained across the operating band. Measured axial-ratio values remain below 3 dB from 5.25 to 5.55 GHz, while simulations predict a corresponding range from 5.1 to 5.4 GHz. The proposed configuration achieves a peak gain exceeding 4 dBi and maintains an envelope correlation coefficient below 0.05. These results confirm its suitability for CP-MIMO systems with controlled spatial coverage. With a physical size of 0.733λ0 × 0.733λ0 per array, the proposed antenna is well-suited for vehicular and space-constrained wireless systems requiring bidirectional CP-MIMO coverage. Full article
(This article belongs to the Section Microwave and Wireless Communications)
Show Figures

Figure 1

18 pages, 9373 KB  
Article
Short-Term Degradation of Aquatic Vegetation Induced by Demolition of Enclosure Aquaculture Revealed by Remote Sensing
by Sheng Xu, Ying Xu, Guanxi Chen and Juhua Luo
Remote Sens. 2026, 18(3), 400; https://doi.org/10.3390/rs18030400 - 24 Jan 2026
Viewed by 389
Abstract
Aquatic vegetation (AV) forms the structural and functional basis of lake ecosystems, providing irreplaceable ecological functions such as water self-purification and the sustenance of biodiversity. Under the “Yangtze River’s Great Protection Strategy”, the action of returning nets to the lake has significantly improved [...] Read more.
Aquatic vegetation (AV) forms the structural and functional basis of lake ecosystems, providing irreplaceable ecological functions such as water self-purification and the sustenance of biodiversity. Under the “Yangtze River’s Great Protection Strategy”, the action of returning nets to the lake has significantly improved water-quality in the middle and lower reaches of the Yangtze River (MLRYR) basin. However, its ecological benefits for key biotic components, particularly AV communities, remain unclear. To address this knowledge gap, this study utilized Landsat and Sentinel-1 satellite imagery to analyze the dynamic evolution of enclosure aquaculture (EA) and AV in 25 lakes (>10 km2) within the MLRYR basin from 1989 to 2023. A U-Net deep learning model was employed to extract EA data (2016–2023), and a vegetation and bloom extraction algorithm was applied to map different AV groups (1989–2023). Results indicate that by 2023, 88% (22/25) of the lakes had completed EA removal. Over the 34-year period, floating/emergent aquatic vegetation (FEAV) exhibited fluctuating trends, while submerged aquatic vegetation (SAV) demonstrated a significant decline, particularly during the EA demolition phase (2016–2023), when its area sharply decreased from 804.8 km2 to 247.3 km2—a reduction of 69.3%. Spatial comparative analysis further confirmed that SAV degradation was substantially more severe in EA removal areas than in EA retention areas. This study demonstrates that EA demolition, while beneficial for improving water quality, exerts significant short-term negative impacts on AV. These findings highlight the urgent need for lake governance policies to shift from single-objective management toward integrated strategies that equally prioritize water-quality improvement and ecological restoration. Future efforts should enhance targeted restoration in EA removal areas through active vegetation recovery and habitat reconstruction, thereby preventing catastrophic regime shifts to phytoplankton-dominated turbid-water states in lake ecosystems. Full article
Show Figures

