Sign in to use this feature.

Years

Between: -

Subjects

remove_circle_outline
remove_circle_outline
remove_circle_outline
remove_circle_outline
remove_circle_outline
remove_circle_outline
remove_circle_outline
remove_circle_outline
remove_circle_outline

Journals

remove_circle_outline
remove_circle_outline
remove_circle_outline
remove_circle_outline
remove_circle_outline
remove_circle_outline
remove_circle_outline
remove_circle_outline
remove_circle_outline
remove_circle_outline
remove_circle_outline

Article Types

Countries / Regions

remove_circle_outline
remove_circle_outline
remove_circle_outline
remove_circle_outline
remove_circle_outline

Search Results (1,544)

Search Parameters:
Keywords = spatial convergence

Order results
Result details
Results per page
Select all
Export citation of selected articles as:
28 pages, 6577 KB  
Article
Quantifying the Spatial Antagonism Between Urban Morphology and Ecological Infrastructure on Land Surface Temperature: An Explainable Machine Learning Approach with Spatial Lags
by Huitong Liu, Rihan Hai, Quanyi Zheng and Mengxiao Jin
Buildings 2026, 16(5), 991; https://doi.org/10.3390/buildings16050991 (registering DOI) - 3 Mar 2026
Abstract
Rapid urbanization has significantly exacerbated the Urban Heat Island (UHI) effect in high-density megacities, driven by the intensifying competition between built-up morphology and natural cooling infrastructure. Current research, however, often fails to accurately predict land surface temperatures (LST) because traditional models frequently overlook [...] Read more.
Rapid urbanization has significantly exacerbated the Urban Heat Island (UHI) effect in high-density megacities, driven by the intensifying competition between built-up morphology and natural cooling infrastructure. Current research, however, often fails to accurately predict land surface temperatures (LST) because traditional models frequently overlook the complex spatial dependencies and neighborhood spillover effects inherent in urban environments. Existing studies often ignore the spatial dependence of heat transfer. This study proposes an explainable machine learning framework incorporating spatial lag variables to capture the thermal spillover from adjacent neighborhood context—such as green space cooling diffusion or built-up heat accumulation—which is frequently treated as noise in traditional models. Taking Shenzhen as a case study, we integrated multi-source data (Landsat 8, building vectors, DEM) and developed an XGBoost regression model (R2 = 0.806) augmented with SHAP (Shapley Additive exPlanations) to quantify the contributions of local and contextual features. The results revealed that: (1) Non-linear Thresholds: Vegetation cooling exhibits a saturation effect, with the highest marginal benefit observed in the NDVI range of 0.2–0.4, while building warming effects converge at extremely high densities due to mutual shading; (2) Neighborhood Spillovers: Spatial interaction analysis confirms significant cool island synergy (where clustered green spaces provide amplified cooling) and heat island agglomeration effects—e.g., green spaces surrounded by high ecological backgrounds provide amplified cooling benefits; (3) Spatial Antagonism: A novel Interaction Balance Index (IBI) based on game-theoretic SHAP contributions was constructed to map the source-sink competition patterns, identifying distinct heat-dominated (West) and cool-dominated (East) zones. Unlike traditional area-weighted source-sink landscape metrics, IBI enables a pixel-level additive decomposition of warming and cooling factors, quantifying the net thermal outcome of local morphology and neighborhood spillover. By explicitly encoding spatial context into non-linear modeling, this study provides a more mechanistically robust understanding of urban thermal environments. The identified thresholds and dominant driver maps offer precise, spatially differentiated guidance for urban climate-adaptive planning and ecological restoration. Full article
(This article belongs to the Section Building Energy, Physics, Environment, and Systems)
Show Figures

