Sign in to use this feature.

Years

Between: -

Subjects

remove_circle_outline
remove_circle_outline
remove_circle_outline

Journals

Article Types

Countries / Regions

Search Results (15)

Search Parameters:
Keywords = solar grade Si

Order results
Result details
Results per page
Select all
Export citation of selected articles as:
16 pages, 6051 KB  
Article
Phosphorus Removal in Metallurgical-Grade Silicon via a Combined Approach of Si-Fe Solvent Refining and SiO2-TiO2-CaO-CaF2 Slag Refining
by Yi Zhong, Qing Zhao and Juncheng Li
Metals 2025, 15(6), 668; https://doi.org/10.3390/met15060668 - 16 Jun 2025
Viewed by 478
Abstract
As a critical impurity in the production of solar-grade silicon, the concentration of phosphorus (P) significantly affects photoelectric conversion efficiency. To address the challenge of P removal in solar-grade silicon production, this study proposes a combined process of Si-Fe solvent refining and SiO [...] Read more.
As a critical impurity in the production of solar-grade silicon, the concentration of phosphorus (P) significantly affects photoelectric conversion efficiency. To address the challenge of P removal in solar-grade silicon production, this study proposes a combined process of Si-Fe solvent refining and SiO2-TiO2-CaO-CaF2 slag treatment. Under conditions utilizing collaborative refining with an alloy composition of Si-10 wt. %Fe and a slag composition of 32 wt. %SiO2-48 wt. %CaO-10 wt. %TiO2-10 wt. %CaF2, the removal rate of P in silicon can reach up to 96.8%. This paper investigates the effectiveness of combining solvent refining with slag making under fixed conditions of a Si-10 wt. %Fe alloy paired with various slag systems (no slag addition, binary slag SiO2-TiO2, ternary slag SiO2-CaO-TiO2, and quaternary slag SiO2-TiO2-CaO-CaF2). Based on the experimental results, the optimal TiO2 content in the slag system for maximizing P removal was analyzed and determined. Finally, leveraging both theoretical analysis and experimental findings, the mechanism of P removal was elucidated as a dual process: P is oxidized into Ca3(PO4)2 within the slag phase, and residual P is captured by the Fe-Si-Ti ternary phase. Full article
Show Figures

Figure 1

19 pages, 11149 KB  
Article
The Cryogenic Anticoincidence Detector for the NewAthena X-IFU Instrument: A Program Overview
by Claudio Macculi, Andrea Argan, Matteo D’Andrea, Simone Lotti, Gabriele Minervini, Luigi Piro, Lorenzo Ferrari Barusso, Corrado Boragno, Edvige Celasco, Giovanni Gallucci, Flavio Gatti, Daniele Grosso, Manuela Rigano, Fabio Chiarello, Guido Torrioli, Mauro Fiorini, Michela Uslenghi, Daniele Brienza, Elisabetta Cavazzuti, Simonetta Puccetti, Angela Volpe and Paolo Bastiaadd Show full author list remove Hide full author list
Condens. Matter 2023, 8(4), 108; https://doi.org/10.3390/condmat8040108 - 13 Dec 2023
Cited by 10 | Viewed by 2909
Abstract
Athena (advanced telescope for high-energy astrophysics) is an ESA large-class mission, at present under a re-definition “design-to-cost” phase, planned for a prospective launch at L1 orbit in the second half of the 2030s. It will be an observatory alternatively focusing on two complementary [...] Read more.
Athena (advanced telescope for high-energy astrophysics) is an ESA large-class mission, at present under a re-definition “design-to-cost” phase, planned for a prospective launch at L1 orbit in the second half of the 2030s. It will be an observatory alternatively focusing on two complementary instruments: the X-IFU (X-ray Integral Field Unit), a TES (TransitionEdge Sensor)-based kilo-pixel array which is able to perform simultaneous high-grade energy spectroscopy (~3 eV@7 keV) and imaging over 4′ FoV (field of view), and the WFI (Wide Field Imager), which has good energy spectral resolution (~170 eV@7 keV) and imaging on wide 40′ × 40′ FoV. Athena will be a truly transformational observatory, operating in conjunction with other large observatories across the electromagnetic spectrum available in the 2030s like ALMA, ELT, JWST, SKA, CTA, etc., and in multi-messenger synergies with facilities like LIGO A+, Advanced Virgo+, LISA, IceCube and KM3NeT. The Italian team is involved in both instruments. It has the co-PIship of the cryogenic instrument for which it has to deliver the TES-based Cryogenic AntiCoincidence detector (CryoAC) necessary to guarantee the X-IFU sensitivity, degraded by a primary particle background of both solar and galactic cosmic ray (GCR) origins, and by secondary electrons produced by primaries interacting with the materials surrounding the main detector. The outcome of Geant4 studies shows the necessity for adopting both active and passive techniques to guarantee the residual particle background at 5 × 10−3 cts cm−2 s−1 keV−1 level in 2–10 keV scientific bandwidth. The CryoAC is a four-pixel detector made of Si-suspended absorbers sensed by Ir/Au TESes placed at <1 mm below the main detector. After a brief overview of the Athena mission, we will report on the particle background reduction techniques highlighting the impact of the Geant4 simulation on the X-IFU focal plane assembly design, then hold a broader discussion on the CryoAC program in terms of detection chain system requirements, test, design concept against trade-off studies and programmatic. Full article
(This article belongs to the Special Issue High Precision X-ray Measurements 2023)
Show Figures