Figure 1

33 pages, 11240 KB  
Article
Spatiotemporal Evolution and Maintenance Mechanisms of Urban Vitality in Mountainous Cities Using Multiscale Geographically and Temporally Weighted Regression
by Man Shu, Honggang Tang and Sicheng Wang
Sustainability 2026, 18(2), 1059; https://doi.org/10.3390/su18021059 - 20 Jan 2026
Viewed by 336
Abstract
Investigating the characteristics and influencing mechanisms of urban vitality in mountainous cities can contribute to enhanced urban resilience, optimised resource allocation, and sustainable development. However, most existing studies have focused on static analyses at single spatial scales, making it difficult to fully reveal [...] Read more.
Investigating the characteristics and influencing mechanisms of urban vitality in mountainous cities can contribute to enhanced urban resilience, optimised resource allocation, and sustainable development. However, most existing studies have focused on static analyses at single spatial scales, making it difficult to fully reveal the evolutionary trends of urban vitality under complex topographic constraints or the spatiotemporal heterogeneity of its influencing factors. This study examines Guiyang, one of China’s fastest-growing cities, focusing on both its economic development and population growth. Based on social media data and geospatial big data from 2019 to 2024, the spatiotemporal permutation scan statistics (STPSS) model was employed to identify spatiotemporal areas of interest (ST-AOIs) and to analyse the spatial distribution and day-night dynamics of urban vitality across different phases. Furthermore, by incorporating transportation and topographic factors characteristic of mountainous cities, the multiscale geographically and temporally weighted regression (MGTWR) model was applied to reveal the driving mechanisms of urban vitality. The main findings are as follows: (1) Urban vitality exhibits a multi-center, clustered structure, gradually expanding from gentle to steeper slopes over time, with activity patterns shifting from an afternoon peak to an all-day distribution. (2) Significant differences in regional vitality resilience were observed: the core vitality areas exhibited stable ST-AOI spatial patterns, flexible temporal rhythms, and strong adaptability; the emerging vitality areas recovered quickly with low losses, while low-vitality areas showed slow recovery and insufficient resilience. (3) The density of commercial service facilities and the level of housing prices were continuously enhancing factors for vitality improvement, whereas the density of subway stations and the degree of functional mix played key roles in supporting resilience during the COVID-19 pandemic. (4) The synergistic effect between transportation systems and commercial facilities is crucial for forming high-vitality zones in mountainous cities. In contrast, reliance on a single factor tends to lead to vitality spillover. This study provides a crucial foundation for promoting sustainable urban development in Guiyang and other mountainous regions. Full article
(This article belongs to the Special Issue Sustainable Transport and Land Use for a Sustainable Future)
Show Figures

Figure 1

18 pages, 3420 KB  
Article
From Establishment to Expansion: Changing Drivers of Acacia spp. Invasion in Mainland Central Portugal
by Matilde Salgueiro, Carla Mora and César Capinha
Forests 2026, 17(1), 135; https://doi.org/10.3390/f17010135 - 19 Jan 2026
Viewed by 263
Abstract
Land abandonment and recurrent wildfires are major drivers of landscape transformation in Mediterranean Europe, creating favorable conditions for the spread of non-native invasive woody species. Among these, Australian wattles (genus Acacia) are particularly widespread and problematic in Portugal. This work analyzed the [...] Read more.
Land abandonment and recurrent wildfires are major drivers of landscape transformation in Mediterranean Europe, creating favorable conditions for the spread of non-native invasive woody species. Among these, Australian wattles (genus Acacia) are particularly widespread and problematic in Portugal. This work analyzed the spatiotemporal dynamics of Acacia spp. in two municipalities of central Portugal (Sertã and Pedrógão-Grande) by combining multitemporal photointerpretation of aerial imagery (2004–2021), generalized additive models (GAMs), and local perception surveys. Results reveal a 417% increase in occupied area over the last two decades. Modeling outcomes indicate a temporal shift in invasion drivers: from an establishment phase (2004–2010), mainly constrained by altitude and proximity to primary introduction sites, to a disturbance-driven expansion phase (2010–2021), influenced by fire recurrence, slope, and land-use context. Spatial clustering persisted throughout, underscoring the role of founder populations. Surveys confirmed high public awareness of Acacia invasiveness and identified abandonment and wildfire as the main perceived triggers of spread. By integrating ecological and social dimensions, this study provides a socioecological perspective on Acacia spp. expansion in Mediterranean rural landscapes and highlights the urgent need for integrated, landscape-scale management strategies. Full article
(This article belongs to the Section Forest Ecology and Management)
Show Figures