Figure 1

22 pages, 5311 KB  
Article
Spatio-Temporal Local Sensitivity and Structural Attribution of Coordinated High-Quality New-Type Urbanization Towards Sustainable Development in China: Evidence from GTWR and OPGD Models
by Guanjun Huang, Liang Qiao and Qunli Fang
Sustainability 2026, 18(5), 2459; https://doi.org/10.3390/su18052459 (registering DOI) - 3 Mar 2026
Abstract
New-type urbanization (NTU) is a key driver of high-quality development and progress toward the Sustainable Development Goals (SDGs) in China. While existing studies acknowledge the multidimensional nature of this process, they often measure it as a single composite aggregate. This approach masks the [...] Read more.
New-type urbanization (NTU) is a key driver of high-quality development and progress toward the Sustainable Development Goals (SDGs) in China. While existing studies acknowledge the multidimensional nature of this process, they often measure it as a single composite aggregate. This approach masks the system’s local sensitivity to internal structural changes and obscures the spatially stratified heterogeneity of dominant drivers. To address this gap, this study constructs construct a comprehensive evaluation index system using panel data for 280 prefecture-level and above cities in China from 2001 to 2023. This study integrates the entropy-weighted TOPSIS method, a modified coupling coordination degree model (MCCD), geographically and temporally weighted regression (GTWR), and the optimal parameters geographical detector (OPGD). Using this framework, this study investigates the spatio-temporal characteristics of the coordinated high-quality development (CHQD) in NTU, systematically dissecting the spatial heterogeneity of local sensitivities and dominant drivers. The results indicate that the following: (1) CHQD exhibits a continuous upward trajectory characterized by significant regional convergence, with the center of gravity gradually shifting southwest. Structurally, green and social dimensions demonstrate the most rapid growth, progressively superseding spatial expansion as primary growth poles. (2) The structural decomposition reveals clear spatially stratified heterogeneity in local sensitivity. The coastal East faces “diminishing marginal utility” of traditional factor inputs, whereas the Central and Western regions continue to reap “structural dividends” from factor accumulation. (3) The dominant drivers shaping spatial heterogeneity have undergone a sequential evolution from an early “resource-space orientation” to a later “innovation-service orientation.” For instance, in the eastern region, the proportion of construction land (L2) had a single-factor explanatory power (q-statistic) of 0.791. However, its interactions with science and technology expenditure (E3) and other factors yielded q-statistics exceeding 0.820, indicating a marked synergistic effect. These findings support region-specific policy recommendations to promote CHQD and inform sustainable urbanization pathways in China. Full article
Show Figures

Figure 1

31 pages, 2467 KB  
Article
Does Road Infrastructure Close or Widen the Urban–Rural Divide? Evidence from China’s Lanxi Urban Agglomeration
by Fan Yin, Yongsheng Qian, Junwei Zeng and Xu Wei
Land 2026, 15(3), 408; https://doi.org/10.3390/land15030408 - 2 Mar 2026
Abstract
Transportation infrastructure is often viewed as a driver of regional convergence, yet its distributional consequences remain empirically unsettled. This study examines the direct and spatial spillover effects of road network density on urban–rural income inequality across 44 counties in the Lanxi (Lanzhou–Xining) Urban [...] Read more.
Transportation infrastructure is often viewed as a driver of regional convergence, yet its distributional consequences remain empirically unsettled. This study examines the direct and spatial spillover effects of road network density on urban–rural income inequality across 44 counties in the Lanxi (Lanzhou–Xining) Urban Agglomeration (2013–2022), a key development cluster in the upper reaches of the Yellow River Basin in Northwest China. By employing a Spatial Durbin Model with two-way fixed effects and three alternative spatial weight matrices (inverse geographic distance, economic distance, and an economic–geographic nested specification), we decompose total effects into direct and indirect components. The results indicate that the inequality effect of road density is specification-dependent: under the baseline geographic matrix, road density shows no robust inequality-reducing effect, while its spillover effect becomes significantly negative when spatial dependence is defined by economic similarity (p < 0.05). In contrast, local government health expenditure—a fiscal proxy for public service provision—exhibits a consistently negative association with urban–rural income inequality across all specifications, with statistically significant direct and total effects. These findings suggest that physical connectivity is a necessary but insufficient condition for inclusive growth; fiscal commitment to public services—particularly healthcare—appears to represent a key constraint for urban–rural convergence in topographically complex, ecologically sensitive regions. Full article
Show Figures