Figure 1

10 pages, 3741 KB  
Article
High-Rate Epitaxial Growth of Silicon Using Electron Beam Evaporation at High Temperatures
by Marit Stange, Tor Olav Sunde, Runar Dahl-Hansen, Kalpna Rajput, Joachim Seland Graff, Branson D. Belle and Alexander G. Ulyashin
Coatings 2023, 13(12), 2030; https://doi.org/10.3390/coatings13122030 - 30 Nov 2023
Cited by 2 | Viewed by 2412
Abstract
This paper describes the high-rate (~1.5 μm/min) growth of Si films on Si supporting substrates with (100) crystallographic orientation at 600 °C, 800 °C, and 1000 °C in a vacuum environment of ~1 × 10−5 mbar using electron beam (e-beam) evaporation. The [...] Read more.
This paper describes the high-rate (~1.5 μm/min) growth of Si films on Si supporting substrates with (100) crystallographic orientation at 600 °C, 800 °C, and 1000 °C in a vacuum environment of ~1 × 10−5 mbar using electron beam (e-beam) evaporation. The microstructure, crystallinity, and conductivity of such films were investigated. It was established that fully crystalline (Raman spectroscopy, EBSD) and stress-free epi-Si layers with a thickness of approximately 50 µm can be fabricated at 1000 °C, while at 600 °C and 800 °C, some poly-Si inclusions were observed using Raman spectroscopy. Hall effect measurements showed that epi-Si layers deposited at 1000 °C had resistivity, carrier concentration, and mobility comparable to those obtained for c-Si wafers fabricated through ingot growth and wafering using the same solar grade Si feedstock used for the e-beam depositions. The dislocation densities were determined to be ∼2 × 107 cm−2 and ∼5 × 106 cm−2 at 800 and 1000 °C, respectively, using Secco etch. The results highlight the potential of e-beam evaporation as a promising and cost-effective alternative to conventional CVD for the growth of epi-Si layers and, potentially, epi-Si wafers. Some of the remaining technical challenges of this deposition technology are briefly indicated and discussed. Full article
Show Figures

