A Study on the Measurement and Spatial Non-Equilibrium of Marine New-Quality Productivity in China: Differences, Polarization, and Causes
Abstract
1. Introduction
2. Research Design
2.1. Indicator System Construction
2.2. Research Methods
2.2.1. Gaussian KDE
2.2.2. Spatial Markov Chain
2.2.3. Dagum Gini Decomposition
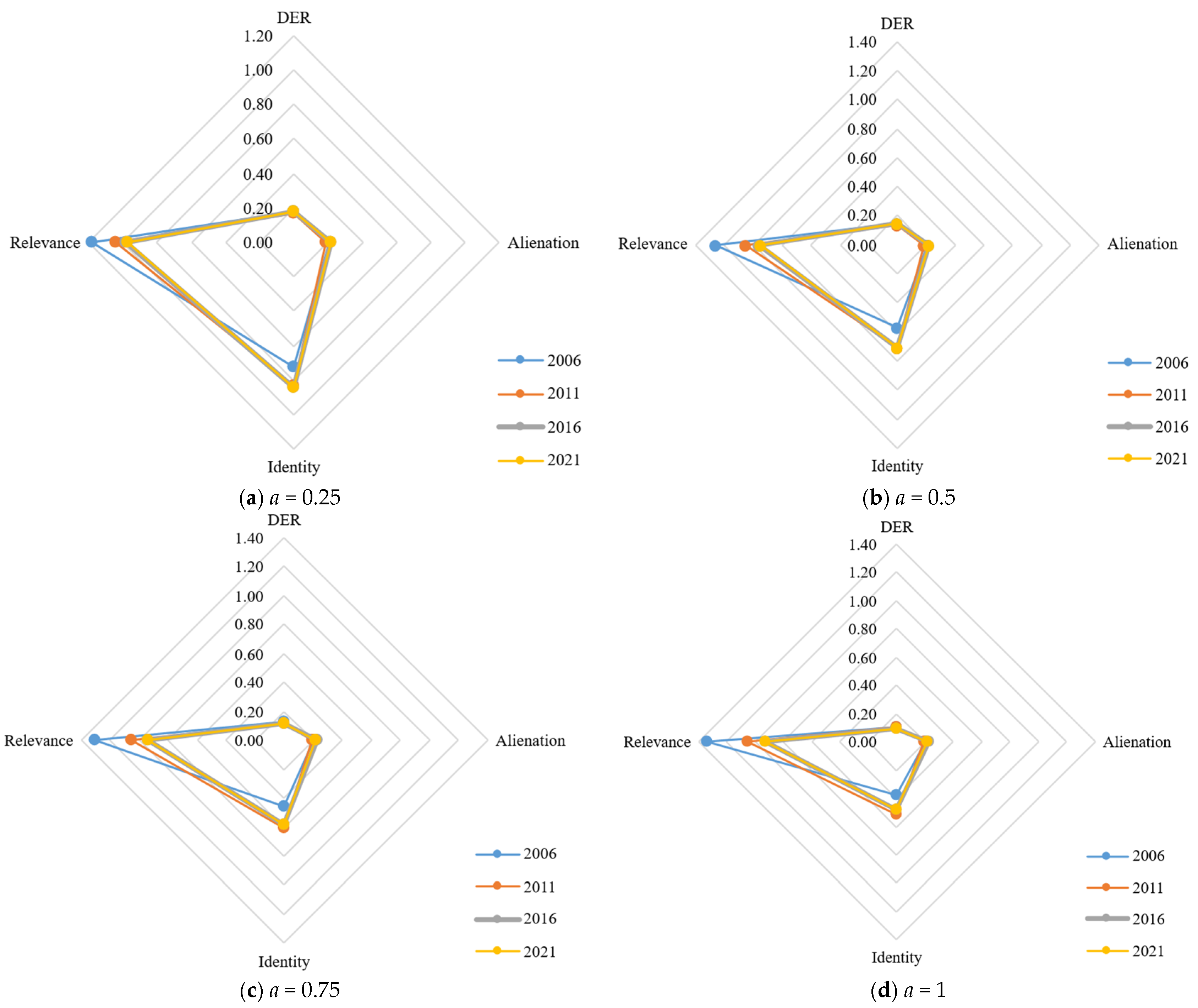
2.2.4. DER and EGR Polarization Index
2.2.5. Geographical Detectors
2.3. Research Objects and Data Sources
3. Typical Spatial and Temporal Characteristics of MNQP in China
3.1. Level Measurement
3.2. Dynamic Evolution Trends
3.2.1. KDE
3.2.2. Spatial Markov Chain
4. Spatial Non-Equilibrium of China’s MNQP
4.1. Regional Disparity Characteristics
4.2. Spatial Polarization Characteristics
5. Cause Analysis of Spatial Disequilibrium of MNQP in China
6. Conclusions and Policy Recommendations
Author Contributions
Funding
Data Availability Statement
Conflicts of Interest
References
- Chen, Y.; Ma, Y.; Wang, Y.; Sun, Z.; Han, Y. Impact of China’s Marine Governance Policies on the Marine Ecological Environment—A Case Study of the Bohai Rim. Ocean Coast. Manag. 2023, 246, 106913. [Google Scholar] [CrossRef]
- Sun, C.; Wang, L.; Zou, W.; Zhai, X. The High-Quality Development Level Assessment of Marine Economy in China Based on a “2+6+4” Framework. Ocean Coast. Manag. 2023, 244, 106822. [Google Scholar] [CrossRef]
- Cheng, J.; Zhang, X.; Gao, Q. Analysis of the Spatio-Temporal Changes and Driving Factors of the Marine Economic–Ecological–Social Coupling Coordination: A Case Study of 11 Coastal Regions in China. Ecol. Indic. 2023, 153, 110392. [Google Scholar] [CrossRef]
- Feng, F.; Zhai, C.; Yang, Z.; Feng, K. China’s Marine Manufacturing Export Growth: Policy, Status, and Driving Components. Mar. Policy 2023, 149, 105495. [Google Scholar] [CrossRef]
- Shi, X.; Wang, T.; Luo, K.; Wang, J.; Gu, X. The Mechanism of Constructing Marine Ranching Industrial Ecosystem Based on Grounded Theory: A Case Study of Yantai, China. Reg. Stud. Mar. Sci. 2023, 68, 103214. [Google Scholar] [CrossRef]
- Xu, S.; Liu, Y. Research on the Impact of Carbon Finance on the Green Transformation of China’s Marine Industry. J. Clean. Prod. 2023, 418, 138143. [Google Scholar] [CrossRef]
- Meng, Z.; Yu, X.; Wang, L.; Chen, W. Composite Indicators for Multi-Dimensional Assessments of Marine Economic Security in China. Ocean Coast. Manag. 2024, 251, 107063. [Google Scholar] [CrossRef]
- Yang, Y.; Liu, D.; Xu, R.; Li, Z.; Shi, C.; Zhu, X.; Sun, X. Full Title: The Performance Evaluation of Marine Ecological Civilization Construction (MECC): A Case Study of Coastal Cities in Jiangsu Province, China. Ocean Coast. Manag. 2024, 254, 107174. [Google Scholar] [CrossRef]
- Ji, J.; Liu, H.; Yin, X. Evaluation and Regional Differences Analysis of the Marine Industry Development Level: The Case of China. Mar. Policy 2023, 148, 105445. [Google Scholar] [CrossRef]
- Zhai, X.; Sun, C.; Zou, W.; Hao, S. Spatiotemporal Characteristic and Evolution of China’s Marine Economic Resilience. Ocean Coast. Manag. 2023, 238, 106562. [Google Scholar] [CrossRef]
