Modelling Leverage of Different Soil Properties on Selenium Water-Solubility in Soils of Southeast Europe
Abstract
1. Introduction
2. Materials and Methods
2.1. Study Area
2.2. Sampling and Pretreatment of Soil Samples
2.3. Chemical Analysis
2.4. Data Analysis
3. Results
3.1. Physical and Chemical Soil Properties of the Analyzed Soil Samples
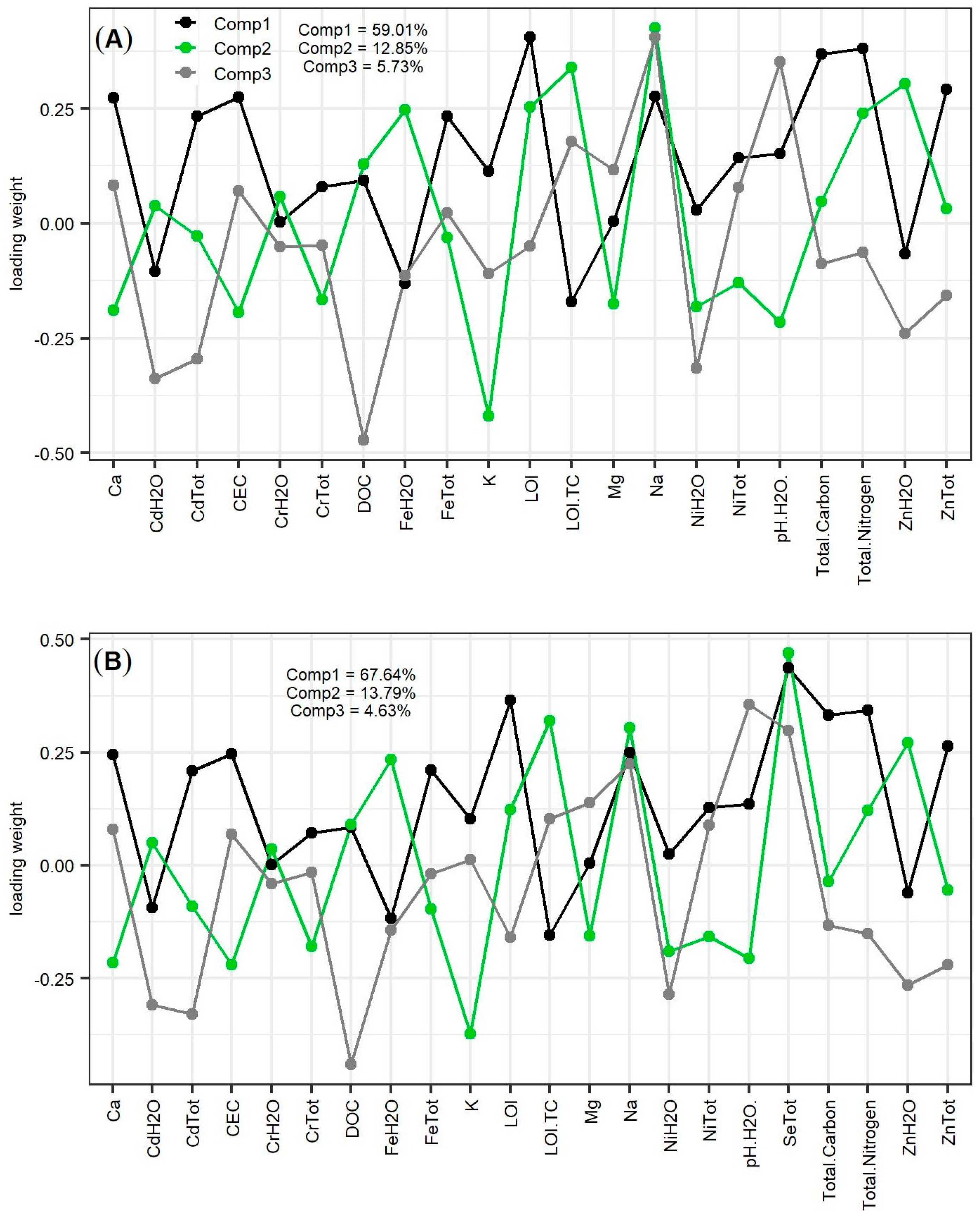
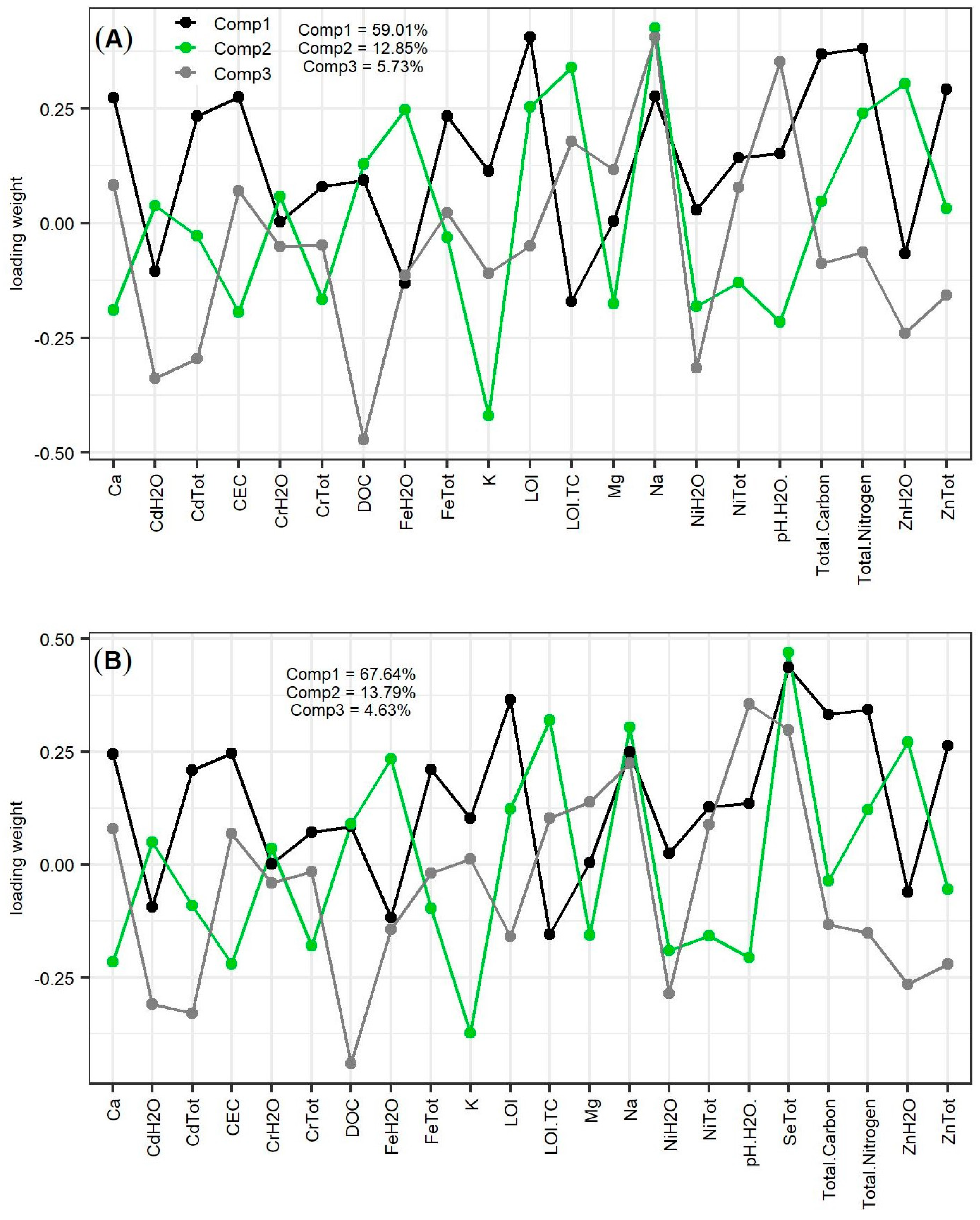
3.2. Correlation and Principal Component Analysis (PCA) of Analyzed Soil Properties
3.3. Regression Analysis of the SeH2O Concentration
4. Discussion
4.1. Relationship between Se Concentrations and Soil Physicochemical Properties: A Principal Component Analysis Approach
4.2. SeH2O and SeTot Concentrations and Correlation between Different Soil Properties and SeH2O
4.3. Model for Prediction of SeH2O
5. Conclusions
Supplementary Materials
Author Contributions
Funding
Data Availability Statement
Conflicts of Interest
References
- Xue, M.; Wang, D.; Zhou, F.; Du, Z.; Zhai, H.; Wang, M.; Dinh, Q.T.; Tran, T.A.T.; Li, H.; Yan, Y.; et al. Effects of selenium combined with zinc amendment on zinc fractions and bioavailability in calcareous soil. Ecotoxicol. Environ. Saf. 2020, 190, 110082. [Google Scholar] [CrossRef]
- Brigelius-Flohé, R. Selenium in human health and disease: An overview. Antioxid. Redox Signal. 2011, 14, 1338–1367. [Google Scholar] [CrossRef]
- Wang, Y.; Shan, Q.; Wang, C.; Tang, Z.; Li, Y. Study on the Migration and Accumulation of Selenium between Soil and Vegetations. Sustainability 2023, 15, 592. [Google Scholar] [CrossRef]
- Bjørklund, G.; Aaseth, J.; Skalny, A.V.; Suliburska, J.; Skalnaya, M.G.; Nikonorov, A.A.; Tinkov, A.A. Interactions of iron with manganese, zinc, chromium, and selenium as related to prophylaxis and treatment of iron deficiency. J. Trace Elem. Med. Biol. 2017, 41, 41–53. [Google Scholar] [CrossRef]
- Winkel, L.H.E.; Vriens, B.; Jones, G.D.; Schneider, L.S.; Pilon-Smits, E.; Bañuelos, G.S. Selenium cycling across soil-plant-atmosphere interfaces: A critical review. Nutrients 2015, 7, 4199–4239. [Google Scholar] [CrossRef] [PubMed]
- Sun, H. Association of soil selenium, strontium, and magnesium concentrations with Parkinson’s disease mortality rates in the USA. Environ. Geochem. Health 2018, 40, 349–357. [Google Scholar] [CrossRef]
- Wang, Q.; Zhang, J.; Zhao, B.; Xin, X.; Deng, X.; Zhang, H. Influence of Long-Term Fertilization on Selenium Accumulation in Soil and Uptake by Crops. Pedosphere 2016, 26, 120–129. [Google Scholar] [CrossRef]
