Sign in to use this feature.

Years

Between: -

Subjects

remove_circle_outline
remove_circle_outline
remove_circle_outline
remove_circle_outline
remove_circle_outline
remove_circle_outline
remove_circle_outline
remove_circle_outline
remove_circle_outline

Journals

Article Types

Countries / Regions

Search Results (28)

Search Parameters:
Keywords = skewness attack

Order results
Result details
Results per page
Select all
Export citation of selected articles as:
13 pages, 275 KB  
Article
Generalized Gamma Frailty and Symmetric Normal Random Effects Model for Repeated Time-to-Event Data
by Kai Liu, Yan Qiao Wang, Xiaojun Zhu and Narayanaswamy Balakrishnan
Symmetry 2025, 17(10), 1760; https://doi.org/10.3390/sym17101760 - 17 Oct 2025
Viewed by 375
Abstract
Clustered time-to-event data are quite common in survival analysis and finding a suitable model to account for dispersion as well as censoring is an important issue. In this article, we present a flexible model for repeated, overdispersed time-to-event data with right-censoring. We present [...] Read more.
Clustered time-to-event data are quite common in survival analysis and finding a suitable model to account for dispersion as well as censoring is an important issue. In this article, we present a flexible model for repeated, overdispersed time-to-event data with right-censoring. We present here a general model by incorporating generalized gamma and normal random effects in a Weibull distribution to accommodate overdispersion and data hierarchies, respectively. The normal random effect has the property of being symmetrical, which means its probability density function is symmetric around its mean. While the random effects are symmetrically distributed, the resulting frailty model is asymmetric in its survival function because the random effects enter the model multiplicatively via the hazard function, and the exponentiation of a symmetric normal variable leads to lognormal distribution, which is right-skewed. Due to the intractable integrals involved in the likelihood function and its derivatives, the Monte Carlo approach is used to approximate the involved integrals. The maximum likelihood estimates of the parameters in the model are then numerically determined. An extensive simulation study is then conducted to evaluate the performance of the proposed model and the method of inference developed here. Finally, the usefulness of the model is demonstrated by analyzing a data on recurrent asthma attacks in children and a recurrent bladder data set known in the survival analysis literature. Full article
24 pages, 4012 KB  
Article
Copyright Protection and Trusted Transactions for 3D Models Based on Smart Contracts and Zero-Watermarking
by Ruigang Nan, Liming Zhang, Jianing Xie, Yan Jin, Tao Tan, Shuaikang Liu and Haoran Wang
ISPRS Int. J. Geo-Inf. 2025, 14(8), 317; https://doi.org/10.3390/ijgi14080317 - 20 Aug 2025
Cited by 1 | Viewed by 1022
Abstract
With the widespread application of 3D models derived from oblique photography, the need for copyright protection and trusted transactions has risen significantly. Traditional transactions often depend on third parties, making it difficult to balance copyright protection with transaction credibility and to safeguard the [...] Read more.
With the widespread application of 3D models derived from oblique photography, the need for copyright protection and trusted transactions has risen significantly. Traditional transactions often depend on third parties, making it difficult to balance copyright protection with transaction credibility and to safeguard the rights and interests of both parties. To address these challenges, this paper proposes a novel trusted-transaction scheme that integrates smart contracts with zero-watermarking technology. Firstly, the skewness of the oblique-photography 3D model data is employed to construct a zero-watermark identifier, which is stored in the InterPlanetary File System (IPFS) alongside encrypted data for trading. Secondly, smart contracts are designed and deployed. Lightweight information, such as IPFS data addresses, is uploaded to the blockchain by invoking these contracts, and transactions are conducted accordingly. Finally, the blockchain system automatically records the transaction process and results on-chain, providing verifiable transaction evidence. The experimental results show that the proposed zero-watermarking algorithm resists common attacks. The trusted-transaction framework not only ensures the traceability and trustworthiness of the entire transaction process but also safeguards the rights of both parties. This approach effectively protects copyright while ensuring the reliability of the transactions. Full article
Show Figures

