Sign in to use this feature.

Years

Between: -

Subjects

remove_circle_outline
remove_circle_outline
remove_circle_outline
remove_circle_outline
remove_circle_outline
remove_circle_outline
remove_circle_outline
remove_circle_outline
remove_circle_outline

Journals

remove_circle_outline
remove_circle_outline
remove_circle_outline
remove_circle_outline
remove_circle_outline
remove_circle_outline
remove_circle_outline
remove_circle_outline
remove_circle_outline
remove_circle_outline
remove_circle_outline

Article Types

Countries / Regions

remove_circle_outline
remove_circle_outline
remove_circle_outline
remove_circle_outline
remove_circle_outline
remove_circle_outline

Search Results (1,563)

Search Parameters:
Keywords = soil structure stability

Order results
Result details
Results per page
Select all
Export citation of selected articles as:
28 pages, 10120 KB  
Article
Change in the Intensity of Soil Erosion via Water in the Vistula River Basin in Future Climate: A Comparison of the RCP 4.5 and RCP 8.5 Scenarios (2021–2050) Using the MUSLE Model
by Damian Badora, Rafał Wawer, Aleksandra Król-Badziak, Beata Bartosiewicz and Jerzy Kozyra
Water 2026, 18(3), 391; https://doi.org/10.3390/w18030391 (registering DOI) - 3 Feb 2026
Abstract
This study aims to assess how climate change will affect the intensity of soil erosion in the Vistula River basin by the mid-21st century. A simulation framework based on the SWAT–MUSLE model was applied, calibrated, and validated against observed streamflow data and driven [...] Read more.
This study aims to assess how climate change will affect the intensity of soil erosion in the Vistula River basin by the mid-21st century. A simulation framework based on the SWAT–MUSLE model was applied, calibrated, and validated against observed streamflow data and driven by climatic forcings from the EURO-CORDEX ensemble (the RACMO22E, HIRHAM5, and RCA4 models forced by EC-EARTH GCM) under the RCP 4.5 and RCP 8.5 scenarios. Simulations were conducted at a daily time step for the years 2021–2050 and compared to the reference period 2013–2018. The analysis included the decadal and seasonal aggregation of the sediment yield (SYLD, t ha−1 yr−1). The results indicate that, relative to the baseline value (~1.84 t ha−1 yr−1), the SYLD increases under both scenarios. In RCP 4.5, the rise culminates during 2031–2040 and then stabilizes in 2041–2050. Under RCP 8.5, a continuous upward trend is observed, with the highest values projected for 2041–2050, particularly for the HIRHAM5 realization. The largest relative increases occur in summer (JJA) and, in the final decade, also in autumn (SON); in the early horizon, autumn may locally exhibit declines that later shift to increases. The spread among RCM realizations remains significant and should be interpreted as an expression of projection uncertainty. The practical implications include prioritizing soil protection measures in sub-catchments with high LS factors and soils susceptible to water erosion, strengthening runoff and sediment control in summer, and planning maintenance of small-scale retention infrastructure. Study limitations arise from the inherent structure of the MUSLE model, bias correction procedures for climate data, and the representation of extreme events. Therefore, greater emphasis is placed on the direction and seasonality of changes rather than absolute numerical values. Full article
(This article belongs to the Section Water Erosion and Sediment Transport)
Show Figures

Figure 1

18 pages, 13480 KB  
Article
Assessing Ecological Security Pattern by Integrating Multiple Risks in the Structure–Process–Function Framework: A Case Study from Heilongjiang Province, China
by Dehui Meng, Yuanxiang Wu, Mingfeng Zhang, Youcheng Pan, Tingting Li, Hao Zhang and Haochen Li
Land 2026, 15(2), 259; https://doi.org/10.3390/land15020259 - 3 Feb 2026
Abstract
Ecological security is fundamental to human survival and sustainable development. However, current assessment frameworks often lack regional adaptability. They also frequently overlook the security risks associated with landscape patterns. To address these gaps, this study establishes a “structure–process–function” framework that integrates potential ecological [...] Read more.
Ecological security is fundamental to human survival and sustainable development. However, current assessment frameworks often lack regional adaptability. They also frequently overlook the security risks associated with landscape patterns. To address these gaps, this study establishes a “structure–process–function” framework that integrates potential ecological risks. Using Heilongjiang Province as a case study, we assessed the spatiotemporal evolution of its ecological security pattern. The results indicate that: (1) The average ecological security pattern index (ESPI) values for Heilongjiang in 2000, 2010, and 2020 were 0.6869, 0.6573, and 0.6752, respectively. This trend exhibits an initial decline followed by partial recovery, with unsafe areas distributed sporadically. (2) The spatial pattern remained relatively stable but showed significant regional heterogeneity. Yichun City achieved the highest security level, while insecure areas were primarily concentrated in Daqing City. (3) Regarding specific dimensions, habitat fragmentation (structural security) was prevalent in central agricultural and urban areas; soil erosion (process security) remained significant in the southeastern regions, despite overall stability; and ecosystem services (functional security) followed a “degradation–adjustment–recovery” trend from 2000 to 2020. This framework effectively achieves the coupled assessment of landscape patterns and ecological security, providing scientific support for regional ecological management. Full article
(This article belongs to the Section Landscape Ecology)
Show Figures

