Sign in to use this feature.

Years

Between: -

Subjects

remove_circle_outline
remove_circle_outline
remove_circle_outline
remove_circle_outline
remove_circle_outline
remove_circle_outline

Journals

Article Types

Countries / Regions

Search Results (78)

Search Parameters:
Keywords = small patch antenna

Order results
Result details
Results per page
Select all
Export citation of selected articles as:
16 pages, 37283 KB  
Article
A Machine Learning-Based Ultra-Wideband Microstrip Antenna for Microwave Imaging Applications
by Md. Zulfiker Mahmud
Electronics 2026, 15(2), 455; https://doi.org/10.3390/electronics15020455 - 21 Jan 2026
Viewed by 231
Abstract
This study presents a compact bulb-shaped ultra-wideband microstrip patch antenna designed for microwave imaging applications, more specifically, breast tumor detection. Traditional antenna design methods for medical applications are time-consuming. The proposed antenna, designed in CST Microwave Studio 2019 on a Rogers RT 5880 [...] Read more.
This study presents a compact bulb-shaped ultra-wideband microstrip patch antenna designed for microwave imaging applications, more specifically, breast tumor detection. Traditional antenna design methods for medical applications are time-consuming. The proposed antenna, designed in CST Microwave Studio 2019 on a Rogers RT 5880 substrate with a slotted ground plane, achieves a bandwidth of 11.1 GHz, a gain of 6.2 dBi, and an efficiency above 80%. In response to the limitations of conventional antenna design approaches, this study introduces a novel machine learning-based approach to accelerate the design process, where a custom CatBoost model predicts key dimensions—feedline width, large circle radius, and small circle radius, based on the performance metrics such as resonant frequency, minimum reflection coefficient, bandwidth, real and imaginary part of impedance. The model achieves a cross-validation score of 95.13% with a mean absolute error of 0.0166 mm, outperforming conventional machine learning approaches. Shapley Additive exPlanations analysis is applied to interpret feature contributions. A prototype is fabricated using the prediction of a machine learning model. The bulb-shaped antenna structure, wide operational bandwidth, consistent gain, and strong sensitivity to tissue dielectric variations enhance its effectiveness for breast tumor detection compared with conventional antennas. Furthermore, experiments with a breast phantom confirmed the prototype’s suitability for detecting dielectric contrasts in tissue, establishing a foundation for machine learning-assisted antenna design in medical imaging. Full article
Show Figures

Figure 1

19 pages, 10755 KB  
Article
An Integrated Scattering Cancellation and Modification Approach for Broadband RCS Reduction of Array Antenna
by Yakun Liu, Biao Du, Dan Jia and Xuchen Han
Electronics 2026, 15(1), 108; https://doi.org/10.3390/electronics15010108 - 25 Dec 2025
Viewed by 298
Abstract
This paper presents a design method of integrating scattering cancellation with array-level modification techniques for broadband RCS reduction (RCSR) of an array antenna. Taking a circular patch element as an example to explain how the RCSR method is used, an L-shaped feeding structure [...] Read more.
This paper presents a design method of integrating scattering cancellation with array-level modification techniques for broadband RCS reduction (RCSR) of an array antenna. Taking a circular patch element as an example to explain how the RCSR method is used, an L-shaped feeding structure is adopted, with a dielectric substrate of Arlon Diclad 880 (tm). First, two elements with equal scattering amplitude but opposite-phase characteristics are proposed by adjusting the radiation patch dimensions and loading slots on the small patch based on characteristic mode analysis (CMA). Through arrangement of these two elements in a 2 × 2 array configuration, effective RCSR is demonstrated across 3.5–9.5 GHz. To further broaden the RCSR bandwidth, the 2 × 2 array is modified again on the ground plane using CMA. Through the integration of scattering cancellation and array-level modification techniques, a broadband RCSR design of the array antenna is realized across 2.5–11 GHz. To demonstrate the universality of the design method, 2 × 2 and 4 × 4 array antennas are designed, fabricated, and tested. The 2 × 2 array antenna can realize an average RCSR of 10.3 dB and a peak RCSR of 22 dB across 2.5–11 GHz. The 4 × 4 array antenna can realize an average RCSR of 8 dB and a peak RCSR of 23 dB across 2.5–10.5 GHz. Meanwhile, the transmission and radiation performance remains basically unchanged. The 2 × 2 array antenna works from 3.76 GHz to 5.45 GHz (36.7%) and the 4 × 4 array antenna works from 3.80 GHz to 5.30 GHz (31.1%). Their gains are 9.9 dBi for the 2 × 2 array antenna and 15.9 dBi for the 4 × 4 array antenna at 4.5 GHz. Measured results show a good agreement with calculated ones, which verifies the effectiveness and correctness of the design method. Full article
(This article belongs to the Section Microwave and Wireless Communications)
Show Figures