- Zhong, J.; Wu, X.; Wu, S.; Wang, Y.; Peng, S. Regional Patterns and Factors Analysis of the Sustainable Development of Benefits in China’s National-Level Marine Ranching: Based on Shellfish and Algae. J. Clean. Prod. 2024, 467, 142994. [Google Scholar] [CrossRef]
- Fang, X.; Zhang, Y.; Yang, J.; Zhan, G. An Evaluation of Marine Economy Sustainable Development and the Ramifications of Digital Technologies in China Coastal Regions. Econ. Anal. Policy 2024, 82, 554–570. [Google Scholar] [CrossRef]
- Sun, R.; Hu, D. China’s Marine Eco-Environment Law Enforcement from the Perspective of the Responsibility System: Dilemmas and Solutions. Mar. Policy 2025, 171, 106437. [Google Scholar] [CrossRef]
- Yang, W.; Chen, X.; Liu, Y. Recent Developments in Building Sustainable Marine Fisheries in China: Reflections on the 2023 Revision of the Marine Environmental Protection Law. Mar. Policy 2025, 171, 106439. [Google Scholar] [CrossRef]
- Li, L.; Liu, L. New Quality Productivity and Chinese Modernization: Analysis Based on the Perspective of Scientific and Technological Innovation. Int. J. Soc. Sci. Public Adm. 2024, 2, 192–196. [Google Scholar] [CrossRef]
- Shao, C.; Dong, H.; Gao, Y. New Quality Productivity and Industrial Structure in China: The Moderating Effect of Environmental Regulation. Sustainability 2024, 16, 6796. [Google Scholar] [CrossRef]
- Baeza, A.V.; González, B.G.M. Labor Productivity and Marxist Theory of Labor Value. World Rev. Political Econ. 2020, 11, 377–387. [Google Scholar] [CrossRef]
- Chiarella, C.; Meyfroidt, P.; Abeygunawardane, D.; Conforti, P. Balancing the Trade-Offs between Land Productivity, Labor Productivity and Labor Intensity. Ambio 2023, 52, 1618–1634. [Google Scholar] [CrossRef]
- Liu, Y.; He, Z. Synergistic Industrial Agglomeration, New Quality Productive Forces and High-Quality Development of the Manufacturing Industry. Int. Rev. Econ. Financ. 2024, 94, 103373. [Google Scholar] [CrossRef]
- Li, J.; Noorliza, K.; Zhang, X. Enhancing Environmental, Social, and Governance Performance through New Quality Productivity and Green Innovation. Sustainability 2024, 16, 4843. [Google Scholar] [CrossRef]
- Yu, L.; Zhang, Q. Measurement of New Qualitative Productivity Kinetic Energy from the Perspective of Digital and Green Collaboration--Comparative Study Based on European Countries. J. Clean. Prod. 2024, 476, 143787. [Google Scholar] [CrossRef]
- Zhao, J. How Do Innovation Factor Allocation and Institutional Environment Affect High-Quality Economic Development? Evidence from China. J. Innov. Knowl. 2024, 9, 100475. [Google Scholar] [CrossRef]
- Zhou, C.; Li, X.; Lin, X.; Cheng, M. Influencing Factors of the High-Quality Economic Development in China Based on LASSO Model. Energy Rep. 2022, 8, 1055–1065. [Google Scholar] [CrossRef]
- Li, R.; Wang, Q.; Ge, Y. Does Trade Protection Undercut the Green Efficiency of the Marine Economy? A Case Study. Mar. Policy 2023, 157, 105864. [Google Scholar] [CrossRef]