Figure 1

35 pages, 51007 KB  
Article
Microclimates, Geometry, and Constructive Sustainability of the Inca Agricultural Terraces of Moray, Cusco, Peru
by Doris Esenarro, Celeste Hidalgo, Jesica Vilchez Cairo, Guisela Yabar, Tito Vilchez, Percy Zapata, Daniel Bermudez and Ana Camayo
Heritage 2026, 9(2), 56; https://doi.org/10.3390/heritage9020056 - 2 Feb 2026
Abstract
Moray (Cusco, Peru) represents one of the most sophisticated examples of Inca agricultural engineering, where architecture, environmental management, and constructive systems converge to generate controlled microclimates for agricultural experimentation. Recognized as an important archaeological heritage site, Moray provides valuable insight into ancestral Andean [...] Read more.
Moray (Cusco, Peru) represents one of the most sophisticated examples of Inca agricultural engineering, where architecture, environmental management, and constructive systems converge to generate controlled microclimates for agricultural experimentation. Recognized as an important archaeological heritage site, Moray provides valuable insight into ancestral Andean strategies for adapting agriculture to complex high-altitude environments. However, the site is increasingly exposed to environmental pressures associated with climatic variability, soil erosion, structural collapses, and tourism intensity. This study aims to analyze the relationship between microclimates, geometric design, and constructive sustainability of the Moray archaeological complex through integrated spatial, functional, and constructive analyses, supported by digital tools such as Google Earth Pro, AutoCAD 2023, SketchUp 2023, and environmental simulations developed by Andrew Marsh. The research examines the geometric configuration of the circular terraces, which present radii between 45 and 65 m, heights ranging from 3 to 5 m, and slope variations between 14% and 48%, generating temperature gradients of 12–15 °C between upper and lower levels. These conditions enabled the Incas to experiment with and adapt diverse ecological species across different thermal zones. The study also evaluates the irrigation and infiltration systems composed of gravel, sand, and stone layers that ensured soil stability and moisture regulation. Climate data from SENAMHI (2019–2024) indicate that Moray is located in a semi-arid meso-Andean environment, reinforcing its interpretation as an ancestral environmental laboratory. The results demonstrate Inca mastery in integrating environmental design, hydrological engineering, and agricultural experimentation while also identifying current conservation challenges related to erosion processes, structural deterioration, and tourism pressure. This research contributes to understanding Moray as a climate-sensitive heritage system, offering insights relevant to contemporary strategies for sustainable agriculture, climate adaptation, and heritage conservation in Andean regions. Full article
28 pages, 6424 KB  
Article
Investigation on the Improvement of Geogrid Performance Based on Topology Optimization of Aperture Shape
by Linman Cao, Yumin Chen, Saeed Sarajpoor, Xiaofei Yao, Xiuwei Zhao, Yanan Meng and Runze Chen
Buildings 2026, 16(3), 625; https://doi.org/10.3390/buildings16030625 - 2 Feb 2026
Abstract
Geogrids significantly enhance the soil matrix stability and foundation bearing capacity. Despite the development of numerous geogrid configurations, their geometric design has not yet been systematically optimized. The design of geogrid aperture geometry aims to maximize geogrid performance while maintaining material efficiency. Nevertheless, [...] Read more.
Geogrids significantly enhance the soil matrix stability and foundation bearing capacity. Despite the development of numerous geogrid configurations, their geometric design has not yet been systematically optimized. The design of geogrid aperture geometry aims to maximize geogrid performance while maintaining material efficiency. Nevertheless, topology optimized geogrid designs remain underexplored, particularly regarding the influence of aperture shape on interface shear behavior. To address this gap, this study developed SIMP-based variable density topology optimization models for three types of tensile geogrid structures: uniaxial, biaxial, and triaxial geogrid. The effects of key model parameters on the optimization results are examined, resulting in new geogrid geometries optimized primarily to minimize compliance, achieving weight reductions of 7%, 10%, and 12%, respectively. Subsequently, FLAC3D was used for tensile performance analysis, while coupled PFC3D–FLAC3D was employed for interfacial friction performance analysis. In FLAC3D, numerical simulations demonstrated that the topologically optimized geogrid outperformed conventional ones in both tensile resistance and strain distribution. Consequently, conventional biaxial and triaxial geogrids, along with their topologically optimized versions, were chosen for further analysis. Pull-out interface simulations of these geogrids were conducted using the coupled discrete element–finite difference method (PFC3D–FLAC3D) to investigate the influence of geogrid aperture shape and aperture ratio on the soil–geogrid interface. The results indicate that the reinforcement efficiency of the topologically optimized biaxial and triaxial geogrids was 10% and 8% higher, respectively, than that of the conventional geogrids. Taking the biaxial geogrid as an example, a comprehensive comparison of performance parameters between the conventional and topology-optimized versions revealed that the optimized design achieved a 10% reduction in weight. Simultaneously, it reduced stress concentration at critical locations by approximately 60% and increased the interface pull-out resistance by 20%. These findings demonstrate that the new topologically optimized geogrid exhibits significant potential for further promotion and application in practical engineering. Full article
Show Figures