Figure 1

20 pages, 2509 KB  
Article
Coupling Coordination Mechanism and Relative Development Types of the Transport–Tourism–Economy System in the Sichuan–Xizang Railway Corridor
by Jiahang Chen, Chong Lin, Haonan Chen, Bingzhang Li, Panpan Wang, Jianlin He, Ziling Zhang, Junmeng Zhao, Junzhe Teng and Xinyan Wang
Sustainability 2026, 18(5), 2390; https://doi.org/10.3390/su18052390 - 2 Mar 2026
Abstract
The Sichuan–Xizang Railway corridor is not only a strategic transport passage but also a distinctive and widely visited tourism route. However, empirical evidence on the interactive relationships among transport, tourism, and economy (TTE) in this corridor remains scarce, even though coordinated development of [...] Read more.
The Sichuan–Xizang Railway corridor is not only a strategic transport passage but also a distinctive and widely visited tourism route. However, empirical evidence on the interactive relationships among transport, tourism, and economy (TTE) in this corridor remains scarce, even though coordinated development of these three systems is essential for achieving high-quality growth. This study develops a ternary coupling evaluation framework and applies the Entropy Weight Method, the Coupling Coordination Degree Model, and the Relative Development Degree Model to quantify the spatiotemporal evolution of six node cities (Chengdu, Ya’an, Garze, Qamdo, Nyingchi, and Lhasa) from 2012 to 2022. The results indicate differences in temporal dynamics across subsystems. The economy grows steadily, tourism rises with pronounced fluctuations, and transport shows the strongest vulnerability to the COVID-19 shock. Spatially, CCD exhibits a persistent “dumbbell-shaped” pattern, with higher coordination at the two ends (Chengdu and Lhasa) and weaker coordination in the central section. Structurally, RDD and heatmap results indicate convergence toward a transport-lagging structure (i.e., a relative lag in carrying capacity), and ternary trajectories drift away from the transport vertex, revealing structural divergence driven by an asymmetric growth rate mismatch: tourism demand expands faster than transport supply capacity. These findings provide a pre-completion baseline for the corridor and highlight priorities for correcting subsystem imbalance, including strengthening external links in the central section, improving hub-to-scenic internal connectivity, and leveraging digital outreach to support demand monitoring and destination management. Full article
Show Figures

Figure 1

20 pages, 17630 KB  
Article
Analysis of Organic Growth Rules: Variability and Flexibility in Industrialised Three-Dimensional Modular Aggregation Systems
by César Daniel Sirvent-Pérez, Maria Isabel Pérez-Millán, Carlos Pérez-Carramiñana and Andrea Marie Chávez-Bonneau
Buildings 2026, 16(5), 967; https://doi.org/10.3390/buildings16050967 (registering DOI) - 1 Mar 2026
Viewed by 101
Abstract
Over the past decade, the convergence between industrialised construction and computational design has opened up new possibilities for industrialised modular housing. This research focuses on the ability to generate variable and flexible housing configurations through the analysis of organic growth rules applied to [...] Read more.
Over the past decade, the convergence between industrialised construction and computational design has opened up new possibilities for industrialised modular housing. This research focuses on the ability to generate variable and flexible housing configurations through the analysis of organic growth rules applied to three-dimensional modular aggregation systems. To this end, six case studies of reference projects in the field of industrialised modular housing were carried out: Welcome Home, Kokoon, Housing in Covas, Living Unit, The Farmhouse and Habitat 67. All of them were reinterpreted parametrically using Rhinoceros 3D, Grasshopper and the WASP plugin. Generative simulations were developed in two main directions (horizontal and vertical) after defining base modules, connection conditions and growth limit boxes. The geometric feasibility of the groupings, their capacity for typological variation and the degree of spatial flexibility were evaluated. The design of the base module, the selection of connectable surfaces, and the articulation between variability and control are key to ensuring the quality of the system. Full article
(This article belongs to the Special Issue Automation and Intelligence in the Construction)
Show Figures

