Sign in to use this feature.

Years

Between: -

Subjects

remove_circle_outline
remove_circle_outline
remove_circle_outline
remove_circle_outline
remove_circle_outline
remove_circle_outline
remove_circle_outline
remove_circle_outline
remove_circle_outline

Journals

remove_circle_outline
remove_circle_outline
remove_circle_outline
remove_circle_outline
remove_circle_outline
remove_circle_outline
remove_circle_outline
remove_circle_outline
remove_circle_outline
remove_circle_outline
remove_circle_outline
remove_circle_outline
remove_circle_outline
remove_circle_outline
remove_circle_outline

Article Types

Countries / Regions

remove_circle_outline
remove_circle_outline
remove_circle_outline
remove_circle_outline
remove_circle_outline
remove_circle_outline
remove_circle_outline
remove_circle_outline

Search Results (1,681)

Search Parameters:
Keywords = smart and sustainable cities

Order results
Result details
Results per page
Select all
Export citation of selected articles as:
20 pages, 2437 KB  
Article
Regression-Based Small Language Models for DER Trust Metric Extraction from Structured and Semi-Structured Data
by Nathan Hamill and Razi Iqbal
Big Data Cogn. Comput. 2026, 10(2), 39; https://doi.org/10.3390/bdcc10020039 (registering DOI) - 24 Jan 2026
Abstract
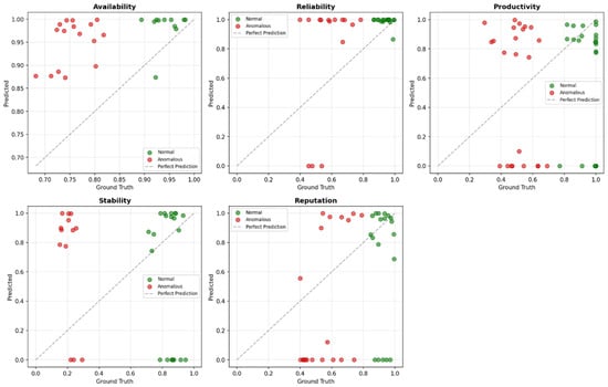
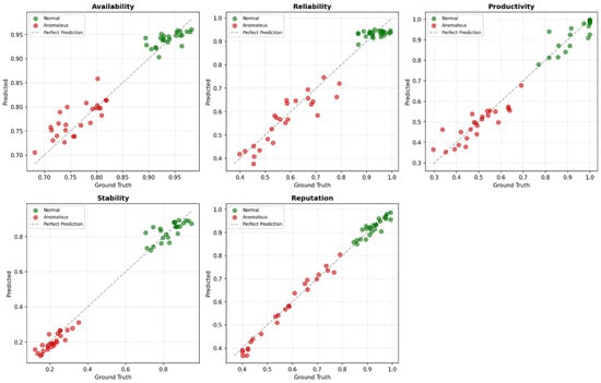
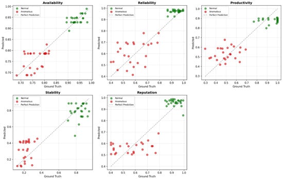
Renewable energy sources like wind turbines and solar panels are integrated into modern power grids as Distributed Energy Resources (DERs). These DERs can operate independently or as part of microgrids. Interconnecting multiple microgrids creates Networked Microgrids (NMGs) that increase reliability, resilience, and independent [...] Read more.
Renewable energy sources like wind turbines and solar panels are integrated into modern power grids as Distributed Energy Resources (DERs). These DERs can operate independently or as part of microgrids. Interconnecting multiple microgrids creates Networked Microgrids (NMGs) that increase reliability, resilience, and independent power generation. However, the trustworthiness of individual DERs remains a critical challenge in NMGs, particularly when integrating previously deployed or geographically distributed units managed by entities with varying expertise. Assessing DER trustworthiness ensuring reliability and security is essential to prevent system-wide instability. Thisresearch addresses this challenge by proposing a lightweight trust metric generation system capable of processing structured and semi-structured DER data to produce key trust indicators. The system employs a Small Language Model (SLM) with approximately 16 million parameters for textual data understanding and metric extraction, followed by a regression head to output bounded trust scores. Designed for deployment in computationally constrained environments, the SLM requires only 64.6 MB of disk space and 200–250 MB of memory that is significantly lesser than larger models such as DeepSeek R1, Gemma-2, and Phi-3, which demand 3–12 GB. Experimental results demonstrate that the SLM achieves high correlation and low mean error across all trust metrics while outperforming larger models in efficiency. When integrated into a full neural network-based trust framework, the generated metrics enable accurate prediction of DER trustworthiness. These findings highlight the potential of lightweight SLMs for reliable and resource-efficient trust assessment in NMGs, supporting resilient and sustainable energy systems in smart cities. Full article
Show Figures

