Sign in to use this feature.

Years

Between: -

Subjects

remove_circle_outline
remove_circle_outline
remove_circle_outline
remove_circle_outline
remove_circle_outline
remove_circle_outline
remove_circle_outline

Journals

Article Types

Countries / Regions

Search Results (29)

Search Parameters:
Keywords = soil-available selenium

Order results
Result details
Results per page
Select all
Export citation of selected articles as:
17 pages, 2406 KB  
Article
Cadmium in the Soil–Tea–Infusion Continuum of Selenium-Enriched Gardens: Implications for Food Safety
by Haizhong Wu, Dengxiao Zhang, Xiaolei Jie, Shiliang Liu and Daichang Wang
Foods 2025, 14(18), 3156; https://doi.org/10.3390/foods14183156 - 10 Sep 2025
Viewed by 405
Abstract
Tea trees (Camellia sinensis) growing on selenium (Se)-rich soils often exhibit the phenomenon of cadmium (Cd) accumulation. However, the transport of Cd in the soil–tea tree–tea infusion continuum in such areas, as well as the impact of Se on Cd in [...] Read more.
Tea trees (Camellia sinensis) growing on selenium (Se)-rich soils often exhibit the phenomenon of cadmium (Cd) accumulation. However, the transport of Cd in the soil–tea tree–tea infusion continuum in such areas, as well as the impact of Se on Cd in this system, remains enigmatic. In this study, we investigated the migration of Cd from soil to tea tree and from tea tree to tea infusion, as well as the influence of Se on the Cd. The Cd content of the soil was 0.37 mg kg−1, which was approximately 3.81 times higher than the background value. The average activation rate of soil Cd was 20.93%, and was significantly negatively correlated with soil pH and significantly positively correlated with available potassium. The Cd enrichment coefficients in tea tree organs showed a gradually decreasing trend from fibrous roots to taproots, lateral stems, main stems, old leaves, and young leaves. The Cd transport coefficients from fibrous roots to taproots, taproots to main stems, and main stems to lateral stems progressively increased, whereas from lateral stems to old and young leaves significantly decreased. The maximum potential carcinogenic health risk from Cd in the tea infusion was 1.60 × 10−7 to 5.03 × 10−7, thus drinking Se-enriched tea had a low health risk from Cd intake. Our findings revealed a notable threshold effect on the accumulation of Cd in fibrous roots. The primary factor contributing to the low Cd concentration in tea leaves lies in the reduced Cd transport efficiency from fibrous roots to taproots and from lateral stems to young leaves. Full article
Show Figures

Figure 1

16 pages, 4397 KB  
Article
Analysis of Soil Nutrient and Yield Differences in Korla Fragrant Pear Orchards Between the Core and Expansion Areas
by Xiuxiu Liu, Yiru Wang, Kexin Zhao, Yixin Ke, Yanke Guo, Yingnan Xue, Xing Shen and Zhongping Chai
Agriculture 2025, 15(17), 1873; https://doi.org/10.3390/agriculture15171873 - 2 Sep 2025
Viewed by 429
Abstract
Soil samples of different tree ages from the core area and expansion area of Korla City were selected to determine their nutrients and yield, and the analysis was combined with a Principal Component Analysis (PCA) biplot. The soil fertility and yield in the [...] Read more.
Soil samples of different tree ages from the core area and expansion area of Korla City were selected to determine their nutrients and yield, and the analysis was combined with a Principal Component Analysis (PCA) biplot. The soil fertility and yield in the core area were superior to those in the expansion area. PCA biplot analysis showed that the cumulative variance contribution rate of the principal components of the orchard with a tree age of 10–20 years was 80.60%. PC1 had strong positive loadings for calcium, available phosphorus, organic matter, total nitrogen, and yield, and a strong negative loading for pH. PC2 had strong loadings for manganese, zinc, copper, selenium, and iron, as well as for magnesium, boron, available nitrogen, and electrical conductivity. For the core area, soil conditions need to be maintained. For the expansion area, salinization should be addressed; the input of Mg and B should be controlled; and the application of calcium, phosphorus fertilizers, and organic fertilizers should be increased to improve production and quality. Full article
(This article belongs to the Section Crop Production)
Show Figures