Figure 1

9 pages, 2860 KB  
Article
GaAs/Si Tandem Solar Cells with an Optically Transparent InAlAs/GaAs Strained Layer Superlattices Dislocation Filter Layer
by Yeonhwa Kim, May Angelu Madarang, Eunkyo Ju, Tsimafei Laryn, Rafael Jumar Chu, Tae Soo Kim, Dae-Hwan Ahn, Taehee Kim, In-Hwan Lee, Won Jun Choi and Daehwan Jung
Energies 2023, 16(3), 1158; https://doi.org/10.3390/en16031158 - 20 Jan 2023
Cited by 10 | Viewed by 3114
Abstract
Epitaxial growth of III–V materials on Si is a promising approach for large-scale, relatively low-cost, and high-efficiency Si-based multi-junction solar cells. Several micron-thick III–V compositionally graded buffers are typically grown to reduce the high threading dislocation density that arises due to the lattice [...] Read more.
Epitaxial growth of III–V materials on Si is a promising approach for large-scale, relatively low-cost, and high-efficiency Si-based multi-junction solar cells. Several micron-thick III–V compositionally graded buffers are typically grown to reduce the high threading dislocation density that arises due to the lattice mismatch between III–V and Si. Here, we show that optically transparent n-In0.1Al0.9As/n-GaAs strained layer superlattice dislocation filter layers can be used to reduce the threading dislocation density in the GaAs buffer on Si while maintaining the GaAs buffer thickness below 2 μm. Electron channeling contrast imaging measurements on the 2 μm n-GaAs/Si template revealed a threading dislocation density of 6 × 107 cm−2 owing to the effective n-In0.1Al0.9As/n-GaAs superlattice filter layers. Our GaAs/Si tandem cell showed an open-circuit voltage of 1.28 V, Si bottom cell limited short-circuit current of 7.2 mA/cm2, and an efficiency of 7.5%. This result paves the way toward monolithically integrated triple-junction solar cells on Si substrates. Full article
(This article belongs to the Section A2: Solar Energy and Photovoltaic Systems)
Show Figures

Figure 1

24 pages, 8163 KB  
Article
Performance Improvement of Graded Bandgap Solar Cell via Optimization of Energy Levels Alignment in Si Quantum Dot, TiO2 Nanoparticles, and Porous Si
by Mohammad S. Almomani, Naser M. Ahmed, Marzaini Rashid, Khalid Hassan Ibnaouf, Osamah A. Aldaghri, Nawal Madkhali and Humberto Cabrera
Photonics 2022, 9(11), 843; https://doi.org/10.3390/photonics9110843 - 9 Nov 2022
Cited by 8 | Viewed by 3228
Abstract
Charge carriers’ generation from zinc includes silicon quantum dots (ZnSiQDs) layer sandwiched in-between porous silicon (PSi) and titania nanoparticles (TiO2NPs) layer-based solar cell is an efficient way to improve the cell’s performance. In this view, ZnSiQDs layer with various QDs sizes [...] Read more.
Charge carriers’ generation from zinc includes silicon quantum dots (ZnSiQDs) layer sandwiched in-between porous silicon (PSi) and titania nanoparticles (TiO2NPs) layer-based solar cell is an efficient way to improve the cell’s performance. In this view, ZnSiQDs layer with various QDs sizes have been inserted, separating the PSi and TiO2NPs layers to achieve some graded bandgap quantum dot solar cells (GBQDSCs). In this process, ZnSiQDs of mean diameter 1.22 nm is first prepared via the top-down method. Next, ZnSiQDs have been re-grown using the bottom-up approach to get various mean diameters of 2.1, 2.7 and 7.4 nm. TiO2NPs of mean diameter in the range of 3.2 to 33.94 nm have been achieved via thermal annealing. The influence of different ZnSiQDs sizes on the designed GBGQDSCs performance has been determined. The proposed cell attains a short circuit current of 40 mA/cm2 and an efficiency of 4.9%. It has been shown that the cell performance enhances by optimizing the energy levels alignment in the PSi, ZnSiQDs, TiO2NPs layers. Full article
(This article belongs to the Topic Photovoltaic Materials and Devices)
Show Figures