Figure 1

38 pages, 1440 KB  
Article
Scalable IoT-Based Architecture for Continuous Monitoring of Patients at Home: Design and Technical Validation
by Rosen Ivanov
Computers 2026, 15(3), 144; https://doi.org/10.3390/computers15030144 - 1 Mar 2026
Viewed by 76
Abstract
This article presents a scalable IoT-based architecture for continuous and passive monitoring of human behavior in home environments, designed as a technical foundation for future dementia risk assessment systems. The architecture addresses three fundamental challenges: achieving room-level spatial localization without privacy-invasive methods, balancing [...] Read more.
This article presents a scalable IoT-based architecture for continuous and passive monitoring of human behavior in home environments, designed as a technical foundation for future dementia risk assessment systems. The architecture addresses three fundamental challenges: achieving room-level spatial localization without privacy-invasive methods, balancing temporal resolution with bandwidth efficiency in continuous data streams, and enabling multi-institutional model development under GDPR constraints. The system integrates (1) wearable BLE sensors with infrared room-level localization; (2) edge computing gateways with local preprocessing and machine learning; (3) a three-channel data architecture that simultaneously achieves full 1 s temporal resolution for machine learning training, low-latency real-time visualization, and 41.2% network bandwidth reduction; and (4) a federated learning framework enabling collaborative model development without data sharing between institutions. Technical validation in two apartments (three participants, 7 days) demonstrated: 97.6% room-level localization accuracy using infrared beacons; less than 7 s end-to-end latency for 99.5% of critical events; and 98.5% deduplication accuracy in multi-gateway configurations. Federated learning simulation demonstrates algorithmic convergence (84.3% IID, 79.8% non-IID) and workflow feasibility, establishing a foundation for future production deployment. Cost analysis shows approximately €490 for initial implementation and approximately €55 monthly operation, representing substantially lower costs than existing research systems. The work establishes architectural and technical feasibility, as well as system-level economic viability, of continuous home monitoring for behavioral analysis within the evaluated residential scenarios. Clinical validation of diagnostic capabilities through longitudinal studies with validated cognitive assessments and patients with mild cognitive impairment remains to be studied in future work. Full article
(This article belongs to the Section Internet of Things (IoT) and Industrial IoT)
Show Figures