Figure 1

22 pages, 4631 KB  
Article
Smart Cities in the Roadmap Towards Decarbonization: An Example of a Solar Energy Community at Low CO2 Emissions
by Marco Gambini, Greta Magnolia, Ginevra Romagnoli and Michela Vellini
Energies 2026, 19(3), 594; https://doi.org/10.3390/en19030594 (registering DOI) - 23 Jan 2026
Abstract
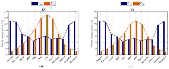
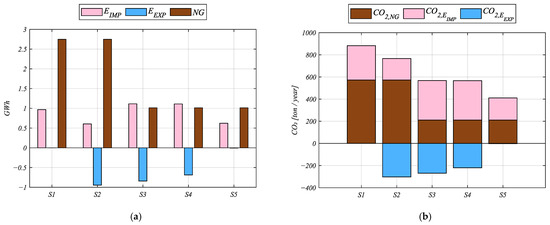
This paper presents a comprehensive analysis of different energy system configurations for Energy Communities (ECs) supplied by multiple renewable-based technologies, with a specific focus on solar solutions in the Mediterranean region. The authors have studied and then proposed the optimal aggregation of different [...] Read more.
This paper presents a comprehensive analysis of different energy system configurations for Energy Communities (ECs) supplied by multiple renewable-based technologies, with a specific focus on solar solutions in the Mediterranean region. The authors have studied and then proposed the optimal aggregation of different end-user loads within possible energy system configurations (identifying the most adequate combination of prosumers, i.e., households, municipality offices, commercial activity, and others) in order to narrow the gap between peak/off-peak demand and renewable energy availability by also integrating energy storage technologies, and in order to pursue a sustainable energy transition in urban contexts proposing smart cities at low CO2 emissions. The study demonstrates that increasing the complexity of the generation mix involves a tangible influence on self-sufficiency and self-consumption, as well as on the mitigation of CO2 emissions. In fact, a more complex system configuration, including heat pumps and energy storage, allows for up to five months of 100% self-sufficiency and almost 100% self-consumption for the entire year. In terms of greenhouse gas emissions, relevant CO2 reduction potential is possible, with up to 50% of CO2 emission reduction, when heat pumps, solar cooling, and energy storage are installed. Full article
Show Figures

Figure 1

23 pages, 633 KB  
Article
Artificial Intelligence Governance in Smart Cities: A Causal Model of Citizen Sustainability Co-Creation Through Acceptance, Trust, and Adaptability
by Lersak Phothong, Anupong Sukprasert and Nantana Ngamtampong
Sustainability 2026, 18(2), 1109; https://doi.org/10.3390/su18021109 - 21 Jan 2026
Viewed by 55
Abstract
Urban sustainability has become a defining governance challenge as smart cities increasingly integrate artificial intelligence (AI) into public service delivery and decision-making. While AI-enabled systems promise efficiency and responsiveness, growing concerns regarding trust, legitimacy, and citizen engagement suggest that technological adoption alone does [...] Read more.
Urban sustainability has become a defining governance challenge as smart cities increasingly integrate artificial intelligence (AI) into public service delivery and decision-making. While AI-enabled systems promise efficiency and responsiveness, growing concerns regarding trust, legitimacy, and citizen engagement suggest that technological adoption alone does not guarantee sustainable urban outcomes. Existing studies have largely emphasized technological performance or individual adoption, paying limited attention to the governance mechanisms through which AI acceptance translates into sustainability co-creation. To address this gap, this study develops and empirically examines the AI–Urban Citizen Sustainability Co-Creation Framework (AI–CSCF) within the context of smart cities in Thailand. A quantitative survey was conducted with 1002 citizens across three smart city settings, and structural equation modeling (SEM) was employed to examine the relationships among AI acceptance, trust in AI, citizen adaptability, and sustainability co-creation. The results indicate that AI acceptance functions as a foundational condition shaping trust in AI and citizen adaptability, through which its influence on sustainability co-creation is indirectly transmitted. Trust in AI emerges as a key mediating mechanism linking AI-enabled governance to participatory sustainability outcomes. These findings underscore the importance of human-centered and trustworthy AI governance that strengthens citizen trust, enhances adaptive capacities, and positions citizens as active co-creators of sustainable urban development aligned with SDG 11. Full article
(This article belongs to the Section Sustainable Urban and Rural Development)
Show Figures