- Yusheng, C.; Sun, Z.; Zhou, Y.; Yang, W.; Ma, Y. Can the Regulation of the Coastal Environment Facilitate the Green and Sustainable Development of the Marine Economy? Ocean Coast. Manag. 2024, 254, 107203. [Google Scholar] [CrossRef]
- Wang, W.; Mao, W.; Wu, R. The Effect of Marine Pastures on Green Aquaculture in China. Water 2024, 16, 1730. [Google Scholar] [CrossRef]
- Sun, Y.; Zhou, Z.; Fang, Y.; Bie, M.; Sun, X. Analysis of Regional Disparities, Spatiotemporal Evolution and Key Influencing Factors of Marine New Productive Forces in China. Sustainability 2025, 17, 1432. [Google Scholar] [CrossRef]
- Ji, J.; Li, Y. The Development of China’s Fishery Informatization and Its Impact on Fishery Economic Efficiency. Mar. Policy 2021, 133, 104711. [Google Scholar] [CrossRef]
- Li, Y.; Ji, J. The Digitalization of Chinese Fisheries and Its Configuration Path to Empower Fishery Sustainable Development. J. Clean. Prod. 2024, 466, 142807. [Google Scholar] [CrossRef]
- Meng, Q.; Di, Q.; Liu, Y.; Chen, X. How New Quality Productivity Becomes a New Driving Force for Marine Economy High-Quality Development: An Empirical Analysis Based on New Technology, New Forms, and New Economy. Water 2025, 17, 987. [Google Scholar] [CrossRef]
- Wright, G. Marine Governance in an Industrialised Ocean: A Case Study of the Emerging Marine Renewable Energy Industry. Mar. Policy 2015, 52, 77–84. [Google Scholar] [CrossRef]
- Yin, K.; Zhang, K.; Huang, C. Institutional Supply, Market Cultivation, and the Development of Marine Strategic Emerging Industries. Mar. Policy 2022, 139, 105045. [Google Scholar] [CrossRef]
- Liu, S.; Zhang, Y.; Wang, J.; Wang, C.; Chen, S.; Liu, Y. The Impact of the Spatial Mobility of Marine New Qualitative Productivity Force Factors on the Coordinated Development of China’s Marine Economy. Sustainability 2025, 17, 5883. [Google Scholar] [CrossRef]
- Qingyue, M.; Shenglan, T. Universal Health Care Coverage in China: Challenges and Opportunities. Procedia-Soc. Behav. Sci. 2013, 77, 330–340. [Google Scholar] [CrossRef][Green Version]
- Hu, A.; Yan, Y.; Tang, X.; Liu, S. People-Centered Comprehensive Modernization. In 2050 China: Becoming a Great Modern Socialist Country; Hu, A., Yan, Y., Tang, X., Liu, S., Eds.; Springer: Singapore, 2021; pp. 21–29. ISBN 978-981-15-9833-3. [Google Scholar]
- Huang, C.; Liu, J. People-Centered Philosophy of Development. In Research on the Concept and Practice of Poverty Reduction in China; Huang, C., Liu, J., Eds.; Springer Nature: Singapore, 2022; pp. 13–28. ISBN 978-981-16-9519-3. [Google Scholar]
- Li, G.; Zhou, Y.; Liu, F.; Tian, A. Regional Difference and Convergence Analysis of Marine Science and Technology Innovation Efficiency in China. Ocean Coast. Manag. 2021, 205, 105581. [Google Scholar] [CrossRef]
- Wang, J.; Shi, X.; Du, Y. Exploring the Relationship among Marine Science and Technology Innovation, Marine Finance, and Marine Higher Education Using a Coupling Analysis: A Case Study of China’s Coastal Areas. Mar. Policy 2021, 132, 104706. [Google Scholar] [CrossRef]