Figure 1

16 pages, 5890 KB  
Article
Wideband Multi-Layered Dielectric Resonator Antenna with Small Form Factor for 5G Millimeter-Wave Mobile Applications
by Sung Yong An and Boumseock Kim
Electronics 2025, 14(19), 3756; https://doi.org/10.3390/electronics14193756 - 23 Sep 2025
Cited by 1 | Viewed by 679
Abstract
A ceramic-based wideband capacitive-fed patch-loaded multi-layered rectangular dielectric resonator antenna (CFPL-ML-RDRA) with a compact form factor is proposed in this paper. The proposed antenna is composed of two ceramic substrates and a polymer as an adhesive. A capacitive-fed metallic patch structure is located [...] Read more.
A ceramic-based wideband capacitive-fed patch-loaded multi-layered rectangular dielectric resonator antenna (CFPL-ML-RDRA) with a compact form factor is proposed in this paper. The proposed antenna is composed of two ceramic substrates and a polymer as an adhesive. A capacitive-fed metallic patch structure is located on the top side of the bottom ceramic substrate. This novel structure generates two distinct resonant modes: the fundamental resonant mode of the RDRA and a hybrid resonant mode, which was confirmed through electric field (E-field) analysis and parametric studies. By merging these two resonant modes, the proposed antenna achieves a wide impedance bandwidth of 5.5 GHz, sufficient to cover the fifth-generation (5G) millimeter-wave (mmWave) frequency bands n257, n258, and n261 (5.25 GHz), while reducing the height of the DRA by 38.5% compared to the conventional probe-fed RDRA (PF-RDRA). Additionally, the 4 dBi realized gain bandwidth of the proposed CFPL-ML-RDRA is 5.4 GHz, which is 28.6% broader than that of the conventional PF-RDRA. To experimentally verify the antenna’s performance, the CFPL-ML-RDRA mounted on a test printed circuit board with a small ground size of 3.2 × 3.2 mm2 was fabricated and characterized. The measured data align well with the simulated data. Furthermore, excellent antenna array performance was achieved based on array simulations. Therefore, the proposed antenna structure is well-suited for 5G mmWave mobile applications. Full article
(This article belongs to the Section Electronic Materials, Devices and Applications)
Show Figures

Figure 1

24 pages, 7981 KB  
Article
A Flexible and Compact UWB MIMO Antenna with Dual-Band-Notched Double U-Shaped Slot on Mylar® Polyester Film
by Vanvisa Chutchavong, Wanchalerm Chanwattanapong, Norakamon Wongsin, Paitoon Rakluea, Maleeya Tangjitjetsada, Chawalit Rakluea, Chatree Mahatthanajatuphat and Prayoot Akkaraekthalin
Electronics 2025, 14(17), 3363; https://doi.org/10.3390/electronics14173363 - 24 Aug 2025
Cited by 3 | Viewed by 2118
Abstract
Ultra-wideband (UWB) technology is a crucial facilitator for high-data-rate wireless communication due to its extensive frequency spectrum and low power consumption. Simultaneously, multiple-input multiple-output (MIMO) systems have garnered considerable attention owing to their capability to enhance channel capacity and link dependability. This article [...] Read more.
Ultra-wideband (UWB) technology is a crucial facilitator for high-data-rate wireless communication due to its extensive frequency spectrum and low power consumption. Simultaneously, multiple-input multiple-output (MIMO) systems have garnered considerable attention owing to their capability to enhance channel capacity and link dependability. This article discusses the development of small, high-performance MIMO UWB antennas with mutual suppression capabilities to fully use the benefits of both technologies. Additionally, the suggested antenna features a straightforward design and dual-band-notched characteristics. The antenna structure includes two radiating elements measuring 85 × 45 mm2. These elements use a rectangular patch provided by a coplanar waveguide (CPW). Double U-shaped slots are incorporated into the rectangular patch to introduce dual-band-notched properties, which help mitigate interference from WiMAX and WLAN communication systems. The antenna is fabricated on a Mylar® polyester film substrate of 0.3 mm in thickness, with a dielectric constant of 3.2. According to the measurement results, the suggested antenna functions efficiently across the frequency spectrum of 2.29 to 20 GHz, with excellent impedance matching throughout the bandwidth. Furthermore, it provides dual-band-notched coverage at 3.08–3.8 GHz for WiMAX and 4.98–5.89 GHz for WLAN. The antenna exhibits impressive performance, including favorable radiation attributes, consistent gain, and little mutual coupling (less than −20 dB). Additionally, the envelope correlation coefficient (ECC) is extremely low (ECC < 0.01) across the working bandwidth, which indicates excellent UWB MIMO performance. This paper offers an appropriate design methodology for future flexible and compact UWB MIMO systems that can serve as interference-resilient antennas for next-generation wireless applications. Full article
(This article belongs to the Collection MIMO Antennas)
Show Figures