Figure 1

14 pages, 4775 KB  
Article
Combined Experimental, DFT, and MD Investigation Toward the Rational Design of Desert Planting Substrates
by Shuangnan Li, Linjie Wang, Yinghui Li, Zhenyu Zhang, Jidun Fang and Shiling Yuan
Molecules 2026, 31(3), 508; https://doi.org/10.3390/molecules31030508 - 2 Feb 2026
Abstract
Soil moisture regulation is critical for vegetation restoration in arid ecosystems. Polymeric hydrogels, notably polyacrylic acid (PAA) and polyacrylamide (PAM), are widely employed as water-retaining agents to enhance soil water availability. However, the coupling between their distinct chemical structures and key performance metrics, [...] Read more.
Soil moisture regulation is critical for vegetation restoration in arid ecosystems. Polymeric hydrogels, notably polyacrylic acid (PAA) and polyacrylamide (PAM), are widely employed as water-retaining agents to enhance soil water availability. However, the coupling between their distinct chemical structures and key performance metrics, particularly cycling stability and water retention kinetics in desert substrates, remains unclear. In this work, we present an integrated experimental–computational study to establish a “molecular structure–interfacial behavior–macroscopic property” framework for PAA and PAM. The results show that PAA exhibits a higher equilibrium water absorption (WAC ~242 g/g) and more stable water uptake capacity under cycling, whereas PAM displays much higher zero-shear viscosity and pronounced shear thinning with a yield plateau (~30 Pa). DFT and MD simulations trace these macroscopic disparities to their distinct electronic structures and hydration dynamics. Specifically, PAA’s strong electrostatic interactions and extended chain conformations promote a more rigid and ordered hydration shell, whereas PAM adopts a compact structure with greater chain mobility, resulting in a less ordered hydration layer. Collectively, these findings provide a structure-property framework for the scientifically grounded selection of water-retaining agents. The integrated experimental–computational methodology presented herein establishes a predictive framework for the rational design of functional materials in arid land restoration. Full article
(This article belongs to the Special Issue Advances in Molecular Modeling in Chemistry, 3rd Edition)
Show Figures