Figure 1

24 pages, 4555 KB  
Review
Biophysics of Voice Onset: A Comprehensive Overview
by Philippe H. DeJonckere and Jean Lebacq
Bioengineering 2025, 12(2), 155; https://doi.org/10.3390/bioengineering12020155 - 6 Feb 2025
Cited by 1 | Viewed by 3010
Abstract
Voice onset is the sequence of events between the first detectable movement of the vocal folds (VFs) and the stable vibration of the vocal folds. It is considered a critical phase of phonation, and the different modalities of voice onset and their distinctive [...] Read more.
Voice onset is the sequence of events between the first detectable movement of the vocal folds (VFs) and the stable vibration of the vocal folds. It is considered a critical phase of phonation, and the different modalities of voice onset and their distinctive characteristics are analysed. Oscillation of the VFs can start from either a closed glottis with no airflow or an open glottis with airflow. The objective of this article is to provide a comprehensive survey of this transient phenomenon, from a biomechanical point of view, in normal modal (i.e., nonpathological) conditions of vocal emission. This synthetic overview mainly relies upon a number of recent experimental studies, all based on in vivo physiological measurements, and using a common, original and consistent methodology which combines high-speed imaging, sound analysis, electro-, photo-, flow- and ultrasound glottography. In this way, the two basic parameters—the instantaneous glottal area and the airflow—can be measured, and the instantaneous intraglottal pressure can be automatically calculated from the combined records, which gives a detailed insight, both qualitative and quantitative, into the onset phenomenon. The similarity of the methodology enables a link to be made with the biomechanics of sustained phonation. Essential is the temporal relationship between the glottal area and intraglottal pressure. The three key findings are (1) From the initial onset cycles onwards, the intraglottal pressure signal leads that of the opening signal, as in sustained voicing, which is the basic condition for an energy transfer from the lung pressure to the VF tissue. (2) This phase lead is primarily due to the skewing of the airflow curve to the right with respect to the glottal area curve, a consequence of the compressibility of air and the inertance of the vocal tract. (3) In case of a soft, physiological onset, the glottis shows a spindle-shaped configuration just before the oscillation begins. Using the same parameters (airflow, glottal area, intraglottal pressure), the mechanism of triggering the oscillation can be explained by the intraglottal aerodynamic condition. From the first cycles on, the VFs oscillate on either side of a paramedian axis. The amplitude of these free oscillations increases progressively before the first contact on the midline. Whether the first movement is lateral or medial cannot be defined. Moreover, this comprehensive synthesis of onset biomechanics and the links it creates sheds new light on comparable phenomena at the level of sound attack in wind instruments, as well as phenomena such as the production of intervals in the sung voice. Full article
(This article belongs to the Special Issue The Biophysics of Vocal Onset)
Show Figures

Figure 1

33 pages, 12141 KB  
Article
Experimental Study of Wind Characteristics at a Bridge Site in Mountain Valley Considering the Effect of Oncoming Wind Speed
by Weikang Li, Shengnan Cui, Jian Zhao, Luming An, Chao Yu, Yan Ding, Hongmiao Jing and Qingkuan Liu
Appl. Sci. 2024, 14(22), 10588; https://doi.org/10.3390/app142210588 - 17 Nov 2024
Cited by 4 | Viewed by 1571
Abstract
The topography of mountainous areas is characterized by large undulations, which lead to a very complex wind field at bridge sites in mountain valleys. The influence of oncoming wind speed on long-span bridges built in mountain valleys is quite pronounced. To investigate the [...] Read more.
The topography of mountainous areas is characterized by large undulations, which lead to a very complex wind field at bridge sites in mountain valleys. The influence of oncoming wind speed on long-span bridges built in mountain valleys is quite pronounced. To investigate the wind characteristics at a bridge site in a mountain valley under different oncoming wind speeds, a wind tunnel test of a terrain model with a scaling ratio of 1:1000, where a long-span bridge would be built in the V-shaped canyon, was conducted. Uniform and atmospheric boundary layer (ABL) inflows were both applied, and the effect of different oncoming wind speeds (basic wind speeds of 6 m/s, 8 m/s, 10 m/s, 12 m/s, and 14 m/s) under three wind directions (0°, 30°, and 180°) on the wind characteristics at the main beam and two bridge towers were studied. The results indicate that increasing oncoming wind speed leads to decreased wind profiles and wind speed amplification factors and increased wind attack angles, while wind yaw angles remain largely unchanged. In addition, compared to ABL inflow, the variation of fluctuating wind characteristics is more pronounced with the oncoming wind speed under uniform inflow. Under uniform inflow conditions, increasing the oncoming wind speed causes decreased turbulence intensity, reduces the peak frequency of the power spectrum, and slows down the high-frequency decay rate. Under ABL inflow conditions, turbulence intensity and the power spectrum remain unchanged with different oncoming wind speeds. Additionally, the turbulent integral scale derived from fitting with the von Kármán wind spectrum is sufficiently accurate, and the variation in the turbulent integral scale is greatly influenced by the terrain. Furthermore, higher wind speeds result in stronger coherence between two points. When two points are at different locations but with the same spacing, the coherence function remains roughly the same. Locations with higher kurtosis and skewness values exhibit steeper probability density functions, with larger kurtosis and skewness coefficients typically found on the leeward side. High wind speeds are more detrimental to bridge safety, and appropriate preventive measures should be implemented in advance to address extreme conditions that may arise at high wind speeds. Full article
Show Figures