Figure 1

17 pages, 4311 KB  
Article
Design of Refining Slag Based on Structural Modifications Associated with the Boron Removal for SoG-Si
by Guoyu Qian, Yiwei Sun, Dong Wang, Zhiliang Wu, Zhi Wang and Wenhui Ma
Materials 2022, 15(9), 3107; https://doi.org/10.3390/ma15093107 - 25 Apr 2022
Cited by 2 | Viewed by 2054
Abstract
Solar grade silicon (SoG-Si) is the core material of solar cells. The removal of boron (B) has always been a challenge in the preparation of high purity Si. Slag refining has always been considered as one of the effective methods to remove B, [...] Read more.
Solar grade silicon (SoG-Si) is the core material of solar cells. The removal of boron (B) has always been a challenge in the preparation of high purity Si. Slag refining has always been considered as one of the effective methods to remove B, but the design of refined slag has been limited by the cognition of the relationship between slag structure and impurity removal, and can only rely on the apparent basicity and oxygen potential adjustment of slag based on a large number of conditional experiments. In order to clarify the B removal mechanism of slag refining from Si, nuclear magnetic resonance (NMR) and Raman vibrational spectroscopy were used to investigate in detail the behavior and state of B and aluminum (Al) in the SiO2–CaO–Al2O3–B2O3 slag. The role of the degree of B–Si cross linking on the B activity in slag was highlighted by comparing the partition ratio (LB) between slag and Si. Q2 structural unit of slag is an important site for capturing B. BO4 (1B, 3Si) species is the main form of connection between B and silicate networks, which determines the activity of B in the slag. The addition of Al2O3 into SiO2–CaO slag can change the relative fraction of Q2 and BO4 (1B, 3Si). Increasing Al2O3 content from 0 to about 20 wt% can lead to the overall increase of Q2 population, and a tendency to decrease first and then increase of BO4 (1B, 3Si) fraction under both basicity conditions (0.6 and 1.1). When Al2O3 content is less than 10 ± 1 wt%, the decrease of BO4 (1B, 3Si) population plays a major role in deteriorating the connectivity between B and aluminosilicate network, which leads to a higher activity of B. When the Al2O3 content is greater than 10 ± 1 wt%, B is incorporated into the silicate network more easily due to the formation of more Q2 and BO4 (1B, 3Si), which contributes to a rapid decline in activity of B in slag. Full article
Show Figures

Figure 1

18 pages, 5795 KB  
Article
Spectrally Selective Solar Absorber Coating of W/WAlSiN/SiON/SiO2 with Enhanced Absorption through Gradation of Optical Constants: Validation by Simulation
by K. Niranjan, Paruchuri Kondaiah, Arup Biswas, V. Praveen Kumar, G. Srinivas and Harish C. Barshilia
Coatings 2021, 11(3), 334; https://doi.org/10.3390/coatings11030334 - 15 Mar 2021
Cited by 12 | Viewed by 4087
Abstract
The properties of spectrally selective solar absorber coatings can be fine-tuned by varying the thickness and composition of the individual layers. We have deposited individual layers of WAlSiN, SiON, and SiO2 of thicknesses ~940, 445, and 400 nm, respectively, for measuring the [...] Read more.
The properties of spectrally selective solar absorber coatings can be fine-tuned by varying the thickness and composition of the individual layers. We have deposited individual layers of WAlSiN, SiON, and SiO2 of thicknesses ~940, 445, and 400 nm, respectively, for measuring the refractive indices and extinction coefficients using spectroscopic ellipsometer measurements. Appropriate dispersion models were used for curve fitting of Ψ and Δ for individual and multilayer stacks in obtaining the optical constants. The W/WAlSiN/SiON/SiO2 solar absorber exhibits a high solar absorptance of 0.955 and low thermal emissivity of 0.10. The refractive indices and extinction coefficients of different layers in the multilayer stack decrease from the substrate to the top anti-reflection layer. The graded refractive index of the individual layers in the multilayer stack enhances the solar absorption. In the tandem absorber, WAlSiN is the main absorbing layer, whereas SiON and SiO2 act as anti-reflection layers. A commercial simulation tool was used to generate the theoretical reflectance spectra using the optical constants are in well accordance with the experimental data. We have attempted to understand the gradation in refractive indices of the multilayer stack and the physics behind it by computational simulation method in explaining the achieved optical properties. In brief, the novelty of the present work is in designing the solar absorber coating based on computational simulation and ellipsometry measurements of individual layers and multilayer stack in achieving a high solar selectivity. The superior optical properties of W/WAlSiN/SiON/SiO2 makes it a potential candidate for spectrally selective solar absorber coatings. Full article
Show Figures