Graphical abstract

16 pages, 3600 KB  
Article
Freeze–Thaw Effects on the Mechanical Behavior of the Ice–Soil Interface in Cultivated Black Soils of Northeast China
by Shiyu Hou, Zengbi Yue, Jun Wang and Bin Wang
Water 2026, 18(3), 378; https://doi.org/10.3390/w18030378 - 2 Feb 2026
Abstract
Seasonal freeze–thaw cycles profoundly alter soil physical properties in cold-region agroecosystems, yet their effects on the mechanical behavior of the ice–soil interface remain poorly quantified. This interface plays a critical role in governing soil structural stability, detachment resistance, and subsequent erosion processes during [...] Read more.
Seasonal freeze–thaw cycles profoundly alter soil physical properties in cold-region agroecosystems, yet their effects on the mechanical behavior of the ice–soil interface remain poorly quantified. This interface plays a critical role in governing soil structural stability, detachment resistance, and subsequent erosion processes during thaw periods, particularly in the black soil region of Northeast China. In this study, controlled laboratory experiments were conducted to investigate the evolution of ice–soil interface mechanical properties under varying freeze–thaw conditions using cultivated black soils. Key parameters, including interface shear strength and bonding characteristics, were quantified across different freeze–thaw cycles. The results demonstrate that freeze–thaw action significantly weakens the mechanical integrity of the ice–soil interface, with pronounced reductions in shear strength observed after repeated cycles. This degradation is attributed to ice lens formation, pore structure disruption, and the redistribution of interfacial water films during freezing and thawing. Notably, the rate and magnitude of strength loss exhibit strong sensitivity to freeze–thaw frequency, highlighting the cumulative nature of freeze-induced damage at the interface scale. These findings provide mechanistic insights into how freeze–thaw processes modulate soil resistance to external forces during early thaw periods, offering an improved physical basis for understanding soil erosion vulnerability in cold agricultural regions. The results have direct implications for soil conservation strategies and erosion modeling under ongoing climate warming, which is expected to intensify freeze–thaw dynamics in seasonally frozen farmlands. Full article
(This article belongs to the Section Soil and Water)
Show Figures

Figure 1

24 pages, 7459 KB  
Article
Strength Characteristics and Micro-Mechanism of Coral Sand Reinforced by EICP Combined with Aluminum Ions
by Rong Chen, Yirou Yang, Dongxue Hao, Zhaoping Wang and Bingxi Fang
J. Mar. Sci. Eng. 2026, 14(3), 286; https://doi.org/10.3390/jmse14030286 - 31 Jan 2026
Viewed by 84
Abstract
To overcome the high cost, marine ecological risks of traditional coral sand reinforcement, and the insufficient mechanical performance of standalone Enzyme-Induced Carbonate Precipitation (EICP), this study proposes a novel soil improvement method integrating EICP with aluminum chloride hexahydrate (AlCl3·6H2O). [...] Read more.
To overcome the high cost, marine ecological risks of traditional coral sand reinforcement, and the insufficient mechanical performance of standalone Enzyme-Induced Carbonate Precipitation (EICP), this study proposes a novel soil improvement method integrating EICP with aluminum chloride hexahydrate (AlCl3·6H2O). The objectives are to identify optimal EICP curing parameters, evaluate AlCl3·6H2O’s enhancement effect, and reveal the synergistic micro-mechanism. Through aqueous solution, unconfined compressive strength, permeability, X-ray diffraction (XRD), nuclear magnetic resonance (NMR), and Scanning Electron Microscope (SEM) tests, this study systematically investigated the reaction conditions, mechanical properties, anti-seepage performance, mineral composition, and pore structure. The results demonstrate that EICP achieves the best curing effect under specific conditions: temperature of 30 °C, pH of 8, and cementing solution concentration of 1 mol/L. Under these optimal conditions, the unconfined compressive strength of EICP-solidified coral sand columns reaches 761.6 kPa, and the permeability coefficient is reduced by one order of magnitude compared to unsolidified samples. Notably, AlCl3·6H2O incorporation yields a significant synergistic effect, boosting the UCS to 2389.1 kPa (3.14 times standalone EICP) and further reducing permeability by 26%. Micro-mechanism analysis reveals that AlCl3·6H2O acts both by generating cementitious aggregates that provide nucleation sites for uniform calcite deposition and by accelerating the transformation of metastable aragonite and vaterite to stable calcite, thereby enhancing cementation stability. This study delivers a cost-effective, eco-friendly solution for coral sand reinforcement, providing practical technical support for marine engineering in environments like the South China Sea. By addressing the core limitations of conventional bio-cementation, it opens new avenues for advancing soil improvement science and applications. Full article
Show Figures