- Chen, P.; Chen, H.; Chen, K.; Ke, H.; Cai, M. Quantitative Assessment of the Response of Seawater Environmental Quality to Marine Protection Policies under Regional Economic Development—A Case Study of Xiamen Bay, China. Mar. Environ. Res. 2023, 186, 105934. [Google Scholar] [CrossRef]
- Qian, X. Research on the Coordinated Development Model of Marine Ecological Environment Protection and Economic Sustainable Development. J. Sea Res. 2023, 193, 102377. [Google Scholar] [CrossRef]
- Burdon, D.; Barnard, S.; Strong, J.A.; Atkins, J.P. Linking Marine Habitats and Economic Values: A Spatial Scaling Methodology for Valuing Societal Benefits. Ecol. Econ. 2024, 224, 108316. [Google Scholar] [CrossRef]
- Zhao, H.; Wang, Y.; Liu, X. The Evaluation of Smart City Construction Readiness in China Using CRITIC-G1 Method and the Bonferroni Operator. IEEE Access 2021, 9, 70024–70038. [Google Scholar] [CrossRef]
- Ding, X.; Tian, X.; Wang, J. A Comprehensive Risk Assessment Method for Hot Work in Underground Mines Based on G1-EWM and Unascertained Measure Theory. Sci. Rep. 2024, 14, 6063. [Google Scholar] [CrossRef] [PubMed]
- Wang, W.; Mao, W.; Zhu, J.; Wu, R.; Yang, Z. Research on Efficiency of Marine Green Aquaculture in China: Regional Disparity, Driving Factors, and Dynamic Evolution. Fishes 2024, 9, 11. [Google Scholar] [CrossRef]
- Dagum, C. A New Approach to the Decomposition of the Gini Income Inequality Ratio. Empir. Econ. 1997, 22, 515–531. [Google Scholar] [CrossRef]
- Wang, W.; Mao, W.; Wu, R.; Zhu, J.; Yang, Z. Study on the Spatial Imbalance and Polarization of Marine Green Aquaculture Efficiency in China. Water 2024, 16, 273. [Google Scholar] [CrossRef]
- Duclos, J.-Y.; Esteban, J.; Ray, D. Polarization: Concepts, Measurement, Estimation. Econometrica 2004, 72, 1737–1772. [Google Scholar] [CrossRef]
- Esteban, J.; Gradín, C.; Ray, D. An Extension of a Measure of Polarization, with an Application to the Income Distribution of Five OECD Countries. J. Econ. Inequal. 2007, 5, 1–19. [Google Scholar] [CrossRef]
- Wang, J.; Haining, R.; Zhang, T.; Xu, C.; Hu, M.; Yin, Q.; Li, L.; Zhou, C.; Li, G.; Chen, H. Statistical Modeling of Spatially Stratified Heterogeneous Data. Ann. Am. Assoc. Geogr. 2024, 114, 499–519. [Google Scholar] [CrossRef]
- Wang, J.; Li, X.; Christakos, G.; Liao, Y.; Zhang, T.; Gu, X.; Zheng, X. Geographical Detectors-Based Health Risk Assessment and Its Application in the Neural Tube Defects Study of the Heshun Region, China. Int. J. Geogr. Inf. Sci. 2010, 24, 107–127. [Google Scholar] [CrossRef]
- Ji, J.; Chi, Y.; Yin, X. Research on the Driving Effect of Marine Economy on the High-Quality Development of Regional Economy—Evidence from China’s Coastal Areas. Reg. Stud. Mar. Sci. 2024, 74, 103550. [Google Scholar] [CrossRef]
- Wang, S.; Lu, B.; Yin, K. Financial Development, Productivity, and High-Quality Development of the Marine Economy. Mar. Policy 2021, 130, 104553. [Google Scholar] [CrossRef]