Figure 1

16 pages, 849 KB  
Article
Integration of Electric Vehicles as a Sustainable Development Approach: The Case of Yerevan as a Smart City
by Nonna Khachatryan, Narine Mirzoyan, Armen Tshughuryan, Inessa Avanesova and Anna Hakobjanyan
Urban Sci. 2026, 10(1), 65; https://doi.org/10.3390/urbansci10010065 - 21 Jan 2026
Viewed by 59
Abstract
The integration of electric vehicles into urban life is currently being implemented rapidly. However, the excessive integration of electric cars into urban environments creates several risks that impede their sustainable development. In this regard, it is relevant to systematize the integration processes of [...] Read more.
The integration of electric vehicles into urban life is currently being implemented rapidly. However, the excessive integration of electric cars into urban environments creates several risks that impede their sustainable development. In this regard, it is relevant to systematize the integration processes of electric cars supported by smart city tools. This study proposes a methodology for the sustainable development ecosystem of smart cities, enabling the measurement of both positive and negative results from the integration of electric cars, which can inform rational managerial decisions. This study utilized scientific abstraction approaches to establish a management framework for integrating electric vehicles into the smart city ecosystem. Comparative analyses of the impact of counterbalancing factors were conducted, and based on this, methodological approaches for determining the boundaries of the use of electric vehicles in smart cities were proposed. Full article
Show Figures

Figure 1

22 pages, 8969 KB  
Article
Smart Sensing in Italian Historic City Centers: The Liminal Environmental Monitoring System (LEMS)
by Valentina Diolaiti, Leonardo Sollazzo, Giulio Mangherini, Nazim Aslam, Diego Bernardoni, Marta Calzolari, Pietromaria Davoli, Valentina Modugno and Donato Vincenzi
Smart Cities 2026, 9(1), 14; https://doi.org/10.3390/smartcities9010014 - 20 Jan 2026
Viewed by 76
Abstract
Historic city centers host dense ensembles of heritage buildings where conservation goals must coexist with sustainable and smart urban development, yet the semi-outdoor “liminal” spaces of these complexes, such as cloisters, loggias and courtyards, are rarely included in microclimate monitoring networks. This study [...] Read more.
Historic city centers host dense ensembles of heritage buildings where conservation goals must coexist with sustainable and smart urban development, yet the semi-outdoor “liminal” spaces of these complexes, such as cloisters, loggias and courtyards, are rarely included in microclimate monitoring networks. This study develops and tests the Liminal Environmental Monitoring System (LEMS), a flexible environmental data acquisition architecture designed for long-term monitoring in such spaces. The LEMS is based on a custom, low-cost data acquisition board able to handle multiple analogue and digital sensors, combined with a daisy-chain communication layout using the MODBUS RS485 protocol and a commercial datalogger as master, in order to meet the technical and visual constraints of historic buildings. Board calibration and sensor characterisation are reported, and the system is deployed in the cloister of Palazzo Costabili, a renaissance complex in the historic city center of Ferrara (Italy). This case study illustrates how the LEMS captures spatial and temporal variation in air temperature, relative humidity and solar irradiance and how an annual solar-shading indicator derived from 3D ray-tracing simulations supports the interpretation of irradiance measurements. The results indicate that the LEMS is a viable tool for heritage-compatible microclimate monitoring and can be adapted to other historic courtyards and loggias. Full article
(This article belongs to the Special Issue Innovative IoT Solutions for Sustainable Smart Cities)
Show Figures