- Xiao, K.; Lu, L.; Tang, J.; Chen, H.; Li, D.; Liu, Y. Parent material modulates land use effects on soil selenium bioavailability in a selenium-enriched region of southwest China. Geoderma 2020, 376, 114554. [Google Scholar] [CrossRef]
- Yang, H.; Yang, X.; Ning, Z.; Kwon, S.Y.; Li, M.L.; Tack, F.M.G.; Kwon, E.E.; Rinklebe, J.; Yin, R. The beneficial and hazardous effects of selenium on the health of the soil-plant-human system: An overview. J. Hazard. Mater. 2022, 422, 126876. [Google Scholar] [CrossRef] [PubMed]
- Jones, G.D.; Droz, B.; Greve, P.; Gottschalk, P.; Poffet, D.; McGrath, S.P.; Seneviratne, S.I.; Smith, P.; Winkel, L.H.E. Selenium deficiency risk predicted to increase under future climate change. Proc. Natl. Acad. Sci. USA 2017, 114, 2848–2853. [Google Scholar] [CrossRef]
- Keskinen, R.; Turakainen, M.; Hartikainen, H. Plant availability of soil selenate additions and selenium distribution within wheat and ryegrass. Plant Soil 2010, 333, 301–313. [Google Scholar] [CrossRef]
- Gammelgaard, B.; Jackson, M.I.; Gabel-Jensen, C. Surveying selenium speciation from soil to cell-forms and transformations. Anal. Bioanal. Chem. 2011, 399, 1743–1763. [Google Scholar] [CrossRef] [PubMed]
- Matos, R.P.; Lima, V.M.P.; Windmöller, C.C.; Nascentes, C.C. Correlation between the natural levels of selenium and soil physicochemical characteristics from the Jequitinhonha Valley (MG), Brazil. J. Geochem. Explor. 2017, 172, 195–202. [Google Scholar] [CrossRef]
- Liu, N.; Wang, M.; Zhou, F.; Zhai, H.; Qi, M.; Liu, Y.; Li, Y.; Zhang, N.; Ma, Y.; Huang, J.; et al. Selenium bioavailability in soil-wheat system and its dominant influential factors: A field study in Shaanxi province, China. Sci. Total Environ. 2021, 770, 144664. [Google Scholar] [CrossRef] [PubMed]
- Yu, T.; Hou, W.; Hou, Q.; Ma, W.; Xia, X.; Li, Y.; Yan, B.; Yang, Z. Safe utilization and zoning on natural selenium-rich land resources: A case study of the typical area in Enshi County, China. Environ. Geochem. Health 2020, 42, 2803–2818. [Google Scholar] [CrossRef] [PubMed]
- Sharma, V.K.; McDonald, T.J.; Sohn, M.; Anquandah, G.A.K.; Pettine, M.; Zboril, R. Biogeochemistry of selenium. A review. Environ. Chem. Lett. 2015, 13, 49–58. [Google Scholar] [CrossRef]
- Steinnes, E. Soils and geomedicine. Environ. Geochem. Health 2009, 31, 523–535. [Google Scholar] [CrossRef]