Figure 1

36 pages, 443 KB  
Article
Balancing the Scale: Data Augmentation Techniques for Improved Supervised Learning in Cyberattack Detection
by Kateryna Medvedieva, Tommaso Tosi, Enrico Barbierato and Alice Gatti
Eng 2024, 5(3), 2170-2205; https://doi.org/10.3390/eng5030114 - 4 Sep 2024
Cited by 8 | Viewed by 3763
Abstract
The increasing sophistication of cyberattacks necessitates the development of advanced detection systems capable of accurately identifying and mitigating potential threats. This research addresses the critical challenge of cyberattack detection by employing a comprehensive approach that includes generating a realistic yet imbalanced dataset simulating [...] Read more.
The increasing sophistication of cyberattacks necessitates the development of advanced detection systems capable of accurately identifying and mitigating potential threats. This research addresses the critical challenge of cyberattack detection by employing a comprehensive approach that includes generating a realistic yet imbalanced dataset simulating various types of cyberattacks. Recognizing the inherent limitations posed by imbalanced data, we explored multiple data augmentation techniques to enhance the model’s learning effectiveness and ensure robust performance across different attack scenarios. Firstly, we constructed a detailed dataset reflecting real-world conditions of network intrusions by simulating a range of cyberattack types, ensuring it embodies the typical imbalances observed in genuine cybersecurity threats. Subsequently, we applied several data augmentation techniques, including SMOTE and ADASYN, to address the skew in class distribution, thereby providing a more balanced dataset for training supervised machine learning models. Our evaluation of these techniques across various models, such as Random Forests and Neural Networks, demonstrates significant improvements in detection capabilities. Moreover, the analysis also extends to the investigation of feature importance, providing critical insights into which attributes most significantly influence the predictive outcomes of the models. This not only enhances the interpretability of the models but also aids in refining feature engineering and selection processes to optimize performance. Full article
(This article belongs to the Special Issue Feature Papers in Eng 2024)
Show Figures

Figure 1

24 pages, 1680 KB  
Article
Resampling to Classify Rare Attack Tactics in UWF-ZeekData22
by Sikha S. Bagui, Dustin Mink, Subhash C. Bagui and Sakthivel Subramaniam
Knowledge 2024, 4(1), 96-119; https://doi.org/10.3390/knowledge4010006 - 14 Mar 2024
Viewed by 1830
Abstract
One of the major problems in classifying network attack tactics is the imbalanced nature of data. Typical network datasets have an extremely high percentage of normal or benign traffic and machine learners are skewed toward classes with more data; hence, attack data remain [...] Read more.
One of the major problems in classifying network attack tactics is the imbalanced nature of data. Typical network datasets have an extremely high percentage of normal or benign traffic and machine learners are skewed toward classes with more data; hence, attack data remain incorrectly classified. This paper addresses the class imbalance problem using resampling techniques on a newly created dataset, UWF-ZeekData22. This is the first dataset with tactic labels, labeled as per the MITRE ATT&CK framework. This dataset contains about half benign data and half attack tactic data, but specific tactics have a meager number of occurrences within the attack tactics. Our objective in this paper was to use resampling techniques to classify two rare tactics, privilege escalation and credential access, never before classified. The study also looks at the order of oversampling and undersampling. Varying resampling ratios were used with oversampling techniques such as BSMOTE and SVM-SMOTE and random undersampling without replacement was used. Based on the results, it can be observed that the order of oversampling and undersampling matters and, in many cases, even an oversampling ratio of 10% of the majority data is enough to obtain the best results. Full article
Show Figures