| Objective | Dimension | Guidelines | First-Level Indicator | Second-Level Indicators | Measures |
|---|---|---|---|---|---|
| MNQP | Basic structure | Labour | Labour productivity | Marine labour productivity | Gross marine product (yuan)/persons employed in the coastal zone (number) |
| Worker awareness | Employment philosophy | Persons employed in marine research and development organizations (number)/persons employed in the coastal zone (number) | |||
| Worker skills | Educational support | Higher education institutions specializing in the sea (number) | |||
| Human capital | Students enrolled in general higher education and above specializing in marine subjects (number) | ||||
| Labour particulars | Material means of production | Traditional facilities | Marine cargo turnover (tons per kilometre) | ||
| Mariculture area (hectare) | |||||
| Total area of salt flats (hectare) | |||||
| Number of travel agencies in coastal areas (number) | |||||
| Digital equipment | Long-distance fibre-optic cable lines (km)/coastal population (number) | ||||
| Internet broadband access ports (number)/population of coastal areas (number) | |||||
| Depletion of energy | Coastal energy consumption (ten thousand tons of standard coal)/GDP (100 million yuan) | ||||
| Electricity consumption (100 million kilowatts/hour)/population in coastal areas (10,000 people) | |||||
| Intangible means of production | Support for innovation | Research and development funds for marine research institutions (100 million yuan)/gross domestic product of coastal areas (100 million yuan) | |||
| Scientific and technical subject matter | Scientific and technological projects in marine research institutions (number)/employees of marine research and development institutions (number) | ||||
| Objects of labour | New industry | Related industries | Value added of marine-related industries (100 million yuan)/value added of marine and related industries (100 million yuan) | ||
| Strategic industries | Value added of marine scientific research, education, and management services (100 million yuan)/value added of MNQP (100 million yuan) | ||||
| Ecological environment | Pollutant emissions | Industrial waste water discharge (ten thousand tons)/gross domestic product of coastal areas (100 million yuan) | |||
| Environmental intensity | Expenditure on environmental protection (100 million yuan)/government expenditure on public finance (100 million yuan) | ||||
| Benefits realization | Economic benefits | Living standard | Disposable income | Coastal disposable income per capita (yuan) | |
| Industrial development | Industrial structure | Gross Maritime Product (100 million yuan)/gross domestic product of coastal areas (100 million yuan) | |||
| Related industry scale | Value added of marine-related industries (100 million yuan) | ||||
| Strategic industry scale | Value added of marine research, education, and management services (100 million yuan) | ||||