Figure 1

25 pages, 367 KB  
Article
Poverty Dynamics Under Changing Measurement Frameworks: The Role of Foreign Direct Investment in Vietnam
by Phuc Tran Nguyen
Int. J. Financial Stud. 2026, 14(3), 52; https://doi.org/10.3390/ijfs14030052 - 1 Mar 2026
Viewed by 61
Abstract
Vietnam’s sustained poverty reduction has coincided with rising foreign direct investment (FDI) and a major shift from income-based to multidimensional poverty measurement, raising challenges for interpreting poverty dynamics and the role of FDI across regimes. This study examines the relationship between FDI and [...] Read more.
Vietnam’s sustained poverty reduction has coincided with rising foreign direct investment (FDI) and a major shift from income-based to multidimensional poverty measurement, raising challenges for interpreting poverty dynamics and the role of FDI across regimes. This study examines the relationship between FDI and poverty reduction in Vietnam by accounting for poverty persistence, regional heterogeneity, and changes in poverty measurement. Using provincial panel data for 2002–2022 and a System GMM framework, three main findings emerge. First, poverty dynamics differ across measurement regimes: during the income-poverty period (2002–2016), poverty dynamics exhibited lower persistence and faster convergence, whereas under the multidimensional framework (2016–2022), poverty became more persistent and convergence slowed, reflecting the increasingly structural nature of remaining deprivation. Second, FDI is negatively associated with poverty under both measures, but its effects are conditional and uneven. Interaction effects indicate that the poverty-reducing impact of FDI depends on provincial income levels and initial deprivation, with weaker effects in provinces facing deeper multidimensional poverty. Third, higher FDI exposure is associated with greater poverty persistence, reflecting the spatial concentration of FDI in better-off regions rather than a poverty-increasing effect. The analysis is subject to limitations related to measurement regimes, and results are interpreted as conditional associations. Policy implications highlight that the poverty-reducing effects of FDI depend critically on investment quality, the strength of local production linkages, and complementary public spending, particularly in provinces facing persistent deprivation. Full article
25 pages, 5010 KB  
Article
Spatial Imbalance Patterns of Forest Carbon Density and Their Driving Mechanisms in the Xiuhe River Basin
by Dongping Zha, Meng Zhang, Ligang Xu, Zhan Shen, Junwei Wu, Weiwei Deng, Meng Yuan, Nan Wu and Renhao Ouyang
Forests 2026, 17(3), 312; https://doi.org/10.3390/f17030312 - 28 Feb 2026
Viewed by 56
Abstract
Forest carbon sinks are central to climate change mitigation, and prior work has established a solid basis for assessing carbon sinks at regional scales. At the basin scale, however, forest carbon density (vegetation biomass carbon density, i.e., aboveground + belowground biomass carbon; t [...] Read more.
Forest carbon sinks are central to climate change mitigation, and prior work has established a solid basis for assessing carbon sinks at regional scales. At the basin scale, however, forest carbon density (vegetation biomass carbon density, i.e., aboveground + belowground biomass carbon; t C ha−1) often shows pronounced spatial clustering and inequality, while its temporal evolution and underlying mechanisms remain poorly quantified and interpreted for management-relevant units such as townships. Using the Xiuhe River Basin as a case study and townships as the basic analytical units, this study identifies the clustered spatial structure and inequality characteristics of forest carbon density and clarifies the joint effects of natural constraints and human disturbances, including potential threshold responses. We first assessed global spatial autocorrelation within a spatial weights framework using Global Moran’s I with permutation tests, and delineated local clustering by classifying local indicators of spatial association (LISA) types based on Local Moran’s I. We then measured the magnitude and stage-wise evolution of inter-township disparities using the Gini coefficient and the Theil T index. Finally, we applied GeoDetector factor, interaction, and risk detection to identify dominant drivers, interaction enhancement, and class-based contrasts. The results show significant and persistent positive spatial autocorrelation in forest carbon density from 2002 to 2024, with Moran’s I ranging from 0.68786 to 0.73849 (p < 0.01). Significant LISA units account for 40.74%–45.37% of townships, and the pattern is dominated by high–high (HH) and low–low (LL) clusters. Inequality follows a stage-wise trajectory: it expanded slightly during 2002–2019, converged markedly during 2019–2021, and rebounded modestly by 2024, while remaining below the levels observed in 2002 and 2019. Strong type-based differentiation is evident in 2024: mean carbon density is 46.06 t C ha−1 in HH areas versus 17.64 t C ha−1 in LL areas; HH areas contribute 38.44% of total carbon stock, whereas LL areas contribute only 5.08%. In terms of drivers, natural and human factors jointly shape the spatial pattern and commonly exhibit interaction enhancement. Elevation (q = 0.7832), slope (q = 0.7133), and NPP (q = 0.6373) are the leading natural constraints, while population density (q = 0.6054) and the built-up land ratio (q = 0.5374) are key indicators of human disturbance. Risk detection further indicates a stable negative gradient for the built-up land ratio and nonlinear class differences for population density, implying that once disturbance intensity reaches higher levels, low-value clustering is more likely to persist. By linking clustered spatial structure, stage-wise inequality, and disturbance-related threshold signals, our results support basin-scale zoning and differentiated management at the township level. Specifically, HH clusters should be prioritized for conservation and connectivity maintenance, whereas LL clusters warrant stricter control of built-up expansion and fragmentation to reduce the risk of persistent low-carbon locking under high disturbance. By linking spatial structure, inequality dynamics, and threshold responses, this study provides a quantitative basis for basin-scale zoning to enhance carbon sinks and for implementing differentiated spatial controls. Full article
31 pages, 2520 KB  
Article
Parameterized Reinforcement Learning with Route Guidance for Controlling Urban Road Traffic Networks
by Edwin M. Kataka, Thomas O. Olwal, Karim Djouani and Prosper Z. Sotenga
Future Transp. 2026, 6(2), 56; https://doi.org/10.3390/futuretransp6020056 - 28 Feb 2026
Viewed by 41
Abstract
Traditional macroscopic fundamental diagram (MFD)-based traffic perimeter metering control strategies rely on full knowledge of vehicle accumulation and inter-regional flow dynamics, assumptions that seldom hold in heterogeneous and highly variable real-world networks. Classical data-driven reinforcement learning methods face similar constraints, often converging slowly [...] Read more.
Traditional macroscopic fundamental diagram (MFD)-based traffic perimeter metering control strategies rely on full knowledge of vehicle accumulation and inter-regional flow dynamics, assumptions that seldom hold in heterogeneous and highly variable real-world networks. Classical data-driven reinforcement learning methods face similar constraints, often converging slowly and exhibiting low sample efficiency when confronted with such complexities. Motivated by these limitations, this paper proposes a Parameterized Deep Q-Network perimeter control (P-DQNPC) scheme designed for multi-region urban road networks. The framework jointly optimizes discrete actions (regional routing choices) and continuous actions (signal-timing or flow-duration regulation) within a model-free learning structure. The approach is first trained and validated on synthetic MFD data to establish stable and interpretable policy behavior under controlled conditions. It is then transferred and further evaluated using real-world measurements from the Performance Measurement System—San Francisco Bay Area (PeMS-SF), a dataset collected from 18,954 loop detectors across the California State Highway System. PeMS-SF is selected due to its high spatial and temporal resolution, broad network coverage, and strong ability to capture realistic and diverse congestion patterns qualities that support both rigorous validation and generalization to other metropolitan regions. Experimental results show that P-DQNPC consistently outperforms state-of-the-art baselines, including deep deterministic policy gradient, deep Q-network, and No-Control schemes. The proposed method achieves superior regulation of regional accumulations and demonstrates enhanced robustness in large, heterogeneous, and uncertain urban traffic environments. Full article
Show Figures