Figure 1

30 pages, 15588 KB  
Article
Machine Recognition of DDoS Attacks Using Statistical Parameters
by Juraj Smiesko, Pavel Segec and Martin Kontsek
Mathematics 2024, 12(1), 142; https://doi.org/10.3390/math12010142 - 31 Dec 2023
Cited by 3 | Viewed by 2299
Abstract
As part of the research in the recently ended project SANET II, we were trying to create a new machine-learning system without a teacher. This system was designed to recognize DDoS attacks in real time, based on adaptation to real-time arbitrary traffic and [...] Read more.
As part of the research in the recently ended project SANET II, we were trying to create a new machine-learning system without a teacher. This system was designed to recognize DDoS attacks in real time, based on adaptation to real-time arbitrary traffic and with the ability to be embedded into the hardware implementation of network probes. The reason for considering this goal was our hands-on experience with the high-speed SANET network, which interconnects Slovak universities and high schools and also provides a connection to the Internet. Similar to any other public-facing infrastructure, it is often the target of DDoS attacks. In this article, we are extending our previous research, mainly by dealing with the use of various statistical parameters for DDoS attack detection. We tested the coefficients of Variation, Kurtosis, Skewness, Autoregression, Correlation, Hurst exponent, and Kullback–Leibler Divergence estimates on traffic captures of different types of DDoS attacks. For early machine recognition of the attack, we have proposed several detection functions that use the response of the investigated statistical parameters to the start of a DDoS attack. The proposed detection methods are easily implementable for monitoring actual IP traffic. Full article
Show Figures

Figure 1

38 pages, 3956 KB  
Article
Studying Imbalanced Learning for Anomaly-Based Intelligent IDS for Mission-Critical Internet of Things
by Ghada Abdelmoumin, Danda B. Rawat and Abdul Rahman
J. Cybersecur. Priv. 2023, 3(4), 706-743; https://doi.org/10.3390/jcp3040032 - 6 Oct 2023
Cited by 4 | Viewed by 3018
Abstract
Training-anomaly-based, machine-learning-based, intrusion detection systems (AMiDS) for use in critical Internet of Things (CioT) systems and military Internet of Things (MioT) environments may involve synthetic data or publicly simulated data due to data restrictions, data scarcity, or both. However, synthetic data can be [...] Read more.
Training-anomaly-based, machine-learning-based, intrusion detection systems (AMiDS) for use in critical Internet of Things (CioT) systems and military Internet of Things (MioT) environments may involve synthetic data or publicly simulated data due to data restrictions, data scarcity, or both. However, synthetic data can be unrealistic and potentially biased, and simulated data are invariably static, unrealistic, and prone to obsolescence. Building an AMiDS logical model to predict the deviation from normal behavior in MioT and CioT devices operating at the sensing or perception layer due to adversarial attacks often requires the model to be trained using current and realistic data. Unfortunately, while real-time data are realistic and relevant, they are largely imbalanced. Imbalanced data have a skewed class distribution and low-similarity index, thus hindering the model’s ability to recognize important features in the dataset and make accurate predictions. Data-driven learning using data sampling, resampling, and generative methods can lessen the adverse impact of a data imbalance on the AMiDS model’s performance and prediction accuracy. Generative methods enable passive adversarial learning. This paper investigates several data sampling, resampling, and generative methods. It examines their impacts on the performance and prediction accuracy of AMiDS models trained using imbalanced data drawn from the UNSW_2018_IoT_Botnet dataset, a publicly available IoT dataset from the IEEEDataPort. Furthermore, it evaluates the performance and predictability of these models when trained using data transformation methods, such as normalization and one-hot encoding, to cover a skewed distribution, data sampling and resampling methods to address data imbalances, and generative methods to train the models to increase the model’s robustness to recognize new but similar attacks. In this initial study, we focus on CioT systems and train PCA-based and oSVM-based AMiDS models constructed using low-complexity PCA and one-class SVM (oSVM) ML algorithms to fit an imbalanced ground truth IoT dataset. Overall, we consider the rare event prediction case where the minority class distribution is disproportionately low compared to the majority class distribution. We plan to use transfer learning in future studies to generalize our initial findings to the MioT environment. We focus on CioT systems and MioT environments instead of traditional or non-critical IoT environments due to the stringent low energy, the minimal response time constraints, and the variety of low-power, situational-aware (or both) things operating at the sensing or perception layer in a highly complex and open environment. Full article
(This article belongs to the Special Issue Intrusion, Malware Detection and Prevention in Networks)
Show Figures

