Sign in to use this feature.

Years

Between: -

Subjects

remove_circle_outline
remove_circle_outline
remove_circle_outline
remove_circle_outline
remove_circle_outline
remove_circle_outline
remove_circle_outline
remove_circle_outline
remove_circle_outline

Journals

remove_circle_outline
remove_circle_outline
remove_circle_outline
remove_circle_outline
remove_circle_outline
remove_circle_outline

Article Types

Countries / Regions

remove_circle_outline
remove_circle_outline
remove_circle_outline
remove_circle_outline
remove_circle_outline
remove_circle_outline

Search Results (1,375)

Search Parameters:
Keywords = sparse computations

Order results
Result details
Results per page
Select all
Export citation of selected articles as:
16 pages, 4316 KB  
Article
Accurate Segmentation of Vegetation in UAV Desert Imagery Using HSV-GLCM Features and SVM Classification
by Thani Jintasuttisak, Patompong Chabplan, Sasitorn Issaro, Orawan Saeung and Thamasan Suwanroj
J. Imaging 2026, 12(1), 9; https://doi.org/10.3390/jimaging12010009 - 25 Dec 2025
Abstract
Segmentation of vegetation from images is an important task in precision agriculture applications, particularly in challenging desert environments where sparse vegetation, varying soil colors, and strong shadows pose significant difficulties. In this paper, we present a machine learning approach to robust green-vegetation segmentation [...] Read more.
Segmentation of vegetation from images is an important task in precision agriculture applications, particularly in challenging desert environments where sparse vegetation, varying soil colors, and strong shadows pose significant difficulties. In this paper, we present a machine learning approach to robust green-vegetation segmentation in drone imagery captured over desert farmlands. The proposed method combines HSV color-space representation with Gray-Level Co-occurrence Matrix (GLCM) texture features and employs Support Vector Machine (SVM) as the learning algorithm. To enhance robustness, we incorporate comprehensive preprocessing, including Gaussian filtering, illumination normalization, and bilateral filtering, followed by morphological post-processing to improve segmentation quality. The method is evaluated against both traditional spectral index methods (ExG and CIVE) and a modern deep learning baseline using comprehensive metrics including accuracy, precision, recall, F1-score, and Intersection over Union (IoU). Experimental results on 120 high-resolution drone images from UAE desert farmlands demonstrate that the proposed method achieves superior performance with an accuracy of 0.91, F1-score of 0.88, and IoU of 0.82, showing significant improvement over baseline methods in handling challenging desert conditions, including shadows, varying soil colors, and sparse vegetation patterns. The method provides practical computational performance with a processing time of 25 s per image and a training time of 28 min, making it suitable for agricultural applications where accuracy is prioritized over processing speed. Full article
(This article belongs to the Section Computer Vision and Pattern Recognition)
Show Figures