Figure 1

18 pages, 3611 KB  
Article
Dynamic Evaluation of Aquifer Water Abundance Under Non-Stationary Conditions Based on TVP-CKF
by Situ Lv, Longqiang Zhang and Haonan Zhao
Water 2026, 18(5), 580; https://doi.org/10.3390/w18050580 (registering DOI) - 28 Feb 2026
Viewed by 103
Abstract
Accurate prediction of aquifer water abundance is critical for coal mine safety, yet traditional static models often fail to capture the spatial heterogeneity and non-stationarity of hydrogeological conditions. This study proposes a dynamic evaluation methodology integrating Grey Relational Analysis, the Analytic Hierarchy Process, [...] Read more.
Accurate prediction of aquifer water abundance is critical for coal mine safety, yet traditional static models often fail to capture the spatial heterogeneity and non-stationarity of hydrogeological conditions. This study proposes a dynamic evaluation methodology integrating Grey Relational Analysis, the Analytic Hierarchy Process, and a Time-Varying Parameter Cubature Kalman Filter (TVP-CKF). By reconceptualizing spatial borehole data as a dynamic time-series process, the model recursively updates the contribution weights of six controlling factors based on monitoring data from 2012 to 2020. Analysis reveals a structural shift in the groundwater system: the influence of hydrochemical factors (TDS) has diminished, while hydraulic conductivity has become the dominant control over time. The TVP-CKF model significantly outperformed static regression and recursive least squares baselines, demonstrating superior convergence stability and precisely capturing transient inflow fluctuations. Furthermore, its uncertainty quantification effectively bounded extreme low-flow events within 95% confidence intervals. This approach validates the necessity of adaptive modeling in evolving geological environments, providing a robust, risk-quantified tool for precise water inrush prevention. Full article
(This article belongs to the Section Hydrogeology)
Show Figures

Figure 1

21 pages, 4041 KB  
Article
Parallel Computation of Radiative Heat Transfer in High-Temperature Nozzles Based on Null-Collision Monte Carlo Method and Full-Spectrum Correlated k-Distribution Model
by Qilong Dong, Jian Xiao, Xiying Wang, Baohai Gao, Mingjian He, Yatao Ren and Hong Qi
Energies 2026, 19(5), 1178; https://doi.org/10.3390/en19051178 - 26 Feb 2026
Viewed by 99
Abstract
The high-temperature engine nozzle is a critical component of a rocket motor, and its stability and performance are significantly influenced by internal high-temperature gas radiative heat transfer. Due to the non-gray nature of the nozzle medium and the complexity of the Radiative Transfer [...] Read more.
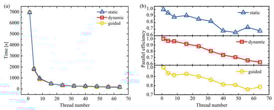
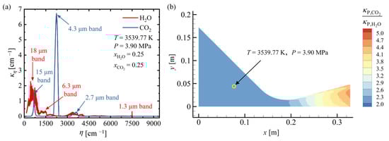
The high-temperature engine nozzle is a critical component of a rocket motor, and its stability and performance are significantly influenced by internal high-temperature gas radiative heat transfer. Due to the non-gray nature of the nozzle medium and the complexity of the Radiative Transfer Equation (RTE), rapid and accurate simulation of radiative heat transfer is crucial for engineering applications. This paper presents a high-efficiency solution coupling the Full-Spectrum Correlated k-Distribution (FSCK) model with the Null-Collision Monte Carlo Method (NCMCM). To address the inherent computational bottleneck of linear traversal in unstructured grids, a hybrid ray-localization model integrating KD-tree and Bounding Volume Hierarchy (BVH) is proposed. This model shifts the search mechanism from element-wise iteration to spatial topological indexing, achieving logarithmic search complexity and significantly mitigating the sensitivity of computational cost to grid scale. Furthermore, a collaborative MPI–OpenMP parallel framework is established to maximize hardware utilization, where an optimized guided scheduling strategy effectively counteracts the stochastic load imbalances encountered in traditional static schemes. Results indicate that the proposed method reduces the total execution time to approximately 1/4 compared to traditional models. Simulations identify the convergent section as the primary radiation zone, where CO2 contributes less to the radiative source term than H2O under high-temperature conditions. Full article
(This article belongs to the Section J1: Heat and Mass Transfer)
Show Figures