Figure 1

27 pages, 6715 KB  
Article
Study on the Lagged Response Mechanism of Vegetation Productivity Under Atypical Anthropogenic Disturbances Based on XGBoost-SHAP
by Jingdong Sun, Longhuan Wang, Shaodong Huang, Yujie Li and Jia Wang
Remote Sens. 2026, 18(2), 300; https://doi.org/10.3390/rs18020300 - 16 Jan 2026
Viewed by 362
Abstract
The abrupt COVID-19 lockdown in early 2020 offered a unique natural experiment to examine vegetation productivity responses to sudden declines in human activity. Although vegetation often responds to environmental changes with time lags, how such lags operate under short-term, intensive disturbances remains unclear. [...] Read more.
The abrupt COVID-19 lockdown in early 2020 offered a unique natural experiment to examine vegetation productivity responses to sudden declines in human activity. Although vegetation often responds to environmental changes with time lags, how such lags operate under short-term, intensive disturbances remains unclear. This study combined multi-source environmental data with an interpretable machine learning framework (XGBoost-SHAP) to analyze spatiotemporal variations in net primary productivity (NPP) across the Beijing-Tianjin-Hebei region during the strict lockdown (March–May) and recovery (June–August) periods, using 2017–2019 as a baseline. Results indicate that: (1) NPP showed a significant increase during lockdown, with 88.4% of pixels showing positive changes, especially in central urban areas. During recovery, vegetation responses weakened (65.31% positive) and became more spatially heterogeneous. (2) Integrating lagged environmental variables improved model performance (R2 increased by an average of 0.071). SHAP analysis identified climatic factors (temperature, precipitation, radiation) as dominant drivers of NPP, while aerosol optical depth (AOD) and nighttime light (NTL) had minimal influence and weak lagged effects. Importantly, under lockdown, vegetation exhibited stronger immediate responses to concurrent temperature, precipitation, and radiation (SHAP contribution increased by approximately 7.05% compared to the baseline), whereas lagged effects seen in baseline conditions were substantially reduced. Compared to the lockdown period, anthropogenic disturbances during the recovery phase showed a direct weakening of their impact (decreasing by 6.01%). However, the air quality improvements resulting from the spring lockdown exhibited a significant cross-seasonal lag effect. (3) Spatially, NPP response times showed an “urban-immediate, mountainous-delayed” pattern, reflecting both the ecological memory of mountain systems and the rapid adjustment capacity of urban vegetation. These findings demonstrate that short-term removal of anthropogenic disturbances shifted vegetation responses toward greater immediacy and sensitivity to environmental conditions. This offers new insights into a “green window period” for ecological management and supports evidence-based, adaptive regional climate and ecosystem policies. Full article
Show Figures

Graphical abstract

22 pages, 12869 KB  
Article
Global Atmospheric Pollution During the Pandemic Period (COVID-19)
by Débora Souza Alvim, Cássio Aurélio Suski, Dirceu Luís Herdies, Caio Fernando Fontana, Eliza Miranda de Toledo, Bushra Khalid, Gabriel Oyerinde, Andre Luiz dos Reis, Simone Marilene Sievert da Costa Coelho, Monica Tais Siqueira D’Amelio Felippe and Mauricio Lamano
Atmosphere 2026, 17(1), 89; https://doi.org/10.3390/atmos17010089 - 15 Jan 2026
Viewed by 356
Abstract
The COVID-19 pandemic led to an unprecedented slowdown in global economic and transportation activities, offering a unique opportunity to assess the relationship between human activity and atmospheric pollution. This study analyzes global variations in major air pollutants and meteorological conditions during the pandemic [...] Read more.
The COVID-19 pandemic led to an unprecedented slowdown in global economic and transportation activities, offering a unique opportunity to assess the relationship between human activity and atmospheric pollution. This study analyzes global variations in major air pollutants and meteorological conditions during the pandemic period using multi-satellite and reanalysis datasets. Nitrogen dioxide (NO2) data were obtained from the OMI sensor aboard NASA’s Aura satellite, while carbon monoxide (CO) observations were taken from the MOPITT instrument on Terra. Reanalysis products from MERRA-2 were used to assess CO, sulfur dioxide (SO2), black carbon (BC), organic carbon (OC), and key meteorological variables, including temperature, precipitation, evaporation, wind speed, and direction. Average concentrations of pollutants for April, May, and June 2020, representing the lockdown phase, were compared with the average values of the same months during 2017–2019, representing pre-pandemic conditions. The difference between these multi-year means was used to quantify spatial changes in pollutant levels. Results reveal widespread reductions in NO2, CO, SO2, and BC concentrations across major industrial and urban regions worldwide, consistent with decreased anthropogenic activity during lockdowns. Meteorological analysis indicates that the observed reductions were not primarily driven by short-term weather variability, confirming that the declines are largely attributable to reduced emissions. Unlike most previous studies, which examined local or regional air-quality changes, this work provides a consistent global-scale assessment using harmonized multi-sensor datasets and uniform temporal baselines. These findings highlight the strong influence of human activities on atmospheric composition and demonstrate how large-scale behavioral and economic shifts can rapidly alter air quality on a global scale. The results also provide valuable baseline information for understanding emission–climate interactions and for guiding post-pandemic strategies aimed at sustainable air-quality management. Full article
Show Figures

Figure 1

Back to TopTop