Figure 1

16 pages, 3713 KB  
Article
Synergistic Alleviation of Saline–Alkali Stress and Enhancement of Selenium Nutrition in Rice by ACC (1-Aminocyclopropane-1-Carboxylate) Deaminase-Producing Serratia liquefaciens and Biogenically Synthesized Nano-Selenium
by Nina Zhu, Xinpei Wei, Xingye Pan, Benkang Xie, Shuquan Xin and Kai Song
Plants 2025, 14(15), 2376; https://doi.org/10.3390/plants14152376 - 1 Aug 2025
Viewed by 488
Abstract
Soil salinization and selenium (Se) deficiency threaten global food security. This study developed a composite bioinoculant combining ACC deaminase-producing Serratia liquefaciens and biogenically synthesized nano-selenium (SeNPs) to alleviate saline–alkali stress and enhance Se nutrition in rice (Oryza sativa L.). A strain of [...] Read more.
Soil salinization and selenium (Se) deficiency threaten global food security. This study developed a composite bioinoculant combining ACC deaminase-producing Serratia liquefaciens and biogenically synthesized nano-selenium (SeNPs) to alleviate saline–alkali stress and enhance Se nutrition in rice (Oryza sativa L.). A strain of S. liquefaciens with high ACC deaminase activity was isolated and used to biosynthesize SeNPs with stable physicochemical properties. Pot experiments showed that application of the composite inoculant (S3: S. liquefaciens + 40 mmol/L SeNPs) significantly improved seedling biomass (fresh weight +53.8%, dry weight +60.6%), plant height (+31.6%), and root activity under saline–alkali conditions. S3 treatment also enhanced panicle weight, seed-setting rate, and grain Se content (234.13 μg/kg), meeting national Se-enriched rice standards. Moreover, it increased rhizosphere soil N, P, and K availability and improved microbial α-diversity. This is the first comprehensive demonstration that a synergistic bioformulation of ACC deaminase PGPR and biogenic SeNPs effectively mitigates saline–alkali stress, enhances soil fertility, and enables safe Se biofortification in rice. Full article
(This article belongs to the Special Issue Nanomaterials in Plant Growth and Stress Adaptation—2nd Edition)
Show Figures

Figure 1

25 pages, 11403 KB  
Article
Organic Acids Metabolic Response and Transcription Factor Expression Changes of Highland Barley Seedlings Under Na2SeO3 Treatment
by Xiaozhuo Wu, Huichun Xie, Jianxia Ma, Guigong Geng, Xiaoli Yang and Feng Qiao
Agriculture 2025, 15(13), 1364; https://doi.org/10.3390/agriculture15131364 - 25 Jun 2025
Viewed by 434
Abstract
Selenium (Se), as a vital trace element, plays an important role in regulating the antioxidant systems of plants, strengthening photosynthetic capacity, and enhancing their stress resistance. Selenate and selenite are the dominant forms of Se available to plants in soils. This research takes [...] Read more.
Selenium (Se), as a vital trace element, plays an important role in regulating the antioxidant systems of plants, strengthening photosynthetic capacity, and enhancing their stress resistance. Selenate and selenite are the dominant forms of Se available to plants in soils. This research takes highland barley as the research object, aiming to assess the impacts of plant growth, organic acid metabolite, and six transcription factor families in highland barley seedlings under varying concentrations of Na2SeO3. The study indicated that compared to the control group (CK), the plant height of highland barley seedlings under Se1 (0.02 g/kg Na2SeO3) treatment significantly increased by 66%. Under the Se2 (0.2 g/kg Na2SeO3) treatment, plant height significantly decreased by 28%. With Na2SeO3 concentration increased, the pigment content, O2 production rate, and soluble protein content in highland barley seedlings decreased, while the contents of soluble sugar, MDA, and H2O2 increased. Se1 treatment was found to be more beneficial for the growth and development of seedlings. The organic selenium in leaves and roots under Se2 treatment significantly increased by 1105-fold and 188-fold, respectively. The most effective migration capability from soil to leaf under Se1 or Se2 treatment was up to 6.15 or 6.56, respectively. Based on metabolomics, 30 differential metabolites of organic acids were screened from highland barley seedlings under Na2SeO3 treatment and showed positive correlationships with organic selenium, inorganic selenium, and total selenium in highland barley seedling leaves. Through transcriptome analysis, heatmap analysis on six major categories of transcription factors (bHLH, MYB, NAC, WRKY, GATA, and HSF) was performed. Under Se2 treatment, approximately two-thirds of the transcription factors showed high expressions. We further screened 26 differentially expressed genes (DEGs) related to Na2SeO3 concentration. Based on correlation analysis, there were six genes in the bHLH family, five in MYB, three in NAC, five in WRKY, and three in the GATA and HSF families that showed positive correlations with 30 differential organic acid metabolites. These results enhance our understanding of the relationship between the organic acid metabolites and transcription factor expression in highland barley seedlings under Na2SeO3 treatment. Full article
(This article belongs to the Section Crop Genetics, Genomics and Breeding)
Show Figures