Figure 1

10 pages, 3365 KB  
Article
Design of Small-Sized Spiral Slot PIFA Antenna Used Conformally in Laminated Body Tissues
by Rong Li, Jian Liu, Cuizhen Sun, Wang Yao, Ying Tian and Xiaojun Huang
Sensors 2025, 25(9), 2938; https://doi.org/10.3390/s25092938 - 7 May 2025
Viewed by 1245
Abstract
This paper presents a novel Spiral Slot Planar Inverted-F Antenna (SSPIFA) specifically designed for telemedicine and healthcare applications, featuring compact size, biocompatible safety, and high integration suitability. By replacing the conventional top metal patch of a Planar Inverted-F Antenna (PIFA) with a slot [...] Read more.
This paper presents a novel Spiral Slot Planar Inverted-F Antenna (SSPIFA) specifically designed for telemedicine and healthcare applications, featuring compact size, biocompatible safety, and high integration suitability. By replacing the conventional top metal patch of a Planar Inverted-F Antenna (PIFA) with a slot spiral radiator whose geometry is precisely matched to the ground plane, the proposed antenna achieves a significant size reduction, making it ideal for encapsulation in miniaturized medical devices—a critical requirement for implantation scenarios. Tailored for the ISM 915 MHz band, the antenna is fabricated with a four-turn slot spiral etched on a 30 mm-diameter dielectric substrate, achieving an overall height of 22 mm and an electrically small profile of approximately 0.09λ × 0.06λ (λ: free-space wavelength at the center frequency). Simulation and measurement results demonstrate a −16 dB impedance matching (S11 parameter) at the target frequency, accompanied by a narrow fractional bandwidth of 1% and stable right-hand circular polarization (RHCP). When implanted in a layered biological tissue model (skin, fat, muscle), the antenna exhibits a near-omni directional radiation pattern in the azimuthal plane, with a peak gain of 2.94 dBi and consistent performance across the target band. These characteristics highlight the SSPIFA’s potential for reliable wireless communication in implantable medical systems, balancing miniaturization, radiation efficiency, and biocompatible design. Full article
(This article belongs to the Special Issue Metasurfaces for Enhanced Communication and Radar Detection)
Show Figures

