Sign in to use this feature.

Years

Between: -

Subjects

remove_circle_outline
remove_circle_outline
remove_circle_outline
remove_circle_outline
remove_circle_outline
remove_circle_outline
remove_circle_outline
remove_circle_outline
remove_circle_outline

Journals

remove_circle_outline
remove_circle_outline
remove_circle_outline
remove_circle_outline
remove_circle_outline
remove_circle_outline
remove_circle_outline
remove_circle_outline
remove_circle_outline
remove_circle_outline
remove_circle_outline
remove_circle_outline
remove_circle_outline
remove_circle_outline
remove_circle_outline
remove_circle_outline
remove_circle_outline
remove_circle_outline
remove_circle_outline
remove_circle_outline
remove_circle_outline

Article Types

Countries / Regions

remove_circle_outline
remove_circle_outline
remove_circle_outline
remove_circle_outline
remove_circle_outline
remove_circle_outline
remove_circle_outline
remove_circle_outline
remove_circle_outline
remove_circle_outline

Search Results (5,646)

Search Parameters:
Keywords = soil materials

Order results
Result details
Results per page
Select all
Export citation of selected articles as:
19 pages, 2797 KB  
Article
Impact of Water Content and Stone Content on the Shear Strength of Soil–Rock Mixtures: An Experimental Study
by Jinhua Wang, Yongliang Jiang, Xiaolin Tang, Yulin Wang, Zemeng Zhao, Biao Jin, Hanchao Yu and Shaojie Liao
Buildings 2025, 15(22), 4119; https://doi.org/10.3390/buildings15224119 (registering DOI) - 15 Nov 2025
Abstract
The mechanical characteristics of soil–rock mixtures (SRMs) are significantly influenced by its material composition, composition ratio, water content, and a variety of other influencing factors. A total of 120 SRMs samples with different stone contents and water contents, sourced from typical cohesive soil [...] Read more.
The mechanical characteristics of soil–rock mixtures (SRMs) are significantly influenced by its material composition, composition ratio, water content, and a variety of other influencing factors. A total of 120 SRMs samples with different stone contents and water contents, sourced from typical cohesive soil and crushed stone in the Wuyishan region of Fujian Province, were prepared and subjected to large-scale direct shear tests. This research investigated how stone content, water content, and normal stress impact the shear stress–shear displacement behavior of the SRMs, as well as their influence on internal friction angle, cohesion, and shear strength. The results indicated that the shear stress–shear displacement curves of the SRMs exhibit similar patterns across different conditions, with shear stress increasing with shear displacement. The increase rate correlated closely with water and rock content, as well as normal stress. The shear strength, which adheres to the Mohr–Coulomb criterion, increased with rising stone content. It initially increased and then decreased as water content rose and reached a peak at the optimal water content. Higher stone content reduced shear strength sensitivity to water content changes. The internal friction angle diminished in response to elevated water content, while conversely, it experienced an augmentation with a heightened concentration of stone. It was less affected by water content at higher stone contents. The cohesion decreased as rock content increased, and it initially increased before decreasing with rising water content. Furthermore, as stone content grew, the effect of water content on cohesion became less pronounced. Full article
(This article belongs to the Section Building Materials, and Repair & Renovation)
Show Figures

Figure 1

32 pages, 3930 KB  
Review
Recent Advances in Agricultural Sensors: Towards Precision and Sustainable Farming
by Jiaqi Lin and Shuping Wu
Chemosensors 2025, 13(11), 399; https://doi.org/10.3390/chemosensors13110399 - 14 Nov 2025
Abstract
Global population growth, intensifying climate change, and escalating food security demands are mounting. In response, modern agriculture must transcend the limitations of traditional experience-based cultivation models to address issues such as low resource utilization, poor environmental adaptability, and significant yield fluctuations. As the [...] Read more.
Global population growth, intensifying climate change, and escalating food security demands are mounting. In response, modern agriculture must transcend the limitations of traditional experience-based cultivation models to address issues such as low resource utilization, poor environmental adaptability, and significant yield fluctuations. As the core technical support of smart agriculture, agricultural sensors have become the key to transformation. This review systematically introduces the classification and working principles of current mainstream agricultural sensors: according to the monitoring parameters, they can be divided into humidity sensors, light sensors, gas sensors, pressure sensors, nutrient sensors, etc. At the same time, breakthroughs in emerging technologies such as microneedle sensing, nanosensing, and wireless sensor networks are being explored, which are breaking the application limitations of traditional sensors in complex agricultural environments. Combined with specific cases, the practical value of sensor technology is improving in agricultural drought monitoring, soil detection, and agricultural product quality assessment. Looking ahead, if agricultural sensors can overcome existing limitations through breakthroughs in material innovation, multi-sensor unit integration, and artificial intelligence algorithm fusion, this will provide stronger technological support for the further advancement of smart agriculture. Full article
(This article belongs to the Special Issue Application of Chemical Sensors in Smart Agriculture)
Show Figures