Figure 1

12 pages, 2744 KB  
Article
Off-Resonant Absorption Enhancement in Single Nanowires via Graded Dual-Shell Design
by Wenfu Liu, Xiaolei Guo, Shule Xing, Haizi Yao, Yinling Wang, Liuyang Bai, Qi Wang, Liang Zhang, Dachuan Wu, Yuxiao Zhang, Xiao Wang and Yasha Yi
Nanomaterials 2020, 10(9), 1740; https://doi.org/10.3390/nano10091740 - 2 Sep 2020
Cited by 4 | Viewed by 2897
Abstract
Single nanowires (NWs) are of great importance for optoelectronic applications, especially solar cells serving as powering nanoscale devices. However, weak off-resonant absorption can limit its light-harvesting capability. Here, we propose a single NW coated with the graded-index dual shells (DSNW). We demonstrate that, [...] Read more.
Single nanowires (NWs) are of great importance for optoelectronic applications, especially solar cells serving as powering nanoscale devices. However, weak off-resonant absorption can limit its light-harvesting capability. Here, we propose a single NW coated with the graded-index dual shells (DSNW). We demonstrate that, with appropriate thickness and refractive index of the inner shell, the DSNW exhibits significantly enhanced light trapping compared with the bare NW (BNW) and the NW only coated with the outer shell (OSNW) and the inner shell (ISNW), which can be attributed to the optimal off-resonant absorption mode profiles due to the improved coupling between the reemitted light of the transition modes of the leak mode resonances of the Si core and the nanofocusing light from the dual shells with the graded refractive index. We found that the light absorption can be engineered via tuning the thickness and the refractive index of the inner shell, the photocurrent density is significantly enhanced by 134% (56%, 12%) in comparison with that of the BNW (OSNW, ISNW). This work advances our understanding of how to improve off-resonant absorption by applying graded dual-shell design and provides a new choice for designing high-efficiency single NW photovoltaic devices. Full article
(This article belongs to the Special Issue Simulation and Modeling of Nanomaterials)
Show Figures

Figure 1

11 pages, 2957 KB  
Article
Separation and Recovery of Refined Si from Al–Si Melt by Modified Czochralski Method
by Jingwei Li, Juncheng Li, Yinhe Lin, Jian Shi, Boyuan Ban, Guicheng Liu, Woochul Yang and Jian Chen
Materials 2020, 13(4), 996; https://doi.org/10.3390/ma13040996 - 23 Feb 2020
Cited by 6 | Viewed by 3703
Abstract
Separation of refined silicon from Al–Si melt is still a puzzle for the solvent refining process, resulting in considerable waste of acid and silicon powder. A novel modified Czochralski method within the Al–Si alloy is proposed. After the modified Czochralski process, a large [...] Read more.
Separation of refined silicon from Al–Si melt is still a puzzle for the solvent refining process, resulting in considerable waste of acid and silicon powder. A novel modified Czochralski method within the Al–Si alloy is proposed. After the modified Czochralski process, a large amount of refined Si particles was enriched around the seed crystalline Si and separated from the Al–Si melt. As for the Al–28%Si with the pulling rate of 0.001 mm/min, the recovery of refined Si in the pulled-up alloy (PUA) sample is 21.5%, an improvement of 22% compared with the theoretical value, which is much larger 1.99 times than that in the remained alloy (RA) sample. The content of impurities in the PUA is much less than that in the RA sample, which indicates that the modified Czochralski method is effective to improve the removal fraction of impurities. The apparent segregation coefficients of boron (B) and phosphorus (P) in the PUA and RA samples were evaluated. These results demonstrate that the modified Czochralski method for the alloy system is an effective way to enrich and separate refined silicon from the Al–Si melt, which provide a potential and clean production of solar grade silicon (SoG-Si) for the future industrial application. Full article
Show Figures

Figure 1

11 pages, 3376 KB  
Article
Enhancing Segregation Behavior of Impurity by Electromagnetic Stirring in the Solidification Process of Al-30Si Alloy
by Qingchuan Zou, Ning Han, Zixu Zhang, Jinchuan Jie, Fan Xu and Xizhong An
Metals 2020, 10(1), 155; https://doi.org/10.3390/met10010155 - 20 Jan 2020
Cited by 14 | Viewed by 4310
Abstract
Increasing the removal efficiency of impurities during non-equilibrium solidification of hypereutectic Al-Si alloy remains a great challenge for the upgrading of metallurgical silicon (MG-Si) to solar grade Si (SOG-Si). Hence, a manageable method was provided to enhance the segregation behavior of impurities at [...] Read more.
Increasing the removal efficiency of impurities during non-equilibrium solidification of hypereutectic Al-Si alloy remains a great challenge for the upgrading of metallurgical silicon (MG-Si) to solar grade Si (SOG-Si). Hence, a manageable method was provided to enhance the segregation behavior of impurities at the interface front of primary Si/Al-Si melt by introducing a rotating magnetic field (RMF) in the present work. Experimental results showed that electromagnetic stirring can improve the removal efficiency of impurities while achieving the separation of primary Si. The apparent segregation coefficients of the major impurities Fe, Ti, Ca, Cu, B and P were reduced to 7.5 × 10−4, 4.6 × 10−3, 7.9 × 10−3, 3.5 × 10−3, 0.1 and 0.16, respectively, under RMF of 25 mT and cooling rate of 2.5 °C/min. We confirmed that improving the transport driving force of impurities in the growth interface front of primary Si is an effective way to improve the segregation behavior of impurities, which would bring us one step closer to exploiting the economic potential of the Al-Si alloy solidification refining. Full article
Show Figures

