Sign in to use this feature.

Years

Between: -

Subjects

remove_circle_outline
remove_circle_outline
remove_circle_outline
remove_circle_outline
remove_circle_outline
remove_circle_outline
remove_circle_outline

Journals

Article Types

Countries / Regions

Search Results (128)

Search Parameters:
Keywords = skeletal progenitor cells

Order results
Result details
Results per page
Select all
Export citation of selected articles as:
18 pages, 1475 KB  
Review
Immune-Guided Bone Healing: The Role of Osteoimmunity in Tissue Engineering Approaches
by Serena Munaò, Alessandra Armeli, Desirèe Bonfiglio, Antonella Iaconis and Giovanna Calabrese
Int. J. Mol. Sci. 2025, 26(23), 11642; https://doi.org/10.3390/ijms262311642 - 1 Dec 2025
Viewed by 1201
Abstract
The skeletal and immune systems are intricately linked, forming a dynamic interface that regulates both bone homeostasis and immune function. This bidirectional relationship, central to the field of osteoimmunology, highlights how bone and immune cells interact via shared progenitors and signaling pathways. Osteoclasts [...] Read more.
The skeletal and immune systems are intricately linked, forming a dynamic interface that regulates both bone homeostasis and immune function. This bidirectional relationship, central to the field of osteoimmunology, highlights how bone and immune cells interact via shared progenitors and signaling pathways. Osteoclasts and osteoblasts not only coordinate bone remodeling but also influence hematopoietic and immune functions within the bone marrow microenvironment. The concept of the “bone immune system” underscores this crosstalk, particularly in pathological and regenerative contexts. Despite progress, contradictory findings complicate our understanding of cytokine activity. Pro-inflammatory mediators such as TNF-α and IL-17 are typically associated with bone loss, yet under certain conditions, they paradoxically promote repair by stimulating osteoblast differentiation. Conversely, anti-inflammatory cytokines like IL-10 and TGF-β are generally protective, but their effects vary depending on local context, sometimes even impairing regeneration. These inconsistencies highlight unresolved questions and gaps in mechanistic insight into immune–bone interactions. Bone tissue engineering (BTE) has advanced through biomimetic scaffolds, osteogenic cells, and bioactive molecules, offering hope for large defect repair. However, clinical translation remains limited, largely because immune modulation is not fully integrated into scaffold design. Current preclinical models often fail to capture the complexity of immune–skeletal interplay, reducing predictive value. Addressing these gaps requires improved models and systematic evaluation of immunoregulatory biomaterials, paving the way for more effective and personalized regenerative therapies. Full article
(This article belongs to the Section Molecular Immunology)
Show Figures

Figure 1

47 pages, 2950 KB  
Review
Neural Cues and Genomic Clues: NGS Insights into Neurogenic Sarcopenia and Muscle Atrophy
by Darya Kupriyanova, Airat Bilyalov, Nikita Filatov, Sergei Brovkin, Dmitrii Shestakov, Natalia Bodunova and Oleg Gusev
Int. J. Mol. Sci. 2025, 26(22), 11185; https://doi.org/10.3390/ijms262211185 - 19 Nov 2025
Viewed by 1546
Abstract
Sarcopenia is a progressive loss of skeletal muscle mass and strength with major clinical and economic consequences. While traditional models emphasize mitochondrial dysfunction, inflammation, and proteostasis imbalance, emerging data highlight a neurogenic component involving motor neuron loss, fiber denervation, neuromuscular junction remodeling, and [...] Read more.
Sarcopenia is a progressive loss of skeletal muscle mass and strength with major clinical and economic consequences. While traditional models emphasize mitochondrial dysfunction, inflammation, and proteostasis imbalance, emerging data highlight a neurogenic component involving motor neuron loss, fiber denervation, neuromuscular junction remodeling, and disrupted trophic signaling. To synthesize current evidence on neurogenic mechanisms of sarcopenia revealed by next-generation sequencing and related multi-omics, to map molecular networks across cell types, and to outline translational opportunities for diagnostics and targeted therapy. A narrative review of human and animal studies indexed in PubMed, Web of Science, and Scopus through November 2025. Search terms combined sarcopenia, denervation, neuromuscular junction, neurotrophic signaling, genomics, transcriptomics, epigenomics, single-cell, and spatial transcriptomics. Eligible studies reported omics or physiological endpoints related to neuromuscular function. Convergent omics data support a central role of the nervous system in the onset and progression of sarcopenia. Genetic and regulatory factors linked to denervation, transcriptomic signatures of junctional disassembly, and cell-specific dysfunctions in motor neurons, Schwann cells, satellite cells, and fibro-adipogenic progenitors have been identified. Epigenetic and transcriptional networks underlying neuromuscular homeostasis, along with candidate circulating biomarkers, provide targets for clinical translation. Neurogenic sarcopenia represents a tractable target for precision prevention and therapy. Integration of multi-omics, artificial intelligence, and advanced models such as innervated organoids and NMJ-on-chip systems can accelerate target validation and enable personalized strategies to preserve neuromuscular function. Full article
Show Figures