Figure 1

29 pages, 7269 KB  
Article
MSLCP-DETR: A Multi-Scale Linear Attention and Sparse Fusion Framework for Infrared Small Target Detection in Vehicle-Mounted Systems
by Fu Li, Meimei Zhu, Ming Zhao, Yuxin Sun and Wangyu Wu
Mathematics 2026, 14(1), 67; https://doi.org/10.3390/math14010067 - 24 Dec 2025
Abstract
Detecting small infrared targets in vehicle-mounted systems remains challenging due to weak thermal radiation, cross-scale feature loss, and dynamic background interference. To address these issues, this paper proposes MSLCP-DETR, an enhanced RT-DETR-based framework that integrates multi-scale linear attention and sparse fusion mechanisms. The [...] Read more.
Detecting small infrared targets in vehicle-mounted systems remains challenging due to weak thermal radiation, cross-scale feature loss, and dynamic background interference. To address these issues, this paper proposes MSLCP-DETR, an enhanced RT-DETR-based framework that integrates multi-scale linear attention and sparse fusion mechanisms. The model introduces three novel components: a Multi-Scale Linear Attention Encoder (MSLA-AIFI), which combines multi-branch depth-wise convolution with linear attention to efficiently capture cross-scale features while reducing computational complexity; a Cross-Scale Small Object Feature Optimization module (CSOFO), which enhances the localization of small targets in dense scenes through spatial rearrangement and dynamic modeling; and a Pyramid Sparse Transformer (PST), which replaces traditional dense fusion with a dual-branch sparse attention mechanism to improve both accuracy and real-time performance. Extensive experiments on the M3FD and FLIR datasets demonstrate that MSLCP-DETR achieves an excellent balance between accuracy and efficiency, with its precision, mAP@50, and mAP@50:95 reaching 90.3%, 79.5%, and 86.0%, respectively. Ablation studies and visual analysis further validate the effectiveness of the proposed modules and the overall design strategy. Full article
22 pages, 8610 KB  
Article
A Unified GNN-CV Framework for Intelligent Aerial Situational Awareness
by Leyan Li, Rennong Yang, Anxin Guo and Zhenxing Zhang
Sensors 2026, 26(1), 119; https://doi.org/10.3390/s26010119 - 24 Dec 2025
Abstract
Aerial situational awareness (SA) faces significant challenges due to inherent complexity involving large-scale dynamic entities and intricate spatio-temporal relationships. While deep learning advances SA for specific data modalities (static or time-series), existing approaches often lack the holistic, vision-centric perspective essential for human decision-making. [...] Read more.
Aerial situational awareness (SA) faces significant challenges due to inherent complexity involving large-scale dynamic entities and intricate spatio-temporal relationships. While deep learning advances SA for specific data modalities (static or time-series), existing approaches often lack the holistic, vision-centric perspective essential for human decision-making. To bridge this gap, we propose a unified GNN-CV framework for operational-level SA. This framework leverages mature computer vision (CV) architectures to intelligently process radar-map-like representations, addressing diverse SA tasks within a unified paradigm. Key innovations include methods for sparse entity attribute transformation graph neural networks (SET-GNNs), large-scale radar map reconstruction, integrated feature extraction, specialized two-stage pre-training, and adaptable downstream task networks. We rigorously evaluate the framework on critical operational-level tasks: aerial swarm partitioning and configuration recognition. The framework achieves an impressive end-to-end recognition accuracy exceeding 90.1%. Notably, in specialized tactical scenarios featuring small, large, and irregular flight intervals within formations, configuration recognition accuracy surpasses 85.0%. Even in the presence of significant position and heading disturbances, accuracy remains above 80.4%, with millisecond response cycles. Experimental results highlight the benefits of leveraging mature CV techniques such as image classification, object detection, and image generation, which enhance the efficacy, resilience, and coherence of intelligent situational awareness. Full article
(This article belongs to the Section Intelligent Sensors)
Show Figures

Figure 1

22 pages, 8371 KB  
Article
Adaptive Grid–Geodetector Coupled Analysis of LUCC Driving Forces in Mountainous Cities: A Case Study of the Chongqing Metropolitan Area
by Ye Huang, Yongzhong Tian, Chenxi Yuan, Wenhao Wan and Lifen Zhu
Sustainability 2026, 18(1), 174; https://doi.org/10.3390/su18010174 - 23 Dec 2025
Viewed by 88
Abstract
Understanding the driving forces of land use and land cover change (LUCC) is crucial for revealing the coupled dynamics of human–land systems and supporting optimized spatial planning and resource allocation. To overcome the limitations of conventional Geodetector applications in mountainous regions with complex [...] Read more.
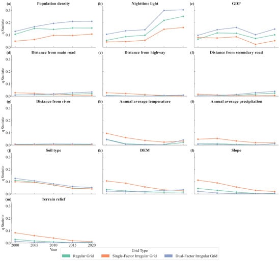
Understanding the driving forces of land use and land cover change (LUCC) is crucial for revealing the coupled dynamics of human–land systems and supporting optimized spatial planning and resource allocation. To overcome the limitations of conventional Geodetector applications in mountainous regions with complex terrain, this study proposes a terrain–population dual-factor adaptive grid designed for use with the Geodetector model. This adaptive grid refines cells in steep and densely populated areas while merging cells in flatter and sparsely populated regions, thus capturing both natural and socioeconomic heterogeneity. Coupled with the Geodetector model, this framework improves the accuracy and computational efficiency of identifying LUCC drivers. Using the Chongqing Metropolitan Area (CMA) as a case study, LUCC dynamics and their driving mechanisms were systematically examined based on five annual land cover datasets (from 2000 to 2020 at five-year intervals.). The results show the following: (1) From 2000 to 2020, cropland, forest land, and built-up land were the dominant land use types. During this period, cropland and forest land declined, whereas built-up land expanded continuously, with the most pronounced changes occurring between 2000 and 2010. (2) The dominant drivers of LUCC shifted over time: socioeconomic factors such as population density and GDP were primary drivers from 2000 to 2010, while both natural and socioeconomic factors exerted strong influence between 2010 and 2020. (3) The proposed terrain–population dual-factor irregular grid performed better than traditional regular grids in detecting socioeconomic drivers while retaining comparable explanatory power for natural factors. Compared with traditional regular grids, with an average q-value improvement of 18.7% and a 55.52% reduction in sampling points, resulting in substantially improved computational efficiency. Overall, the proposed method enhances the applicability of Geodetector in complex mountainous cities and provides practical implications for urban land use regulation and refined spatial management. Full article
Show Figures