Figure 1

26 pages, 13945 KB  
Article
Design, Hardware Implementation on FPGA and Performance Analysis of Three Chaos-Based Stream Ciphers
by Fethi Dridi, Safwan El Assad, Wajih El Hadj Youssef and Mohsen Machhout
Fractal Fract. 2023, 7(2), 197; https://doi.org/10.3390/fractalfract7020197 - 17 Feb 2023
Cited by 13 | Viewed by 4066
Abstract
In this paper, we come up with three secure chaos-based stream ciphers, implemented on an FPGA board, for data confidentiality and integrity. To do so, first, we performed the statistical security and hardware metrics of certain discrete chaotic map models, such as the [...] Read more.
In this paper, we come up with three secure chaos-based stream ciphers, implemented on an FPGA board, for data confidentiality and integrity. To do so, first, we performed the statistical security and hardware metrics of certain discrete chaotic map models, such as the Logistic, Skew-Tent, PWLCM, 3D-Chebyshev map, and 32-bit LFSR, which are the main components of the proposed chaotic generators. Based on the performance analysis collected from the discrete chaotic maps, we then designed, implemented, and analyzed the performance of three proposed robust pseudo-random number generators of chaotic sequences (PRNGs-CS) and their corresponding stream ciphers. The proposed PRNGs-CS are based on the predefined coupling matrix M. The latter achieves a weak mixing of the chaotic maps and a chaotic multiplexing technique or XOR operator for the output function. Therefore, the randomness of the sequences generated is expanded as well as their lengths, and divide-and-conquer attacks on chaotic systems are avoided. In addition, the proposed PRNGs-CS contain polynomial mappings of at least degree 2 or 3 to make algebraic attacks very difficult. Various experimental results obtained and analysis of performance in opposition to different kinds of numerical and cryptographic attacks determine the high level of security and good hardware metrics achieved by the proposed chaos system. The proposed system outperformed the state-of-the-art works in terms of high-security level and a high throughput which can be considered an alternative to the standard methods. Full article
(This article belongs to the Special Issue Advances in Fractional-Order Embedded Systems)
Show Figures

