Sign in to use this feature.

Years

Between: -

Subjects

remove_circle_outline
remove_circle_outline
remove_circle_outline
remove_circle_outline
remove_circle_outline
remove_circle_outline
remove_circle_outline
remove_circle_outline
remove_circle_outline

Journals

Article Types

Countries / Regions

remove_circle_outline
remove_circle_outline
remove_circle_outline

Search Results (258)

Search Parameters:
Keywords = spatial Markov chains

Order results
Result details
Results per page
Select all
Export citation of selected articles as:
27 pages, 2979 KB  
Article
A Study on the Measurement and Spatial Non-Equilibrium of Marine New-Quality Productivity in China: Differences, Polarization, and Causes
by Yao Wu, Renhong Wu, Lihua Yang, Zixin Lin and Wei Wang
Water 2026, 18(2), 240; https://doi.org/10.3390/w18020240 - 16 Jan 2026
Viewed by 118
Abstract
Compared to traditional marine productivity, marine new-quality productivity (MNQP) is composed of advanced productive forces driven by the deepening application of new technologies, is characterized by the rapid emergence of new industries, new business models, and new modes of operation, and [...] Read more.
Compared to traditional marine productivity, marine new-quality productivity (MNQP) is composed of advanced productive forces driven by the deepening application of new technologies, is characterized by the rapid emergence of new industries, new business models, and new modes of operation, and is marked by a substantial increase in total factor productivity in the marine economy. It has, therefore, become a new engine and pathway for China’s development into a maritime power. The main research approaches and conclusions of this paper are as follows: ① Using a combined order relation analysis method–Entropy Weight Method (G1-EWM) weighting method that integrates subjective and objective factors, we measured the development level of China’s MNQP from 2006 to 2021 across two dimensions: “factor structure” and “quality and efficiency”. The findings indicate that China’s MNQP is developing robustly and still holds considerable potential for improvement. ② Utilizing Gaussian Kernel Density Estimation and Spatial Markov Chain analysis to examine the dynamic evolution of China’s MNQP, the study identifies breaking the low-end lock-in of MNQP as crucial for accelerating balanced development. Spatial imbalances in China’s MNQP may exist both at the national level and within the three major marine economic zones. ③ To further examine potential spatial imbalances, Dagum Gini decomposition was employed to assess regional disparities in China’s MNQP. The DER polarization index and EGR polarization index were used to analyze spatial polarization levels, revealing an intensifying spatial imbalance in China’s MNQP. ④ Finally, geographic detectors were employed to identify the factors influencing spatial imbalances in China’s MNQP. Results indicate that these imbalances result from the combined effects of multiple factors, with marine economic development emerging as the core determinant exerting a dominant influence. The core conclusions of this study provide theoretical support and practical evidence for advancing the enhancement of China’s MNQP, thereby contributing to the realization of the goal of building a maritime power. Full article
(This article belongs to the Section Oceans and Coastal Zones)
Show Figures

Figure 1

20 pages, 7204 KB  
Article
Climate-Based Natural Suitability Index (CNSI) for Blueberry Cultivation in China: Spatiotemporal Evolution and Influencing Factors
by Yixuan Feng, Jing Chen, Jiayi Liu, Xinchun Wang, Jinying Li, Ying Wang, Junnan Wu, Lin Wu and Yanan Li
Agronomy 2026, 16(2), 211; https://doi.org/10.3390/agronomy16020211 - 15 Jan 2026
Viewed by 175
Abstract
Blueberries (Vaccinium spp.) are highly sensitive to winter chilling fulfillment, growing degree days above 7 °C (GDD7), and water balance (WB). By integrating a climate-based natural suitability index (CNSI), three-dimensional kernel density estimation, traditional and spatial Markov chains, and optimal geographic detector [...] Read more.
Blueberries (Vaccinium spp.) are highly sensitive to winter chilling fulfillment, growing degree days above 7 °C (GDD7), and water balance (WB). By integrating a climate-based natural suitability index (CNSI), three-dimensional kernel density estimation, traditional and spatial Markov chains, and optimal geographic detector analysis, this study examines the spatiotemporal evolution and driving mechanisms of blueberry climatic suitability realization in 19 major producing provinces in China during 2008–2023. Results show that CNSI exhibits a stable and moderately right-skewed distribution, with partial convergence and a narrowing interprovincial gap. Suitability realization is highest in the middle and lower Yangtze River rice-growing belt, whereas the northern dryland belt and the southern subtropical mountainous belt show persistent mismatches between climatic potential and production advantages. Markov results reveal path dependence and moderate mobility, with “low–low lock-in” and “high–high club” phenomena reinforced under neighborhood effects. GeoDetector results indicate that effective facility irrigation and fertilizer input are dominant factors explaining spatial variation in CNSI, while comprehensive transportation accessibility and agricultural labor act as stable complements. Interaction analysis suggests that multi-factor synergies, particularly irrigation-centered combinations, yield strong dual-factor enhancement and near-nonlinear enhancement. These findings highlight the importance of aligning climatic suitability with adaptive infrastructure investment and region-specific management to promote sustainable production-share advantages in China’s blueberry industry. Full article
(This article belongs to the Section Horticultural and Floricultural Crops)
Show Figures