Figure 1

14 pages, 1807 KB  
Article
Effects of Exogenous Selenium Species and Arbuscular Mycorrhizal Fungi on Selenium Uptake in Soybean
by Haode Zhu, Wenjing Xing, Qimin Chen, Yuanzhe Ma, Jing Yang, Shangyan Hao and Fuyong Wu
Agronomy 2025, 15(7), 1498; https://doi.org/10.3390/agronomy15071498 - 20 Jun 2025
Viewed by 542
Abstract
Selenium (Se) is an important micronutrient for the maintenance of human health. In China, however, the population is more severely deficient in Se. Soybean is an important grain and oil crop in the world and serves as a major dietary source. The development [...] Read more.
Selenium (Se) is an important micronutrient for the maintenance of human health. In China, however, the population is more severely deficient in Se. Soybean is an important grain and oil crop in the world and serves as a major dietary source. The development of Se biofortification of soybeans may be an effective measure to address human Se deficiency. Arbuscular mycorrhizal fungi (AMF) are ubiquitous soil microorganisms that can enhance nutrient uptake in host plants. So, it is necessary to investigate whether soybean inoculated with AMF can biofortificate Se. In this experiment, we studied the impact of the exogenous application of three Se species (selenite, selenate, and selenomethionine) and two AMF species (Funneliformis mosseae and Glomus versiforme) on Se uptake in soybean seedlings. The results showed that the inoculation of AMF significantly (p < 0.05) improved biomass and P concentration in soybeans. Regardless of exogenous Se addition, the inoculation of AMF improved the Se transfer factor and significantly (p < 0.05) increased Se translocation to the soybean shoot. The inoculation of AMF also significantly (p < 0.05) increased the percentage of available Se in soil with selenite addition. Based on these findings, the combined application of exogenous Se and AMF inoculation represents a viable strategy for the Se biofortification of soybeans. Full article
(This article belongs to the Section Soil and Plant Nutrition)
Show Figures

Graphical abstract

18 pages, 4217 KB  
Article
Characterization of Selenium Enrichment in Soybean and Its Relationship with Rhizosphere Microbial Communities in Se-Enriched Saline Soil
by Tianyuan Feng, Chao Xu, Yin Wang, Mingze Qin, Zequn Xiang, Xi Yu and Xiaohu Zhao
Agronomy 2025, 15(6), 1320; https://doi.org/10.3390/agronomy15061320 - 28 May 2025
Cited by 1 | Viewed by 524
Abstract
Selenium (Se) is an essential trace element for the human body, primarily obtained from dietary sources. The unique characteristics of Se-enriched saline–alkali soils provide valuable insights into how plants absorb and accumulate Se. The present study collected and analyzed soybean plants and rhizosphere [...] Read more.
Selenium (Se) is an essential trace element for the human body, primarily obtained from dietary sources. The unique characteristics of Se-enriched saline–alkali soils provide valuable insights into how plants absorb and accumulate Se. The present study collected and analyzed soybean plants and rhizosphere soil samples from typical Se-enriched saline–alkali areas in Xinjiang, China to investigate how Se-enriched saline–alkali soil and the associated rhizosphere microbial community influence Se absorption in soybeans. Soybean seeds were the primary site of Se accumulation, with the Se content in the seeds being significantly correlated with that in roots (R2 = 0.4926). The Se content in soybean roots and seeds increased with the total Se soil content, and a significant correlation was observed between them. Additionally, the available Se content in the soil was significantly correlated with the total Se content (R2 = 0.4589). Soil factors such as Na+ concentration, pH, and organic matter (OM) were found to influence the structure of the microbial communities. Furthermore, higher abundances of Proteobacteria, Bacteroidota, and Bacillota in the soil were found to mitigate salt stress and enhance Se absorption in soybean plants. Thus, the rhizosphere microbial community significantly enhances soybean Se uptake. This study provides valuable insights into the mechanisms of Se accumulation in soybeans cultivated in Se-rich soils and offers guidance for cultivating Se-enriched crops. However, this study failed to quantify the differential impacts of different Se forms, such as selenite (SeO42−) and selenate (SeO32−), on microorganisms and plants. Future research should incorporate a detailed analysis of different Se forms to provide more in-depth insights into these complex interactions. Full article
(This article belongs to the Section Soil and Plant Nutrition)
Show Figures