- Goh, K.H.; Lim, T.T. Geochemistry of inorganic arsenic and selenium in a tropical soil: Effect of reaction time, pH, and competitive anions on arsenic and selenium adsorption. Chemosphere 2004, 55, 849–859. [Google Scholar] [CrossRef]
- Birringer, M.; Pilawa, S.; Flohé, L. Trends in selenium biochemistry. Nat. Prod. Rep. 2002, 19, 693–718. [Google Scholar] [CrossRef]
- Roman, M.; Jitaru, P.; Barbante, C. Selenium biochemistry and its role for human health. Metallomics 2014, 6, 25–54. [Google Scholar] [CrossRef]
- Nowak, J.; Kaklewski, K.; Ligocki, M. Influence of selenium on oxidoreductive enzymes activity in soil and in plants. Soil Biol. Biochem. 2004, 36, 1553–1558. [Google Scholar] [CrossRef]
- Zhang, Y.; Frankenberger, W.T. Effects of Soil Moisture, Depth, and Organic Amendments on Selenium Volatilization. J. Environ. Qual. 1999, 28, 1321–1326. [Google Scholar] [CrossRef]
- Galić, L.; Vinković, T.; Ravnjak, B.; Lončarić, Z. Agronomic Biofortification of Significant Cereal Crops with Selenium—A Review. Agronomy 2021, 11, 1015. [Google Scholar] [CrossRef]
- Nakamaru, Y.; Tagami, K.; Uchida, S. Distribution coefficient of selenium in Japanese agricultural soils. Chemosphere 2005, 58, 1347–1354. [Google Scholar] [CrossRef]
- Kang, Y.; Yamada, H.; Kyuma, K.; Hattori, T.; Yamada, H.; Hattori, T. Selenium content and distribution in various japanese soils. Soil Sci. Plant Nutr. 1990, 36, 475–482. [Google Scholar] [CrossRef]
- Manojlović, M.; Lončarić, Z. Chapter 13 Selenium deficiency in regional soils affecting animal and human health in Balkan and other European countries. In The Nexus of Soils, Plant, Animals and Human Health; Singh, B.R., McLaughlin, M.J., Brevik, E., Eds.; International Union of Soil Sciences: Vienna, Austria, 2017. [Google Scholar]
- Supriatin, S.; Weng, L.; Comans, R.N.J. Selenium-rich dissolved organic matter determines selenium uptake in wheat grown on Low-selenium arable land soils. Plant Soil 2016, 408, 73–94. [Google Scholar] [CrossRef]
- Wang, D.; Dinh, Q.T.; Anh Thu, T.T.; Zhou, F.; Yang, W.; Wang, M.; Song, W.; Liang, D. Effect of selenium-enriched organic material amendment on selenium fraction transformation and bioavailability in soil. Chemosphere 2018, 199, 417–426. [Google Scholar] [CrossRef] [PubMed]
- Coppin, F.; Chabroullet, C.; Martin-Garin, A.; Balesdent, J.; Gaudet, J.P. Methodological approach to assess the effect of soil ageing on selenium behaviour: First results concerning mobility and solid fractionation of selenium. Biol. Fertil. Soils 2006, 42, 379–386. [Google Scholar] [CrossRef]