Figure 1

16 pages, 836 KB  
Article
A Method to Design Compact MIMO Patch Antenna Using Self-Isolated Technique
by Noi Truong-Quang, Tan Dao-Duc, Phuong Kim-Thi, Tu Le-Tuan, Hung Tran, Dat Nguyen-Tien and Niamat Hussain
Sensors 2025, 25(7), 2073; https://doi.org/10.3390/s25072073 - 26 Mar 2025
Cited by 2 | Viewed by 1271
Abstract
This paper presents a method to design a compact high-gain multiple-input, multiple-output (MIMO) patch antenna. In a one-dimensional large-scale MIMO array, the conventional approach of using multiple patches and decoupling networks significantly increases the antenna size. To address this, this paper utilizes compact [...] Read more.
This paper presents a method to design a compact high-gain multiple-input, multiple-output (MIMO) patch antenna. In a one-dimensional large-scale MIMO array, the conventional approach of using multiple patches and decoupling networks significantly increases the antenna size. To address this, this paper utilizes compact self-decoupled patches, enabling extremely small element spacing while maintaining high isolation levels. Accordingly, a compact size feature can be obtained. Then, gain and bandwidth enhancements are realized with a combination of multiple patches and T-junction dividers. The feasibility of the proposed concept is validated by measurement on a two-element MIMO antenna. The measured results demonstrate that the proposed antennas have good operation characteristics at 4.8 GHz with a small element spacing of 0.008λ. The measured operating bandwidth is about 5%, with isolation of better than 19 dB. A maximum broadside gain of 7.2 dBi can also be yielded. Full article
(This article belongs to the Section Communications)
Show Figures

Figure 1

8 pages, 8967 KB  
Proceeding Paper
Design and Optimisation of Inverted U-Shaped Patch Antenna for Ultra-Wideband Ground-Penetrating Radar Applications
by Ankur Jyoti Kalita, Nairit Barkataki and Utpal Sarma
Eng. Proc. 2025, 87(1), 25; https://doi.org/10.3390/engproc2025087025 - 24 Mar 2025
Cited by 2 | Viewed by 1381
Abstract
Ground-Penetrating Radar (GPR) systems with ultra-wideband (UWB) antennas introduce the benefits of both high and low frequencies. Higher frequencies offer finer spatial resolution, enabling the detection of small-scale features and details, while lower frequencies improve depth penetration by minimising signal attenuation, allowing the [...] Read more.
Ground-Penetrating Radar (GPR) systems with ultra-wideband (UWB) antennas introduce the benefits of both high and low frequencies. Higher frequencies offer finer spatial resolution, enabling the detection of small-scale features and details, while lower frequencies improve depth penetration by minimising signal attenuation, allowing the system to explore deeper subsurface layers. This combination optimises the performance of GPR systems by balancing the need for detailed imaging with the requirement for deeper penetration. This work presents the design of a wideband inverted U-shaped patch antenna with a wide rectangular slot centred at a frequency of 1.5 GHz. The antenna is fed through a microstrip feed line and employs a partial ground plane. Through simulation, the antenna is optimised by varying the patch dimensions and slot size. Further modifications to the partial ground plane improve the UWB and gain characteristics of the antenna. The optimised antenna is fabricated using a double-sided copper-clad FR4 substrate with a thickness of 1.6 mm and characterised using a Vector Network Analyser (VNA), with final dimensions of 200 mm × 300 mm. The experimental results demonstrate a return loss below −10 dB across the operational band from 1.068 GHz to 4 GHz and a maximum gain of 7.29 dB at 4 GHz. In addition to other bands, the antenna exhibits a return loss consistently below −20 dB in the frequency range of 1.367 GHz to 1.675 GHz. These results confirm the antenna’s UWB performance and its suitability for GPR applications in utility mapping, landmine and artefact detection, and identifying architectural defects. Full article
(This article belongs to the Proceedings of The 5th International Electronic Conference on Applied Sciences)
Show Figures