Figure 1

22 pages, 1902 KB  
Article
Soil De-Sealing and Recycled Aggregates Application: One Year of Monitoring
by Gaia Mascetti, Roberto Comolli, Francesca Pittino, Isabella Gandolfi and Chiara Ferré
Soil Syst. 2025, 9(4), 128; https://doi.org/10.3390/soilsystems9040128 - 14 Nov 2025
Abstract
De-sealing, or depaving, is increasingly adopted to restore soil permeability and support green infrastructure, yet its potential to recover soil functions remains insufficiently understood. This study reports one year of soil monitoring following the de-sealing of a brownfield site in Milan (Italy). It [...] Read more.
De-sealing, or depaving, is increasingly adopted to restore soil permeability and support green infrastructure, yet its potential to recover soil functions remains insufficiently understood. This study reports one year of soil monitoring following the de-sealing of a brownfield site in Milan (Italy). It compares the evolution of pedoclimatic parameters in sealed and de-sealed soils and assesses the suitability of recycled aggregates (RAs) from demolition waste as a soil-forming material. Buried sensors continuously recorded pedoclimatic parameters, temperature, water content, and oxygen concentration, while periodic sampling was carried out to analyse soil chemical properties, bacterial community composition, and the quality of percolation water (heavy metal content). De-sealing immediately improved pedoclimatic conditions, enhancing soil aeration, water regulation, and heat exchange capacity. No significant variation was detected in soil chemical properties, apart from pH fluctuations linked to the leaching of alkaline ions from concrete-based RAs. The presence of RAs caused no adverse effects on either soil or percolation water. Bacterial community composition was strongly associated with soil organic carbon, C:N ratio, and soil water content, without showing clear temporal trends. Overall, the study demonstrates that de-sealing rapidly triggers soil functional recovery and that, when properly characterised for composition and contamination risk, RAs pose no evident threat to the surrounding environment. Full article
Show Figures

Figure 1

16 pages, 1757 KB  
Article
Synergistic Remediation of Cr(VI) and P-Nitrophenol Co-Contaminated Soil Using Metal-/Non-Metal-Doped nZVI Catalysts with High Dispersion in the Presence of Persulfate
by Yin Wang, Siqi Xu, Yixin Yang, Yule Gao, Linlang Lu, Hu Jiang and Xiaodong Zhang
Catalysts 2025, 15(11), 1077; https://doi.org/10.3390/catal15111077 - 13 Nov 2025
Abstract
In this work, two novel nanoscale zero-valent iron (nZVI) composites (nanoscale zero-valent iron and copper-intercalated montmorillonite (MMT-nFe0/Cu0) and carbon microsphere-supported sulfurized nanoscale zero-valent iron (CMS@S-nFe0)) were used to treat soil contaminated with both Cr(VI) and p-nitrophenol (PNP), [...] Read more.
In this work, two novel nanoscale zero-valent iron (nZVI) composites (nanoscale zero-valent iron and copper-intercalated montmorillonite (MMT-nFe0/Cu0) and carbon microsphere-supported sulfurized nanoscale zero-valent iron (CMS@S-nFe0)) were used to treat soil contaminated with both Cr(VI) and p-nitrophenol (PNP), and added persulfate (PMS). Experiments found that the pollutant removal effect has a great relationship with the ratio of water to soil, the amount of catalyst, the amount of PMS, and the pH value. When the conditions are adjusted to the best (water–soil = 2:1, catalyst 30 g/kg, PMS 15 g/kg, pH 7–9), both materials fix Cr(VI) well and decompose PNP. The removal rates of Cr(VI) and PNP by the MMT-nFe0/Cu0 system are 90.4% and 72.6%, respectively, while the CMS@ S-nFe0 system is even more severe, reaching 94.8% and 81.3%. Soil column leaching experiments also proved that the fixation effect of Cr can last for a long time and PNP can be effectively decomposed. Through detection methods such as X-ray diffraction (XRD), Fourier transform infrared spectroscopy (FT-IR) and X-ray photoelectron spectroscopy (XPS), we found that Cr(VI) was effectively reduced to Cr(III) by Fe0 and Fe2+ ions and subsequently transformed into stable FeCr2O4 spinel oxides, and the groups produced after the decomposition of PNP could also help fix the metal. This work provides a way to simultaneously treat Cr(VI) and PNP pollution, and also allows the use of multifunctional nZVI composites in complex soil environments. Full article
(This article belongs to the Special Issue Porous Catalytic Materials for Environmental Purification)
Show Figures