Figure 1

18 pages, 722 KB  
Entry
Smart Mobility and Last-Mile Rail Integration
by Wil Martens
Encyclopedia 2026, 6(1), 26; https://doi.org/10.3390/encyclopedia6010026 - 20 Jan 2026
Viewed by 173
Definition
Smart-city last-mile rail access, referred to in this entry simply as last-mile access, captures how travelers connect to and from rail stations during the first or last leg of a journey. It encompasses both the design of multimodal connections and the experience of [...] Read more.
Smart-city last-mile rail access, referred to in this entry simply as last-mile access, captures how travelers connect to and from rail stations during the first or last leg of a journey. It encompasses both the design of multimodal connections and the experience of accessibility that results from them. On the supply side, last-mile access involves the coordination of walking, cycling, micromobility, and feeder transit with rail services, supported by digital systems that unify planning, ticketing, and payment. On the demand side, it reflects how efficiently and equitably travelers can reach stations within these coordinated networks. Together, these physical and institutional dimensions extend the functional reach of rail, reduce transfer barriers, and reinforce its role as the backbone of sustainable urban mobility. As cities strive to reduce car dependency while promoting inclusivity and accessibility, last-mile access has become a key indicator of how infrastructure, technology, and governance intersect to deliver more equitable transportation systems. Full article
(This article belongs to the Collection Encyclopedia of Digital Society, Industry 5.0 and Smart City)
Show Figures

Figure 1

19 pages, 1098 KB  
Article
Simulation-Based Evaluation of AI-Orchestrated Port–City Logistics
by Nistor Andrei
Urban Sci. 2026, 10(1), 58; https://doi.org/10.3390/urbansci10010058 - 17 Jan 2026
Viewed by 199
Abstract
AI technologies are increasingly applied to optimize operations in both port and urban logistics systems, yet integration across the full maritime city chain remains limited. The objective of this study is to assess, using a simulation-based experiment, the impact of an AI-orchestrated control [...] Read more.
AI technologies are increasingly applied to optimize operations in both port and urban logistics systems, yet integration across the full maritime city chain remains limited. The objective of this study is to assess, using a simulation-based experiment, the impact of an AI-orchestrated control policy on the performance of port–city logistics relative to a baseline scheduler. The study proposes an AI-orchestrated approach that connects autonomous ships, smart ports, central warehouses, and multimodal urban networks via a shared cloud control layer. This approach is designed to enable real-time, cross-domain coordination using federated sensing and adaptive control policies. To evaluate its impact, a simulation-based experiment was conducted comparing a traditional scheduler with an AI-orchestrated policy across 20 paired runs under identical conditions. The orchestrator dynamically coordinated container dispatching, vehicle assignment, and gate operations based on capacity-aware logic. Results show that the AI policy substantially reduced the total completion time, lowered truck idle time and estimated emissions, and improved system throughput and predictability without modifying physical resources. These findings support the expectation that integrated, data-driven decision-making can significantly enhance logistics performance and sustainability in port–city contexts. The study provides a replicable pathway from conceptual architecture to quantifiable evidence and lays the groundwork for future extensions involving learning controllers, richer environmental modeling, and real-world deployment in digitally connected logistics corridors. Full article
(This article belongs to the Special Issue Advances in Urban Planning and the Digitalization of City Management)
Show Figures

Figure 1

20 pages, 377 KB  
Article
Modeling Service Experience and Sustainable Adoption of Drone Taxi Services in the UAE: A Behavioral Framework Informed by TAM and UTAUT
by Sami Miniaoui, Nasser A. Saif Almuraqab, Rashed Al Raees, Prashanth B. S. and Manoj Kumar M. V.
Sustainability 2026, 18(2), 922; https://doi.org/10.3390/su18020922 - 16 Jan 2026
Viewed by 127
Abstract
Urban air mobility solutions such as drone taxi services are increasingly viewed as a promising response to congestion, sustainability, and smart-city mobility challenges. However, the large-scale adoption of such services depends on users’ perceptions of service experience, trust, and readiness to engage with [...] Read more.
Urban air mobility solutions such as drone taxi services are increasingly viewed as a promising response to congestion, sustainability, and smart-city mobility challenges. However, the large-scale adoption of such services depends on users’ perceptions of service experience, trust, and readiness to engage with emerging technologies. This study investigates the determinants of sustainable adoption of drone taxi services in the United Arab Emirates (UAE) by examining technology readiness and service experience factors, interpreted through conceptual alignment with the Technology Acceptance Model (TAM) and the Unified Theory of Acceptance and Use of Technology (UTAUT). A structured questionnaire was administered to potential users, capturing perceptions related to optimism, innovation readiness, efficiency, control, privacy, insecurity, discomfort, inefficiency, and perceived operational risk, along with behavioral intention to adopt drone taxi services. Measurement reliability and validity were rigorously assessed using Cronbach’s alpha, composite reliability, average variance extracted (AVE), and the heterotrait–monotrait (HTMT) criterion. The validated latent construct scores were subsequently used to estimate a structural regression model examining the relative influence of each factor on adoption intention. The results indicate that privacy assurance and perceived control exert the strongest influence on behavioral intention, followed by optimism and innovation readiness, while negative readiness factors such as discomfort, insecurity, inefficiency, and perceived chaos demonstrate negligible effects. These findings suggest that in technologically progressive contexts such as the UAE, adoption intentions are primarily shaped by trust-building and empowerment-oriented perceptions rather than deterrence-based concerns. By positioning technology readiness and service experience constructs within established TAM and UTAUT theoretical perspectives, this study contributes a context-sensitive understanding of adoption drivers for emerging urban air mobility services. The findings offer practical insights for policy makers and service providers seeking to design user-centric, trustworthy, and sustainable drone taxi systems. Full article
(This article belongs to the Special Issue Service Experience and Servicescape in Sustainable Consumption)
Show Figures