Figure 1

14 pages, 1323 KB  
Article
Optimizing Selenium Application for Enhanced Quality and Nutritional Value of Spring Tea (Camellia sinensis)
by Qing Liao, Pan-Xia Liang, Ying Xing, Zhuo-Fan Yao, Jin-Ping Chen, Li-Ping Pan, Yao-Qiu Deng, Yong-Xian Liu and Dong-Liang Huang
Horticulturae 2025, 11(4), 423; https://doi.org/10.3390/horticulturae11040423 - 16 Apr 2025
Cited by 7 | Viewed by 774
Abstract
Tea (Camellia sinensis) is a globally cherished beverage, valued for its flavor and health benefits, largely attributed to bioactive compounds like polyphenols and amino acids. Selenium (Se), an essential trace element for humans and animals, plays a dual role in promoting [...] Read more.
Tea (Camellia sinensis) is a globally cherished beverage, valued for its flavor and health benefits, largely attributed to bioactive compounds like polyphenols and amino acids. Selenium (Se), an essential trace element for humans and animals, plays a dual role in promoting plant growth and enhancing human health, yet its impact on tea quality remains underexplored. In this work, the effects of selenium application rate (with 0, 150, 225, and 300 g·ha−1 of Se) on soil selenium availability, enzyme activity, and the biochemical composition of spring tea, including chlorophyll, polyphenols, free amino acids, and polysaccharides, were studied. Results show that selenium application significantly increased soil selenium availability, with higher rates promoting its conversion into bioavailable forms. Soil enzyme activities, such as sucrase and urease, were notably influenced by selenium. In tea leaves, selenium content and glutathione peroxidase activity increased, while chlorophyll content initially rose but declined at higher application rates, with the Se225 treatment (225 g·ha−1 of Se) yielding optimal results. Selenium reduced polyphenol content, increased free amino acids, and lowered the phenol-to-amino acid ratio, improving tea sensory quality. Polysaccharide content also peaked at the Se225 treatment. These findings highlight the potential of selenium-enriched tea as a functional food and provide a scientific basis for optimizing selenium application in tea cultivation. Full article
Show Figures

Figure 1

16 pages, 4031 KB  
Article
Mechanisms of Biochar in Modulating Soil Organic Selenium Transformation and Enhancing Soil Selenium Availability
by Zhenya Tang, Xin Feng, Ruijiang Li, Fangling Fan and Zhen Miao
Agronomy 2025, 15(3), 701; https://doi.org/10.3390/agronomy15030701 - 13 Mar 2025
Viewed by 765
Abstract
Selenium deficiency poses a significant threat to human health. The low bioavailability of selenium in soil largely limits the improvement of selenium content in crops. Selenium in soil mainly exists in an organically bound form. Biochar has the ability to regulate the organic [...] Read more.
Selenium deficiency poses a significant threat to human health. The low bioavailability of selenium in soil largely limits the improvement of selenium content in crops. Selenium in soil mainly exists in an organically bound form. Biochar has the ability to regulate the organic matter content of soil; however, the impact of biochar on the transformation of organically bound selenium in soil remains poorly understood. Therefore, this study investigates the effect of biochar on organically bound selenium in typical medium–to–high selenium soils from Yimen County, Yuxi City, Yunnan Province. Reed straw (RS), apple wood (AW), and walnut shells (WS) were used as biomass materials for biochar preparation. The study utilized organically bound selenium transformation incubation and pot experiments to explore the role of biochar in transforming organically bound selenium in soil. The results showed that organically bound selenium was the dominant selenium form in the soil, accounting for 66.31% of the total selenium content. Both pot experiments and incubation trials indicated that the addition of biochar significantly increased the levels of water–soluble and exchangeable selenium in the soil. The addition of biochar mainly promotes the conversion of fulvic acid–bound selenium into water–soluble and exchangeable selenium. In the absence of carbon sources, humic acid–bound selenium can also be converted to water–soluble and exchangeable selenium. Correlation analysis revealed that soil water–soluble selenium was significantly negatively correlated with soil total selenium (r = −0.792 **, p < 0.01), soil phosphatase activity (r = −0.645 *, p < 0.05), abundance taxa of Chloroflexi (r = −0.751 *, p < 0.05), Chytridiomycota (r = −0.674 *, p < 0.05), and Basidiomycota (r = 0.722 **, p < 0.05), while it was significantly positively correlated with soil urease activity (r = 0.809 **, p < 0.01), and significantly negatively correlated with abundance taxa of Myxococcota (r = −0.800 **, p < 0.01). Compared with the initial soil, the WS treatment (initial soil water–soluble selenium 0.31 μg·kg−1, exchangeable selenium 0.11 μg·kg−1) significantly increased the soil water–soluble selenium by 34.9 times and exchangeable selenium by 100.2 times. Additionally, the selenium content in garlic increased by 170% compared to the control group. Full article
(This article belongs to the Special Issue Nutrient Cycling and Microorganisms in Agroecosystems)
Show Figures