Figure 1

16 pages, 5287 KB  
Article
How to Minimize the Impact of Biochar on Soil Salinity in Drylands? Lessons from a Data Synthesis
by Haiyang Yu, Biyun Feng, Yuanyuan Dong, Xinyue Song, Xiaojing Sun, Xiaoyue Song, Xiaojing Li, Guomei Guo, Dezhi Bai and Chao Kong
Agronomy 2025, 15(11), 2609; https://doi.org/10.3390/agronomy15112609 - 13 Nov 2025
Abstract
Biochar application in dry regions holds promise for improving soil properties, but its impact on soil salinity remains controversial. To evaluate the short-term effect of biochar on soil salinity under dry conditions, we conducted a meta-analysis of 149 observations from 40 peer-reviewed publications [...] Read more.
Biochar application in dry regions holds promise for improving soil properties, but its impact on soil salinity remains controversial. To evaluate the short-term effect of biochar on soil salinity under dry conditions, we conducted a meta-analysis of 149 observations from 40 peer-reviewed publications conducted in Mediterranean, arid, and semi-arid climates, or under simulated dry/saline conditions. Overall, biochar addition significantly increased soil electrical conductivity (EC) by 34.63% compared to controls. However, this effect was highly dependent on pedoclimatic conditions, soil pH, biochar feedstock types, pH and EC, irrigation practices, and management factors. The most substantial increases in salinity occurred when applying biochar produced from high-ash feedstocks (e.g., seafood shell powder, peanut shell), at high application rates (>20 t ha−1), to soils with low initial organic carbon content, or in the absence of a leaching fraction. In contrast, the use of biochar made from low-ash ligneous materials at rates ≤ 20 t ha−1 did not significantly increase soil EC. Random forest analysis identified biochar EC, initial soil EC, and biochar pH as the most influential factors. We conclude that the risk of biochar-induced salinization in drylands can be effectively minimized by selecting appropriate lower-EC biochar, applying it at moderate application rates, and implementing irrigation with a leaching fraction. These findings provide critical guidelines for the sustainable implementation of biochar technology in water-scarce environments. Full article
(This article belongs to the Section Farming Sustainability)
Show Figures

Figure 1

30 pages, 2372 KB  
Article
Towards Circular Biobased Materials: Enhancing Unfired Adobe with Grape Pomace—A Comprehensive Analysis
by Monica C. M. Parlato, Andrea Pezzuolo, Anna Perbellini, Edoardo Piana and Lorenzo Guerrini
Agronomy 2025, 15(11), 2605; https://doi.org/10.3390/agronomy15112605 - 12 Nov 2025
Viewed by 85
Abstract
This research pioneers the incorporation of grape pomace (GP) as a sustainable additive in unfired adobe construction materials, establishing a novel circular pathway that valorises agro-waste in zero-emission, low-energy building components. Five mix designs were developed with GP contents of 0%, 2.5%, 5%, [...] Read more.
This research pioneers the incorporation of grape pomace (GP) as a sustainable additive in unfired adobe construction materials, establishing a novel circular pathway that valorises agro-waste in zero-emission, low-energy building components. Five mix designs were developed with GP contents of 0%, 2.5%, 5%, 7.5%, and 10% by weight, using a soil matrix composed of 15% clay, 25% silt, and 60% sand with a 20% water content. Comprehensive characterization included physical properties, mechanical performance, thermal behavior, acoustic properties, and durability assessment. The incorporation of GP demonstrated dose-dependent effects on all measured properties. Bulk density decreased linearly from 1951 kg/m3 (0%GP) to 1595 kg/m3 (10%GP), representing an 18.3% reduction. Optimal mechanical performance was achieved at a 2.5–5% GP content, with compressive strength ranging from 1.51–1.64 MPa and flexural strength of 0.56–0.80 MPa, while higher GP contents resulted in significant strength reductions. Thermal conductivity improved substantially, decreasing from 0.99 to 0.25 W/Mk (66% RH) with increasing GP content, indicating enhanced insulation properties. The sound insulation performance showed a single-value sound reduction index (Rw) of 41–43 dB for all compositions, making them suitable for facade applications. Statistical analysis revealed significant correlations between GP content and material properties. The results indicate an optimal GP content of around 5%, which balances mechanical integrity, thermal performance, and durability while providing environmental benefits through the valorization of agro-waste. This research offers a sustainable approach for producing low-energy, eco-friendly building materials by incorporating grape pomace into unfired adobe, promoting waste valorization and improved thermal and acoustical insulation for green construction. Further research is needed to assess durability performance, standardize production methods, and evaluate large-scale implementation. Full article
Show Figures