- Dhillon, S.K.; Dhillon, K.S. Selenium adsorption in soils as influenced by different anions. J. Plant Nutr. Soil Sci. 2000, 163, 577–582. [Google Scholar] [CrossRef]
- Woodbury, P.B.; Arthur, M.A.; Rubin, G.; Weinstein, L.H.; Mccune, D.C. Gypsum Application Reduces Selenium Uptake By Vegetation On A Coal Ash Landfill. Water Air Soil Pollut. 1999, 110, 421–432. [Google Scholar] [CrossRef]
- Guo, L.; Jury, W.A.; Frankenberger, W.T.; Zhang, Y. Characterizing Kinetics of Sequential Selenium Transformation in Soil. J. Environ. Qual. 2000, 29, 1041–1048. [Google Scholar] [CrossRef]
- Antanaitis, A.; Lubyte, J.; Antanaitis, S.; Staugaitis, G.; Viskelis, P. Selenium concentration dependence on soil properties. J. Food Agric. Environ. 2008, 6, 163–167. [Google Scholar]
- Girling, C.A. Selenium in agriculture and the environment. Agric. Ecosyst. Environ. 1984, 11, 37–65. [Google Scholar] [CrossRef]
- Li, Z.; Liang, D.; Peng, Q.; Cui, Z.; Huang, J.; Lin, Z. Interaction between selenium and soil organic matter and its impact on soil selenium bioavailability: A review. Geoderma 2017, 295, 69–79. [Google Scholar] [CrossRef]
- Galić, L.; Špoljarević, M.; Jakovac, E.; Ravnjak, B.; Teklić, T.; Lisjak, M.; Perić, K.; Nemet, F.; Lončarić, Z. Selenium biofortification of soybean seeds influences physiological responses of seedlings to osmotic stress. Plants 2021, 10, 1498. [Google Scholar] [CrossRef]
- Gu, Q.; Yang, Z.; Yu, T.; Ji, J.; Hou, Q.; Zhang, Q. Application of ecogeochemical prediction model to safely exploit seleniferous soil. Ecotoxicol. Environ. Saf. 2019, 177, 133–139. [Google Scholar] [CrossRef] [PubMed]
- Danso, O.P.; Asante-badu, B.; Zhang, Z.; Song, J.; Wang, Z.; Yin, X. Selenium Biofortification: Strategies, Progress and Challenges. Agriculture 2023, 13, 416. [Google Scholar] [CrossRef]
- Lončarić, Z.; Rastija, D.; Renata, B.; Karalić, K.; Popović, B.; Ivezić, V. Plodnost I Opterećenost Tala U Pograničnome Području; Poljoprivredni fakultet Sveučilišta Josipa Jurja Strossmayera u Osijeku: Osijek, Croatia, 2014; ISBN 9789537871161. [Google Scholar]