Figure 1

21 pages, 2107 KB  
Article
A High-Precision Daily Runoff Prediction Model for Cross-Border Basins: RPSEMD-IMVO-CSAT Based on Multi-Scale Decomposition and Parameter Optimization
by Tianming He, Yilin Yang, Zheng Wang, Zongzheng Mo and Chu Zhang
Water 2026, 18(1), 48; https://doi.org/10.3390/w18010048 - 23 Dec 2025
Viewed by 125
Abstract
As the last critical hydrological control station on the Lancang River before it flows out of China, the daily runoff variations at the Yunjinghong Hydrological Station are directly linked to agricultural irrigation, hydropower development, and ecological security in downstream Mekong River riparian countries [...] Read more.
As the last critical hydrological control station on the Lancang River before it flows out of China, the daily runoff variations at the Yunjinghong Hydrological Station are directly linked to agricultural irrigation, hydropower development, and ecological security in downstream Mekong River riparian countries such as Laos, Myanmar, and Thailand. Aiming at the core issues of the runoff sequence in the Lancang–Mekong Basin, which is characterized by prominent nonlinearity, non-stationarity, and coupling of multi-scale features, this study proposes a synergistic prediction framework of “multi-scale decomposition-model improvement-parameter optimization”. Firstly, Regenerated Phase-Shifted Sine-Assisted Empirical Mode Decomposition (RPSEMD) is adopted to adaptively decompose the daily runoff data. On this basis, a Convolutional Sparse Attention Transformer (CSAT) model is constructed. A one-dimensional convolutional neural network (1D-CNN) module is embedded in the input layer to enhance local feature perception, making up for the deficiency of traditional Transformers in capturing detailed information. Meanwhile, the sparse attention mechanism replaces the multi-head attention, realizing efficient focusing on key time-step correlations and reducing computational costs. Additionally, an Improved Multi-Verse Optimizer (IMVO) is introduced, which optimizes the hyperparameters of CSAT through a spiral update mechanism, exponential Travel Distance Rate (T_DR), and adaptive compression factor, thereby improving the model’s accuracy in capturing short-term abrupt patterns such as flood peaks and drought transition points. Experiments are conducted using measured daily runoff data from 2010 to 2022, and the proposed model is compared with mainstream models such as LSTM, GRU, and standard Transformer. The results show that the RPSEMD-IMVO-CSAT model reduces the Mean Absolute Error (MAE) and Root Mean Square Error (RMSE) by 15.3–28.7% and 18.6–32.4%, respectively, compared with the comparative models. Full article
Show Figures