Figure 1

20 pages, 23211 KB  
Article
Performance Degradation Mechanism of New Grouting Filling Material Under Goaf Erosion Environment
by Han Yang, Junwu Xia, Yujing Wang, Yu Zhou, Kangjia Song and Siyong Tan
Materials 2025, 18(22), 5147; https://doi.org/10.3390/ma18225147 - 12 Nov 2025
Viewed by 77
Abstract
This study aims to resolve the “secondary activation” challenge when erecting structures over goaf zones by employing a novel grouting and filling material. It delves into the performance degradation of the innovative ECS soil grouting filling material (ESGF material) within the goaf’s ionic [...] Read more.
This study aims to resolve the “secondary activation” challenge when erecting structures over goaf zones by employing a novel grouting and filling material. It delves into the performance degradation of the innovative ECS soil grouting filling material (ESGF material) within the goaf’s ionic erosion context. Erosion tests were performed on ESGF material specimens with varying mix designs to mimic the sulfate and chloride erosion scenarios commonly encountered in practical engineering. The macro-mechanical properties and microstructural changes of ESGF materials under ionic erosion environment were systematically investigated by various testing methods, such as unconfined compressive strength (UCS), SEM, XRD, TG, FTIR, and Raman. The findings indicate that both sulfate and chloride erosion lead to a reduction in the strength of the ESGF material. As erosion progresses, the specimens experience a mass increase followed by a decrease, with their strength exhibiting a consistent downward trend. In sulfate erosion conditions, the buildup of expansion product like ettringite (AFt) and thaumasite (TSA) inflicts substantial internal structural damage. Conversely, Friedel’s salt, the primary product of chloride erosion, exhibits relatively weaker expansiveness, and chloride concentration exerts a less pronounced effect on material degradation. Moreover, the cementitious material content and the proportion of quick-setting component play a significant role in determining the ESGF material’s resistance to erosion. By adjusting the quick-setting components ratio in response to changes in the water content of soft soil, the anti-ion erosion performance of solidified soil can be effectively enhanced. Notably, curing with a 5% sulfate maintenance could significantly improve the erosion resistance of ESGF material. This suggests that ESGF materials can be used without concern for curing issues in high-salinity environments during grouting. The research addresses the root cause of goaf subsidence while facilitating the recycling of solid waste, offering an environmentally friendly solution. Full article
(This article belongs to the Section Advanced Materials Characterization)
Show Figures

Figure 1

25 pages, 5863 KB  
Article
Research on the Possibilities of Reusing Mixed Reclaimed Asphalt Materials with a Focus on the Circular Economy
by Martin Decký, Eva Remišová and Martin Samek
Appl. Sci. 2025, 15(22), 12004; https://doi.org/10.3390/app152212004 - 12 Nov 2025
Viewed by 156
Abstract
This article presents the results of a 10-year research study on the possibilities of implementing circular economy principles into the recovery of construction waste in road construction and paving traffic areas. According to Eurostat, construction waste accounts for approximately 25–30% of the total [...] Read more.
This article presents the results of a 10-year research study on the possibilities of implementing circular economy principles into the recovery of construction waste in road construction and paving traffic areas. According to Eurostat, construction waste accounts for approximately 25–30% of the total amount of waste produced in Europe. New legislative policies strongly support selective demolition and recycling with the aim of recycling at least 70% of construction waste. The subject of this research was mixed reclaimed asphalt material (MRAM) composed of 70% asphalt mixture, 10% aggregate, 10% concrete, and 10% soil. Isomorphic models and experimental sections made of MRAM showed that the required characteristics cannot be achieved when using MRAM without heating and compaction. When laying MRAM using a light dynamic plate and additional heating due to solar radiation, the LDD 100 device detected a 53% increase in the deformation modulus. On isomorphic MRAM models, the CBR test showed a 4-, 5-, and 14-times increase in the CBR value when the temperature was increased from 20 °C to 40, 50, and 70 °C. The laboratory results were confirmed by monitoring the surface condition of a local road rehabilitated between 2017 and 2025 using MRAM, where some sections showed the properties of semi-bound layers after eight years. The road surface was improved with a 20 cm layer of MRAM at an air temperature of 30 °C and compacted with a 10-ton smooth roller. The research results presented made it possible to create a proposal for a systematic approach to the evaluation of materials obtained from asphalt roads, optimized on the principles of the circular economy. Full article
(This article belongs to the Section Materials Science and Engineering)
Show Figures