Figure 1

16 pages, 6116 KB  
Article
Mitochondrial Imaging and Transcriptome Analysis of Bone Mesenchymal Stem Cells During Osteogenesis Under Different Culture Conditions
by Qicheng Li, Tianze Sun, Shiyan Liu, Lu Zhang and Yuhui Kou
Biomolecules 2025, 15(11), 1623; https://doi.org/10.3390/biom15111623 - 19 Nov 2025
Viewed by 756
Abstract
Bone mesenchymal stem cells (BMSCs) are multipotent progenitors with significant potential for bone tissue engineering and regenerative medicine. This study compared the mitochondrial imaging and transcriptome of BMSCs under two-dimensional (2D) and three-dimensional (3D) culture conditions during osteogenesis. 2D BMSCs were induced toward [...] Read more.
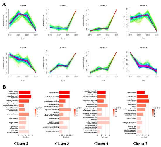
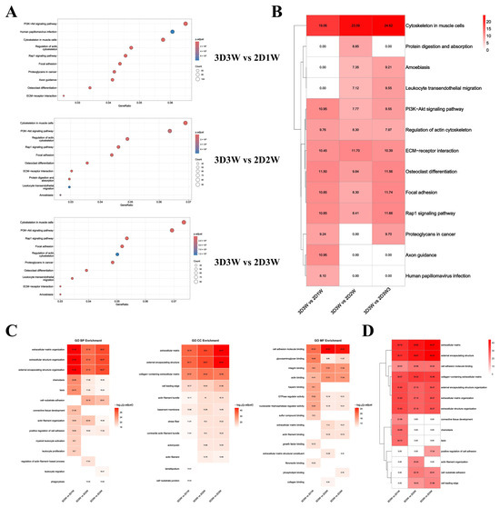
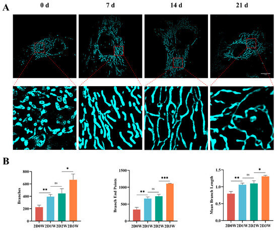
Bone mesenchymal stem cells (BMSCs) are multipotent progenitors with significant potential for bone tissue engineering and regenerative medicine. This study compared the mitochondrial imaging and transcriptome of BMSCs under two-dimensional (2D) and three-dimensional (3D) culture conditions during osteogenesis. 2D BMSCs were induced toward osteogenesis for 7, 14, and 21 days, while 3D BMSCs were induced for 21 days. Osteogenic mineralization was assessed by Alizarin Red S (ARS) staining, and whole-transcriptome sequencing (RNA-Seq) was performed to elucidate gene expression profiles. Furthermore, mitochondrial morphology in live cells was monitored at 0, 7, 14, and 21 days of 2D osteogenic differentiation to observe the mitochondrial changes. High-Sensitivity Structured Illumination Microscopy (HIS-SIM) imaging showed that mitochondrial morphology in BMSCs underwent a shift toward elongated and interconnected networks over time. The transcriptional profile showed that genes associated with skeletal morphogenesis, bone development, and extracellular matrix organization were significantly upregulated in 3D culture systems. These findings indicate that 3D culture is associated with a transcriptional profile enriched in pathways commonly observed during in vivo osteogenesis, which can inform scaffold-based bone-regeneration strategies. Full article
(This article belongs to the Section Molecular Medicine)
Show Figures