Figure 1

32 pages, 2775 KB  
Review
AIoT at the Frontline of Climate Change Management: Enabling Resilient, Adaptive, and Sustainable Smart Cities
by Claudia Banciu and Adrian Florea
Climate 2026, 14(1), 19; https://doi.org/10.3390/cli14010019 - 15 Jan 2026
Viewed by 156
Abstract
The convergence of Artificial Intelligence (AI) and the Internet of Things (IoT), known as Artificial Intelligence of Things (AIoT), has emerged as a transformative paradigm for enabling intelligent, data-driven, and context-aware decision-making in urban environments to reduce the carbon footprint of mobility and [...] Read more.
The convergence of Artificial Intelligence (AI) and the Internet of Things (IoT), known as Artificial Intelligence of Things (AIoT), has emerged as a transformative paradigm for enabling intelligent, data-driven, and context-aware decision-making in urban environments to reduce the carbon footprint of mobility and industry. This review examines the conceptual foundations, and state-of-the-art developments of AIoT, with a particular emphasis on its applications in smart cities and its relevance to climate change management. AIoT integrates sensing, connectivity, and intelligent analytics to provide optimized solutions in transportation systems, energy management, waste collection, and environmental monitoring, directly influencing urban sustainability. Beyond urban efficiency, AIoT can play a critical role in addressing the global challenges and management of climate change by (a) precise measurements and autonomously remote monitoring; (b) real-time optimization in renewable energy distribution; and (c) developing prediction models for early warning of climate disasters. This paper performs a literature review and bibliometric analysis to identify the current landscape of AIoT research in smart city contexts. Over 1885 articles from Web of Sciences and over 1854 from Scopus databases, published between 1993 and January 2026, were analyzed. The results reveal a strong and accelerating growth in research activity, with publication output doubling in the most recent two years compared to 2023. Waste management and air quality monitoring have emerged as leading application domains, where AIoT-based optimization and predictive models demonstrate measurable improvements in operational efficiency and environmental impact. Altogether, these support faster and more effective decisions for reducing greenhouse gas emissions and ensuring the sustainable use of resources. The reviewed studies reveal rapid advancements in edge intelligence, federated learning, and secure data sharing through the integration of AIoT with blockchain technologies. However, significant challenges remain regarding scalability, interoperability, privacy, ethical governance, and the effective translation of research outcomes into policy and citizen-oriented tools such as climate applications, insurance models, and disaster alert systems. By synthesizing current research trends, this article highlights the potential of AIoT to support sustainable, resilient, and citizen-centric smart city ecosystems while identifying both critical gaps and promising directions for future investigations. Full article
Show Figures