Figure 1

18 pages, 7030 KB  
Article
Soil Properties and Bacterial Community Responses to Herb Vegetation Succession Beneath Sand-Fixation Plantations in a Sandy Grassland, NE China
by Cong Chen, Ying Zhang, Zhenbo Cui and Chengyou Cao
Agronomy 2026, 16(3), 342; https://doi.org/10.3390/agronomy16030342 - 30 Jan 2026
Viewed by 91
Abstract
Establishing shrub plantations on mobile sand dunes is an effective strategy to combat desertification in semi-arid regions. Herbaceous communities developing beneath these plantations enhance ecosystem stability and improve revegetation outcomes. This study investigated the structural responses of soil bacterial communities, key functional genes [...] Read more.
Establishing shrub plantations on mobile sand dunes is an effective strategy to combat desertification in semi-arid regions. Herbaceous communities developing beneath these plantations enhance ecosystem stability and improve revegetation outcomes. This study investigated the structural responses of soil bacterial communities, key functional genes (nifH, amoA, and phoD), and plant–soil–microbe interactions across a herbaceous vegetation succession gradient (initiation, early, middle, and stable stages) under Caragana microphylla sand-fixation plantations in the sandy Horqin Grassland. The results revealed that plant species richness, diversity, and biomass increased progressively with succession. Concurrent improvements in soil nutrients (organic matter, nitrogen, phosphorus, and potassium) and enzymatic activities (urease, protease, phosphatase, glucosidase, polyphenol oxidase, and dehydrogenase) were observed. The abundances of nifH, amoA, and phoD genes rose progressively with vegetation succession, contributing to enhanced soil nutrient levels. All dominant bacterial phyla and genera detected constituted shared taxa across successional stages, but their relative abundances shifted dynamically. Herbaceous succession facilitated rapid restoration of bacterial diversity, though structural recovery lagged, depending on the quantitative fluctuations of the dominant taxa. Soil pH, organic matter, electrical conductivity, total N, total P, available P, and available K all significantly influenced the soil bacterial community, with pH and organic matter being the most influential factors. These findings highlight plant–soil–microbe interactions as intrinsic drivers of vegetation succession in desertified ecosystems. Full article
(This article belongs to the Special Issue Multifunctionality of Grassland Soils: Opportunities and Challenges)
Show Figures

Figure 1

21 pages, 7406 KB  
Article
Comparison of Limit Equilibrium and Finite Element Method for Slope Stability Analysis
by Slavka Harabinova, Kamila Kotrasova and Eva Panulinova
Buildings 2026, 16(3), 577; https://doi.org/10.3390/buildings16030577 - 29 Jan 2026
Viewed by 106
Abstract
Slope stability is a critical and extensively researched topic that is important in structural design, especially when slopes are located near residential or civil engineering structures, as human lives are at risk. This paper presents a detailed analysis and evaluation of slope stability, [...] Read more.
Slope stability is a critical and extensively researched topic that is important in structural design, especially when slopes are located near residential or civil engineering structures, as human lives are at risk. This paper presents a detailed analysis and evaluation of slope stability, synthesizing current understanding of slope behaviour, soil shear strength parameters, and the methodologies applied in stability assessment. In the conducted parametric study, the stability of slopes composed of fine-grained soils was investigated using both the limit equilibrium method (LEM) and the finite element method (FEM). The principal objective of the research was to assess the influence of soil shear strength parameters on the resulting factor of safety (FoS), while also accounting for variations in slope height. The results of the study show that an increase in soil shear strength parameters leads to a linear increase in FoS, with this relationship being more pronounced for changes in soil cohesion than for changes in the angle of internal friction. The effect of shear strength variations on stability is more pronounced in slopes of smaller height. Furthermore, the comparative analysis indicates that LEM provides more conservative estimates of slope stability in comparison with FEM. Full article
(This article belongs to the Section Building Structures)
Show Figures

Figure 1

17 pages, 9726 KB  
Article
Effect of Mixed Forests on Soil Bacterial Community Structure and Functional Characteristics in the Yellow River Delta
by Tianlong Yan, Yifei Wu, Ruyan Jing, Qi Wang and Xinjing Ding
Sustainability 2026, 18(3), 1347; https://doi.org/10.3390/su18031347 - 29 Jan 2026
Viewed by 118
Abstract
To investigate the effects of mixed forests on soil bacterial characteristics in the Yellow River Delta, pure forests of Ailanthus altissima, Ulmus pumila, Robinia pseudoacacia, and Fraxinus velutina (hereafter Aa, Up, Rp, and Fv, respectively) and mixed forests of Aa-Rp, [...] Read more.
To investigate the effects of mixed forests on soil bacterial characteristics in the Yellow River Delta, pure forests of Ailanthus altissima, Ulmus pumila, Robinia pseudoacacia, and Fraxinus velutina (hereafter Aa, Up, Rp, and Fv, respectively) and mixed forests of Aa-Rp, Up-Rp, Fv-Rp, and Ma (Melia azedarach)-Fv were selected as the research objects. High-throughput sequencing technology was employed to analyze the structure, diversity, and function of bacterial communities in this region. The results showed that Acidobacteria, Proteobacteria, and Actinobacteria were the dominant microbial groups. The relative abundance of Acidobacteria was reduced by mixed patterns of Up-Rp, Fv-Rp and Ma-Fv, and the abundance of Proteobacteria was increased in Ma-Fv. The Chao1, ACE and Shannon indices of Aa-Rp and Fv-Rp were increased, while the Chao1 and ACE indices of Up-Rp and Ma-Fv were decreased. Functional prediction revealed that chemoheterotrophic and aerobic chemoheterotrophic bacteria had the highest abundance, with mixed forests exerting variable effects on different functional bacterial groups. In conclusion, mixed forest management exerts a significant influence on shaping bacterial community structure, regulating its diversity, and facilitating the directional enrichment of functional bacteria, which is conducive to enhancing the stability and sustainability of plantations. Full article
Show Figures