Figure 1

16 pages, 4500 KB  
Article
Development of Emerin mRNA Lipid Nanoparticles to Rescue Myogenic Differentiation
by Nicholas Marano, Liza Elif Guner, Rachel S. Riley and James M. Holaska
Int. J. Mol. Sci. 2025, 26(16), 7774; https://doi.org/10.3390/ijms26167774 - 12 Aug 2025
Viewed by 1389
Abstract
Emery–Dreifuss muscular dystrophy 1 (EDMD1) arises from mutations in EMD. Most EDMD1 patients lack detectable emerin expression. They experience symptoms such as skeletal muscle wasting, joint contractures, and cardiac conduction defects. Currently, physicians rely on treating patient symptoms without addressing the underlying [...] Read more.
Emery–Dreifuss muscular dystrophy 1 (EDMD1) arises from mutations in EMD. Most EDMD1 patients lack detectable emerin expression. They experience symptoms such as skeletal muscle wasting, joint contractures, and cardiac conduction defects. Currently, physicians rely on treating patient symptoms without addressing the underlying cause—lack of functional emerin protein. Thus, there is a need for therapeutic approaches that restore emerin protein expression to improve patient outcomes. One way would be to deliver emerin mRNA or protein directly to affected tissues to restore tissue homeostasis. Here, we evaluated the utility of lipid nanoparticles (LNPs) to deliver emerin mRNA to diseased cells. LNPs have been studied for decades and have recently been used clinically for vaccination and treatment of a myriad of diseases. Here, we show that the treatment of emerin-null myogenic progenitors with LNPs encapsulating emerin mRNA causes robust emerin protein expression that persists for at least 4 days. The treatment of differentiating emerin-null myogenic progenitors with 2.5 pg/cell emerin LNPs significantly improved their differentiation. The toxicity profiling of emerin mRNA LNP (EMD-LNP) dosing shows little toxicity at the effective dose. These data support the potential use of EMD-LNPs as a viable treatment option and establishes its utility for studying EDMD pathology. Full article
Show Figures

Figure 1

16 pages, 1247 KB  
Review
When Bone Forms Where It Shouldn’t: Heterotopic Ossification in Muscle Injury and Disease
by Anthony Facchin, Sophie Lemaire, Li Gang Toner, Anteneh Argaw and Jérôme Frenette
Int. J. Mol. Sci. 2025, 26(15), 7516; https://doi.org/10.3390/ijms26157516 - 4 Aug 2025
Cited by 2 | Viewed by 2380
Abstract
Heterotopic ossification (HO) refers to the pathological formation of bone in soft tissues, typically following trauma, surgical procedures, or as a result of genetic disorders. Notably, injuries to the central nervous system significantly increase the risk of HO, a condition referred to as [...] Read more.
Heterotopic ossification (HO) refers to the pathological formation of bone in soft tissues, typically following trauma, surgical procedures, or as a result of genetic disorders. Notably, injuries to the central nervous system significantly increase the risk of HO, a condition referred to as neurogenic HO (NHO). This review outlines the cellular and molecular mechanisms driving HO, focusing on the inflammatory response, progenitor cell reprogramming, and current treatment strategies. HO is primarily fuelled by a prolonged and dysregulated inflammatory response, characterized by sustained expression of osteoinductive cytokines secreted by M1 macrophages. These cytokines promote the aberrant differentiation of fibro-adipogenic progenitor cells (FAPs) into osteoblasts, leading to ectopic mineralization. Additional factors such as hypoxia, BMP signalling, and mechanotransduction pathways further contribute to extracellular matrix (ECM) remodelling and osteogenic reprogramming of FAPs. In the context of NHO, neuroendocrine mediators enhance ectopic bone formation by influencing both local inflammation and progenitor cell fate decisions. Current treatment options such as nonsteroidal anti-inflammatory drugs (NSAIDs), radiation therapy, and surgical excision offer limited efficacy and are associated with significant risks. Novel therapeutic strategies targeting inflammation, neuropeptide signalling, and calcium metabolism may offer more effective approaches to preventing or mitigating HO progression. Full article
Show Figures