Figure 1

19 pages, 5764 KB  
Article
A Cross-Shaped Slotted Patch Sensor Antenna for Ice and Frost Detection
by Rula Alrawashdeh
Technologies 2025, 13(1), 5; https://doi.org/10.3390/technologies13010005 - 25 Dec 2024
Cited by 4 | Viewed by 2687
Abstract
Beyond data transmission, antennas have recently been utilized as sensors, offering the advantage of reducing hardware requirements and power consumption compared to systems where sensors are separate from antennas. Patch antennas, in particular, are widely used across various applications, including sensing, due to [...] Read more.
Beyond data transmission, antennas have recently been utilized as sensors, offering the advantage of reducing hardware requirements and power consumption compared to systems where sensors are separate from antennas. Patch antennas, in particular, are widely used across various applications, including sensing, due to their attractive features like compact size and conformability. In addition, they can be easily designed in different ways to sense variations in certain variables. Adding a slot to the patch antenna introduces several advantages, including multiband, wideband operation, and improved impedance bandwidth. Slots also provide a concentrated region of electromagnetic fields, which increases the antenna’s sensitivity for sensing and detection purposes. In this paper, a rectangular patch antenna with a cross slot is designed and proposed for water, ice, and frost detection. Detection is achieved by measuring variations in the resonant frequency in response to water, ice accumulation, and frost. The results indicate that the proposed antenna can detect both water and ice accretion with a frequency shift of up to 1.538, 0.358, and 0.056 GHz, respectively, which reflects good sensitivity levels of the antenna. The effect of the slot on strengthening the near electric field and antenna sensitivity is discussed in this paper. The antenna is fabricated and measured and the indicators of each detection scale have been extracted. The proposed antenna has a simple structure and a small size of (40 × 40 × 1.53 m3). In addition, it can be precisely used to sense different environmental parameters such as frost and ice. Thus, it can serve as a strong candidate for detecting natural disasters like frost damage. Furthermore, the findings in this paper offer valuable insights into how the presence and structure of slots influence the sensitivity response of patch antennas, supporting ongoing research in this field. Full article
(This article belongs to the Section Information and Communication Technologies)
Show Figures

Figure 1

12 pages, 3089 KB  
Article
Effect of Dielectric Layer on Miniaturized Patch Antenna Sensor
by Caifeng Chen, Lei Zou, Chenglong Bi and Andong Wang
Sensors 2024, 24(23), 7608; https://doi.org/10.3390/s24237608 - 28 Nov 2024
Cited by 3 | Viewed by 2774
Abstract
Miniature patch antenna sensors have great potential in the field of structural health monitoring for crack propagation detection due to their small size and high sensitivity. A primary research focus has been achieving efficient miniaturization, with the performance of the dielectric layer playing [...] Read more.
Miniature patch antenna sensors have great potential in the field of structural health monitoring for crack propagation detection due to their small size and high sensitivity. A primary research focus has been achieving efficient miniaturization, with the performance of the dielectric layer playing a pivotal role. Studies have demonstrated that increasing the relative dielectric constant (εr) of the dielectric layer can reduce antenna size, but higher dielectric losses (tanδ) can lower radiation efficiency. This study identifies the optimal dielectric properties by examining the interplay between εr and tanδ to balance size reduction and radiation efficiency. Additionally, while increasing the dielectric layer’s thickness improves bandwidth and radiation efficiency, a thinner layer is preferred to maintain overall performance without compromising radiation efficiency. Furthermore, the resonant frequency of the smaller-sized patch antenna sensor exhibits greater detection sensitivity to crack propagation. These insights provide useful guidance for selecting effective dielectric layers and assist in the miniaturization design of antenna sensors. Full article
Show Figures

Figure 1

17 pages, 5128 KB  
Article
A Compact Ultra-Wideband Millimeter-Wave Four-Port Multiple-Input Multiple-Output Antenna for 5G Internet of Things Applications
by Ashutosh Sharma, Sanjeev Sharma, Vikas Sharma, Girish Wadhwa and Rajeev Kumar
Sensors 2024, 24(22), 7153; https://doi.org/10.3390/s24227153 - 7 Nov 2024
Cited by 8 | Viewed by 2076
Abstract
This paper presents a compact design for a four-element multiple-input multiple-output (MIMO) antenna for millimeter-wave (mmWave) communications covering the bands of n257/n258/n261. The MIMO design covers the frequency range of 24.25–29.5 GHz, with a wide bandwidth of 5.25 GHz. The element of the [...] Read more.
This paper presents a compact design for a four-element multiple-input multiple-output (MIMO) antenna for millimeter-wave (mmWave) communications covering the bands of n257/n258/n261. The MIMO design covers the frequency range of 24.25–29.5 GHz, with a wide bandwidth of 5.25 GHz. The element of the MIMO antenna structure uses a single circular patch with an inset feed, and, in order to improve the reflection coefficient (S11), a half-disk parasitic patch is positioned on top of the circular patch. Moreover, to fine-tune the antenna’s characteristics, two vertical stubs on the extreme ends of the ground plane are introduced. For this design, a Rogers RT/Duroid 5880 substrate with ultra-thin thickness is used. After the optimization of the design, the four-port MIMO antenna attained a tiny size, with the dimensions 16.2 mm × 16.2 mm × 0.254 mm. In terms of the MIMO parameters, the ECC (Envelop Correlation coefficient) is less than 0.002 and the DG (Diversity Gain) is greater than 9.99 dB in the mentioned band, which are within the tolerance limits. Also, in spite of the very small size and the four-port configuration, the achieved isolation between the neighboring MIMO elements is less than −23.5 dB. Full article
(This article belongs to the Section Internet of Things)
Show Figures