Figure 1

18 pages, 1975 KB  
Article
Evaluation of Cucumber (Cucumis sativus L.) Growth in an Open Soilless System Using Different Substrates
by Teresa Leuratti, Nicola Michelon, Alejandra Paredes, Jaime Santamaria, Giampaolo Zanin, Stefano Bona, Giuseppina Pennisi, Giorgio Gianquinto and Francesco Orsini
Horticulturae 2025, 11(11), 1356; https://doi.org/10.3390/horticulturae11111356 - 11 Nov 2025
Viewed by 247
Abstract
The soil of the Trifinio region, the tri-national territory between Guatemala, Honduras, and El Salvador, is damaged by the expansion of monoculture, which decreases fertility and causes problems for local farmers. Furthermore, the region also faces issues of erosion and soil contamination. As [...] Read more.
The soil of the Trifinio region, the tri-national territory between Guatemala, Honduras, and El Salvador, is damaged by the expansion of monoculture, which decreases fertility and causes problems for local farmers. Furthermore, the region also faces issues of erosion and soil contamination. As an alternative to soil cultivation, soilless systems can be adopted, not requiring fertile soil, and significantly increasing yields and resource use efficiency. To encourage soilless technique application in the region, the aim of this study was to compare 18 different substrate mixes to identify the most suitable for the local cultivation of cucumber (Cucumis sativus L.). The substrates were obtained comparing three rates of peat and compost (0%, 20% and 40%, by volume) in factorial combination, with the remaining being either coir or pumice (filling component). Plant growth, flower setting, physiological status (relative chlorophyll content and leaf temperature), and plant production were evaluated. Highest yield was achieved with 20% peat, while compost (20% and 40%) was able to increase fruit length and improve the relative chlorophyll content, but did not affect total production. However, when focusing on environmental sustainability as an important standpoint, a peat-free substrate should be utilized even though the results favored the 20% peat treatment for production. Considering that the differences in production in favor of 20% peat treatment were of limited practical relevance. In regard to the filling components (coir and pumice) yields were unaffected and only minor parameters were changed. Based on the results obtained, a substrate consisting of 60% coir and 40% compost resulted in the best option for the soilless cultivation of cucumber in the Trifinio region, with both materials being sustainable and easily available for local farmers. Full article
Show Figures

Figure 1

25 pages, 1246 KB  
Review
Biochar for Soil Fertility and Climate Mitigation: Review on Feedstocks, Pyrolysis Conditions, Functional Properties, and Applications with Emerging AI Integration
by Florian Marin, Oana Maria Tanislav, Marius Constantinescu, Antoaneta Roman, Felicia Bucura, Simona Oancea and Anca Maria Zaharioiu
Agriculture 2025, 15(22), 2345; https://doi.org/10.3390/agriculture15222345 - 11 Nov 2025
Viewed by 165
Abstract
Soil degradation, declining fertility, and rising greenhouse gas emissions highlight the urgent need for sustainable soil management strategies. Among them, biochar has gained recognition as a multifunctional material capable of enhancing soil fertility, sequestering carbon, and valorizing biomass residues within circular economy frameworks. [...] Read more.
Soil degradation, declining fertility, and rising greenhouse gas emissions highlight the urgent need for sustainable soil management strategies. Among them, biochar has gained recognition as a multifunctional material capable of enhancing soil fertility, sequestering carbon, and valorizing biomass residues within circular economy frameworks. This review synthesizes evidence from 186 peer-reviewed studies to evaluate how feedstock diversity, pyrolysis temperature, and elemental composition shape the agronomic and environmental performance of biochar. Crop residues dominated the literature (17.6%), while wood, manures, sewage sludge, and industrial by-products provided more targeted functionalities. Pyrolysis temperature emerged as the primary performance driver: 300–400 °C biochars improved pH, cation exchange capacity (CEC), water retention, and crop yield, whereas 450–550 °C biochars favored stability, nutrient concentration, and long-term carbon sequestration. Elemental composition averaged 60.7 wt.% C, 2.1 wt.% N, and 27.5 wt.% O, underscoring trade-offs between nutrient supply and structural persistence. Greenhouse gas (GHG) outcomes were context-dependent, with consistent Nitrous Oxide (N2O) reductions in loam and clay soils but variable CH4 responses in paddy systems. An emerging trend, present in 10.6% of studies, is the integration of artificial intelligence (AI) to improve predictive accuracy, adsorption modeling, and life-cycle assessment. Collectively, the evidence confirms that biochar cannot be universally optimized but must be tailored to specific objectives, ranging from soil fertility enhancement to climate mitigation. Full article
Show Figures