Graphical abstract

18 pages, 14270 KB  
Article
Long-Term Engraftment and Satellite Cell Expansion from Human PSC Teratoma-Derived Myogenic Progenitors
by Zahra Khosrowpour, Nivedha Ramaswamy, Elise N. Engquist, Berkay Dincer, Alisha M. Shah, Hossam A. N. Soliman, Natalya A. Goloviznina, Peter I. Karachunski and Michael Kyba
Cells 2025, 14(15), 1150; https://doi.org/10.3390/cells14151150 - 25 Jul 2025
Viewed by 1417
Abstract
Skeletal muscle regeneration requires a reliable source of myogenic progenitor cells capable of forming new fibers and creating a self-renewing satellite cell pool. Human induced pluripotent stem cell (hiPSC)-derived teratomas have emerged as a novel in vivo platform for generating skeletal myogenic progenitors, [...] Read more.
Skeletal muscle regeneration requires a reliable source of myogenic progenitor cells capable of forming new fibers and creating a self-renewing satellite cell pool. Human induced pluripotent stem cell (hiPSC)-derived teratomas have emerged as a novel in vivo platform for generating skeletal myogenic progenitors, although in vivo studies to date have provided only an early single-time-point snapshot. In this study, we isolated a specific population of CD82+ ERBB3+ NGFR+ cells from human iPSC-derived teratomas and verified their long-term in vivo regenerative capacity following transplantation into NSG-mdx4Cv mice. Transplanted cells engrafted, expanded, and generated human Dystrophin+ muscle fibers that increased in size over time and persisted stably long-term. A dynamic population of PAX7+ human satellite cells was established, initially expanding post-transplantation and declining moderately between 4 and 8 months as fibers matured. MyHC isoform analysis revealed a time-based shift from embryonic to neonatal and slow fiber types, indicating a slow progressive maturation of the graft. We further show that these progenitors can be cryopreserved and maintain their engraftment potential. Together, these findings give insight into the evolution of teratoma-derived human myogenic stem cell grafts, and highlight the long-term regenerative potential of teratoma-derived human skeletal myogenic progenitors. Full article
Show Figures

Figure 1

13 pages, 573 KB  
Review
Developmental Programming and Postnatal Modulations of Muscle Development in Ruminants
by Kiersten Gundersen and Muhammad Anas
Biology 2025, 14(8), 929; https://doi.org/10.3390/biology14080929 - 24 Jul 2025
Cited by 2 | Viewed by 1562
Abstract
Prenatal and postnatal skeletal muscle development in ruminants is coordinated by interactions between genetic, nutritional, epigenetic, and endocrine factors. This review focuses on the influence of maternal nutrition during gestation on fetal myogenesis, satellite cell dynamics, and myogenic regulatory factors expression, including MYF5 [...] Read more.
Prenatal and postnatal skeletal muscle development in ruminants is coordinated by interactions between genetic, nutritional, epigenetic, and endocrine factors. This review focuses on the influence of maternal nutrition during gestation on fetal myogenesis, satellite cell dynamics, and myogenic regulatory factors expression, including MYF5, MYOD1, and MYOG. Studies in sheep and cattle indicate that nutrient restriction or overnutrition alters muscle fiber number, the cross-sectional area, and the transcriptional regulation of myogenic genes in offspring. Postnatally, muscle hypertrophy is primarily mediated by satellite cells, which are activated via PAX7, MYOD, and MYF5, and regulated through mechanisms such as CARM1-induced chromatin remodeling and miR-31-mediated mRNA expression. Hormonal signaling via the GH–IGF1 axis and thyroid hormones further modulate satellite cell proliferation and protein accretion. Genetic variants, such as myostatin mutations in Texel sheep and Belgian Blue cattle, enhance muscle mass but may compromise reproductive efficiency. Nutritional interventions, including the plane of nutrition, supplementation strategies, and environmental stressors such as heat and stocking density, significantly influence muscle fiber composition and carcass traits. This review provides a comprehensive overview of skeletal muscle programming in ruminants, tracing the developmental trajectory from progenitor cell differentiation to postnatal growth and maturation. These insights underscore the need for integrated approaches combining maternal diet optimization, molecular breeding, and precision livestock management to enhance muscle growth, meat quality, and production sustainability in ruminant systems. Full article
Show Figures