Figure 1

40 pages, 5686 KB  
Article
Digital–Intelligent Transformation and Urban Carbon Efficiency in the Yellow River Basin: A Hybrid Super-Efficiency DEA and Interpretable Machine-Learning Framework
by Jiayu Ru, Jiahui Li, Lu Gan and Gulinaer Yusufu
Land 2026, 15(1), 159; https://doi.org/10.3390/land15010159 - 13 Jan 2026
Viewed by 203
Abstract
The goal of this scientific study is to clarify whether and how digital–intelligent integration contributes to urban carbon efficiency and to identify the conditions under which this contribution becomes nonlinear and policy-relevant. Focusing on 39 prefecture-level cities in the middle reaches of the [...] Read more.
The goal of this scientific study is to clarify whether and how digital–intelligent integration contributes to urban carbon efficiency and to identify the conditions under which this contribution becomes nonlinear and policy-relevant. Focusing on 39 prefecture-level cities in the middle reaches of the Yellow River Basin during 2011–2022, we adopt an integrated measurement–modelling approach that combines efficiency evaluation, machine-learning interpretation, and dynamic–spatial validation. Specifically, we construct two super-efficiency DEA indicators: an undesirable-output SBM incorporating CO2 emissions and a conventional super-efficiency CCR index. We then estimate nonlinear city-level relationships using XGBoost and interpret the marginal effects with SHAP, while panel vector autoregression (PVAR) and spatial diagnostics are employed to validate the dynamic responses and spatial dependence. The results show that digital–intelligent integration is positively associated with both carbon-related and conventional efficiency, but its marginal contribution is strongly conditioned by human capital, urbanisation, and environmental regulation, exhibiting threshold-type behaviour and diminishing returns at higher digitalisation levels. Green efficiency reacts more strongly to short-run shocks, whereas conventional efficiency follows a steadier improvement trajectory. Heterogeneity across urban agglomerations and evidence of spatial clustering further suggest that uniform policy packages are unlikely to perform well. These findings highlight the importance of sequencing and policy complementarity: investments in digital infrastructure should be coordinated with institutional and structural measures such as green finance, environmental standards, and industrial upgrading and place-based pilots can help scale effective digital applications toward China’s dual-carbon objectives. The proposed framework is transferable to other regions where the digital–climate nexus is central to smart and sustainable urban development. Full article
(This article belongs to the Special Issue Innovative Strategies for Sustainable Smart Cities and Territories)
Show Figures

Figure 1

39 pages, 2940 KB  
Article
Trustworthy AI-IoT for Citizen-Centric Smart Cities: The IMTPS Framework for Intelligent Multimodal Crowd Sensing
by Wei Li, Ke Li, Zixuan Xu, Mengjie Wu, Yang Wu, Yang Xiong, Shijie Huang, Yijie Yin, Yiping Ma and Haitao Zhang
Sensors 2026, 26(2), 500; https://doi.org/10.3390/s26020500 - 12 Jan 2026
Viewed by 252
Abstract
The fusion of Artificial Intelligence and the Internet of Things (AI-IoT, also widely referred to as AIoT) offers transformative potential for smart cities, yet presents a critical challenge: how to process heterogeneous data streams from intelligent sensing—particularly crowd sensing data derived from citizen [...] Read more.
The fusion of Artificial Intelligence and the Internet of Things (AI-IoT, also widely referred to as AIoT) offers transformative potential for smart cities, yet presents a critical challenge: how to process heterogeneous data streams from intelligent sensing—particularly crowd sensing data derived from citizen interactions like text, voice, and system logs—into reliable intelligence for sustainable urban governance. To address this challenge, we introduce the Intelligent Multimodal Ticket Processing System (IMTPS), a novel AI-IoT smart system. Unlike ad hoc solutions, the novelty of IMTPS resides in its theoretically grounded architecture, which orchestrates Information Theory and Game Theory for efficient, verifiable extraction, and employs Causal Inference and Meta-Learning for robust reasoning, thereby synergistically converting noisy, heterogeneous data streams into reliable governance intelligence. This principled design endows IMTPS with four foundational capabilities essential for modern smart city applications: Sustainable and Efficient AI-IoT Operations: Guided by Information Theory, the IMTPS compression module achieves provably efficient semantic-preserving compression, drastically reducing data storage and energy costs. Trustworthy Data Extraction: A Game Theory-based adversarial verification network ensures high reliability in extracting critical information, mitigating the risk of model hallucination in high-stakes citizen services. Robust Multimodal Fusion: The fusion engine leverages Causal Inference to distinguish true causality from spurious correlations, enabling trustworthy integration of complex, multi-source urban data. Adaptive Intelligent System: A Meta-Learning-based retrieval mechanism allows the system to rapidly adapt to new and evolving query patterns, ensuring long-term effectiveness in dynamic urban environments. We validate IMTPS on a large-scale, publicly released benchmark dataset of 14,230 multimodal records. IMTPS demonstrates state-of-the-art performance, achieving a 96.9% reduction in storage footprint and a 47% decrease in critical data extraction errors. By open-sourcing our implementation, we aim to provide a replicable blueprint for building the next generation of trustworthy and sustainable AI-IoT systems for citizen-centric smart cities. Full article
(This article belongs to the Special Issue AI-IoT for New Challenges in Smart Cities)
Show Figures