Figure 1

28 pages, 3151 KB  
Article
Nature, Place, and the Sacred: Biophilic Design as a Mediator of Spiritual Experience in a 13th Century Anatolian Seljuk Mosque
by Ayşegül Durukan, Reyhan Erdoğan and Rifat Olgun
Religions 2026, 17(3), 293; https://doi.org/10.3390/rel17030293 - 26 Feb 2026
Viewed by 198
Abstract
Religious buildings such as synagogues, churches, and mosques, which are central to religious, cultural, and social life, have served important purposes throughout history as sacred spaces where art, architecture and performance converge. Although these sacred spaces offer unique spatial contexts that deepen individuals’ [...] Read more.
Religious buildings such as synagogues, churches, and mosques, which are central to religious, cultural, and social life, have served important purposes throughout history as sacred spaces where art, architecture and performance converge. Although these sacred spaces offer unique spatial contexts that deepen individuals’ spiritual experiences through their physical, symbolic, and atmospheric qualities, empirical studies examining this relationship remain limited. This study aims to investigate the impact of biophilic design features within the Yivli Minaret Mosque, one of the oldest Islamic monuments in Antalya, constructed during the 13th-century Anatolian Seljuk Period, on the spiritual experiences of congregation members, and to identify the key psychological mechanisms shaping this relationship. The methodology of the study is based on a mixed-methods approach that combines expert assessments conducted using the Biophilic Interior Design Matrix (BID-M), which integrates proven scientific data with artistic perspective within a historical and symbolic religious structure, with survey data obtained from 359 mosque congregation members. The findings indicate that the mosque exhibits medium-to-high levels of biophilic design characteristics and that the relationship with nature is established indirectly through historical, cultural, and ecological contexts and symbolic representations rather than directly through natural elements. In this respect, the biophilic characteristics of sacred spaces are not merely an artistic and aesthetic approach, but an element that supports individuals’ relationship with nature and their restorative and spiritual experience. Overall, the study reveals that spiritual experience cannot be considered independently of its spatial context and that sacred spaces related to nature support spiritual experience. Full article
(This article belongs to the Special Issue Temple Art, Architecture and Theatre)
Show Figures

Figure 1

34 pages, 4233 KB  
Article
An Enhanced Rothe–Jacobi Spectral Algorithm for Hyperbolic Telegraphic Models with Variable Coefficients: Balancing Temporal and Spatial Convergence
by Hany Mostafa Ahmed
Mathematics 2026, 14(5), 774; https://doi.org/10.3390/math14050774 - 25 Feb 2026
Viewed by 61
Abstract
This study introduces a high-order numerical scheme for solving 1D second-order hyperbolic telegraph equations (HTEs) with variable coefficients. We employ a generalized temporal discretization (TD) of order p via the Rothe approach, combined with a spatial spectral collocation (SCM) method using generalized shifted [...] Read more.
This study introduces a high-order numerical scheme for solving 1D second-order hyperbolic telegraph equations (HTEs) with variable coefficients. We employ a generalized temporal discretization (TD) of order p via the Rothe approach, combined with a spatial spectral collocation (SCM) method using generalized shifted Jacobi polynomials (GSJPs). By utilizing a Galerkin-type basis that structurally satisfies homogeneous boundary conditions (HBCs)—including Dirichlet or Neumann types—we achieve a global error bound of O((Δτ)p+Ns), where Δτ denotes the temporal step size and s represents the spatial regularity of the exact solution (ExaS). The proposed algorithm, Rothe-GSJP, allows for an optimal balance between the temporal and spatial parameters, minimizing computational effort for high-precision engineering applications such as Phase-Locked Loop (PLL) modeling. Numerical experiments performed on an i9-10850 workstation show that the scheme always reaches the machine precision floor of 1016. While the framework supports temporal orders up to p=6, the results indicate that p{2,3,4} provides an optimal balance between high-order precision and absolute stability. The Rothe-GSJP method proves to be a robust, efficient, and highly accurate alternative to traditional solvers for hyperbolic systems. Full article
(This article belongs to the Section E4: Mathematical Physics)
Show Figures