- Nachtergaele, F.; van Velthuizen, H.; Verelst, L.; David Wiberg, N.B.; Dijkshoorn, K.; van Engelen, V.; Fischer, G.; Jones, A.; Montanarella, L.; Petri, M.; et al. Harmonized World Soil Database. Food and Agriculture Organization of the United Nations, Rome, Italy and IIASA, Laxenburg, Austria. Faoiiasaisricisscasjrc, Version 1. 2012. Available online: https://www.fao.org/soils-portal/data-hub/soil-maps-and-databases/harmonized-world-soil-database-v12/en/ (accessed on 15 January 2023).
- Mihailović, A.; Budinski-Petković, L.; Popov, S.; Ninkov, J.; Vasin, J.; Ralević, N.M.; Vučinić Vasić, M. Spatial distribution of metals in urban soil of Novi Sad, Serbia: GIS based approach. J. Geochem. Explor. 2015, 150, 104–114. [Google Scholar] [CrossRef]
- Nelson, D.W.; Sommers, I.W. Total Carbon, Organic Carbon, and Organic Matter. In Methods of Soil Analysis: Part 2 Chemical and Microbiological Properties; Wiley: Hoboken, NJ, USA, 1982; Volume 9. [Google Scholar]
- Sparks, D.C. Metods of soil analysis. In Soil Science Society of America, USA; ASA and SSA: Madison, WI, USA, 1996. [Google Scholar]
- ISO 10694:1995; Soil Quality—Determination of Organic and Total Carbon after Dry Combustion (Elementary Analysis). International Organization for Standardization: Geneva, Switzerland, 2004.
- ISO 13878:1998; Soil quality—Determination of Total Nitrogen Content by Dry Combustion (Elemental Analysis). International Organization for Standardization: Geneva, Switzerland, 2004.
- Mc Lean, E.O. Soil pH and lime requirement. Methods Soil Anal. Part 2. Chem. Microbiol. Prop. Agron. Monogr. 1982, 9, 199–224. [Google Scholar] [CrossRef]
- Hendershot, W.H.; Duquette, M. A Simple Barium Chloride Method for Determining Cation Exchange Capacity and Exchangeable Cations. Soil Sci. Soc. Am. J. 1986, 50, 605–608. [Google Scholar] [CrossRef]
- NIST-National Institute of Standards & Technology. Certificate Certificate of Analysis Standard Reference Material® 2709 San Joaquin Soil Baseline. Measurement. 2011. Available online: https://www.nist.gov/system/files/documents/srm/SP260-172.pdf (accessed on 15 January 2023).
- World Health Organization. Trace Elements in Human Nutrition and Health; World Health Organization: Geneva, Switzerland, 1996.
- Team, R.; Core, R. A Language and Environment for Statistical Computing; R Foundation for Statistical Computing: Vienna, Austria, 2021. [Google Scholar]
- Bates, D.; Mächler, M.; Bolker, B.M.; Walker, S.C. Fitting linear mixed-effects models using lme4. J. Stat. Softw. 2015, 67, 48. [Google Scholar] [CrossRef]
- WHO. WHO Permissible Limits for Heavy Metals in Plant and Soil; World Health Organization: Geneva, Switzerland, 1996.