Figure 1

27 pages, 3196 KB  
Article
Reliability-Based Robust Design Optimization Using Data-Driven Polynomial Chaos Expansion
by Zhaowang Li, Zhaozhan Li, Jufang Jia and Xiangdong He
Machines 2026, 14(1), 20; https://doi.org/10.3390/machines14010020 - 23 Dec 2025
Viewed by 204
Abstract
As the complexity of modern engineering systems continues to increase, traditional reliability analysis methods still face challenges regarding computational efficiency and reliability in scenarios where the distribution information of random variables is incomplete and samples are sparse. Therefore, this study develops a data-driven [...] Read more.
As the complexity of modern engineering systems continues to increase, traditional reliability analysis methods still face challenges regarding computational efficiency and reliability in scenarios where the distribution information of random variables is incomplete and samples are sparse. Therefore, this study develops a data-driven polynomial chaos expansion (DD-PCE) model for scenarios with limited samples and applies it to reliability-based robust design optimization (RBRDO). The model directly constructs orthogonal polynomial basis functions from input data by matching statistical moments, thereby avoiding the need for original data or complete statistical information as required by traditional PCE methods. To address the statistical moment estimation bias caused by sparse samples, kernel density estimation (KDE) is employed to augment the data derived from limited samples. Furthermore, to enhance computational efficiency, after determining the DD-PCE coefficients, the first four moments of the DD-PCE are obtained analytically, and reliability is computed based on the maximum entropy principle (MEP), thereby eliminating the additional step of solving reliability as required by traditional PCE methods. The proposed approach is validated through a mechanical structure and five mathematical functions, with RBRDO studies conducted on three typical structures and one practical engineering case. The results demonstrate that, while ensuring computational accuracy, this method saves approximately 90% of the time compared to the Monte Carlo simulation (MCS) method, significantly improving computational efficiency. Full article
(This article belongs to the Section Machine Design and Theory)
Show Figures

Figure 1

23 pages, 22740 KB  
Article
LVCA-Net: Lightweight LiDAR Semantic Segmentation for Advanced Sensor-Based Perception in Autonomous Transportation Systems
by Yuxuan Gong, Yuanhao Huang, Li Bao and Jinlei Wang
Sensors 2026, 26(1), 94; https://doi.org/10.3390/s26010094 - 23 Dec 2025
Viewed by 112
Abstract
Reliable 3D scene understanding is a fundamental requirement for intelligent machines in autonomous transportation systems, as on-board perception must remain accurate and stable across diverse environments and sensing conditions. However, LiDAR point clouds acquired in real traffic scenes are often sparse and irregular, [...] Read more.
Reliable 3D scene understanding is a fundamental requirement for intelligent machines in autonomous transportation systems, as on-board perception must remain accurate and stable across diverse environments and sensing conditions. However, LiDAR point clouds acquired in real traffic scenes are often sparse and irregular, and they exhibit heterogeneous sampling patterns that hinder consistent and fine-grained semantic interpretation. To address these challenges, this paper proposes LVCA-Net, a lightweight voxel–coordinate attention framework designed for efficient LiDAR-based 3D semantic segmentation in autonomous driving scenarios. The architecture integrates (i) an anisotropic depthwise residual module for direction-aware geometric feature extraction, (ii) a hierarchical LiteDown–LiteUp pathway for multi-scale feature fusion, and (iii) a Coordinate-Guided Sparse Semantic Module that enhances spatial consistency in a cylindrical voxel space while maintaining computational sparsity. Experiments on the SemanticKITTI and nuScenes benchmarks demonstrate that LVCA-Net achieves 67.17% mean Intersection over Union (mIoU) and 91.79% overall accuracy on SemanticKITTI, as well as 77.1% mIoU on nuScenes, while maintaining real-time inference efficiency. These results indicate that LVCA-Net delivers scalable and robust 3D scene understanding with high semantic precision for LiDAR-only perception, making it well suited for deployment in autonomous vehicles and other safety-critical intelligent systems. Full article
Show Figures