Figure 1

24 pages, 2079 KB  
Article
Differences in Carbon Emissions and Spatial Spillover in Typical Urban Agglomerations in China
by Yihan Zhang, Gaoneng Lai, Shanshan Li and Dan Li
Geosciences 2026, 16(1), 41; https://doi.org/10.3390/geosciences16010041 - 12 Jan 2026
Viewed by 254
Abstract
This study investigates the spatial patterns and drivers of carbon emissions across China’s three major urban agglomerations—Beijing–Tianjin–Hebei (BTH), the Yangtze River Delta (YRD), and the Pearl River Delta (PRD)—from 2011 to 2020. A sequential analytical framework was employed to examine emission inequality, spatial [...] Read more.
This study investigates the spatial patterns and drivers of carbon emissions across China’s three major urban agglomerations—Beijing–Tianjin–Hebei (BTH), the Yangtze River Delta (YRD), and the Pearl River Delta (PRD)—from 2011 to 2020. A sequential analytical framework was employed to examine emission inequality, spatial dependence, dynamic transitions, and multi-scale drivers. Specifically, the Gini and Theil indices were used to quantify and decompose regional disparities. Spatial clustering patterns and heterogeneity were then identified through global and local Moran’s I analysis. Following this, spatial Markov chains modeled state transitions and neighborhood spillover effects. Finally, the Spatial Durbin Model (SDM) was applied to distinguish between the direct and indirect effects of key socioeconomic drivers. The findings reveal that disparities in emissions are largely driven by factors within each region. In BTH, heavy industrial lock-in accounts for 47.1% of the within-group inequality. By contrast, the YRD and PRD show noticeable convergence, achieved through industrial synergy and technological restructuring, respectively. The mechanisms of spatial spillover also differ across regions. In the YRD, emissions exhibit strong clustering tied to geographic proximity, with Moran’s I consistently above 0.6. In BTH, policy linkages play a more central role in shaping emission patterns. Meanwhile, in the PRD, widespread technological diffusion weakens the conventional distance-decay effect. The influence of key drivers varies notably among the urban agglomerations. Economic growth has the strongest scale effect in the PRD, reflected by a coefficient of 0.556. Industrial transformation significantly lowers emissions in the YRD, with a coefficient of −0.115. Technology investment reduces emissions in BTH (−0.124) and the PRD (−0.076), but is associated with a slight rebound in the YRD (0.037). Overall, these results highlight the persistent path dependence and distinct spatial interdependencies of carbon emissions in each region. This underscores the need for tailored mitigation strategies that are coordinated across administrative boundaries. Full article
(This article belongs to the Section Climate and Environment)
Show Figures