Figure 1

23 pages, 2571 KB  
Communication
Duchenne Muscular Dystrophy Patient iPSCs—Derived Skeletal Muscle Organoids Exhibit a Developmental Delay in Myogenic Progenitor Maturation
by Urs Kindler, Lampros Mavrommatis, Franziska Käppler, Dalya Gebrehiwet Hiluf, Stefanie Heilmann-Heimbach, Katrin Marcus, Thomas Günther Pomorski, Matthias Vorgerd, Beate Brand-Saberi and Holm Zaehres
Cells 2025, 14(13), 1033; https://doi.org/10.3390/cells14131033 - 7 Jul 2025
Cited by 2 | Viewed by 2374
Abstract
Background: Duchenne muscular dystrophy (DMD), which affects 1 in 3500 to 5000 newborn boys worldwide, is characterized by progressive skeletal muscle weakness and degeneration. The reduced muscle regeneration capacity presented by patients is associated with increased fibrosis. Satellite cells (SCs) are skeletal muscle [...] Read more.
Background: Duchenne muscular dystrophy (DMD), which affects 1 in 3500 to 5000 newborn boys worldwide, is characterized by progressive skeletal muscle weakness and degeneration. The reduced muscle regeneration capacity presented by patients is associated with increased fibrosis. Satellite cells (SCs) are skeletal muscle stem cells that play an important role in adult muscle maintenance and regeneration. The absence or mutation of dystrophin in DMD is hypothesized to impair SC asymmetric division, leading to cell cycle arrest. Methods: To overcome the limited availability of biopsies from DMD patients, we used our 3D skeletal muscle organoid (SMO) system, which delivers a stable population of myogenic progenitors (MPs) in dormant, activated, and committed stages, to perform SMO cultures using three DMD patient-derived iPSC lines. Results: The results of scRNA-seq analysis of three DMD SMO cultures versus two healthy, non-isogenic, SMO cultures indicate reduced MP populations with constant activation and differentiation, trending toward embryonic and immature myotubes. Mapping our data onto the human myogenic reference atlas, together with primary SC scRNA-seq data, indicated a more immature developmental stage of DMD organoid-derived MPs. DMD fibro-adipogenic progenitors (FAPs) appear to be activated in SMOs. Conclusions: Our organoid system provides a promising model for studying muscular dystrophies in vitro, especially in the case of early developmental onset, and a methodology for overcoming the bottleneck of limited patient material for skeletal muscle disease modeling. Full article
(This article belongs to the Special Issue The Current Applications and Potential of Stem Cell-Derived Organoids)
Show Figures