Figure 1

21 pages, 6512 KB  
Article
Spatial Footprint of Anthropogenic Activities in the Lubumbashi Charcoal Production Basin (DR Congo): Insights from Local Community Perceptions
by Dieu-donné N’tambwe Nghonda, Héritier Khoji Muteya, Sylvestre Cabala Kaleba, François Malaisse, Amisi Mwana Yamba, Wilfried Masengo Kalenga, Jan Bogaert and Yannick Useni Sikuzani
Geographies 2026, 6(1), 24; https://doi.org/10.3390/geographies6010024 - 25 Feb 2026
Viewed by 132
Abstract
Village landscapes within an 80 km radius of Lubumbashi (south-eastern Democratic Republic of the Congo) are undergoing rapid spatial transformation driven by subsistence agriculture, charcoal production, and mining activities. This study analyzes how these transformations are spatially perceived and organized across five village [...] Read more.
Village landscapes within an 80 km radius of Lubumbashi (south-eastern Democratic Republic of the Congo) are undergoing rapid spatial transformation driven by subsistence agriculture, charcoal production, and mining activities. This study analyzes how these transformations are spatially perceived and organized across five village territories of the Lubumbashi Charcoal Production Basin using an adapted version of Kevin Lynch’s perceptual model. Landscape elements were independently identified by trained cartographic observers and by local community members. A comparison of the resulting maps yields a Sørensen similarity index ranging between 70% and 75% across villages, indicating strong convergence in spatial interpretation despite differences in expertise. Among the perceptual components, districts and landmarks account for nearly half of all identified elements and comprise the most perceptible anthropogenic disturbances. Spatial analysis shows that areas perceived as negatively impacted represent between 40% and 79% of total village surfaces. Deforestation associated with post-cultivation fallow dominates in Makisemu (47.6%) and Texas (64.4%), while woodland degradation linked to charcoal production is particularly pronounced in Mwawa (39.0%) and Luisha (25.1%). Mining-related disturbances, including soil and water alteration, are especially evident in Nsela (24.6%). These findings demonstrate that Lynch’s framework, although originally developed for urban systems, can effectively structure perception in diffuse rural woodland environments when methodologically adapted. Perception-based cartography therefore provides a robust complementary tool to biophysical monitoring for understanding the spatial footprint of anthropogenic pressures at the village scale and informing ecosystem restoration strategies. Full article
(This article belongs to the Special Issue Geography as a Transdisciplinary Science in a Changing World)
Show Figures

Figure 1

30 pages, 6170 KB  
Review
A Developmental Perspective on the Intestinal Microbiota in Crohn’s Disease
by Marcello Imbrizi, Daniela Oliveira Magro, Andrey Santos, Heloisa Balan Assalin, Dioze Guadagnini, Mario José Abdalla Saad and Claudio Saddy Rodrigues Coy
Int. J. Mol. Sci. 2026, 27(5), 2144; https://doi.org/10.3390/ijms27052144 - 25 Feb 2026
Viewed by 130
Abstract
Crohn’s disease (CD) is a chronic inflammatory disorder arising from the convergence of genetic susceptibility, immune dysregulation, environmental exposures, and perturbations of the gut microbiome. This review advances a developmental and compartment-aware framework for interpreting dysbiosis in CD, integrating spatial heterogeneity, transmural pathology, [...] Read more.
Crohn’s disease (CD) is a chronic inflammatory disorder arising from the convergence of genetic susceptibility, immune dysregulation, environmental exposures, and perturbations of the gut microbiome. This review advances a developmental and compartment-aware framework for interpreting dysbiosis in CD, integrating spatial heterogeneity, transmural pathology, and mesenteric interactions. By synthesizing evidence on microbial composition, functional metabolism, and host-immune crosstalk, we describe a dysbiotic profile shaped by disease location, inflammatory activity, and therapeutic exposure, while also considering the emerging roles of non-bacterial members. We propose that microbiome alterations in CD reflect inflammation-driven ecosystem instability rather than a static taxonomic imbalance. Moving beyond descriptive compositional profiling toward a dynamic ecological model that incorporates disease trajectory and anatomical compartmentalization is essential to refine disease stratification and guide future microbiome-informed precision therapies. Full article
(This article belongs to the Special Issue Inflammatory Bowel Disease and Microbiome)
Show Figures

Figure 1

Back to TopTop