Figure 1

30 pages, 3551 KB  
Article
Research on Bayesian Hierarchical Spatio-Temporal Model for Pricing Bias of Green Bonds
by Yiran Liu and Hanshen Li
Sustainability 2026, 18(1), 455; https://doi.org/10.3390/su18010455 - 2 Jan 2026
Viewed by 224
Abstract
Driven by carbon neutrality policies, the cumulative issuance volume of the global green bond market has surpassed $2.5 trillion over the past five years, with China, as the second largest issuer, accounting for 15%. However, there exists a yield difference of up to [...] Read more.
Driven by carbon neutrality policies, the cumulative issuance volume of the global green bond market has surpassed $2.5 trillion over the past five years, with China, as the second largest issuer, accounting for 15%. However, there exists a yield difference of up to 0.8% for bonds with the same credit rating across different policy regions, and the premium level fluctuates dramatically with market cycles, severely restricting the efficiency of green resource allocation. This study innovatively constructs a Bayesian hierarchical spatiotemporal model framework to systematically analyze pricing deviations through a three-level data structure: the base level quantifies the impact of bond micro-characteristics (third-party certification reduces financing costs by 0.15%), the temporal level captures market dynamics using autoregressive processes (premium volatility increases by 50% during economic recessions), and the spatial level reveals policy regional dependencies using conditional autoregressive models (carbon trading pilot provinces and cities form premium sinkholes). The core breakthroughs are: 1. Designing spatiotemporal interaction terms to explicitly model the policy diffusion process, with empirical evidence showing that the green finance reform pilot zone policy has a radiation radius of 200 km within three years, leading to a 0.10% increase in premiums in neighboring provinces; 2. Quantifying the posterior distribution of parameters using the Markov Chain Monte Carlo algorithm, demonstrating that the posterior mean of the policy effect in pilot provinces is −0.211%, with a half-life of 0.75 years, and the residual effect in non-pilot provinces is only −0.042%; 3. Establishing a hierarchical shrinkage prior mechanism, which reduces prediction error by 41% compared to traditional models in out-of-sample testing. Key findings include: the contribution of policy pilots is −0.192%, surpassing the effect of issuer credit ratings, and a 10 yuan/ton increase in carbon price can sustainably reduce premiums by 0.117%. In 2021, the “dual carbon” policy contributed 32% to premium changes through spatiotemporal interaction channels. The research results provide quantitative tools for issuers to optimize financing timing, investors to identify cross-regional arbitrage, and regulators to assess policy coordination, promoting the transformation of the green bond market from an efficiency priority to equitable allocation paradigm. Full article
Show Figures

Figure 1

25 pages, 2897 KB  
Article
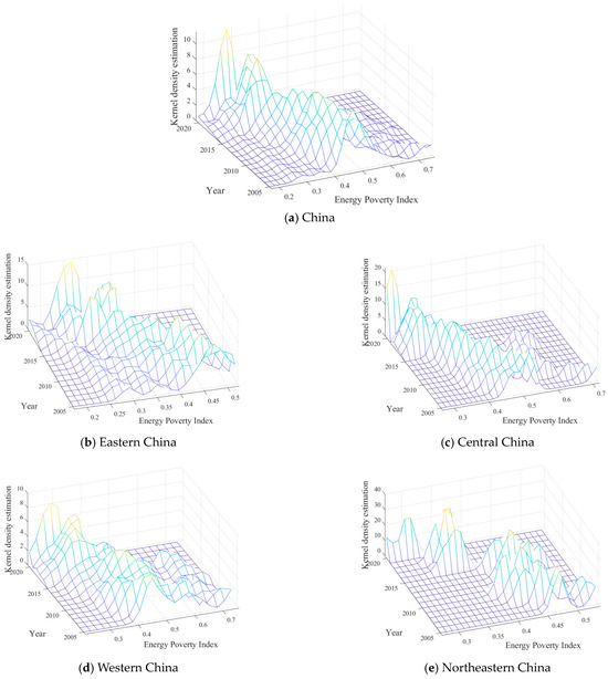
Energy Poverty in China: Measurement, Regional Inequality, and Dynamic Evolution
by Zhiyuan Gao, Ziying Jia, Chuantong Zhang, Shengbo Gao, Xinyi Yang and Yu Hao
Energies 2026, 19(1), 143; https://doi.org/10.3390/en19010143 - 26 Dec 2025
Viewed by 261
Abstract
Against the backdrop of China’s transition from the eradication of absolute poverty toward the pursuit of common prosperity, equitable access to energy has become an increasingly important policy concern. This study develops a multidimensional framework to assess energy poverty from three interrelated dimensions: [...] Read more.
Against the backdrop of China’s transition from the eradication of absolute poverty toward the pursuit of common prosperity, equitable access to energy has become an increasingly important policy concern. This study develops a multidimensional framework to assess energy poverty from three interrelated dimensions: energy use level, energy structure, and energy capability. Using panel data for 30 provincial-level regions from 2005 to 2020, a provincial energy poverty index (EPI) is constructed based on the entropy-weighting approach. The spatial and temporal dynamics of energy poverty are examined using Moran’s I, the Dagum Gini decomposition, kernel density estimation, and spatial Markov chain analysis. The results reveal several key patterns. (1) Although energy poverty has declined nationwide, it remains pronounced in parts of western, central, and northeastern China. (2) Energy poverty exhibits significant spatial clustering, with high-poverty clusters concentrated in resource-dependent regions such as Shanxi and Inner Mongolia, while low-poverty clusters are mainly located along the eastern coast. (3) Regional disparities follow an inverted U-shaped trajectory over time, with east–west differences constituting the primary source of overall inequality. (4) Moreover, the evolution of energy poverty displays strong path dependence and club convergence. These findings highlight the need to strengthen dynamic monitoring and governance mechanisms, promote region-specific clean energy development, and enhance cross-regional coordination to support energy security and green transformation under China’s “dual-carbon” objectives. Full article
(This article belongs to the Special Issue Environmental Sustainability and Energy Economy: 2nd Edition)
Show Figures