Figure 1

35 pages, 2441 KB  
Article
Power Normalized and Fractional Power Normalized Least Mean Square Adaptive Beamforming Algorithm
by Yuyang Liu and Hua Wang
Electronics 2026, 15(1), 49; https://doi.org/10.3390/electronics15010049 - 23 Dec 2025
Viewed by 48
Abstract
With the rapid deployment of high-speed maglev transportation systems worldwide, the operational velocity, electromagnetic complexity, and channel dynamics have far exceeded those of conventional rail systems, imposing more stringent requirements on real-time capability, reliability, and interference robustness in wireless communication. In maglev environments [...] Read more.
With the rapid deployment of high-speed maglev transportation systems worldwide, the operational velocity, electromagnetic complexity, and channel dynamics have far exceeded those of conventional rail systems, imposing more stringent requirements on real-time capability, reliability, and interference robustness in wireless communication. In maglev environments exceeding 600 km/h, the channel becomes predominantly line-of-sight with sparse scatterers, exhibiting strong Doppler shifts, rapidly varying spatial characteristics, and severe interference, all of which significantly degrade the stability and convergence performance of traditional beamforming algorithms. Adaptive smart antenna technology has therefore become essential in high-mobility communication and sensing systems, as it enables real-time spatial filtering, interference suppression, and beam tracking through continuous weight updates. To address the challenges of slow convergence and high steady-state error in rapidly varying maglev channels, this work proposes a new Fractional Proportionate Normalized Least Mean Square (FPNLMS) adaptive beamforming algorithm. The contributions of this study are twofold. (1) A novel FPNLMS algorithm is developed by embedding a fractional-order gradient correction into the power-normalized and proportionate gain framework of PNLMS, forming a unified LMS-type update mechanism that enhances error tracking flexibility while maintaining O(L) computational complexity. This integrated design enables the proposed method to achieve faster convergence, improved robustness, and reduced steady-state error in highly dynamic channel conditions. (2) A unified convergence analysis framework is established for the proposed algorithm. Mean convergence conditions and practical step-size bounds are derived, explicitly incorporating the fractional-order term and generalizing classical LMS/PNLMS convergence theory, thereby providing theoretical guarantees for stable deployment in high-speed maglev beamforming. Simulation results verify that the proposed FPNLMS algorithm achieves significantly faster convergence, lower mean square error, and superior interference suppression compared with LMS, NLMS, FLMS, and PNLMS, demonstrating its strong applicability to beamforming in highly dynamic next-generation maglev communication systems. Full article
(This article belongs to the Special Issue 5G and Beyond Technologies in Smart Manufacturing, 2nd Edition)
Show Figures

Figure 1

23 pages, 2239 KB  
Article
SparseDroop: Hardware–Software Co-Design for Mitigating Voltage Droop in DNN Accelerators
by Arnab Raha, Shamik Kundu, Arghadip Das, Soumendu Kumar Ghosh and Deepak A. Mathaikutty
J. Low Power Electron. Appl. 2026, 16(1), 2; https://doi.org/10.3390/jlpea16010002 - 23 Dec 2025
Viewed by 73
Abstract
Modern deep neural network (DNN) accelerators must sustain high throughput while avoiding performance degradation from supply voltage (VDD) droop, which occurs when large arrays of multiply–accumulate (MAC) units switch concurrently and induce high peak current (ICCmax) [...] Read more.
Modern deep neural network (DNN) accelerators must sustain high throughput while avoiding performance degradation from supply voltage (VDD) droop, which occurs when large arrays of multiply–accumulate (MAC) units switch concurrently and induce high peak current (ICCmax) transients on the power delivery network (PDN). In this work, we focus on ASIC-class DNN accelerators with tightly synchronized MAC arrays rather than FPGA-based implementations, where such cycle-aligned switching is most pronounced. Conventional guardbanding and reactive countermeasures (e.g., throttling, clock stretching, or emergency DVFS) either waste energy or incur non-trivial throughput penalties. We propose SparseDroop, a unified hardware-conscious framework that proactively shapes instantaneous current demand to mitigate droop without reducing sustained computing rate. SparseDroop comprises two complementary techniques. (1) SparseStagger, a lightweight hardware-friendly droop scheduler that exploits the inherent unstructured sparsity already present in the weights and activations—it does not introduce any additional sparsification. SparseStagger dynamically inspects the zero patterns mapped to each processing element (PE) column and staggers MAC start times within a column so that high-activity bursts are temporally interleaved. This fine-grain reordering smooths ICC trajectories, lowers the probability and depth of transient VDD dips, and preserves cycle-level alignment at tile/row boundaries—thereby maintaining no throughput loss and negligible control overhead. (2) SparseBlock, an architecture-aware, block-wise-structured sparsity induction method that intentionally introduces additional sparsity aligned with the accelerator’s dataflow. By co-designing block layout with the dataflow, SparseBlock reduces the likelihood that all PEs in a column become simultaneously active, directly constraining ICCmax and peak dynamic power on the PDN. Together, SparseStagger’s opportunistic staggering (from existing unstructured weight zeros) and SparseBlock’s structured, layout-aware sparsity induction (added to prevent peak-power excursions) deliver a scalable, low-overhead solution that improves voltage stability, energy efficiency, and robustness, integrates cleanly with the accelerator dataflow, and preserves model accuracy with modest retraining or fine-tuning. Full article
Show Figures