Figure 1

11 pages, 11228 KB  
Article
An Electrically Small Patch Antenna Sensor for Salt Concentration Measurement of NaCl Solution
by Jinfeng Zhu, Cheng Chen, Xiao Sun, Guowen Ding and Shenyun Wang
Sensors 2024, 24(19), 6389; https://doi.org/10.3390/s24196389 - 2 Oct 2024
Cited by 1 | Viewed by 1832
Abstract
In this paper, a complementary split-ring resonator (CSRR)-based patch antenna is proposed as a microwave sensor to measure the salt concentration of NaCl solution. The microwave sensor consists of an RF-4 substrate, where a small copper disc is attached on the top as [...] Read more.
In this paper, a complementary split-ring resonator (CSRR)-based patch antenna is proposed as a microwave sensor to measure the salt concentration of NaCl solution. The microwave sensor consists of an RF-4 substrate, where a small copper disc is attached on the top as the radiator, a larger copper disc integrated with two CSRRs is attached on the bottom side as the finite ground plane, and a coaxial feeding port is introduced at the ground plane center. During salt concentration sensing, only the top disc is immersed into NaCl solution. The results indicate that the proposed microwave sensor can measure salt concentrations ranging from 5‰ to 35‰ with a maximum sensitivity of 0.367 (kHz/(mg/L)). The proposed microwave sensor is low-cost, low-profile, electrically small, lightweight, and easy to fabricate, and it also can be applied to other solutions’ concentration sensing. Full article
(This article belongs to the Section Electronic Sensors)
Show Figures

Graphical abstract

17 pages, 7621 KB  
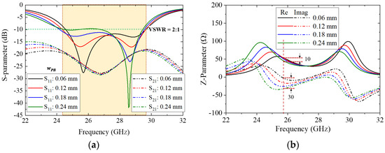
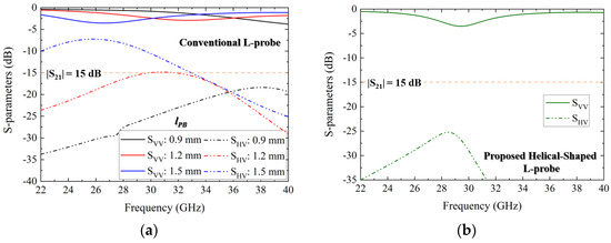
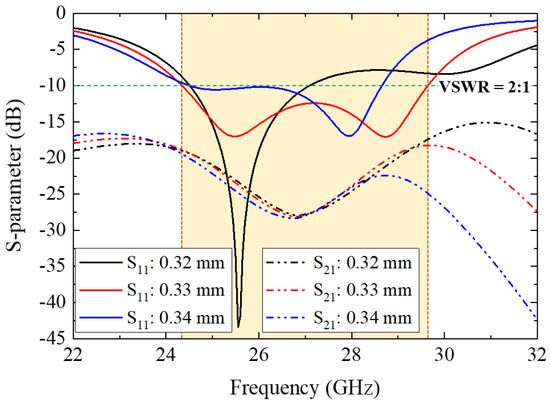
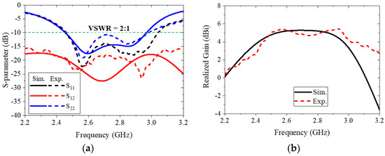
Article
Wideband Patch Antenna with Modified L-Probe Feeding for mmWave 5G Mobile Applications
by Woncheol Lee, Hoyun Won, Yang-Ki Hong, Minyeong Choi and Sung-Yong An
Electronics 2024, 13(16), 3119; https://doi.org/10.3390/electronics13163119 - 7 Aug 2024
Cited by 3 | Viewed by 2440
Abstract
This paper presents a wideband low-profile dual-polarized patch antenna with helical-shaped L-probe feeding (HLF) for mmWave 5G mobile device applications. Parametric studies on the HLF structure are performed to identify the optimal specifications. As a result, the optimized antenna achieves a wide bandwidth [...] Read more.
This paper presents a wideband low-profile dual-polarized patch antenna with helical-shaped L-probe feeding (HLF) for mmWave 5G mobile device applications. Parametric studies on the HLF structure are performed to identify the optimal specifications. As a result, the optimized antenna achieves a wide bandwidth of 5.4 GHz (24.2–29.6 GHz), good isolation > 18 dB between ports, and 5.1 dBi of good peak realized gain, which is experimentally verified with a 10× upscaled antenna. In addition, various one × four phased arrays with different port configurations and beamform capabilities are designed and simulated for the peak realized gain. The designed antenna array shows a high peak realized gain of 10 dBi, high isolation of 15 dB between the ports, and a small substrate thickness of 0.048λ0 (λ0 is the wavelength of 24.25 GHz). Compared to the state-of-the-art antennas, the designed dual-polarized antenna can operate in the frequency ranges of 24.25–29.6 GHz, including n257, n258, and n261 of the 5G new radio frequency range 2. Full article
Show Figures