Figure 1

25 pages, 3934 KB  
Article
Urban Heat Islands: Their Influence on Building Heating and Cooling Energy Demand Throughout Local Climate Zones
by Marta Lucas Bonilla, Cristina Nuevo-Gallardo, Jose Manuel Lorenzo Gallardo and Beatriz Montalbán Pozas
Urban Sci. 2026, 10(1), 43; https://doi.org/10.3390/urbansci10010043 - 11 Jan 2026
Viewed by 198
Abstract
The thermal influence of Urban Heat Islands (UHIs) is not limited to periods of high temperature but persists throughout the year. The present study utilizes hourly data collected over a period of one year from a network of hygrothermal monitoring stations with a [...] Read more.
The thermal influence of Urban Heat Islands (UHIs) is not limited to periods of high temperature but persists throughout the year. The present study utilizes hourly data collected over a period of one year from a network of hygrothermal monitoring stations with a high density, which were deployed across the city of Cáceres (Spain). The network was designed in accordance with the World Meteorological Organization’s guidelines for urban measurements (employing radiation footprints and surface roughness) and ensures representation of each Local Climate Zone (LCZ), characterized by those factors (such as building typology and density, urban fabric, vegetation, and anthropogenic activity, among others) that influence potential solar radiation absorption. The magnitude of the heat island effect in this city has been determined to be approximately 7 °C in summer and winter at the first hours of the morning. In order to assess the energy impact of UHIs, Cooling and Heating Degree Days (CDD and HDD) were calculated for both summer and winter periods across the different LCZs. Following the implementation of rigorous quality control procedures and the utilization of gap-filling techniques, the analysis yielded discrepancies in energy demand of up to 10% between LCZs within the city. The significance of incorporating UHIs into the design of building envelopes and climate control systems is underscored by these findings, with the potential to enhance both energy efficiency and occupant thermal comfort. This methodology is particularly relevant for extrapolation to larger and denser urban environments, where the intensification of UHI effects exerts a direct impact on energy consumption and costs. The following essay will provide a comprehensive overview of the relevant literature on the subject. Full article
(This article belongs to the Special Issue Urban Building Energy Analysis)
Show Figures

Figure 1

19 pages, 659 KB  
Article
Smart Urban Synergy: A Systems-Based Approach to Assessing Smart and Sustainable Cities
by Ocotlán Díaz-Parra, Jorge A. Ruiz-Vanoye, Juan M. Xicoténcatl-Pérez, Alejandro Fuentes-Penna, Ricardo A. Barrera-Cámara, Francisco R. Trejo-Macotela, Jaime Aguilar-Ortiz and Marco A. Vera-Jiménez
Systems 2026, 14(1), 74; https://doi.org/10.3390/systems14010074 - 9 Jan 2026
Viewed by 252
Abstract
Smart cities aim to integrate technological, infrastructural, and socio-environmental systems in order to improve urban sustainability and quality of life. To qualify as both smart and sustainable, a city is generally expected to pursue self-sufficiency through the adoption of sustainable practices in energy [...] Read more.
Smart cities aim to integrate technological, infrastructural, and socio-environmental systems in order to improve urban sustainability and quality of life. To qualify as both smart and sustainable, a city is generally expected to pursue self-sufficiency through the adoption of sustainable practices in energy production, water supply, and food systems. Such cities also seek to reduce operational costs for both private operators and municipalities, while aiming to enhance the quality of life of their residents. Within this context, the relevance of a web-based application becomes particularly apparent. An application equipped with predefined indicators can provide a structured and measurable framework for assessing the current status of a city or town in relation to smart and sustainable development. This framework allows for the evaluation of the extent to which a city aligns with established criteria associated with smart and sustainable urban models. This paper introduces a Python-based web application, developed using Python version 3.10, designed to assess or support the self-assessment of a city’s alignment with identified smart and sustainable development indicators. This study does not claim empirical validation or benchmarking performance; the proposed system is presented as a proof-of-concept framework. The work does not propose new smart city indicators. Rather, it presents an integrative system that seeks to operationalise existing smart and sustainable city indicators within a unified and modular web-based assessment framework, designed to support cross-domain evaluation and citizen-accessible self-assessment. Full article
(This article belongs to the Section Systems Practice in Social Science)
Show Figures