Figure 1

13 pages, 2039 KB  
Article
A Comparative Study on Soil-Crop Selenium Characteristics in High-Incidence Areas of Keshan Disease in Chinese Loess and Black Soil
by Jun Zhao, Zhu Rao, Siwen Liu, Lei Wang, Peng Wang, Tao Yang and Jin Bai
Appl. Sci. 2024, 14(13), 5703; https://doi.org/10.3390/app14135703 - 29 Jun 2024
Viewed by 1239
Abstract
With the gradual emphasis on health by people, the research on the pathogenesis of endemic diseases has become increasingly in-depth. Through analyzing the environmental selenium characteristics and conducting a comparative study in typical areas of Chinese loess and black soil in this paper, [...] Read more.
With the gradual emphasis on health by people, the research on the pathogenesis of endemic diseases has become increasingly in-depth. Through analyzing the environmental selenium characteristics and conducting a comparative study in typical areas of Chinese loess and black soil in this paper, it is concluded that the environmental selenium in the two regions has different characteristics. The soil in the loess area has the characteristics of high alkalinity, low selenium, and relatively high selenium availability, and the crops are selenium-deficient, while the soil in the black soil area has the characteristics of high organic matter, low selenium availability, and relatively high selenium in crops. The research concluded that the environmental occurrence mechanism of Keshan disease in the loess area and the black soil area is different. Keshan disease can be induced in both low-selenium and sufficient-selenium environments, and environmental selenium should be one of the inducing factors of Keshan disease. This research provides a reference for predicting the areas where Keshan disease occurs and for disease prevention, and it can also serve in the prevention and control of endemic diseases. Full article
Show Figures

Figure 1

13 pages, 1347 KB  
Article
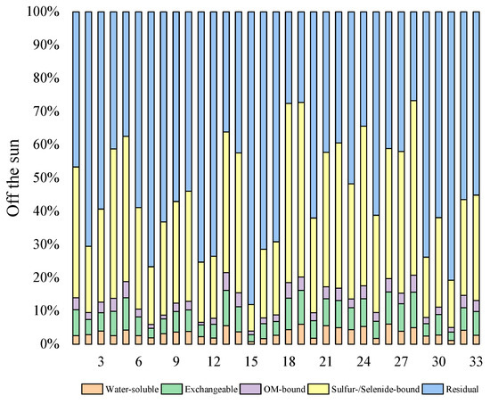
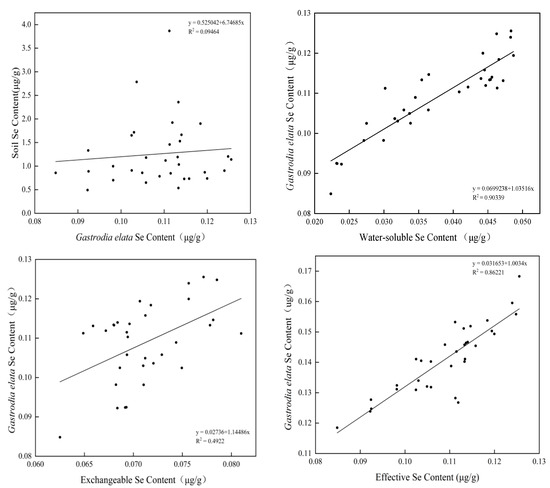
Form, Bioavailability, and Influencing Factors of Soil Selenium in Subtropical Karst Regions of Southwest China
by Zhongquan Hu, Xing Xiong, Jianwei Bu, Chunshan Xiao and Jun Zhang
Appl. Sci. 2024, 14(12), 5192; https://doi.org/10.3390/app14125192 - 14 Jun 2024
Cited by 2 | Viewed by 1307
Abstract
Karst regions are characterized by unique geological formations that pose challenges to soil fertility and plant nutrition. In this study, we investigated the distribution and interactions of selenium (Se) in soils of Zheng’an County, a representative karst region in subtropical China. The results [...] Read more.
Karst regions are characterized by unique geological formations that pose challenges to soil fertility and plant nutrition. In this study, we investigated the distribution and interactions of selenium (Se) in soils of Zheng’an County, a representative karst region in subtropical China. The results showed that the Se enrichment in the soils of Zheng’an County was high, with total contents ranging from 0.49 to 3.87 mg/kg and an average of 1.22 mg/kg, making the area Se-rich. Despite the abundance of Se, the effective percentage of Se uptake by plants was relatively low due to the generally moderately acidic nature of the soils in the region (pH: 5.98–6.60), which encourages the conversion of the available Se into forms that are not readily accessible. In addition, the high organic matter (OM) content (21.92–127.66 g/kg) promoted Se retention by interacting with Ca2+ in carbonate rocks. In addition, the clay content (50.73% to 76.19%) enhanced Se adsorption and limited Se availability. In conclusion, this study provides a basis for soil management and ecological restoration strategies in karst landscapes, highlights new insights into the dynamics of Se, and calls for further research to elucidate the Se availability mechanism and improve the efficiency of Se uptake by plants. Meanwhile, this study provides the first systematic study of Se transport and transformation, as well as Se-enriched Gastrodia elata in karst regions, and provides a preliminary understanding of the geochemical behavior of Se in karst regions. Full article
(This article belongs to the Section Environmental Sciences)
Show Figures