Figure 1

17 pages, 2565 KB  
Article
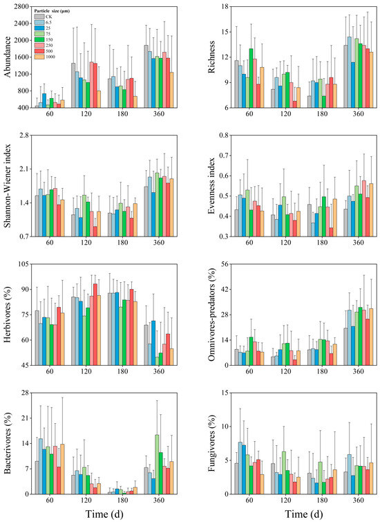
Size- and Time-Dependent Effects of Polyethylene Microplastics on Soil Nematode Communities: A 360-Day Field Experiment
by Tianyao He, Shiyu Zhu, Xiankun Liu, Jie Chen, Liping He, Kehong Wang, Yihua Zhu and Hongzhi Xu
Toxics 2026, 14(2), 127; https://doi.org/10.3390/toxics14020127 - 29 Jan 2026
Viewed by 236
Abstract
Soil ecosystems are seriously contaminated by microplastics of varying particle sizes, yet the ecological consequences across a broader size spectrum remain poorly understood. We conducted a 360-day field experiment to examine the effects of seven microplastic size fractions (ranging from 6.5 μm to [...] Read more.
Soil ecosystems are seriously contaminated by microplastics of varying particle sizes, yet the ecological consequences across a broader size spectrum remain poorly understood. We conducted a 360-day field experiment to examine the effects of seven microplastic size fractions (ranging from 6.5 μm to 1000 μm) on the composition, trophic structure, temporal dynamics, complexity, and stability of soil nematode communities. Results showed that microplastics altered nematode community composition and structure, with impacts clearly dependent on both particle size and exposure time. Microplastics generally reduced the abundance, complexity, and stability of nematode communities, except for the 25 μm and 500 μm particles. Temporal analysis revealed an initial increase in nematode abundance, followed by a long-term decline across most treatments. Structural equation modeling indicated that microplastics regulated nematode diversity and stability through pathways that varied with particle size. We recommend that the environmental risk assessments for soil microplastics incorporate testing across a broad size spectrum and over extended timescales to capture their complex and dynamic impacts. Full article
(This article belongs to the Section Ecotoxicology)
Show Figures