Figure 1

13 pages, 3858 KB  
Article
Antireflection, Superhydrophilic Nano-Porous SiO2 Coating based on Aerosol Impact Spray Deposition Technique for Solar PV Module
by Kamran Alam, Saddam Ali, Abdul Saboor, Muhammad Salman, Maoz, Muhammad Humayun, Muhammad Sadiq and Muhammad Arif
Coatings 2019, 9(8), 497; https://doi.org/10.3390/coatings9080497 - 6 Aug 2019
Cited by 23 | Viewed by 5844
Abstract
In this research, silica nano-particles are deposited over the borosilicate glass and silicon wafer substrates by indigenously developed Aerosol impact deposition assembly using SiH4, oxygen, and helium as precursors. The coating process involves deionization of gases leading towards nucleation sites for [...] Read more.
In this research, silica nano-particles are deposited over the borosilicate glass and silicon wafer substrates by indigenously developed Aerosol impact deposition assembly using SiH4, oxygen, and helium as precursors. The coating process involves deionization of gases leading towards nucleation sites for silica in the presence of plasma, while tuning the pressure difference between reaction and deposition chamber controls the coating thickness, porosity, and refractive index. The deposited coating layer on the substrate enhanced the transmittance to 99.6% at 600 nm wavelength. The induced porous nature and the graded index of the coated layer as observed from the AFM and SEM resulted in superhydrophilic behavior with a water contact angle of near to 0°. The super-hydrophilicity of the coating contains self-cleaning properties, suggesting an improvement of the performance of solar PV modules as well. Full article
Show Figures

Figure 1

16 pages, 4110 KB  
Article
Mass Production Test of Solar Cells and Modules Made of 100% UMG Silicon. 20.76% Record Efficiency
by Eduardo Forniés, Bruno Ceccaroli, Laura Méndez, Alejandro Souto, Antonio Pérez Vázquez, Timur Vlasenko and Joaquín Dieguez
Energies 2019, 12(8), 1495; https://doi.org/10.3390/en12081495 - 19 Apr 2019
Cited by 25 | Viewed by 5567
Abstract
For more than 15 years FerroAtlantica (now Ferroglobe) has been developing a method of silicon purification to obtain Upgraded Metallurgical Grade Silicon (UMG-Si) for PV solar application without blending. After many improvements and optimizations, the final process has clearly demonstrated its validity in [...] Read more.
For more than 15 years FerroAtlantica (now Ferroglobe) has been developing a method of silicon purification to obtain Upgraded Metallurgical Grade Silicon (UMG-Si) for PV solar application without blending. After many improvements and optimizations, the final process has clearly demonstrated its validity in terms of quality and costs. In this paper the authors present new results stemming from a first mass-production campaign and a detailed description of the purification process that results in the tested UMG-Si. The subsequent steps in the value chain for the wafer, cell and module manufacturing are also described. Two independent companies, among the Tier-1 solar cells producers, were selected for the industrial test, each using a different solar cell technology: Al-BSF and black silicon + PERC. Cells and modules were manufactured in conventional production lines and their performances compared to those obtained with standard polysilicon wafers produced in the same lines and periods. Thus, for Al-BSF technology, the average efficiency of solar cells obtained with UMG-Si was (18.4 ± 0.4)% compared to 18.49% obtained with polysilicon-made wafers. In the case of black silicon + PERC, the average efficiency obtained with UMG-Si was (20.1 ± 0.6)%, compared to 20.41% for polysilicon multicrystalline wafers. Full article
Show Figures