Figure 1

26 pages, 2524 KB  
Article
K-Anonymity Privacy Protection Algorithm for Multi-Dimensional Data against Skewness and Similarity Attacks
by Bing Su, Jiaxuan Huang, Kelei Miao, Zhangquan Wang, Xudong Zhang and Yourong Chen
Sensors 2023, 23(3), 1554; https://doi.org/10.3390/s23031554 - 31 Jan 2023
Cited by 24 | Viewed by 5298
Abstract
Currently, a significant focus has been established on the privacy protection of multi-dimensional data publishing in various application scenarios, such as scientific research and policy-making. The K-anonymity mechanism based on clustering is the main method of shared-data desensitization, but it will cause problems [...] Read more.
Currently, a significant focus has been established on the privacy protection of multi-dimensional data publishing in various application scenarios, such as scientific research and policy-making. The K-anonymity mechanism based on clustering is the main method of shared-data desensitization, but it will cause problems of inconsistent clustering results and low clustering accuracy. It also cannot defend against several common attacks, such as skewness and similarity attacks at the same time. To defend against these attacks, we propose a K-anonymity privacy protection algorithm for multi-dimensional data against skewness and similarity attacks (KAPP) combined with t-closeness. Firstly, we propose a multi-dimensional sensitive data clustering algorithm based on improved African vultures optimization. More specifically, we improve the initialization, fitness calculation, and solution update strategy of the clustering center. The improved African vultures optimization can provide the optimal solution with various dimensions and achieve highly accurate clustering of the multi-dimensional dataset based on multiple sensitive attributes. It ensures that multi-dimensional data of different clusters are different in sensitive data. After the dataset anonymization, similar sensitive data of the same equivalence class will become less, and it eventually does not satisfy the premise of being theft by skewness and similarity attacks. We also propose an equivalence class partition method based on the sensitive data distribution difference value measurement and t-closeness. Namely, we calculate the sensitive data distribution’s difference value of each equivalence class and then combine the equivalence classes with larger difference values. Each equivalence class satisfies t-closeness. This method can ensure that multi-dimensional data of the same equivalence class are different in multiple sensitive attributes, and thus can effectively defend against skewness and similarity attacks. Moreover, we generalize sensitive attributes with significant weight and all quasi-identifier attributes to achieve anonymous protection of the dataset. The experimental results show that KAPP improves clustering accuracy, diversity, and anonymity compared to other similar methods under skewness and similarity attacks. Full article
(This article belongs to the Special Issue Data-Driven Social Intelligence and Its Applications)
Show Figures

Figure 1

17 pages, 2623 KB  
Review
Survey of Credit Card Anomaly and Fraud Detection Using Sampling Techniques
by Maram Alamri and Mourad Ykhlef
Electronics 2022, 11(23), 4003; https://doi.org/10.3390/electronics11234003 - 2 Dec 2022
Cited by 26 | Viewed by 12282
Abstract
The rapid growth in e-commerce has resulted in an increasing number of people shopping online. These shoppers depend on credit cards as a payment method or use mobile wallets to pay for their purchases. Thus, credit cards have become the main payment method [...] Read more.
The rapid growth in e-commerce has resulted in an increasing number of people shopping online. These shoppers depend on credit cards as a payment method or use mobile wallets to pay for their purchases. Thus, credit cards have become the main payment method in the e-world. Given the billions of transactions that occur daily, criminals see tremendous opportunities to be gained from finding different ways of attacking and stealing credit card information. Fraudulent credit card transactions are a serious business issue, and such ‘scams’ can result in significant financial and personal losses. As a result, businesses are increasingly investing in the development of new ideas and methods for detecting and preventing fraud to secure their customers’ trust to protect their privacy. In recent years, learning algorithms have emerged as important in research areas aimed at developing optimal solutions to this issue. The core challenge currently facing researchers is that of the imbalanced credit card dataset, in which the data are highly skewed and the number of normal transactions is much higher than fraudulent transactions, which thus negatively affects the performance of credit card fraud detection. This paper reviews the sampling techniques and their importance in solving the imbalanced data problem. Past research is found to show that hybrid sampling techniques will produce excellent results that can improve the fraud detection system. Full article
(This article belongs to the Section Artificial Intelligence)
Show Figures