Figure 1

23 pages, 5004 KB  
Article
A Lightweight LSTM Model for Flight Trajectory Prediction in Autonomous UAVs
by Disen Jia, Jonathan Kua and Xiao Liu
Future Internet 2026, 18(1), 4; https://doi.org/10.3390/fi18010004 - 20 Dec 2025
Viewed by 139
Abstract
Autonomous Unmanned Aerial Vehicles (UAVs) are widely used in smart agriculture, logistics, and warehouse management, where precise trajectory prediction is important for safety and efficiency. Traditional approaches require complex physical modeling including mass properties, moment of inertia measurements, and aerodynamic coefficient calculations, which [...] Read more.
Autonomous Unmanned Aerial Vehicles (UAVs) are widely used in smart agriculture, logistics, and warehouse management, where precise trajectory prediction is important for safety and efficiency. Traditional approaches require complex physical modeling including mass properties, moment of inertia measurements, and aerodynamic coefficient calculations, which creates significant barriers for custom-built UAVs. Existing trajectory prediction methods are primarily designed for motion forecasting from dense historical observations, which are unsuitable for scenarios lacking historical data (e.g., takeoff phases) or requiring trajectory generation from sparse waypoint specifications (4–6 constraint points). This distinction necessitates architectural designs optimized for spatial interpolation rather than temporal extrapolation. To address these limitations, we present a segmented LSTM framework for complete autonomous flight trajectory prediction. Given target waypoints, our architecture decomposes flight operations, predicts different maneuver types, and outputs the complete trajectory, demonstrating new possibilities for mission-level trajectory planning in autonomous UAV systems. The system consists of a global duration predictor (0.124 MB) and five segment-specific trajectory generators (∼1.17 MB each), with a total size of 5.98 MB and can be deployed in various edge devices. Validated on real Crazyflie 2.1 data, our framework demonstrates high accuracy and provides reliable arrival time predictions, with an Average Displacement Error ranging from 0.0252 m to 0.1136 m. This data-driven approach avoids complex parameter configuration requirements, supports lightweight deployment in edge computing environments, and provides an effective solution for multi-UAV coordination and mission planning applications. Full article
(This article belongs to the Special Issue Navigation, Deployment and Control of Intelligent Unmanned Vehicles)
Show Figures

Figure 1

26 pages, 7065 KB  
Article
Wide-Area Spectrum Sensing for Space Targets Based on Low-Earth Orbit Satellite Constellations: A SRFlow Model for Electromagnetic Spectrum Map Reconstruction
by You Fu, Youchen Fan, Liu Yi, Shunhu Hou, Yufei Niu and Shengliang Fang
Remote Sens. 2026, 18(1), 11; https://doi.org/10.3390/rs18010011 - 19 Dec 2025
Viewed by 162
Abstract
To address the need for wide-area electromagnetic spectrum sensing of space targets from sparse Low-Earth Orbit constellation observations, this paper proposes SRFlow, a flow-matching generative model. We first construct a high-fidelity dataset covering diverse scenarios via STK-MATLAB co-simulation. By integrating multi-source priors and [...] Read more.
To address the need for wide-area electromagnetic spectrum sensing of space targets from sparse Low-Earth Orbit constellation observations, this paper proposes SRFlow, a flow-matching generative model. We first construct a high-fidelity dataset covering diverse scenarios via STK-MATLAB co-simulation. By integrating multi-source priors and an iterative measurement injection strategy, SRFlow achieves high-quality reconstruction of full spectrum maps from sparse measurements. Experiments demonstrate that SRFlow significantly outperforms state-of-the-art baselines, including the physics-informed diffusion model RMDM, in both reconstruction accuracy (NMSE/SSIM) and computational efficiency (parameters/inference time), under both known and unknown target-position conditions. Moreover, it trains nearly an order of magnitude faster than diffusion models. This work contributes the first dedicated dataset for space-based spectrum sensing, introduces the accurate and efficient SRFlow model, and establishes a rigorous benchmark for future research. Full article
Show Figures