Figure 1

29 pages, 15588 KB  
Article
Effect of AgNPs on PLA-Based Biocomposites with Polysaccharides: Biodegradability, Antibacterial Activity and Features
by Kristine V. Aleksanyan, Elena E. Mastalygina, Regina S. Smykovskaya, Nadezhda A. Samoilova, Viktor A. Novikov, Aleksander M. Shakhov, Yana V. Ryzhmanova, Galina A. Kochkina and Natalya E. Ivanushkina
Int. J. Mol. Sci. 2025, 26(22), 10916; https://doi.org/10.3390/ijms262210916 - 11 Nov 2025
Viewed by 291
Abstract
According to existing ecological problems, one of the promising developments is the creation of polyfunctional materials, which can be biodegradable, along with possessing antibacterial activity. The present research proposes biocomposites based on PLA with silver nanoparticles (AgNPs) and natural polysaccharides obtained in a [...] Read more.
According to existing ecological problems, one of the promising developments is the creation of polyfunctional materials, which can be biodegradable, along with possessing antibacterial activity. The present research proposes biocomposites based on PLA with silver nanoparticles (AgNPs) and natural polysaccharides obtained in a twin-screw extruder. Introduction of polysaccharides to PLA-based biocomposites with/without AgNPs led to significant decrease in the elastic modulus and tensile strength, while the elongation at break remained almost unchanged. Thanks to the presence of natural polysaccharides, there was intensified biodegradation in soil despite the AgNP availability. The maximal mass loss was 29% for the PLA–PEG1000–starch + AgNPs (80:10:10 + 0.5 wt%) biocomposite. Analyses of the systems before and after soil exposure were carried out using DSC and FTIR spectroscopy methods. According to a thermal analysis, it was found that PLA crystalline regions degrade during exposure to soil. The same feature was detected during the spectral analysis. The intensity of the characteristic absorption bands of PLA decreased. Furthermore, it was found that the dark areas on the surface of the materials are of a polysaccharide nature and may be signs of biofouling of the materials by microbial flora. The tests on fungus resistance showed that biocidal additives such as AgNPs in PLA-based biocomposites with polysaccharides did not inhibit the development of mycelial fungi–biodestructors. And the increased amount of chitosan in the films contributed to their more active destruction by the end of the observation period. It was demonstrated that such biocomposites can inhibit bacterial growth. Full article
Show Figures