Figure 1

21 pages, 699 KB  
Article
Preserving Privacy of High-Dimensional Data by l-Diverse Constrained Slicing
by Zenab Amin, Adeel Anjum, Abid Khan, Awais Ahmad and Gwanggil Jeon
Electronics 2022, 11(8), 1257; https://doi.org/10.3390/electronics11081257 - 15 Apr 2022
Cited by 4 | Viewed by 2365
Abstract
In the modern world of digitalization, data growth, aggregation and sharing have escalated drastically. Users share huge amounts of data due to the widespread adoption of Internet-of-things (IoT) and cloud-based smart devices. Such data could have confidential attributes about various individuals. Therefore, privacy [...] Read more.
In the modern world of digitalization, data growth, aggregation and sharing have escalated drastically. Users share huge amounts of data due to the widespread adoption of Internet-of-things (IoT) and cloud-based smart devices. Such data could have confidential attributes about various individuals. Therefore, privacy preservation has become an important concern. Many privacy-preserving data publication models have been proposed to ensure data sharing without privacy disclosures. However, publishing high-dimensional data with sufficient privacy is still a challenging task and very little focus has been given to propound optimal privacy solutions for high-dimensional data. In this paper, we propose a novel privacy-preserving model to anonymize high-dimensional data (prone to various privacy attacks including probabilistic, skewness, and gender-specific). Our proposed model is a combination of l-diversity along with constrained slicing and vertical division. The proposed model can protect the above-stated attacks with minimal information loss. The extensive experiments on real-world datasets advocate the outperformance of our proposed model among its counterparts. Full article
Show Figures

Figure 1

14 pages, 323 KB  
Article
Sensitivity of Machine Learning Approaches to Fake and Untrusted Data in Healthcare Domain
by Fiammetta Marulli, Stefano Marrone and Laura Verde
J. Sens. Actuator Netw. 2022, 11(2), 21; https://doi.org/10.3390/jsan11020021 - 30 Mar 2022
Cited by 9 | Viewed by 3616
Abstract
Machine Learning models are susceptible to attacks, such as noise, privacy invasion, replay, false data injection, and evasion attacks, which affect their reliability and trustworthiness. Evasion attacks, performed to probe and identify potential ML-trained models’ vulnerabilities, and poisoning attacks, performed to obtain skewed [...] Read more.
Machine Learning models are susceptible to attacks, such as noise, privacy invasion, replay, false data injection, and evasion attacks, which affect their reliability and trustworthiness. Evasion attacks, performed to probe and identify potential ML-trained models’ vulnerabilities, and poisoning attacks, performed to obtain skewed models whose behavior could be driven when specific inputs are submitted, represent a severe and open issue to face in order to assure security and reliability to critical domains and systems that rely on ML-based or other AI solutions, such as healthcare and justice, for example. In this study, we aimed to perform a comprehensive analysis of the sensitivity of Artificial Intelligence approaches to corrupted data in order to evaluate their reliability and resilience. These systems need to be able to understand what is wrong, figure out how to overcome the resulting problems, and then leverage what they have learned to overcome those challenges and improve their robustness. The main research goal pursued was the evaluation of the sensitivity and responsiveness of Artificial Intelligence algorithms to poisoned signals by comparing several models solicited with both trusted and corrupted data. A case study from the healthcare domain was provided to support the pursued analyses. The results achieved with the experimental campaign were evaluated in terms of accuracy, specificity, sensitivity, F1-score, and ROC area. Full article
28 pages, 78637 KB  
Article
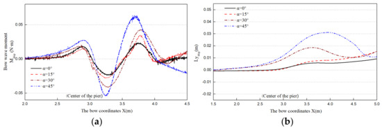
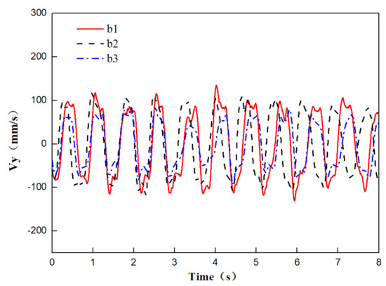
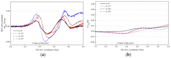
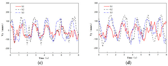
Hydrodynamic Characteristics at Intersection Areas of Ship and Bridge Pier with Skew Bridge
by Anbin Li, Genguang Zhang, Xiaoping Liu, Yuanhao Yu, Ximin Zhang, Huigang Ma and Jiaqiang Zhang
Water 2022, 14(6), 904; https://doi.org/10.3390/w14060904 - 14 Mar 2022
Cited by 8 | Viewed by 3534
Abstract
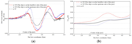
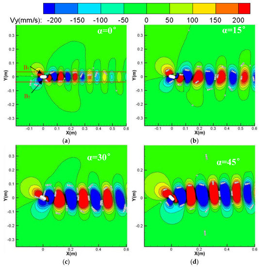
Ships sailing in the area of a bridge are vulnerable to the influence of complex water flow, due to the complex flow pattern around the bridge pier. Ships often crash into bridge piers, leading to serious economic losses and threating personal safety. Based [...] Read more.
Ships sailing in the area of a bridge are vulnerable to the influence of complex water flow, due to the complex flow pattern around the bridge pier. Ships often crash into bridge piers, leading to serious economic losses and threating personal safety. Based on the common forms of piers of skew bridges, the hydrodynamic problems encountered during ship–bridge interactions in the area of a skew bridge were studied using particle image velocimetry-based flume testing, physical model testing, and numerical simulation. The influence of the flow angle of attack of a round-ended pier on the force and center of gravity of a ship moving on both sides of a pier is discussed under various ship–bridge transverse spacings. The results show that as a ship passes through the bridge area, the bow roll moment exhibits three peak values: ‘positive’, ‘negative’, and ‘positive’, and the curve of the center of gravity position forms the shape of a ‘straw hat’. With an increase in the flow angle of attack of the pier, the negative peak value and the second positive peak value of the bow roll moment of the ship passing through the back flow side of the pier become greater than those on the upstream side. Moreover, the ship’s navigation attitude is more unstable compared to that upstream, and the ship is at risk of colliding with the pier and sweeping. The width of the restricted water area, determined by the hydrodynamic action between the ship and bridge in the skew bridge area, is the same as that determined by the critical lateral velocity. For the ship class referred to in this study, the current code can also be used in channel design, to safeguard ship and personal safety with piers with a large flow angle of attack. Full article
(This article belongs to the Section Hydraulics and Hydrodynamics)
Show Figures