Figure 1

30 pages, 10023 KB  
Article
A Study on a Compact Double Layer Sub-GHz Reflectarray Design Suitable for Wireless Power Transfer
by Romans Kusnins, Darja Cirjulina, Janis Eidaks, Kristaps Gailis, Ruslans Babajans, Anna Litvinenko, Deniss Kolosovs and Dmitrijs Pikulins
Electronics 2024, 13(14), 2754; https://doi.org/10.3390/electronics13142754 - 13 Jul 2024
Cited by 2 | Viewed by 1723
Abstract
The paper presents a novel small-footprint varactor diode-based reconfigurable reflectarray (RRA) design and investigates its power reflection efficiency theoretically and experimentally in a real-life indoor environment. The surface is designed to operate at 865.5 MHz and is intended for simultaneous use with other [...] Read more.
The paper presents a novel small-footprint varactor diode-based reconfigurable reflectarray (RRA) design and investigates its power reflection efficiency theoretically and experimentally in a real-life indoor environment. The surface is designed to operate at 865.5 MHz and is intended for simultaneous use with other wireless power transfer (WPT) efficiency-improving techniques that have been recently reported in the literature. To the best of the authors’ knowledge, no RRA intended to improve the performance of antenna-based WPT systems operating in the sub-GHz range has been designed and studied both theoretically and experimentally so far. The proposed RRA is a two-layer structure. The top layer contains electronically tunable phase shifters for the local phase control of an incoming electromagnetic wave, while the other one is fully covered by metal to reduce the phase shifter size and RRA’s backscattering. Each phase shifter is a pair of diode-loaded 8-shaped metallic patches. Extensive numerical studies are conducted to ascertain a suitable set of RRA unit cell parameters that ensure both adequate phase agility and reflection uniformity for a given varactor parameter. The RRA design parameter finding procedure followed in this paper comprises several steps. First, the phase and amplitude responses of a virtual infinite double periodic RRA are computed using full-wave solver Ansys HFSS. Once the design parameters are found for a given set of physical constraints, the phase curve of the corresponding finite array is retrieved to estimate the side lobe level due to the finiteness of the RRA aperture. Then, a diode reactance combination is found for several different RRA reflection angles, and the corresponding RRA radiation pattern is computed. The numerical results show that the side lobe level and the deviation of the peak reflected power angles from the desired ones are more sensitive to the reflection coefficient magnitude uniformity than to the phase agility. Furthermore, it is found that for scanning angles less than 50°, satisfactory reflection efficiency can be achieved by using the classical reactance profile synthesis approach employing the generalized geometrical optics (GGO) approximation, which is in accord with the findings of other studies. Additionally, for large reflection angles, an alternative synthesis approach relying on the Floquet mode amplitude optimization is utilized to verify the maximum achievable efficiency of the proposed RRA at large angles. A prototype consisting of 36 elements is fabricated and measured to verify the proposed reflectarray design experimentally. The initial diode voltage combination is found by applying the GGO-based phase profile synthesis method to the experimentally obtained phase curve. Then, the voltage combination is optimized in real time based on power measurement. Finally, the radiation pattern of the prototype is acquired using a pair of identical 4-director printed Yagi antennas with a gain of 9.17 dBi and compared with the simulated. The calculated results are consistent with the measured ones. However, some discrepancies attributed to the adverse effects of biasing lines are observed. Full article
(This article belongs to the Special Issue Wireless Power Transfer System: Latest Advances and Prospects)
Show Figures