- European Soil Bureae Network European Commission. Soil Atlas of Europe; Office for Official Publication of the European Communities: Luxembourg, 2005. [Google Scholar]
- Imran, M.; Akhtar, M.S.; Mehmood, A.; Rukh, S.; Khan, A.; Zhikun, C.; Mujtaba, G. Soil selenium transformation across different parent materials in Pothwar uplands of Pakistan. Arab. J. Geosci. 2020, 13, 1098. [Google Scholar] [CrossRef]
- Eich-Greatorex, S.; Sogn, T.A.; Øgaard, A.F.; Aasen, I. Plant availability of inorganic and organic selenium fertiliser as influenced by soil organic matter content and pH. Nutr. Cycl. Agroecosystems 2007, 79, 221–231. [Google Scholar] [CrossRef]
- Šećerov, I.; Savić, S.; Milošević, D.; Marković, V.; Bajšanski, I. Development of an automated urban climate monitoring system in Novi Sad (Serbia). Geogr. Pannonica 2015, 19, 174–183. [Google Scholar] [CrossRef]
- Suljić, N.; Gadžo, D.; Karić, N.; Đikić, M. Distribution of Jerusalem Artichoke (Helianthus tuberosus L.) N the Canton Sarajevo Area Nijaz. 9th Congr. SOIL Sci. Soc. Bosnia Herzeg. 2015, 21, 336–341. [Google Scholar]
- Pecelj, M.; Pecelj, M.; Mandić, D.; Pecelj, J.; Milinĉić, M.; Tošić, D. Informational technology in bioclimate analysis of Banja Luka for tourism recreation. In TELE-INFO’10: Proceedings of the 9th WSEAS International Conference on Telecommunications and Informatics; World Scientific and Engineering Academy and Society (WSEAS): Stevens Point, WI, USA, 2010; pp. 35–39. [Google Scholar]
- Omazić, B.; Telišman Prtenjak, M.; Prša, I.; Belušić Vozila, A.; Vučetić, V.; Karoglan, M.; Karoglan Kontić, J.; Prša, Ž.; Anić, M.; Šimon, S.; et al. Climate change impacts on viticulture in Croatia: Viticultural zoning and future potential. Int. J. Climatol. 2020, 40, 5634–5655. [Google Scholar] [CrossRef]
- Wang, Z.; Gao, Y. Biogeochemical cycling of selenium in Chinese environments. Appl. Geochem. 2001, 16, 1345–1351. [Google Scholar] [CrossRef]
- Yue, P.; Chen, N.; Peak, D.; Bompoti, N.M.; Chrysochoou, M.; Onnis-Hayden, A.; Larese-Casanova, P. Oxygen atom release during selenium oxyanion adsorption on goethite and hematite. Appl. Geochem. 2020, 117, 104605. [Google Scholar] [CrossRef]
- Singh, M.; Singh, N.; Relan, P.S. Adsorption and desorption of selenite and selenate selenium on different soils. Soil Sci. 1981, 132, 134–141. [Google Scholar] [CrossRef]
- Xu, Y.; Hao, Z.; Li, Y.; Li, H.; Wang, L.; Zang, Z.; Liao, X.; Zhang, R. Distribution of selenium and zinc in soil-crop system and their relationship with environmental factors. Chemosphere 2020, 242, 125289. [Google Scholar] [CrossRef]
- Shaheen, S.M.; Rinklebe, J.; Frohne, T.; White, J.R.; DeLaune, R.D. Biogeochemical Factors Governing Cobalt, Nickel, Selenium, and Vanadium Dynamics in Periodically Flooded Egyptian North Nile Delta Rice Soils. Soil Sci. Soc. Am. J. 2014, 78, 1065–1078. [Google Scholar] [CrossRef]
- Pezzarossa, B.; Piccotino, D.; Petruzzelli, G. Sorption and desorption of selenium in different soils of the Mediterranean area. Commun. Soil Sci. Plant Anal. 1999, 30, 2669–2679. [Google Scholar] [CrossRef]