Figure 1

37 pages, 3312 KB  
Article
MIRA: An LLM-Driven Dual-Loop Architecture for Metacognitive Reward Design
by Weiying Zhang, Yuhua Xu and Zhixin Sun
Systems 2025, 13(12), 1124; https://doi.org/10.3390/systems13121124 - 16 Dec 2025
Viewed by 287
Abstract
A central obstacle to the practical deployment of Reinforcement Learning (RL) is the prevalence of sparse rewards, which often necessitates task-specific dense signals crafted through costly trial-and-error. Automated reward decomposition and return–redistribution methods can reduce this burden, but they are largely semantically agnostic [...] Read more.
A central obstacle to the practical deployment of Reinforcement Learning (RL) is the prevalence of sparse rewards, which often necessitates task-specific dense signals crafted through costly trial-and-error. Automated reward decomposition and return–redistribution methods can reduce this burden, but they are largely semantically agnostic and may fail to capture the multifaceted nature of task performance, leading to reward hacking or stalled exploration. Recent work uses Large Language Models (LLMs) to generate reward functions from high-level task descriptions, but these specifications are typically static and may encode biases or inaccuracies from the pretrained model, resulting in a priori reward misspecification. To address this, we propose the Metacognitive Introspective Reward Architecture (MIRA), a closed-loop architecture that treats LLM-generated reward code as a dynamic object refined through empirical feedback. An LLM first produces a set of computable reward factors. A dual-loop design then decouples policy learning from reward revision: an inner loop jointly trains the agent’s policy and a reward-synthesis network to align with sparse ground-truth outcomes, while an outer loop monitors learning dynamics via diagnostic metrics and, upon detecting pathological signatures, invokes the LLM to perform targeted structural edits. Experiments on MuJoCo benchmarks show that MIRA corrects flawed initial specifications and improves asymptotic performance and sample efficiency over strong reward-design baselines. Full article
(This article belongs to the Topic Agents and Multi-Agent Systems)
Show Figures

Figure 1

27 pages, 122137 KB  
Article
Object-Based Random Forest Approach for High-Resolution Mapping of Urban Green Space Dynamics in a University Campus
by Bakhrul Midad, Rahmihafiza Hanafi, Muhammad Aufaristama and Irwan Ary Dharmawan
Appl. Sci. 2025, 15(24), 13183; https://doi.org/10.3390/app152413183 - 16 Dec 2025
Viewed by 233
Abstract
Urban green space is essential for ecological functions, environmental quality, and human well-being, yet campus expansion can reduce vegetated areas. This study assessed UGS dynamics at Universitas Padjadjaran’s Jatinangor campus from 2015 to 2025 and evaluated an object-based machine learning approach for fine-scale [...] Read more.
Urban green space is essential for ecological functions, environmental quality, and human well-being, yet campus expansion can reduce vegetated areas. This study assessed UGS dynamics at Universitas Padjadjaran’s Jatinangor campus from 2015 to 2025 and evaluated an object-based machine learning approach for fine-scale land cover mapping. High-resolution WorldView-2, WorldView-3, and Legion-03 imagery were pan-sharpened, geometrically corrected, normalized, and used to compute NDVI and NDWI indices. Object-based image analysis segmented the imagery into homogeneous objects, followed by random forest classification into six land cover classes; UGS was derived from dense and sparse vegetation. Accuracy assessment included confusion matrices, overall accuracy 0.810–0.860, kappa coefficients 0.747–0.826, weighted F1 scores 0.807–0.860, and validation with 43 field points. The total UGS increased from 68.89% to 74.69%, bare land decreased from 13.49% to 5.81%, and building areas moderately increased from 10.36% to 11.52%. The maps captured vegetated and developed zones accurately, demonstrating the reliability of the classification approach. These findings indicate that campus expansion has been managed without compromising ecological integrity, providing spatially explicit, reliable data to inform sustainable campus planning and support green campus initiatives. Full article
(This article belongs to the Section Environmental Sciences)
Show Figures