Figure 1

13 pages, 6706 KB  
Article
Design of a Compact Circularly Polarized Implantable Antenna for Capsule Endoscopy Systems
by Zhiwei Song, Xiaoming Xu, Youwei Shi and Lu Wang
Sensors 2024, 24(12), 3960; https://doi.org/10.3390/s24123960 - 19 Jun 2024
Cited by 12 | Viewed by 2631
Abstract
This research proposes a miniature circular polarization antenna used in a wireless capsule endoscopy system at 2.45 GHz for industrial, scientific, and medical bands. We propose a method of cutting a chamfer rectangular slot on a circular radiation patch and introducing a curved [...] Read more.
This research proposes a miniature circular polarization antenna used in a wireless capsule endoscopy system at 2.45 GHz for industrial, scientific, and medical bands. We propose a method of cutting a chamfer rectangular slot on a circular radiation patch and introducing a curved radiation structure into the centerline position of the chamfer rectangular slot, while a short-circuit probe is added to achieve miniaturization. Therefore, we significantly reduced the size of the antenna and made it exhibit circularly polarized radiation characteristics. A cross-slot is cut in the GND to enable the antenna to better cover the operating band while being able to meet the complex human environment. The effective axis ratio bandwidth is 120 MHz (2.38–2.50 GHz). Its size is π × 0.032λ02 × 0.007λ0 (where λ0 is the free-space wavelength of at 2.4 GHz). In addition, the effect of different organs such as muscle, stomach, small intestine, and big intestine on the antenna when it was embedded into the wireless capsule endoscopy (WCE) system was further discussed, and the results proved that the WCE system has better robustness in different organs. The antenna’s specific absorption rate can follow the IEEE Standard Safety Guidelines (IEEE C95.1-1999). A prototype is fabricated and measured. The experimental results are consistent with the simulation results. Full article
(This article belongs to the Section Biomedical Sensors)
Show Figures

Figure 1

11 pages, 11178 KB  
Communication
A Wideband Circularly Polarized Dipole Antenna with Compact Size and Low-Pass Filtering Response
by Xianjing Lin, Zhangrun Weng, Yibin Hong and Yao Zhang
Sensors 2024, 24(12), 3914; https://doi.org/10.3390/s24123914 - 17 Jun 2024
Cited by 4 | Viewed by 2260
Abstract
This paper presents a compact wideband circularly polarized cross-dipole antenna with a low-pass filter response. It consists of two pairs of folded cross-dipole arms printed separately on both sides of the top substrate, and the two dipole arms on the same surface are [...] Read more.
This paper presents a compact wideband circularly polarized cross-dipole antenna with a low-pass filter response. It consists of two pairs of folded cross-dipole arms printed separately on both sides of the top substrate, and the two dipole arms on the same surface are connected by an annular phase-shifting delay line to generate circular polarization. A bent metal square ring and four small metal square rings around the cross-dipoles are employed to introduce new resonant frequencies, effectively extending the impedance and axial-ratio bandwidth. Four square patches printed on the middle substrate are connected to the ground plane by the vertical metal plates in order to reduce the antenna height. Thus, a compact wideband circularly polarized antenna is realized. In addition, a transmission zero can be introduced at the upper frequency stopband by the bent metal square rings, without using extra filter circuits. For verification, the proposed model is implemented and tested. The overall size of the model is 90mm×90mm×33mm (0.37λ0×0.37λ0×0.14λ0; λ0 denotes the center operating frequency). The measured impedance bandwidth and 3 dB axial-ratio (AR) bandwidth are 53.3% and 41%, respectively. An upper-band radiation suppression level greater than 15 dB is realized, indicating a good low-pass filter response. Full article
(This article belongs to the Special Issue Antenna Technologies for Wireless Sensing and Communications)
Show Figures

Figure 1

Back to TopTop