Figure 1

15 pages, 2527 KB  
Article
Improving Marine Mineral Delineation with Planar Self-Potential Data and Bayesian Inversion
by Lijuan Zhang, Shengfeng Feng, Shengcai Xu, Dingyu Huang, Hewang Li, Ying Su and Jing Xie
Minerals 2025, 15(12), 1330; https://doi.org/10.3390/min15121330 - 18 Dec 2025
Viewed by 247
Abstract
The exploration of marine minerals, essential for sustainable development, requires advanced techniques for accurate resource delineation. The self-potential (SP) method, sensitive to mineral polarization, has been increasingly deployed using autonomous underwater vehicles. This approach enables dense planar SP data acquisition, offering the potential [...] Read more.
The exploration of marine minerals, essential for sustainable development, requires advanced techniques for accurate resource delineation. The self-potential (SP) method, sensitive to mineral polarization, has been increasingly deployed using autonomous underwater vehicles. This approach enables dense planar SP data acquisition, offering the potential to reduce inversion uncertainties through enhanced data volume. This study investigates the benefits of inverting planar SP datasets for improving the spatial delineation of subsurface deposits. An analytical solution was derived to describe SP responses of spherical polarization models under a planar measurement grid. An adaptive Markov chain Monte Carlo algorithm within the Bayesian framework was employed to quantitatively assess the constraints imposed by the enriched dataset. The proposed methodology was validated through two synthetic cases, along with a laboratory-scale experiment that monitored the redox process of a spherical iron–copper model. The results showed that, compared to single-line data, the planar data reduced the average error in parameter means from 10.9% and 6.4% to 4.1% and 1.7% for synthetic and experimental cases, respectively. In addition, the 95% credible intervals of model parameters narrowed by nearly 50% and 40%, respectively. Full article
(This article belongs to the Section Mineral Exploration Methods and Applications)
Show Figures

Figure 1

24 pages, 7002 KB  
Article
Multi-Scenario Simulation of Land Use Transition in a Post-Mining City Based on the GeoSOS-FLUS Model: A Case Study of Xuzhou, China
by Yongjun Yang, Xinxin Chen, Yiyan Zhang, Yuqing Cao and Dian Jin
Land 2025, 14(12), 2442; https://doi.org/10.3390/land14122442 - 17 Dec 2025
Viewed by 436
Abstract
Many cities worldwide face decline due to mineral-resource exhaustion, with mining-induced subsidence and land degradation posing urgent land use challenges. At the same time, carbon neutrality has become a global agenda, promoting ecological restoration, emissions reduction, and green transformation in resource-exhausted cities. However, [...] Read more.
Many cities worldwide face decline due to mineral-resource exhaustion, with mining-induced subsidence and land degradation posing urgent land use challenges. At the same time, carbon neutrality has become a global agenda, promoting ecological restoration, emissions reduction, and green transformation in resource-exhausted cities. However, empirical evidence on how carbon neutrality strategies drive land use transition remains scarce. Taking Xuzhou, China, as a case study, we integrate the GeoSOS–FLUS land use simulation model with a Markov chain model to project land use patterns in 2030 under three scenarios: natural development (ND), land recovery (LR), and carbon neutrality (CN). Using emission factors and a land use carbon inventory, we quantify spatial distributions and temporal shifts in carbon emission and sequestration. Results show that LR’s rigid recovery policies restrict broader transitions, while the CN scenario effectively reshapes land use by enhancing the competitiveness of low-carbon types such as forests and new-energy land. Under CN, built-up land expansion is curbed, forests and new-energy land are maximized, and emissions fall by 4.95% from 2020. Carbon neutrality offers opportunities for industrial renewal and ecological restoration in resource-exhausted cities, steering transformations toward approaches that balance ecological function and carbon benefits. Long-term monitoring is required to evaluate policy sustainability and effectiveness. Full article
(This article belongs to the Section Land Use, Impact Assessment and Sustainability)
Show Figures