Figure 1

20 pages, 4545 KB  
Article
SRE-FMaps: A Sinkhorn-Regularized Elastic Functional Map Framework for Non-Isometric 3D Shape Matching
by Dan Zhang, Yue Zhang, Ning Wang and Dong Zhao
J. Imaging 2025, 11(12), 452; https://doi.org/10.3390/jimaging11120452 - 16 Dec 2025
Viewed by 223
Abstract
Precise 3D shape correspondence is a fundamental prerequisite for critical applications ranging from medical anatomical modeling to visual recognition. However, non-isometric 3D shape matching remains a challenging task due to the limited sensitivity of traditional Laplace–Beltrami (LB) bases to local geometric deformations such [...] Read more.
Precise 3D shape correspondence is a fundamental prerequisite for critical applications ranging from medical anatomical modeling to visual recognition. However, non-isometric 3D shape matching remains a challenging task due to the limited sensitivity of traditional Laplace–Beltrami (LB) bases to local geometric deformations such as stretching and bending. To address these limitations, this paper proposes a Sinkhorn-Regularized Elastic Functional Map framework (SRE-FMaps) that integrates entropy-regularized optimal transport with an elastic thin-shell energy basis. First, a sparse Sinkhorn transport plan is adopted to initialize a bijective correspondence with linear computational complexity. Then, a non-orthogonal elastic basis, derived from the Hessian of thin-shell deformation energy, is introduced to enhance high-frequency feature perception. Finally, correspondence stability is quantified through a cosine-based elastic distance metric, enabling retrieval and classification. Experiments on the SHREC2015, McGill, and Face datasets demonstrate that SRE-FMaps reduces the correspondence error by a maximum of 32% and achieves an average of 92.3% classification accuracy (with a peak of 94.74% on the Face dataset). Moreover, the framework exhibits superior robustness, yielding a recall of up to 91.67% and an F1-score of 0.94, effectively handling bending, stretching, and folding deformations compared with conventional LB-based functional map pipelines. The proposed framework provides a scalable solution for non-isometric shape correspondence in medical modeling, 3D reconstruction, and visual recognition. Full article
Show Figures

Figure 1

29 pages, 11637 KB  
Article
Scene Heatmap-Guided Adaptive Tiling and Dual-Model Collaboration-Based Object Detection in Ultra-Wide-Area Remote Sensing Images
by Fuwen Hu, Yeda Li, Jiayu Zhao and Chunping Min
Symmetry 2025, 17(12), 2158; https://doi.org/10.3390/sym17122158 - 15 Dec 2025
Viewed by 159
Abstract
This work addresses computational inefficiency in ultra-wide-area remote sensing image (RSI) object detection. Traditional homogeneous tiling strategies enforce computational symmetry by processing all image regions uniformly, ignoring the intrinsic spatial asymmetry of target distribution where target-dense coexist with vast target-sparse areas (e.g., deserts, [...] Read more.
This work addresses computational inefficiency in ultra-wide-area remote sensing image (RSI) object detection. Traditional homogeneous tiling strategies enforce computational symmetry by processing all image regions uniformly, ignoring the intrinsic spatial asymmetry of target distribution where target-dense coexist with vast target-sparse areas (e.g., deserts, farmlands), thereby wasting computational resources. To overcome symmetry mismatch, we propose a heat-guided adaptive blocking and dual-model collaboration (HAB-DMC) framework. First, a lightweight EfficientNetV2 classifies initial 1024 × 1024 tiles into semantic scenes (e.g., airports, forests). A target-scene relevance metric converts scene probabilities into a heatmap, identifying high-attention regions (HARs, e.g., airports) and low-attention regions (LARs, e.g., forests). HARs undergo fine-grained tiling (640 × 640 with 20% overlap) to preserve small targets, while LARs use coarse tiling (1024 × 1024) to minimize processing. Crucially, a dual-model strategy deploys: (1) a high-precision LSK-RTDETR-base detector (with Large Selective Kernel backbone) for HARs to capture multi-scale features, and (2) a streamlined LSK-RTDETR-lite detector for LARs to accelerate inference. Experiments show 23.9% faster inference on 30k-pixel images and reduction in invalid computations by 72.8% (from 50% to 13.6%) versus traditional methods, while maintaining competitive mAP (74.2%). The key innovation lies in repurposing heatmaps from localization tools to dynamic computation schedulers, enabling system-level efficiency for Ultra-Wide-Area RSIs. Full article
Show Figures

Figure 1

Back to TopTop