Graphical abstract

18 pages, 4038 KB  
Article
One-Season Polyethylene Mulching Reduces Cadmium Uptake in Rice but Disrupts Rhizosphere Microbial Community Stability: A Double-Edged Sword
by Tao Luo, Runtong Huang, Zheng Lin, Chongfeng Gao, Xiaolong Liu, Shuai Xiao, Liqin Zheng, Shunan Zhang, Rui Du, Lei Wang, Hongxia Duan, Zhimin Xu and Jinshui Wu
Agronomy 2026, 16(3), 329; https://doi.org/10.3390/agronomy16030329 - 28 Jan 2026
Viewed by 121
Abstract
Polyethylene (PE) mulching has been widely practiced in agriculture for decades, but its short-term impacts on heavy metal dynamics and crop safety under field conditions remain poorly understood. In this study, a one-season field trial was carried out in Cd-contaminated paddy to evaluate [...] Read more.
Polyethylene (PE) mulching has been widely practiced in agriculture for decades, but its short-term impacts on heavy metal dynamics and crop safety under field conditions remain poorly understood. In this study, a one-season field trial was carried out in Cd-contaminated paddy to evaluate how PE mulching influences rhizosphere microbial communities, soil physicochemical properties, and Cd accumulation in rice. Results showed that PE mulching improved rice performance, increasing dry grain weight by 14.47% and thousand-grain weight by 1.10 folds, while reducing grain Cd concentration from 0.2307 to 0.1727 mg/kg, below the national safety threshold of 0.2 mg/kg. These effects were closely linked to elevated soil pH, decreased redox potential, and the enrichment of metal-reducing (Geobacteraceae, Desulfuromonadia) and sulfate-reducing (Desulfosporosinus, Methanospirillum) taxa, which promoted Cd immobilization into less bioavailable forms. A structural equation model (SEM) further confirmed that microbial abundance and Cd speciation were key factors associated with Cd uptake by rice. However, PE mulching also reduced microbial diversity and functional redundancy, disrupted co-occurrence networks, and potentially weakened rhizosphere ecosystem stability and resilience in the short term. This study provides field-based evidence that PE mulching reduces food safety risks and improves yield but destabilizes soil microbial communities, highlighting its short-term double-edged ecological effects and the need for balanced management to sustain productivity and soil health. Full article
Show Figures

Figure 1

21 pages, 3861 KB  
Article
A Five-Year Field Investigation of Conservation Tillage on Soil Hydrothermal Regimes and Crop Yield Stability in Semi-Arid Agroecosystems
by Fahui Jiang, Jia Xu, Hao Zhang, Chunlei Hao, Wei Zheng, Yanyan Zuo, Liyan Zhang, Zhe Dong, Limei Bian, Yuhan Yao, Yanhua Ci, Qinglin Li and Fansheng Meng
Agriculture 2026, 16(3), 312; https://doi.org/10.3390/agriculture16030312 - 27 Jan 2026
Viewed by 183
Abstract
The sustainable management of Northern China’s vulnerable agro-pastoral ecotone requires a clearer understanding of how tillage systems affect crop productivity through local soil-climate interactions. Therefore, this study was conducted to quantify and compare the long term effects of different tillage practices on soil [...] Read more.
The sustainable management of Northern China’s vulnerable agro-pastoral ecotone requires a clearer understanding of how tillage systems affect crop productivity through local soil-climate interactions. Therefore, this study was conducted to quantify and compare the long term effects of different tillage practices on soil hydrothermal regimes, resource use efficiency, and maize yield stability in a semi-arid agroecosystem. A long term five-year field experiment with maize was conducted in this ecotone to assess three tillage methods: no tillage (NT), deep ploughing (DP), and conventional rotary tillage (RT). Seasonal monitoring included soil moisture, temperature, bulk density, and straw cover. Analyses focused on soil water use efficiency (WUE), the production efficiency per soil thermal unit (PEsoil), and pathways affecting theoretical calculated yield. Results show that relative to RT and DP, NT consistently elevated soil water content within the 0–30 cm profile during the growing season, with the most marked increases from pre-sowing to the V12 stage. This water-conserving effect was stronger in wet years, highlighting the role of precipitation in NT’s performance. DP also retained more soil water than RT, particularly in deeper layers, though its effect was less pronounced than NT’s. Regarding temperature, NT lowered the daily mean soil temperature and accumulated growing degree days (GDD) in early growth phases, a result of residue cover buffering thermal changes. Despite reduced heat accumulation, NT achieved the greatest efficiencies for both heat and water use (PEsoil and WUE), showing increases of 62.03% and 16.64% over RT, respectively, without yield penalty. Key mechanisms include permanent straw mulch under NT, which curtails evaporation, promotes water infiltration, and stabilizes soil structure, thereby modulating hydrothermal dynamics. Structural equation modeling indicated that soil water content, ear number per hectare, and hundred-kernel weight directly and positively determined final yield. Tillage methods exerted indirect effects on yield by modifying soil physical traits and microclimatic conditions. In this semi-arid setting, both NT and DP outperformed RT in conserving soil water, moderating soil temperature, and boosting resource use efficiency. These practices present viable strategies for strengthening crop resilience and sustaining productivity amid climatic variability. Full article
Show Figures