Figure 1

25 pages, 2159 KB  
Article
Gray Prediction for Internal Corrosion Rate of Oil and Gas Pipelines Based on Markov Chain and Particle Swarm Optimization
by Yiqiong Gao, Aorui Bi, Tiecheng Yan, Chenxiao Yang and Jing Qi
Symmetry 2025, 17(12), 2144; https://doi.org/10.3390/sym17122144 - 12 Dec 2025
Viewed by 232
Abstract
Accurate prediction of the internal corrosion rate is crucial for the safety management and maintenance planning of oil and gas pipelines. However, this task is challenging due to the complex, multi-factor nature of corrosion and the scarcity of available inspection data. To address [...] Read more.
Accurate prediction of the internal corrosion rate is crucial for the safety management and maintenance planning of oil and gas pipelines. However, this task is challenging due to the complex, multi-factor nature of corrosion and the scarcity of available inspection data. To address this, we propose a novel hybrid prediction model, GM-Markov-PSO, which integrates a gray prediction model with a Markov chain and a particle swarm optimization algorithm. A key innovation of our approach is the systematic incorporation of symmetry principles—observed in the spatial distribution of corrosion factors, the temporal evolution of the corrosion process, and the statistical fluctuations of monitoring data—to enhance model stability and accuracy. The proposed model effectively overcomes the limitations of individual components, providing superior handling of small-sample, non-linear datasets and demonstrating strong robustness against stochastic disturbances. In a case study, the GM-Markov-PSO model achieved prediction accuracy improvements ranging from 0.93% to 13.34%, with an average improvement of 4.51% over benchmark models, confirming its practical value for informing pipeline maintenance strategies. This work not only presents a reliable predictive tool but also enriches the application of symmetry theory in engineering forecasting by elucidating the inherent order within complex corrosion systems. Full article
(This article belongs to the Section Engineering and Materials)
Show Figures

Figure 1

20 pages, 1033 KB  
Article
Scalar Field and Quintessence in Late-Time Cosmic Expansion
by Aroonkumar Beesham
Mathematics 2025, 13(24), 3917; https://doi.org/10.3390/math13243917 - 7 Dec 2025
Viewed by 460
Abstract
The persistent Hubble tension—marked by a notable disparity between early- and late-universe determinations of the Hubble constant H0—poses a serious challenge to the standard cosmological framework. Closely linked to this is the H0rd tension, which stems from [...] Read more.
The persistent Hubble tension—marked by a notable disparity between early- and late-universe determinations of the Hubble constant H0—poses a serious challenge to the standard cosmological framework. Closely linked to this is the H0rd tension, which stems from the fact that BAO-based estimates of H0 are intrinsically dependent on the assumed value of the sound horizon at the drag epoch, rd. In this study, we construct a scalar field dark energy model within the framework of a spatially flat Friedmann–Lemaitre–Robertson–Walker model to explore the dynamics of cosmic acceleration. To solve the field equations, we introduce a generalized extension of the standard Lambda Cold Dark Matter model that allows for deviations in the expansion history. Employing advanced Markov Chain Monte Carlo techniques, we constrain the model parameters using a comprehensive combination of observational data, including Baryon Acoustic Oscillations, Cosmic Chronometers, and Standard Candle datasets from Pantheon, Quasars, and Gamma-Ray Bursts (GRBs). Our analysis reveals a transition redshift from deceleration to acceleration at ztr=0.69 and a present-day deceleration parameter value of q0=0.64. The model supports a dynamical scalar field interpretation, with an equation of state parameter satisfying 1<ω0ϕ<0, consistent with quintessence behavior, and signaling a deviation from the Λ. While the model aligns closely with the Lambda Cold Dark Matter scenario at lower redshifts (z0.65), notable departures emerge at higher redshifts (z0.65), offering a potential window into modified early-time cosmology. Furthermore, the evolution of key cosmographic quantities such as energy density ρϕ, pressure pϕ, and the scalar field equation of state highlights the robustness of scalar field frameworks in describing dark energy phenomenology. Importantly, our results indicate a slightly higher value of the Hubble constant H0 for specific data combinations, suggesting that the model may provide a partial resolution of the current H0 tension. Full article
Show Figures