- Atarodi, B.; Fotovat, A.; Khorassani, R.; Keshavarz, P.; Hammami, H. Interaction of selenium and cadmium in wheat at different salinities. Toxicol. Environ. Chem. 2018, 100, 348–360. [Google Scholar] [CrossRef]
- Huang, Q.; Xu, Y.; Liu, Y.; Qin, X.; Huang, R.; Liang, X. Selenium application alters soil cadmium bioavailability and reduces its accumulation in rice grown in Cd-contaminated soil. Environ. Sci. Pollut. Res. 2018, 25, 31175–31182. [Google Scholar] [CrossRef] [PubMed]
- Spadoni, M.; Voltaggio, M.; Carcea, M.; Coni, E.; Raggi, A.; Cubadda, F. Bioaccessible selenium in Italian agricultural soils: Comparison of the biogeochemical approach with a regression model based on geochemical and pedoclimatic variables. Sci. Total Environ. 2007, 376, 160–177. [Google Scholar] [CrossRef] [PubMed]
- Williams Araújo do Nascimento, C.; Bruno Viera da Silva, F.; de Brito Fabricio Neta, A.; Miranda Biondi, C.; Aparecida da Silva Lins, S.; Bezerra de Almeida Júnior, A.; Preston, W. Geopedology-climate interactions govern the spatial distribution of selenium in soils: A case study in northeastern Brazil. Geoderma 2021, 399, 115119. [Google Scholar] [CrossRef]
- Yamada, H.; Kamada, A.; Usuki, M.; Yanai, J. Total selenium content of agricultural soils in Japan. Soil Sci. Plant Nutr. 2009, 55, 616–622. [Google Scholar] [CrossRef]
- Orton, T.G.; Rawlins, B.G.; Lark, R.M. Using measurements close to a detection limit in a geostatistical case study to predict selenium concentration in topsoil. Geoderma 2009, 152, 269–282. [Google Scholar] [CrossRef]






| Sarajevo | Banja Luka | Novi Sad | Mostar | Osijek | Prud | |
|---|---|---|---|---|---|---|
| pH (H2O) | 6.58 ± 0.722 | 6.14 ± 1.215 | 7.65 ± 0.200 | 7.67 ± 0.101 | 7.16 ± 0.922 | 7.68 ± 0.548 |
| DOC (mg kg−1) | 260 ± 77.888 | 352 ± 263.001 | 162 ± 28.185 | 225 ± 49.272 | 175 ± 40.541 | 156 ± 41.593 |
| LOI (%) | 6.535 ± 2.062 | 6.822 ± 2.303 | 5.201 ± 0.2 | 9.755 ± 1.847 | 5.352 ± 1.189 | 6.016 ± 0.731 |
| Total Carbon (%) | 2.45 ± 1.326 | 2.55 ± 1.016 | 1.78 ± 0.931 | 4.71 ± 0.898 | 2.29 ± 0.771 | 2.32 ± 0.089 |
| LOI/TC | 2.878 ± 0.469 | 2.781 ± 0.522 | 3.177 ± 0.599 | 2.081 ± 0.253 | 2.572 ± 0.838 | 2.589 ± 0.223 |
| Total Nitrogen (%) | 0.24 ± 0.099 | 0.25 ± 0.116 | 0.16 ± 0.048 | 0.36 ± 0.115 | 0.17 ± 0.04 | 0.21 ± 0.038 |
| Na (cmol(Na+) kg−1) | 0.082 ± 0.023 | 0.076 ± 0.01 | 0.159 ± 0.114 | 0.196 ± 0.094 | 0.12 ± 0.067 | 0.106 ± 0.032 |
| K (cmol(K+) kg−1) | 0.599 ± 0.351 | 0.484 ± 0.22 | 0.584 ± 0.132 | 0.668 ± 0.147 | 0.646 ± 0.125 | 0.734 ± 0.08 |
| Ca (cmol(1/2Ca2+) kg−1) | 31.44 ± 39.708 | 24.02 ± 26.971 | 37.44 ± 22.897 | 98.2 ± 6.629 | 54.138 ± 36.994 | 63.2 ± 23.636 |
| Mg (cmol(1/2Mg2+) kg−1) | 2.324 ± 1.868 | 1.512 ± 0.646 | 4.189 ± 1.158 | 2.69 ± 0.44 | 4.046 ± 1.847 | 4.12 ± 1.657 |
| CEC (cmol+ kg−1) | 35.364 ± 39.23 | 30.336 ± 24.2 | 42.428 ± 22.79 | 101.607 ± 6.87 | 59.045 ± 37.73 | 68.03 ± 21.96 |
| CrTot (mg kg−1) | 139.0 ± 188.75 | 205.4 ± 118.70 | 76.55 ± 11.74 | 108.89 ± 23.96 | 76.71 ± 6.198 | 272 ± 30.33 |
| CrH2O (mg kg−1) | 0.0103 ± 0.009 | 0.0204 ± 0.017 | 0.0066 ± 0.002 | 0.0065 ± 0.002 | 0.0105 ± 0.009 | 0.0272 ± 0.004 |