Figure 1

15 pages, 3716 KB  
Article
Uptake and Transport of Selenium in a Soil–Tea Plant–Tea Infusion System: A Study of Typical Tea Plantations in a Selenium-Rich Area of China
by Haizhong Wu, Dengxiao Zhang, Xinmin Wu, Xiaosi Tian, Gang Hu, Shiliang Liu, Xiaolei Jie and Daichang Wang
Forests 2024, 15(6), 914; https://doi.org/10.3390/f15060914 - 24 May 2024
Cited by 3 | Viewed by 1776
Abstract
Selenium is an important indicator for the evaluation of tea quality. However, the relationship between selenium uptake by tea plants (Camellia sinensis) and soil properties, as well as selenium transport and distribution in a tea plantation soil–tea plant–tea infusion production system, [...] Read more.
Selenium is an important indicator for the evaluation of tea quality. However, the relationship between selenium uptake by tea plants (Camellia sinensis) and soil properties, as well as selenium transport and distribution in a tea plantation soil–tea plant–tea infusion production system, remain unclear. In this study, 12 tea plantations situated in a typical selenium-rich area of China were selected, and the characteristics and crucial factors influencing the uptake and transport of selenium were analyzed using a plantation soil–tea plant–tea infusion production system. The soil total selenium content ranged from 1.12 to 6.67 mg kg−1, with an average of 2.57 mg kg−1. The average available selenium content was 53.56 µg kg−1, and the activation rate of soil selenium was 2.27%. Soil-available selenium was significantly positively correlated with total selenium, available potassium, and soil organic matter contents, and was significantly negatively correlated with soil pH. The selenium content in old leaves ranged from 0.29 to 2.73 mg kg−1, which met the standard for selenium-rich tea, whereas only 33% of young leaves met this standard. The selenium enrichment factor was highest in the fibrous root and lowest in the young leaves. The average selenium transport factors from fibrous roots to main roots, from main roots to main stems, from main stems to lateral stems, from lateral stems to young leaves, and from lateral stems to old leaves were 0.53, 0.92, 0.67, 0.97, and 2.30, respectively. The selenium concentration of tea infusion ranged from 1.88 to 12.49 μg L−1, and the average selenium dissolution rate was 22.62% after one brewing. This study identified critical factors that influence soil-selenium availability. The selenium content in tea plant organs is indicated to be strongly associated with the selenium content in the main roots. Full article
(This article belongs to the Special Issue Forest Vegetation and Soils: Interaction, Management and Alterations)
Show Figures