Figure 1

20 pages, 5151 KB  
Article
Experimental Analysis of Seismic Damage to the Frame Structure–Site System Crossing a Reverse Fault
by Jing Tian, Haonan Zhang, Shihang Qu, Jianyi Zhang, Hongjuan Chen, Zhijie Xu, Yijie Song and Ran Zhang
Sensors 2025, 25(22), 6866; https://doi.org/10.3390/s25226866 - 10 Nov 2025
Viewed by 256
Abstract
Buildings crossing active faults often suffer severe damage due to fault dislocation during direct-type urban earthquakes. This study employs physical model tests to systematically investigate the dynamic response mechanisms of the integrated “surface rupture zone–overburden–foundation–superstructure” system subjected to bedrock dislocation. A testing apparatus [...] Read more.
Buildings crossing active faults often suffer severe damage due to fault dislocation during direct-type urban earthquakes. This study employs physical model tests to systematically investigate the dynamic response mechanisms of the integrated “surface rupture zone–overburden–foundation–superstructure” system subjected to bedrock dislocation. A testing apparatus capable of simulating reverse faults with adjustable dip angles (45° and 70°) was developed. Using both sand and clay as representative overburden materials, the experiments simulated the processes of surface rupture evolution, foundation deformation, and structural response under varying fault dislocation magnitudes. Results indicate that the fault rupture pattern is governed by the bedrock dislocation magnitude, soil type, and fault dip angle. The failure process can be categorized into three distinct stages: initial rupture, rupture propagation, and rupture penetration. The severity and progression of structural damage are primarily determined by the building’s location relative to the fault trace. Structures located entirely on the hanging wall exhibited tilting angles that remained below the specified code limit throughout the dislocation process, demonstrating behavior dominated by rigid-body translation. In contrast, buildings crossing the fault exceeded this limit even at low dislocation levels, developing significant tilt and strain concentration due to differential foundation settlement. The most severe damage occurred in high-angle dip sand sites, where the maximum structural tilt reached 5.5°. This research elucidates the phased evolution of seismic damage in straddle-fault structures, providing experimental evidence and theoretical support for the seismic design of buildings in near-fault regions. The principal theoretical and methodological contributions are (1) developing a systematic “fault–soil–structure” testing methodology that reveals the propagation of fault dislocation through the system; (2) clarifying the distinct failure mechanisms between straddle-fault and hanging-wall structures, providing a quantitative basis for targeted seismic design; and (3) quantifying the controlling influence of fault dip angle and soil type combinations on structural damage severity, identifying high-angle dip sand sites as the most critical scenario. Full article
(This article belongs to the Special Issue Structural Health Monitoring and Smart Disaster Prevention)
Show Figures

Figure 1

23 pages, 6706 KB  
Article
Mechanical and Microstructural Evaluation of Compacted Mixtures of Tropical Soils with Expanded Polystyrene (EPS) Waste for Sustainable Construction Applications
by Gian Fonseca dos Santos, Heraldo Nunes Pitanga, Klaus Henrique de Paula Rodrigues, Gustavo Henrique Nalon and Taciano Oliveira da Silva
Buildings 2025, 15(22), 4037; https://doi.org/10.3390/buildings15224037 - 9 Nov 2025
Viewed by 230
Abstract
Expanded polystyrene (EPS), a lightweight thermoplastic polymer widely used in packaging and insulation, has become a growing environmental concern due to its non-biodegradable nature and escalating global consumption. Although EPS waste shows potential in construction applications, previous studies have primarily incorporated it into [...] Read more.
Expanded polystyrene (EPS), a lightweight thermoplastic polymer widely used in packaging and insulation, has become a growing environmental concern due to its non-biodegradable nature and escalating global consumption. Although EPS waste shows potential in construction applications, previous studies have primarily incorporated it into mortars, concrete, or soil–cement mixtures, often relying on the addition of cement to improve its mechanical performance. This approach compromises sustainability and has generally overlooked the role of microstructural interactions in the behavior of soil–EPS waste mixes without cement. This study differs from prior works by exploring the mechanical and microstructural properties of soil–EPS waste mixtures without cementitious binders under different compaction energies. Experimental tests were carried out for the technical characterization of soils, ground EPS waste, and mixtures of soil and different contents of EPS waste (0%, 20%, 30%, and 40% of the total apparent volume of the composite), using different compaction energies (Intermediate and Modified Proctor). The mixtures were subjected to Unconfined Compressive Strength (UCS), California Bearing Ratio (CBR), and direct shear strength tests, in addition to physical and microstructural characterization. The results indicated that both soil type and compaction energy influenced the engineering behavior of the mixtures. The clayey soil exhibited superior mechanical performance, while the sandy soil showed reductions in all mechanical properties. The UCS values of the clayey soil with the addition of EPS did not change significantly (297 kPa to 286 kPa at intermediate energy and 514 kPa to 505 kPa at modified energy), while for the sandy soil, there was a decrease in values (from 167 kPa to 46 kPa at intermediate energy and from 291 kPa to 104 kPa at modified energy). In the CBR tests, only the 20% and 30% addition of EPS to the clayey soil, using the Modified Proctor energy, showed an increase (from 18% to 20% for both percentages). This behavior was primarily attributed to adhesion mechanisms at the soil–EPS waste interface, with friction playing a secondary role, thereby suggesting that clayey soils may offer better mechanical response. The lower dry density of these mixtures compared to compacted natural soils presents a technical benefit for use as backfill in areas with low bearing capacity, where minimizing the load from the fill material is critical. Full article
Show Figures