Figure 1

20 pages, 2917 KB  
Article
The Potential Impacts of Climate and Land Use Changes on Water Yield in the Croatan National Forest, USA
by Mahdis Fallahi, Stacy A. C. Nelson, Joseph P. Roise, Solomon Beyene, M. Nils Peterson and Peter V. Caldwell
Environments 2025, 12(12), 473; https://doi.org/10.3390/environments12120473 - 5 Dec 2025
Viewed by 593
Abstract
Coastal forests are highly sensitive to both climate change and land use change, which can strongly affect hydrological processes and long-term water yield. This study quantifies the individual and combined impacts of climate change and land use/land cover (LULC) change on water yield [...] Read more.
Coastal forests are highly sensitive to both climate change and land use change, which can strongly affect hydrological processes and long-term water yield. This study quantifies the individual and combined impacts of climate change and land use/land cover (LULC) change on water yield in the Croatan National Forest (CNF), a coastal ecosystem in North Carolina, USA, from 2003 to 2070. To produce high-resolution climate projections, we extended the MIDAS (Machine Learning-Based Integration of Downscaled Projections for Accurate Simulation) approach by applying a full statistical downscaling of temperature and precipitation from CMIP6–SSP5-8.5 scenarios using the Random Forest algorithm. Future LULC scenarios were generated using machine learning and Markov Chain-based modeling to predict spatial changes up to 2070. The downscaled climate and LULC data were integrated into the WaSSI hydrological model to simulate their potential effects on water yield under the following four scenarios: baseline, LULC change only, climate change only, and combined change. The results showed that climate change alone could reduce annual water yield by about 11%, while LULC change alone could increase it by roughly 3% due to lower evapotranspiration from forest-to-urban conversion. Under the combined scenario, water yield decreased by about 6%, indicating that climate change dominated, but LULC change could locally alter or influence its effects. Overall, the findings highlight that climate change could be the primary driver of reduced water yield in coastal forests, while LULC change mainly affects its spatial variability. This integrated framework improves the accuracy of regional hydrological projections and provides useful insights for climate adaptation and sustainable water resource management in coastal forest ecosystems. Full article
Show Figures

Figure 1

49 pages, 6479 KB  
Article
IoT-Driven Destination Prediction in Smart Urban Mobility: A Comparative Study of Markov Chains and Hidden Markov Models
by João Batista Firmino Junior, Francisco Dantas Nobre Neto, Bruno Neiva Moreno and Tiago Brasileiro Araújo
IoT 2025, 6(4), 75; https://doi.org/10.3390/iot6040075 - 3 Dec 2025
Viewed by 593
Abstract
The increasing availability of IoT-enabled mobility data and intelligent transportation systems in Smart Cities demands efficient and interpretable models for destination prediction. This study presents a comparative analysis between Markov Chains and Hidden Markov Models applied to urban mobility trajectories, evaluated through mean [...] Read more.
The increasing availability of IoT-enabled mobility data and intelligent transportation systems in Smart Cities demands efficient and interpretable models for destination prediction. This study presents a comparative analysis between Markov Chains and Hidden Markov Models applied to urban mobility trajectories, evaluated through mean precision values. To ensure methodological rigor, the Smart Sampling with Data Filtering (SSDF) method was developed, integrating trajectory segmentation, spatial tessellation, frequency aggregation, and 10-fold cross-validation. Using data from 23 vehicles in the Vehicle Energy Dataset (VED) and a filtering threshold based on trajectory recurrence, the results show that the HMM achieved 61% precision versus 59% for Markov Chains (p = 0.0248). Incorporating day-of-week contextual information led to statistically significant precision improvements in 78.3% of cases for precision (95.7% for recall, 87.0% for F1-score). The remaining 21.7% indicate that model selection should balance model complexity and precision-efficiency trade-off. The proposed SSDF method establishes a replicable foundation for evaluating probabilistic models in IoT-based mobility systems, contributing to scalable, explainable, and sustainable Smart City transportation analytics. Full article
(This article belongs to the Special Issue IoT-Driven Smart Cities)
Show Figures