Figure 1

20 pages, 1236 KB  
Article
Developing a Sustainable Urban Mobility Maturity Model
by Mustafa Eruyar and Halit Özen
Sustainability 2026, 18(2), 689; https://doi.org/10.3390/su18020689 - 9 Jan 2026
Viewed by 159
Abstract
This study introduces the Sustainable Urban Mobility Maturity Model (SUM-MM) to assess and enhance the maturity of sustainable urban mobility in cities. The SUM-MM comprises 3 main dimensions (enablers, sustainability, and transport modes) and 11 sub-dimensions (strategic and spatial planning, organization and human [...] Read more.
This study introduces the Sustainable Urban Mobility Maturity Model (SUM-MM) to assess and enhance the maturity of sustainable urban mobility in cities. The SUM-MM comprises 3 main dimensions (enablers, sustainability, and transport modes) and 11 sub-dimensions (strategic and spatial planning, organization and human resources, information and communication technologies, environment, economy, social, walking, micromobility, public transport, paratransit systems, and multimodal integration), evaluated at 5 levels (beginner, initial, integrated, managed, and mature). Developed through a literature review and validated using a questionnaire-based expert opinion method, the model was tested in Konya, Türkiye. The results show that Konya’s overall maturity falls between integrated and managed, with significant variability across sub-dimensions. The enablers dimension demonstrated the highest maturity, driven by strong organizational and technological capabilities, whereas the transport modes dimension had the lowest—particularly in paratransit systems. The SUM-MM serves as both a benchmarking tool and a policy guidance framework, facilitating targeted strategies for sustainable urban mobility improvements. Unlike existing smart city or transport maturity models, the SUM-MM specifically focuses on sustainable urban mobility, offering a structured, operational, and decision-oriented framework for policy-makers and city administrations. The results can be used by local and national authorities to support comparative benchmarking, strategic planning, and the prioritization of sustainable urban mobility investments. Full article
Show Figures

Figure 1

13 pages, 892 KB  
Article
Streetscapes and Street Livability: Advancing Sustainable and Human-Centered Urban Environments
by Walaa Mohamed Metwally
Sustainability 2026, 18(2), 667; https://doi.org/10.3390/su18020667 - 8 Jan 2026
Viewed by 179
Abstract
Street livability is widely recognized as a fundamental indicator of urban livability. Despite growing global agendas advocating human-centered, sustainable, and smart cities, the microscale implementation of streetscape interventions remains limited and non-integrated. This gap is particularly evident in developing cities’ contexts where policy-level [...] Read more.
Street livability is widely recognized as a fundamental indicator of urban livability. Despite growing global agendas advocating human-centered, sustainable, and smart cities, the microscale implementation of streetscape interventions remains limited and non-integrated. This gap is particularly evident in developing cities’ contexts where policy-level frameworks fail to translate into tangible street-level transformations. Responding to this challenge, this paper investigates how streetscape components can enhance everyday street livability. The study aims to explore opportunities for improving street livability through the utilization of three core streetscape components: vegetation, street furniture, and lighting. The discourse on street livability identifies vegetation, street furniture, and lighting as the primary drivers of high-quality urban spaces. Scholarly research suggests that these micro-interventions are most effective when viewed through the combined lenses of human-centered design, environmental sustainability, and smart city technology. While the literature indicates that integrating climate-responsive greenery and renewable energy systems can enhance social interaction and safety, it also highlights significant implementation hurdles. Specifically, researchers point to policy limitations, technical feasibility in developing nations, and the socio-economic threat of green gentrification. Despite these complexities, microscale streetscape improvements remain a vital strategy for fostering inclusive and resilient cities. Full article
(This article belongs to the Section Environmental Sustainability and Applications)
Show Figures

Figure 1

Back to TopTop