Figure 1

17 pages, 3258 KB  
Article
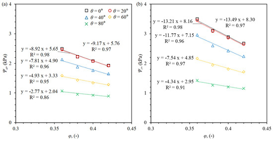
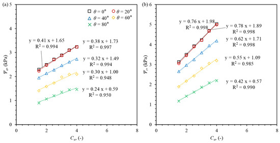
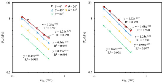
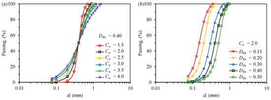
Effects of Grain Size, Density, and Contact Angle on the Soil–Water Characteristic Curve of Coarse Granular Materials
by Xin Liu, Ruixuan Li, Xi Sun and Xiaonan Wang
Appl. Sci. 2025, 15(22), 11910; https://doi.org/10.3390/app152211910 - 9 Nov 2025
Viewed by 151
Abstract
The soil–water characteristic curve (SWCC) is essential for understanding hydraulic behavior in geotechnical applications involving coarse granular materials. However, existing models often overlook the coupled effects of key factors. This study systematically investigates the influence of grain size distribution, density, and contact angle [...] Read more.
The soil–water characteristic curve (SWCC) is essential for understanding hydraulic behavior in geotechnical applications involving coarse granular materials. However, existing models often overlook the coupled effects of key factors. This study systematically investigates the influence of grain size distribution, density, and contact angle on the SWCC using a numerical approach that combines the discrete element method (DEM) with an enhanced pore morphology method incorporating locally variable contact angles (Lvca-PMM). The results show that smaller uniformity coefficients (Cu), larger median grain sizes (D50), higher porosity (φ), and larger contact angles (θ) shift the SWCC to the left, reducing both the air entry value (Ψa) and residual suction (Ψr). Specifically, linear relationships were identified between Ψa, Ψr, Cu, φ, and cos(θ), while a power-law relationship was observed with D50. Furthermore, the interaction of these factors plays a critical role, where a change in one property can amplify or diminish the effects of others. Based on these findings, empirical equations for predicting Ψa and Ψr were developed, offering practical tools for engineers to efficiently estimate the SWCC. This research provides deeper insight into the water retention properties of coarse soils and supports the optimized design of granular fills and drainage systems. Full article
(This article belongs to the Section Civil Engineering)
Show Figures

Figure 1

22 pages, 1855 KB  
Article
Integrated Soil Temperature Measurement at Multiple Depths for Building Energy Performance Assessment Under Climate Change Conditions
by Ewa Daniszewska, Aldona Skotnicka-Siepsiak, Anna Górska-Pawliczuk and Piotr E. Srokosz
Energies 2025, 18(22), 5881; https://doi.org/10.3390/en18225881 - 8 Nov 2025
Viewed by 159
Abstract
This article presents an original, multi-depth soil-temperature monitoring system based on TMP117 digital sensors designed for deployment at several depths. The objective was to evaluate the system’s accuracy and applicability for building-energy performance assessment under contemporary climate conditions. Urban measurements at depths between [...] Read more.
This article presents an original, multi-depth soil-temperature monitoring system based on TMP117 digital sensors designed for deployment at several depths. The objective was to evaluate the system’s accuracy and applicability for building-energy performance assessment under contemporary climate conditions. Urban measurements at depths between 1.0 and 2.0 m were compared with ground temperatures derived using PN-EN 16798-5-1:2017-07 with Typical Meteorological Year (TMY) inputs and with observations from the Polish Institute of Meteorology and Water Management (IMWM). Standard inputs underestimated soil temperature on average by 1.1–2.3 °C (TMY) and 2.0–2.8 °C (IMWM), with the bias increasing with depth. For a ground-to-air heat-exchanger (GAHE) assessment, energy benefits estimated from standard inputs were lower in measurements by approximately 30–60% for pre-cooling and 70–86% for pre-heating. Measurements also revealed location-dependent differences between boreholes attributable to underground infrastructure. These findings indicate that non-local or outdated climate datasets can materially overestimate GAHE potential and confirm the need for local, multi-depth ground measurements and periodic updates of standard climate inputs to reflect urbanized conditions and climate change. The presented system constitutes a practical, scalable tool for engineers and designers of HVAC systems relying on ground heat exchange. Full article
(This article belongs to the Section B: Energy and Environment)
Show Figures

Figure 1

Back to TopTop