Graphical abstract

27 pages, 6194 KB  
Review
Biochar Innovations for Organic Pollutant Remediation in Contaminated Soils
by Pengfei Li, Ying Liu, Yangyang Sun and Congyu Zhang
Molecules 2026, 31(3), 432; https://doi.org/10.3390/molecules31030432 - 27 Jan 2026
Viewed by 261
Abstract
Soil contamination by organic pollutants such as polycyclic aromatic hydrocarbons (PAHs), pesticides, pharmaceuticals, and petroleum hydrocarbons has emerged as a global environmental concern due to their persistence, bioaccumulation, and potential health risks. Biochar, a carbon-rich material derived from the pyrolysis of biomass, has [...] Read more.
Soil contamination by organic pollutants such as polycyclic aromatic hydrocarbons (PAHs), pesticides, pharmaceuticals, and petroleum hydrocarbons has emerged as a global environmental concern due to their persistence, bioaccumulation, and potential health risks. Biochar, a carbon-rich material derived from the pyrolysis of biomass, has attracted increasing attention as an environmentally friendly and cost-effective amendment for remediating contaminated soils. This review systematically summarizes recent advances in the application of biochar for the remediation of organic pollutants in soils to guide the development of more effective biochar-based strategies for sustainable soil remediation. The physicochemical properties of biochar influencing pollutant interactions are discussed, including surface area, pore structure, functional groups, and aromaticity. Mechanisms such as adsorption, sequestration, microbial interaction enhancement, and catalytic degradation are elucidated. Moreover, this review highlights the influence of feedstock types, pyrolysis conditions, biochar modification strategies, and environmental factors on biochar performance. The analysis reveals that biochar performance is strongly dependent on feedstock selection, pyrolysis conditions, and post-modification strategies, which jointly determine pollutant immobilization efficiency and long-term stability. Current challenges, such as long-term stability, pollutant desorption, and ecological impacts, are critically examined. Finally, future perspectives on the design of engineered biochar and its integration with other remediation technologies are proposed. Rationally engineered biochar, particularly when integrated with biological or physicochemical remediation technologies, demonstrates strong potential for efficient and sustainable soil remediation. Full article
Show Figures

Graphical abstract

16 pages, 824 KB  
Article
Exopolysaccharides from Rhizobium tropici Promote the Formation and Stability of Soil Aggregates: Insights from Soil Incubation
by Xinyun Xie, Steve L. Larson, John H. Ballard, Qinku Zhang, Huimin Zhang and Fengxiang X. Han
Agronomy 2026, 16(3), 314; https://doi.org/10.3390/agronomy16030314 - 26 Jan 2026
Viewed by 144
Abstract
This study aimed to investigate the effects of r-type exopolysaccharides (EPSs) produced by the symbiotic bacteria Rhizobium tropici on soil aggregate formation and stability in loess sandy soil and to elucidate the independent and synergistic roles of EPSs in soil structure development. Experiments [...] Read more.
This study aimed to investigate the effects of r-type exopolysaccharides (EPSs) produced by the symbiotic bacteria Rhizobium tropici on soil aggregate formation and stability in loess sandy soil and to elucidate the independent and synergistic roles of EPSs in soil structure development. Experiments were conducted under both sterile and non-sterile soil conditions to distinguish the direct effects of EPSs from their interactions with indigenous soil microorganisms. Soil samples were treated with varying concentrations of EPSs and compared with untreated controls after undergoing a simulated weathering process. Aggregates were classified into four size fractions: <53 μm, 53–250 μm, 250–2000 μm, and 2000–5000 μm. Aggregate distribution and soil stability indicators, including the percentage of water-stable aggregates larger than 0.25 mm, mean weight diameter (MWD), geometric mean diameter (GMD), and fractal dimension (D), were analyzed. EPS application significantly promoted the formation of larger soil aggregates (>53 μm), with approximately 80% increases in the number of aggregates in the 53–250 μm and 2000–5000 μm fractions compared to the control. Soil stability was markedly enhanced, with a 41.7% increase in >0.25 mm water-stable aggregates, a 36.4% rise in MWD, and a 0.3% increase in GMD. The D decreased by 1.2% under 0.2‰ EPS treatment, indicating a more ordered soil structure. EPSs play a key role in promoting soil aggregate formation and enhancing soil stability. While microbial presence has a limited short-term effect on aggregation, the synergistic interaction between microorganisms and EPSs over time significantly enhances soil stability. This study provides new insights into understanding the independent and synergistic roles of EPSs in soil structure formation. Full article
(This article belongs to the Section Soil and Plant Nutrition)
Show Figures

Graphical abstract

Back to TopTop