Figure 1

49 pages, 10532 KB  
Review
Binary Phase Diagrams and Thermodynamic Properties of Silicon and Essential Doping Elements (Al, As, B, Bi, Ga, In, N, P, Sb and Tl)
by Ahmad Mostafa and Mamoun Medraj
Materials 2017, 10(6), 676; https://doi.org/10.3390/ma10060676 - 20 Jun 2017
Cited by 67 | Viewed by 23329
Abstract
Fabrication of solar and electronic silicon wafers involves direct contact between solid, liquid and gas phases at near equilibrium conditions. Understanding of the phase diagrams and thermochemical properties of the Si-dopant binary systems is essential for providing processing conditions and for understanding the [...] Read more.
Fabrication of solar and electronic silicon wafers involves direct contact between solid, liquid and gas phases at near equilibrium conditions. Understanding of the phase diagrams and thermochemical properties of the Si-dopant binary systems is essential for providing processing conditions and for understanding the phase formation and transformation. In this work, ten Si-based binary phase diagrams, including Si with group IIIA elements (Al, B, Ga, In and Tl) and with group VA elements (As, Bi, N, P and Sb), have been reviewed. Each of these systems has been critically discussed on both aspects of phase diagram and thermodynamic properties. The available experimental data and thermodynamic parameters in the literature have been summarized and assessed thoroughly to provide consistent understanding of each system. Some systems were re-calculated to obtain a combination of the best evaluated phase diagram and a set of optimized thermodynamic parameters. As doping levels of solar and electronic silicon are of high technological importance, diffusion data has been presented to serve as a useful reference on the properties, behavior and quantities of metal impurities in silicon. This paper is meant to bridge the theoretical understanding of phase diagrams with the research and development of solar-grade silicon production, relying on the available information in the literature and our own analysis. Full article
Show Figures

Figure 1

8 pages, 3256 KB  
Article
Influence of Growth Velocity on the Separation of Primary Silicon in Solidified Al-Si Hypereutectic Alloy Driven by a Pulsed Electric Current
by Yunhu Zhang, Chunyang Ye, Yanyi Xu, Honggang Zhong, Xiangru Chen, Xincheng Miao, Changjiang Song and Qijie Zhai
Metals 2017, 7(6), 184; https://doi.org/10.3390/met7060184 - 23 May 2017
Cited by 16 | Viewed by 4315
Abstract
Investigating the separation of the primary silicon phase in Al-Si hypereutectic alloys is of high importance for the production of solar grade silicon. The present paper focuses on the effect of growth velocity on the electric current pulse (ECP)-induced separation of primary silicon [...] Read more.
Investigating the separation of the primary silicon phase in Al-Si hypereutectic alloys is of high importance for the production of solar grade silicon. The present paper focuses on the effect of growth velocity on the electric current pulse (ECP)-induced separation of primary silicon in a directionally solidified Al-20.5 wt % Si hypereutectic alloy. Experimental results show that lower growth velocity promotes the enrichment tendency of primary silicon at the bottom region of the sample. The maximum measured area percentage of segregated primary silicon in the sample solidified at the growth velocity of 4 μm/s is as high as 82.6%, whereas the corresponding value is only 59% in the sample solidified at the growth velocity of 24 μm/s. This is attributed to the fact that the stronger forced flow is generated to promote the precipitation of primary silicon accompanied by a higher concentration of electric current in the mushy zone under the application of a slower growth velocity. Full article
Show Figures