| Technical benefits | Technology patents | Patent application | Patent applications received by marine research organizations (number) | ||
| Patent licencing | Patents granted by marine research institutions (number) | ||||
| Achievements | Papers | Scientific and technical papers published by marine research institutions (number) | |||
| Writing | Scientific and technical publications by marine scientific research institutions (number) | ||||
| Environmental benefits | Achievement of conservation effectiveness | National nature reserves | State-level marine-type nature reserves (number) | ||
| Local nature reserves | Local-level marine-type nature reserves (number) | ||||
| Safety monitoring | Marine stations | Marine stations (number) | |||
| Weather stations | Weather stations (number) |
| Spatial Lag | t/t + 1 | Frequency | LL | LRL | HRL | HL | |
|---|---|---|---|---|---|---|---|
| Vicinity | No spatial lag | LL | 44 | 0.773 | 0.205 | 0.023 | 0.000 |
| LRL | 41 | 0.049 | 0.707 | 0.220 | 0.024 | ||
| HRL | 42 | 0.024 | 0.048 | 0.714 | 0.214 | ||
| HL | 38 | 0.000 | 0.000 | 0.105 | 0.895 | ||
| LL | LL | 4 | 0.750 | 0.250 | 0.000 | 0.000 | |
| LRL | 14 | 0.000 | 0.571 | 0.429 | 0.000 | ||
| HRL | 19 | 0.000 | 0.053 | 0.789 | 0.158 | ||
| HL | 4 | 0.000 | 0.000 | 0.250 | 0.750 | ||
| LRL | LL | 14 | 0.786 | 0.214 | 0.000 | 0.000 | |
| LRL | 5 | 0.000 | 1.000 | 0.000 | 0.000 | ||
| HRL | 8 | 0.000 | 0.000 | 0.750 | 0.250 | ||
| HL | 17 | 0.000 | 0.000 | 0.000 | 1.000 | ||
| HRL | LL | 12 | 0.833 | 0.083 | 0.083 | 0.000 | |
| LRL | 11 | 0.091 | 0.727 | 0.091 | 0.091 | ||
| HRL | 3 | 0.333 | 0.000 | 0.667 | 0.000 | ||
| HL | 9 | 0.000 | 0.000 | 0.000 | 1.000 | ||
| HL | LL | 14 | 0.714 | 0.286 | 0.000 | 0.000 | |
| LRL | 11 | 0.091 | 0.727 | 0.182 | 0.000 | ||
| HRL | 12 | 0.000 | 0.083 | 0.583 | 0.333 | ||
| HL | 8 | 0.000 | 0.000 | 0.375 | 0.625 |
| Year | Overall GINI | Intra-Subgroup Contribution | Inter-Subgroup Contribution | Hypervariable Density | Intra-Subgroup Contribution (%) | Inter-Subgroup Contribution (%) | Hypervariable Density Contribution (%) |
|---|---|---|---|---|---|---|---|
| 2006 | 0.206 | 0.066 | 0.022 | 0.118 | 32.012 | 10.803 | 57.185 |
| 2011 | 0.188 | 0.059 | 0.050 | 0.079 | 31.522 | 26.499 | 41.979 |
| 2016 | 0.220 | 0.071 | 0.004 | 0.146 | 32.047 | 1.657 | 66.297 |
| 2021 | 0.217 | 0.069 | 0.020 | 0.128 | 31.872 | 9.074 | 59.054 |
| Year | DER | EGR | |||
|---|---|---|---|---|---|
| α = 0 | α = 0.25 | α = 1 | α = 1.3 | α = 1.6 | |
| β = 1 | β = 1 | β = 1 | |||
| 2006 | 0.206 | 0.176 | 0.106 | 0.073 | 0.049 |
| 2007 | 0.188 | 0.163 | 0.092 | 0.062 | 0.040 |
| 2008 | 0.174 | 0.155 | 0.092 | 0.062 | 0.041 |
| 2009 | 0.179 | 0.158 | 0.091 | 0.062 | 0.041 |
| 2010 | 0.210 | 0.178 | 0.108 | 0.072 | 0.047 |
| 2011 | 0.188 | 0.163 | 0.093 | 0.063 | 0.041 |
| 2012 | 0.209 | 0.177 | 0.111 | 0.077 | 0.052 |
| 2013 | 0.197 | 0.170 | 0.103 | 0.077 | 0.047 |
| 2014 | 0.197 | 0.169 | 0.098 | 0.065 | 0.043 |