Figure 1

25 pages, 3368 KB  
Article
Prediction and Early Warning of Water Environmental Carrying Capacity Based on Kernel Density Estimation Method and Markov Chain Model
by Weijun He, Liang Zhao, Yang Kong, Qingling Peng, Liang Yuan, Thomas Stephen Ramsey, Dagmawi Mulugeta Degefu and Xuexue Wu
Water 2025, 17(23), 3414; https://doi.org/10.3390/w17233414 - 30 Nov 2025
Viewed by 471
Abstract
Water environmental carrying capacity (WECC) is an important support for social and economic development and is closely related to regional production and consumption patterns. Exploring the level of WECC and its evolution trend is very urgent for the scientific formulation of targeted early [...] Read more.
Water environmental carrying capacity (WECC) is an important support for social and economic development and is closely related to regional production and consumption patterns. Exploring the level of WECC and its evolution trend is very urgent for the scientific formulation of targeted early warning control strategies. Therefore, this study first constructs the index system of WECC with a DPSIR model, and conducts the quantitative evaluation by combining the Kantiray Weighting method and the TOPSIS method. Then, the Kernel Density Estimation method and the Markov Chain model are applied to explore the spatiotemporal variation characteristics of WECC and predict its evolution trend. Finally, a case study of 17 municipal administrative regions in Hubei Province is carried out. The main findings are as follows: (1) The WECC status in Hubei Province during 2013–2022 was generally satisfactory and showed a trend of fluctuating improvement. (2) The spatial agglomeration effect of WECC in Hubei Province was significant, showing a distribution pattern of “high-high” agglomeration and “low-low” agglomeration. The improvement of the WECC in eastern Hubei was obvious, while that in central Hubei was slower, and the cities with a lower level of WECC had a more significant improvement effect. (3) Overall, the WECC of cities in Hubei Province tends to shift to a higher level. In a short period of time, the grade improvement of urban WECC in Hubei Province is more likely to occur between adjacent grades. With the increase in time span, the probability of this transition rises gradually. This study has proposed a set of methods for the evaluation and prediction of WECC status, which can provide important decision-making guidance for the early warning and regulation of regional differentiated WECC. Full article
Show Figures

Figure 1

30 pages, 11202 KB  
Article
Spatial-Temporal Coupling Mechanism and Influencing Factors of New-Quality Productivity, Carbon Emission Reduction and High-Quality Economic Development
by Jiawen Xiao, Xiuli Wang, Gongming Li, Hengkai Li and Shengdong Nie
Sustainability 2025, 17(21), 9715; https://doi.org/10.3390/su17219715 - 31 Oct 2025
Viewed by 528
Abstract
In recent years, China has faced the dual challenge of achieving high-quality economic development (HQED) alongside carbon emission reduction (CER), with new-quality productivity (NQP) emerging as a key driver integrating both agendas. Research on the coordinated development of these three dimensions remains limited [...] Read more.
In recent years, China has faced the dual challenge of achieving high-quality economic development (HQED) alongside carbon emission reduction (CER), with new-quality productivity (NQP) emerging as a key driver integrating both agendas. Research on the coordinated development of these three dimensions remains limited but is critical for effective policy-making. Based on panel data from 30 Chinese provinces (2014–2023), this study constructs the NQP-CER-HQED evaluation indicator system; calculates the composite index using the entropy weight method and composite index calculation model; computes the coupling coordination degree (CCD) of the three components via the CCD model; analyzes the temporal evolution and future trends of CCD using kernel density and GM(1,1) models; examines the spatial evolution of CCD through Moran’s I index; employs traditional Markov chains and spatial Markov chains to investigate the spatial-temporal evolution patterns of CCD; and applies the geographic detector method to analyze the influencing factors of CCD among NQP, CER and HQED. The findings reveal that (1) the CCD of China’s NQP-CER-HQED has undergone six levels, showing an overall upward trend; (2) temporally, CCD levels improve annually, with all provinces expected to achieve coordinated development by 2026; (3) spatially, the CCD exhibits a “high-east, low-west” tiered distribution; (4) spatially/temporally, the transition of the CCD levels is primarily gradual rather than leapfrogging; and (5) the level of opening up and new-quality labor resources are identified as dominant influencing factors, with the interaction between new-quality labor resources and government support showing the strongest explanatory power. This study provides an analytical framework for understanding the NQP-CER-HQED synergy and offers a scientific basis for sustainable policy formulation. Full article
Show Figures