Graphical abstract

15 pages, 8878 KB  
Article
Effect of Soil Acidification on the Production of Se-Rich Tea
by Bin Yang, Huan Zhang, Wenpei Ke, Jie Jiang, Yao Xiao, Jingjing Tian, Xujun Zhu, Lianggang Zong and Wanping Fang
Plants 2023, 12(15), 2882; https://doi.org/10.3390/plants12152882 - 7 Aug 2023
Cited by 4 | Viewed by 2402
Abstract
Selenium (Se)-enriched tea is a well-regarded natural beverage that is often consumed for its Se supplementation benefits. However, the production of this tea, particularly in Se-abundant tea plantations, is challenging due to soil acidification. Therefore, this study aimed to investigate the effects of [...] Read more.
Selenium (Se)-enriched tea is a well-regarded natural beverage that is often consumed for its Se supplementation benefits. However, the production of this tea, particularly in Se-abundant tea plantations, is challenging due to soil acidification. Therefore, this study aimed to investigate the effects of changes in Se under acidified soil conditions. Eight tea plantation soil monitoring sites in Southern Jiangsu were first selected. Simulated acid rain experiments and experiments with different acidification methods were designed and soil pH, as well as various Al-ion and Se-ion concentrations were systematically determined. The data were analyzed using R statistical software, and a correlation analysis was carried out. The results indicated that as the pH value dropped, exchangeable selenium (Exc-Se) and residual selenium (Res-Se) were transformed into acid-soluble selenium (Fmo-Se) and manganese oxide selenium (Om-Se). As the pH increased, exchange state aluminum (Alex) and water-soluble aluminum (Alw) decreased, Fmo-Se and Om-Se declined, and Exc-Se and Res-Se increased, a phenomenon attributed to the weakened substitution of Se ions by Al ions. In the simulated acid rain experiment, P1 compared to the control (CK), the pH value of the YJW tea plantation decreased by 0.13, Exc-Se decreased by 4 ug mg−1, Res-Se decreased by 54.65 ug kg−1, Fmo-Se increased by 2.78 ug mg−1, and Om-Se increased by 5.94 ug mg−1 while Alex increased by 28.53 mg kg−1. The decrease in pH led to an increase in the content of Alex and Alw, which further resulted in the conversion of Exc-Se to Fmo-Se and Om-Se. In various acidification experiments, compared with CK, the pH value of T6 decreased by 0.23, Exc-Se content decreased by 8.35 ug kg−1, Res-Se content decreased by 40.62 ug kg−1, and Fmo-Se content increased by 15.52 ug kg−1 while Alex increased by 33.67 mg kg−1, Alw increased by 1.7 mg kg−1, and Alh decreased by 573.89 mg kg−1. Acidification can trigger the conversion of Exc-Se to Fmo-Se and Om-Se, while the content of available Se may decrease due to the complexation interplay between Alex and Exc-Se. This study provides a theoretical basis for solving the problem of Se-enriched in tea caused by soil acidification. Full article
(This article belongs to the Special Issue Tea Plants Cultivation)
Show Figures

Figure 1

13 pages, 3133 KB  
Article
Effects of Watermelon Cropping Management on Soil Bacteria and Fungi Biodiversity
by Mei Tian, Jinjin Liang, Shengfeng Liu, Rong Yu and Xingxu Zhang
Agriculture 2023, 13(5), 1010; https://doi.org/10.3390/agriculture13051010 - 4 May 2023
Cited by 7 | Viewed by 4726
Abstract
Watermelons grown in sandy soil are rich in trace elements, particularly selenium, and are therefore also known as selenium-rich sand watermelons. However, continuous watermelon cultivation in the same sandy field decreases soil fertility and degrades the ecosystem, ultimately resulting in low-quality watermelons. Introducing [...] Read more.
Watermelons grown in sandy soil are rich in trace elements, particularly selenium, and are therefore also known as selenium-rich sand watermelons. However, continuous watermelon cultivation in the same sandy field decreases soil fertility and degrades the ecosystem, ultimately resulting in low-quality watermelons. Introducing different crops into the crop pattern could alleviate the problems posed by continuous cropping. A field experiment was conducted to explore the effects of different crop patterns on soil microbial communities and soil properties via standard techniques. The results showed that 14,905 bacterial and 2150 fungal operational taxonomic units were obtained and assigned to eight bacterial and five fungal phyla, respectively. Soil bacterial communities primarily comprised Proteobacteria, Planctomycetes, Actinobacteria, and Acidobacteria, and the soil fungal community was dominated by Ascomycota, Chytridiomycota, and Basidiomycota. Different crop patterns had a significant effect on the Chao and ACE indexes of fungal communities in the soil. The rotation of six years of watermelon and one year of wheat had the highest richness indexes of all the rotations. Different crop patterns had significant effects on soil properties, such as organic matter (OM), total nitrogen (TN), total potassium (TK), available phosphorus (AP), available K, nitrate nitrogen (NN), and pH. The soil OM, TN, NN, and pH of six years of watermelon and one year of wheat cultivation were significantly higher than those of the other three crop patterns. In addition, the soil TK and AP of the continuous watermelon planting treatment were significantly higher than those of the other three crop patterns. Redundancy analysis results revealed many complex relationships between soil properties and soil bacterial or fungal communities. Employing different crop patterns plays an important role in the effective regulation of soil microbial diversity and properties. Full article
(This article belongs to the Special Issue Microbiology Applied to Crop Systems)
Show Figures