| 2015 | 0.211 | 0.178 | 0.098 | 0.064 | 0.040 |
| 2016 | 0.220 | 0.182 | 0.110 | 0.077 | 0.053 |
| 2017 | 0.233 | 0.189 | 0.113 | 0.076 | 0.050 |
| 2018 | 0.218 | 0.180 | 0.113 | 0.072 | 0.046 |
| 2019 | 0.206 | 0.171 | 0.102 | 0.069 | 0.046 |
| 2020 | 0.223 | 0.182 | 0.111 | 0.074 | 0.047 |
| 2021 | 0.217 | 0.179 | 0.115 | 0.079 | 0.053 |
| Detection Factor | factor 1 | factor 2 | factor 3 | factor 4 | factor 5 | factor 6 | factor 7 |
|---|---|---|---|---|---|---|---|
| q statistic | 0.478 | 0.217 | 0.006 | 0.127 | 0.125 | 0.042 | 0.112 |
| p value | 0.000 | 0.000 | 0.999 | 0.016 | 0.005 | 0.523 | 0.009 |
| factor 1 | factor 2 | factor 3 | factor 4 | factor 5 | factor 6 | factor 7 | |
|---|---|---|---|---|---|---|---|
| factor 1 | |||||||
| factor 2 | Yes | ||||||
| factor 3 | Yes | Yes | |||||
| factor 4 | Yes | No | No | ||||
| factor 5 | Yes | No | No | No | |||
| factor 6 | Yes | Yes | No | No | No | ||
| factor 7 | Yes | No | No | No | No | No | Yes |
| factor 1 | factor 2 | factor 3 | factor 4 | factor 5 | factor 6 | factor 7 | |
|---|---|---|---|---|---|---|---|
| factor 1 | 0.478 | ||||||
| factor 2 | 0.616 | 0.217 | |||||
| factor 3 | 0.534 | 0.259 | 0.006 | ||||
| factor 4 | 0.611 | 0.470 | 0.175 | 0.127 | |||
| factor 5 | 0.599 | 0.325 | 0.157 | 0.358 | 0.125 | ||
| factor 6 | 0.566 | 0.339 | 0.078 | 0.216 | 0.263 | 0.042 | |
| factor 7 | 0.521 | 0.381 | 0.159 | 0.346 | 0.369 | 0.143 | 0.112 |
Disclaimer/Publisher’s Note: The statements, opinions and data contained in all publications are solely those of the individual author(s) and contributor(s) and not of MDPI and/or the editor(s). MDPI and/or the editor(s) disclaim responsibility for any injury to people or property resulting from any ideas, methods, instructions or products referred to in the content. |
© 2026 by the authors. Licensee MDPI, Basel, Switzerland. This article is an open access article distributed under the terms and conditions of the Creative Commons Attribution (CC BY) license.
Share and Cite
Wu, Y.; Wu, R.; Yang, L.; Lin, Z.; Wang, W. A Study on the Measurement and Spatial Non-Equilibrium of Marine New-Quality Productivity in China: Differences, Polarization, and Causes. Water 2026, 18, 240. https://doi.org/10.3390/w18020240
Wu Y, Wu R, Yang L, Lin Z, Wang W. A Study on the Measurement and Spatial Non-Equilibrium of Marine New-Quality Productivity in China: Differences, Polarization, and Causes. Water. 2026; 18(2):240. https://doi.org/10.3390/w18020240
Chicago/Turabian StyleWu, Yao, Renhong Wu, Lihua Yang, Zixin Lin, and Wei Wang. 2026. "A Study on the Measurement and Spatial Non-Equilibrium of Marine New-Quality Productivity in China: Differences, Polarization, and Causes" Water 18, no. 2: 240. https://doi.org/10.3390/w18020240
APA StyleWu, Y., Wu, R., Yang, L., Lin, Z., & Wang, W. (2026). A Study on the Measurement and Spatial Non-Equilibrium of Marine New-Quality Productivity in China: Differences, Polarization, and Causes. Water, 18(2), 240. https://doi.org/10.3390/w18020240