Figure 1

23 pages, 10540 KB  
Article
Spatiotemporal Evolution, Regional Disparities, and Transition Dynamics of Carbon Effects in China’s Agricultural Land Use
by Caibo Liu, Xuenan Zhang, Yiyang Sun, Wanling Hu, Xia Li and Huiru Cheng
Sustainability 2025, 17(20), 9344; https://doi.org/10.3390/su17209344 - 21 Oct 2025
Viewed by 699
Abstract
A precise understanding of the carbon dynamics of agricultural land use is essential for advancing China’s “dual carbon” goals and promoting sustainable rural development. Drawing on panel datasets for 31 Chinese provinces over the period 1997–2022, this study comprehensively analyzes the spatiotemporal evolution, [...] Read more.
A precise understanding of the carbon dynamics of agricultural land use is essential for advancing China’s “dual carbon” goals and promoting sustainable rural development. Drawing on panel datasets for 31 Chinese provinces over the period 1997–2022, this study comprehensively analyzes the spatiotemporal evolution, regional disparities, and transition dynamics of agricultural carbon capture and emissions. Using a combination of the emission factor method, the Dagum Gini coefficient, kernel density estimation, and Markov chain models, the study finds that China’s total agricultural carbon capture has continued to increase, yet regional disparities are widening, with the central region leading and the northeastern region lagging. Meanwhile, agricultural carbon emissions exhibit a “strong west, weak east” spatial pattern and demonstrate a high degree of club convergence. Club convergence refers to the phenomenon where regions with similar initial levels converge to the same steady-state over the long run, while remaining persistently different from other regions. The net carbon effect exhibits a dual structure of carbon surplus zones and carbon deficit zones: 23 provinces act as carbon surplus zones, while 8 provinces are carbon deficit zones, primarily located in ecologically fragile or special-function regions. These findings highlight the spatial heterogeneity, path dependence, and policy sensitivity of carbon effects from agricultural land use. Accordingly, the study proposes differentiated policy recommendations, including region-specific carbon management strategies, the establishment of a unified agricultural carbon trading system, and the integration of technological and institutional innovations to achieve a balanced and low-carbon agricultural transformation. Full article
(This article belongs to the Special Issue Land Use Strategies for Sustainable Development)
Show Figures

Figure 1

20 pages, 2947 KB  
Article
Research on Spatial Spillover Effects of Comprehensive Carrying Capacity of Water and Soil Resources: Evidence from the Yellow River Basin, China
by Guanghua Dong, Shiya Xiong, Lunyan Wang, Xiaowei An and Xin Li
Sustainability 2025, 17(20), 9299; https://doi.org/10.3390/su17209299 - 20 Oct 2025
Viewed by 522
Abstract
Water and soil resources (WSRs) determine the healthy development of the socio-economic systems. This research seeks to clarify the spatiotemporal evolution characteristics, spatial spillover effects, and key constraint factors influencing the comprehensive carrying capacity (CCC) of WSR in the Yellow River (YR) Basin [...] Read more.
Water and soil resources (WSRs) determine the healthy development of the socio-economic systems. This research seeks to clarify the spatiotemporal evolution characteristics, spatial spillover effects, and key constraint factors influencing the comprehensive carrying capacity (CCC) of WSR in the Yellow River (YR) Basin from 2012 to 2023, thereby supporting the healthy development of the river basin. Based on the structural relationships among the internal elements of this system, the entropy method and an extensible cloud model are employed in this study to evaluate the WSR-CCC. Based on the estimation theory and spatial econometrics methods, the temporal and spatial evolution process of WSR-CCC was explored, and the obstructive factors were analyzed. We made the following discoveries: (1) The WSR-CCC demonstrates a fluctuating upward tendency, gradually moving from critical overload level IV to sustainable level II, but inter-provincial disparities expand. (2) The spatial pattern exhibits a gradient of higher levels in the western region, lower levels in the eastern region, stronger intensity in the northern region, and weaker intensity in the southern region, with weak spatial correlation. However, the spatial spillover effect is significant, with club convergence and the Matthew effect coexisting. (3) The obstacle factors exhibit a drive–influence–state three-stage dominant characteristic. The findings provide actionable insights for coordinating WSR optimization and ecological conservation. Full article
Show Figures

Graphical abstract

Back to TopTop