| FeTot (g kg−1) | 30.0 ± 10.31 | 32.8 ± 3.90 | 32.8 ± 3.57 | 34.8 ± 5.57 | 30.08 ± 2.32 | 41.2 ± 1.095 |
| FeH2O (g kg−1) | 0.00122 ± 0.0007 | 0.0012 ± 0.0009 | 0.00026 ± 0.0003 | 0.00028 ± 0.00008 | 0.0019 ± 0.002 | 0.00034 ± 0.0004 |
| NiTot mg kg−1 | 83.9 ± 115.09 | 97.6 ± 58.50 | 37 ± 6.22 | 76.54 ± 23.68 | 34.67 ± 2.71 | 242 ± 35.64 |
| NiH2O (mg kg−1) | 0.0873 ± 0.131 | 0.0682 ± 0.055 | 0.0335 ± 0.012 | 0.0375 ± 0.014 | 0.0359 ± 0.024 | 0.0944 ± 0.093 |
| CdTot mg kg−1 | 0.44 ± 0.1134 | 0.316 ± 0.101 | 0.195 ± 0.030 | 0.511 ± 0.067 | 0.2431 ± 0.036 | 0.386 ± 0.051 |
| CdH2O (mg kg−1) | 0.00048 ± 0.0005 | 0.00093 ± 0.0008 | 0.000083 ± 0.00005 | 0.000172 ± 0.0001 | 0.000254 ± 0.0003 | 0.0001 ± 0.000008 |
| ZnTot mg kg−1 | 97.9 ± 0.03 | 85.2 ± 0.021 | 67.1 ± 0.006 | 120.7 ± 0.033 | 68.1 ± 0.007 | 116 ± 0.005 |
| ZnH2O (mg kg−1) | 0.0557 ± 0.039 | 0.1016 ± 0.089 | 0.0041 ± 0 | 0.0255 ± 0.014 | 0.0496 ± 0.061 | 0.0182 ± 0.022 |
| SeTot mg kg−1 | 0.243 ± 0.12 | 0.334 ± 0.011 | 0.25 ± 0.08 | 0.643 ± 0.237 | 0.228 ± 0.081 | 0.426 ± 0.035 |
| SeH2O mg kg−1 | 0.0085 ± 0.002 | 0.0109 ± 0.003 | 0.0103 ± 0.002 | 0.0175 ± 0.004 | 0.0089 ± 0.002 | 0.0132 ± 0.001 |
Disclaimer/Publisher’s Note: The statements, opinions and data contained in all publications are solely those of the individual author(s) and contributor(s) and not of MDPI and/or the editor(s). MDPI and/or the editor(s) disclaim responsibility for any injury to people or property resulting from any ideas, methods, instructions or products referred to in the content. |
© 2023 by the authors. Licensee MDPI, Basel, Switzerland. This article is an open access article distributed under the terms and conditions of the Creative Commons Attribution (CC BY) license (https://creativecommons.org/licenses/by/4.0/).
Share and Cite
Galić, L.; Galić, V.; Ivezić, V.; Zebec, V.; Jović, J.; Đikić, M.; Filipović, A.; Manojlović, M.; Almås, Å.R.; Lončarić, Z. Modelling Leverage of Different Soil Properties on Selenium Water-Solubility in Soils of Southeast Europe. Agronomy 2023, 13, 824. https://doi.org/10.3390/agronomy13030824
Galić L, Galić V, Ivezić V, Zebec V, Jović J, Đikić M, Filipović A, Manojlović M, Almås ÅR, Lončarić Z. Modelling Leverage of Different Soil Properties on Selenium Water-Solubility in Soils of Southeast Europe. Agronomy. 2023; 13(3):824. https://doi.org/10.3390/agronomy13030824
Chicago/Turabian StyleGalić, Lucija, Vlatko Galić, Vladimir Ivezić, Vladimir Zebec, Jurica Jović, Mirha Đikić, Adrijana Filipović, Maja Manojlović, Åsgeir Rossebø Almås, and Zdenko Lončarić. 2023. "Modelling Leverage of Different Soil Properties on Selenium Water-Solubility in Soils of Southeast Europe" Agronomy 13, no. 3: 824. https://doi.org/10.3390/agronomy13030824
APA StyleGalić, L., Galić, V., Ivezić, V., Zebec, V., Jović, J., Đikić, M., Filipović, A., Manojlović, M., Almås, Å. R., & Lončarić, Z. (2023). Modelling Leverage of Different Soil Properties on Selenium Water-Solubility in Soils of Southeast Europe. Agronomy, 13(3), 824. https://doi.org/10.3390/agronomy13030824