Figure 1

15 pages, 6093 KB  
Case Report
Performance Analysis of a Grid-Connected Upgraded Metallurgical Grade Silicon Photovoltaic System
by Chao Huang, Michael Edesess, Alain Bensoussan and Kwok L. Tsui
Energies 2016, 9(5), 342; https://doi.org/10.3390/en9050342 - 5 May 2016
Cited by 18 | Viewed by 5421
Abstract
Because of their low cost, photovoltaic (PV) cells made from upgraded metallurgical grade silicon (UMG-Si) are a promising alternative to conventional solar grade silicon-based PV cells. This study investigates the outdoor performance of a 1.26 kW grid-connected UMG-Si PV system over five years, [...] Read more.
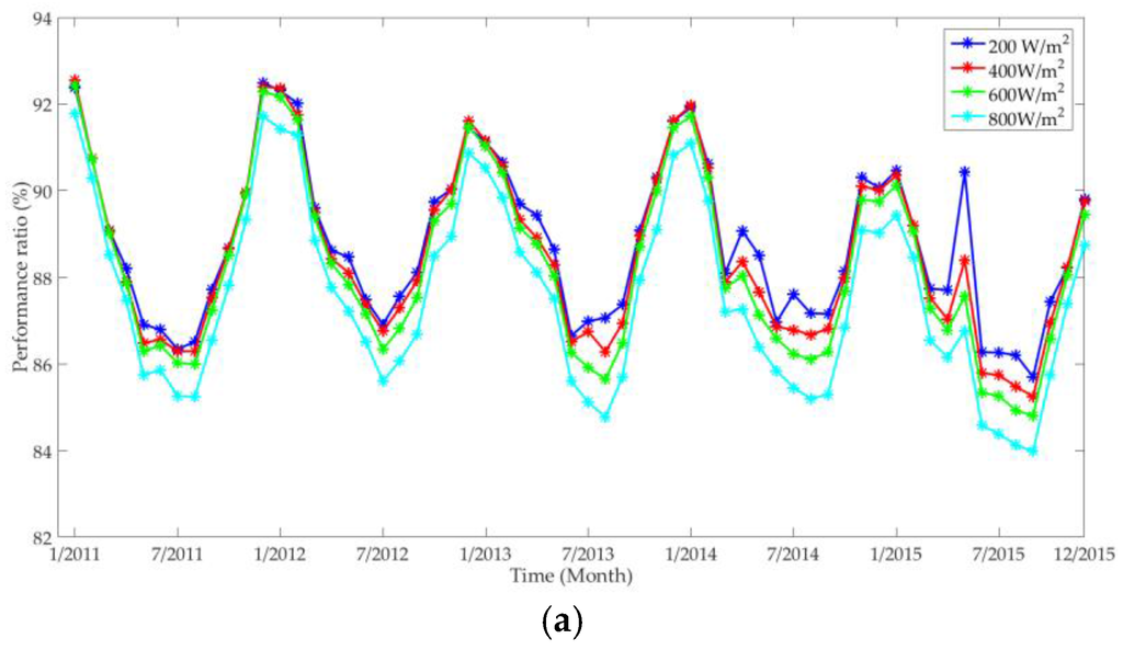
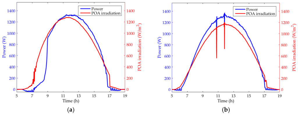
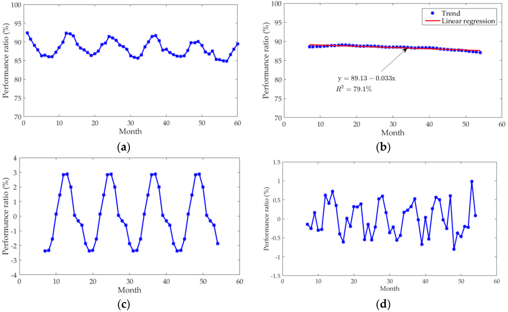
Because of their low cost, photovoltaic (PV) cells made from upgraded metallurgical grade silicon (UMG-Si) are a promising alternative to conventional solar grade silicon-based PV cells. This study investigates the outdoor performance of a 1.26 kW grid-connected UMG-Si PV system over five years, reporting the energy yields and performance ratio and estimating the long-term performance degradation rate. To make this investigation more meaningful, the performance of a mono-Si PV system installed at the same place and studied during the same period of time is presented for reference. Furthermore, this study systematizes and rationalizes the necessity of a data selection and filtering process to improve the accuracy of degradation rate estimation. The impact of plane-of-array irradiation threshold for data filtering on performance ratio and degradation rate is also studied. The UMG-Si PV system’s monthly performance ratio after data filtering ranged from 84% to 93% over the observation period. The annual degradation rate was 0.44% derived from time series of monthly performance ratio using the classical decomposition method. A comparison of performance ratio and degradation rate to conventional crystalline silicon-based PV systems suggests that performance of the UMG-Si PV system is comparable to that of conventional systems. Full article
Show Figures

Figure 1

Back to TopTop