Figure 1

17 pages, 7482 KB  
Article
Modelling Leverage of Different Soil Properties on Selenium Water-Solubility in Soils of Southeast Europe
by Lucija Galić, Vlatko Galić, Vladimir Ivezić, Vladimir Zebec, Jurica Jović, Mirha Đikić, Adrijana Filipović, Maja Manojlović, Åsgeir Rossebø Almås and Zdenko Lončarić
Agronomy 2023, 13(3), 824; https://doi.org/10.3390/agronomy13030824 - 11 Mar 2023
Cited by 11 | Viewed by 3380
Abstract
Selenium (Se) is a nonmetal that is essential for humans and other animals, and is considered beneficial for plants. The bioavailability of Se strongly influences its content in the food chain. Soils are the main source of Se, and their Se content primarily [...] Read more.
Selenium (Se) is a nonmetal that is essential for humans and other animals, and is considered beneficial for plants. The bioavailability of Se strongly influences its content in the food chain. Soils are the main source of Se, and their Se content primarily influences its availability, along with other soil properties. A field survey was conducted on soils of Southeast Europe, specifically in Croatia (Osijek), Bosnia and Herzegovina (Sarajevo, Banja Luka, Mostar, and Prud), and Serbia (Novi Sad). Soil samples were taken from the arable soil layer (0–30 cm depth), and two types of Se availability were measured: Se extracted using pure HNO3 (SeTot) and Se readily extracted in water (SeH2O). Only soils from the Mostar area had Se concentrations above deficit levels (0.5 mg kg−1), with the highest values of cation exchange capacity (CEC), soil organic matter (SOM) measured as loss of ignition (LOI), total C, total N, ZnTot and CdTot. The connections between the chemical characteristics of the soil and SeH2O were investigated. Principal component analysis (PCA) explained 73.7% of the variance in the data set in the first three principal components (PCs). Using the provided data, we developed a partial least squares (PLS) regression model that predicted the amount of SeH2O in the soil, with an accuracy ranging from 77% to 90%, depending on the input data. The highest loadings in the model were observed for LOI, CEC, total C, total N, and SeTot. Our results indicate the need for biofortification in these key agricultural areas to supplement the essential dietary requirements of humans and livestock. To efficiently and economically implement biofortification measures, we recommend utilizing regression models to accurately predict the availability of Se. Full article
(This article belongs to the Topic Plants Nutrients)
Show Figures

Figure 1

24 pages, 916 KB  
Review
A Recent Update on the Impact of Nano-Selenium on Plant Growth, Metabolism, and Stress Tolerance
by Ramkumar Samynathan, Baskar Venkidasamy, Karthikeyan Ramya, Pandiyan Muthuramalingam, Hyunsuk Shin, Pandy Saravana Kumari, Sivakumar Thangavel and Iyyakkannu Sivanesan
Plants 2023, 12(4), 853; https://doi.org/10.3390/plants12040853 - 14 Feb 2023
Cited by 71 | Viewed by 7338
Abstract
Selenium (Se) is a microelement that plays an important nutrient role by influencing various physiological and biochemical traits in plants. It has been shown to stimulate plant metabolism, enhancing secondary metabolites and lowering abiotic and biotic stress in plants. Globally, the enormous applications [...] Read more.
Selenium (Se) is a microelement that plays an important nutrient role by influencing various physiological and biochemical traits in plants. It has been shown to stimulate plant metabolism, enhancing secondary metabolites and lowering abiotic and biotic stress in plants. Globally, the enormous applications of nanotechnology in the food and agricultural sectors have vastly expanded. Nanoselenium is more active than bulk materials, and various routes of synthesis of Se nanoparticles (Se-NPs) have been reported in which green synthesis using plants is more attractive due to a reduction in ecological issues and an increase in biological activities. The Se-NP-based biofortification is more significant because it increases plant stress tolerance and positively impacts their metabolism. Se-NPs can enhance plant resistance to various oxidative stresses, promote growth, enhance soil nutrient status, enhance plant antioxidant levels, and participate in the transpiration process. Additionally, they use a readily available, biodegradable reducing agent and are ecologically friendly. This review concentrates on notable information on the different modes of Se-NPs’ synthesis and characterization, their applications in plant growth, yield, and stress tolerance, and their influence on the metabolic process. Full article
Show Figures

Figure 1

Back to TopTop