Figure 1

22 pages, 701 KB  
Article
A Survey on Data-Driven Learning for Intelligent Network Intrusion Detection Systems
by Ghada Abdelmoumin, Jessica Whitaker, Danda B. Rawat and Abdul Rahman
Electronics 2022, 11(2), 213; https://doi.org/10.3390/electronics11020213 - 11 Jan 2022
Cited by 20 | Viewed by 4658
Abstract
An effective anomaly-based intelligent IDS (AN-Intel-IDS) must detect both known and unknown attacks. Hence, there is a need to train AN-Intel-IDS using dynamically generated, real-time data in an adversarial setting. Unfortunately, the public datasets available to train AN-Intel-IDS are ineluctably static, unrealistic, and [...] Read more.
An effective anomaly-based intelligent IDS (AN-Intel-IDS) must detect both known and unknown attacks. Hence, there is a need to train AN-Intel-IDS using dynamically generated, real-time data in an adversarial setting. Unfortunately, the public datasets available to train AN-Intel-IDS are ineluctably static, unrealistic, and prone to obsolescence. Further, the need to protect private data and conceal sensitive data features has limited data sharing, thus encouraging the use of synthetic data for training predictive and intrusion detection models. However, synthetic data can be unrealistic and potentially bias. On the other hand, real-time data are realistic and current; however, it is inherently imbalanced due to the uneven distribution of anomalous and non-anomalous examples. In general, non-anomalous or normal examples are more frequent than anomalous or attack examples, thus leading to skewed distribution. While imbalanced data are commonly predominant in intrusion detection applications, it can lead to inaccurate predictions and degraded performance. Furthermore, the lack of real-time data produces potentially biased models that are less effective in predicting unknown attacks. Therefore, training AN-Intel-IDS using imbalanced and adversarial learning is instrumental to their efficacy and high performance. This paper investigates imbalanced learning and adversarial learning for training AN-Intel-IDS using a qualitative study. It surveys and synthesizes generative-based data augmentation techniques for addressing the uneven data distribution and generative-based adversarial techniques for generating synthetic yet realistic data in an adversarial setting using rapid review, structured reporting, and subgroup analysis. Full article
(This article belongs to the Special Issue 10th Anniversary of Electronics: Advances in Networks)
Show Figures

Figure 1

Back to TopTop