Figure 1

26 pages, 13887 KB  
Article
Multi-Omics Identification of Fos as a Central Regulator in Skeletal Muscle Adaptation to Long-Term Aerobic Exercise
by Chaoyang Li, Xinyuan Zhu and Yi Yan
Biology 2025, 14(6), 596; https://doi.org/10.3390/biology14060596 - 24 May 2025
Viewed by 1807
Abstract
Skeletal muscle health and function are closely linked to long-term aerobic exercise, particularly in enhancing muscle metabolism and regulating gene expression. Regular endurance training can significantly ameliorate metabolic dysfunction and prevent chronic diseases. However, the precise molecular mechanisms underlying skeletal muscle adaptations to [...] Read more.
Skeletal muscle health and function are closely linked to long-term aerobic exercise, particularly in enhancing muscle metabolism and regulating gene expression. Regular endurance training can significantly ameliorate metabolic dysfunction and prevent chronic diseases. However, the precise molecular mechanisms underlying skeletal muscle adaptations to long-term aerobic exercise require further clarification. To address this, we integrated transcriptomic and single-cell omics datasets from multiple long-term aerobic exercise models retrieved from the GEO database. After merging and batch correction, differential expression analysis identified 204 DEGs, including 110 upregulated and 94 downregulated genes. Key feature genes were screened using Lasso regression, SVM-RFE, and Random Forest machine learning algorithms, validated by RT-qPCR, and refined through PPI network analysis. Among them, Fos and Tnfrsf12a were significantly downregulated following long-term aerobic exercise. Notably, Fos exhibited a more pronounced decrease than Tnfrsf12a, and was strongly associated with inflammation and muscle regeneration. PPI network analysis indicated that Fos interacted with genes such as Casp3, Egr1, Aft3, Hspa5, Src, and Igf2. GO, KEGG, and GSEA enrichment analyses revealed that Fos is involved in skeletal muscle differentiation, tissue remodeling, and the NF-κB inflammatory pathway. ssGSEA analysis further showed that samples with low Fos expression had significantly elevated Th1/Th2 and Treg cell infiltration. Single-cell analysis confirmed preferential Fos expression in muscle fiber/adipocyte progenitors, satellite cells, and tenocytes, all critical for myogenesis. In summary, our findings suggest that long-term aerobic exercise downregulates Fos, potentially alleviating inflammation and enhancing satellite cell-mediated muscle regeneration. Fos may serve as a central regulator of skeletal muscle remodeling during long-term aerobic exercise. Full article
Show Figures

Figure 1

20 pages, 8179 KB  
Article
Unveiling Key Genes and Crucial Pathways in Goose Muscle Satellite Cell Biology Through Integrated Transcriptomic and Metabolomic Analyses
by Yi Liu, Cui Wang, Mingxia Li, Yunzhou Yang, Huiying Wang, Shufang Chen and Daqian He
Int. J. Mol. Sci. 2025, 26(8), 3710; https://doi.org/10.3390/ijms26083710 - 14 Apr 2025
Cited by 1 | Viewed by 1157
Abstract
Skeletal muscle satellite cells (SMSCs) are quiescent stem cells located in skeletal muscle tissue and function as the primary reservoir of myogenic progenitors for muscle growth and regeneration. However, the molecular and metabolic mechanisms governing their differentiation in geese remain largely unexplored. This [...] Read more.
Skeletal muscle satellite cells (SMSCs) are quiescent stem cells located in skeletal muscle tissue and function as the primary reservoir of myogenic progenitors for muscle growth and regeneration. However, the molecular and metabolic mechanisms governing their differentiation in geese remain largely unexplored. This study comprehensively examined the morphological, transcriptional, and metabolic dynamics of goose SMSCs across three critical differentiation stages: the quiescent stage (DD0), the differentiation stage (DD4), and the late differentiation stage (DD6). By integrating transcriptomic and metabolomic analyses, stage-specific molecular signatures and regulatory networks involved in SMSC differentiation were identified. Principal component analysis revealed distinct clustering patterns in gene expression and metabolite profiles across these stages, highlighting dynamic shifts in lipid metabolism and myogenesis. The PPAR signaling pathway emerged as a key regulator, with crucial genes such as PPARG, IGF1, ACSL5, FABP5, and PLIN1 exhibiting differentiation-dependent expression patterns. Notably, PPARG and IGF1 displayed negative correlations with adenosine and L-carnitine levels, suggesting their role in metabolic reprogramming during myotube formation. Additionally, MYOM2 and MYBPC1 exhibited stage-specific regulation and positively correlated with 2,3-dimethoxyphenylamine. This study provides a foundational framework for understanding muscle development and regeneration, offering valuable insights for both agricultural and biomedical research. Full article
(This article belongs to the Special Issue Molecular Regulation of Animal Fat and Muscle Development)
Show Figures

Figure 1

19 pages, 21364 KB  
Article
Stem Cells Associated with Adult Skeletal Muscle Can Form Beating Cardiac Tissue In Vitro in Response to Media Containing Heparin, Dexamethasone, Growth Factors and Hydrogen Peroxide
by Leonard M. Eisenberg and Carol A. Eisenberg
Int. J. Mol. Sci. 2025, 26(6), 2683; https://doi.org/10.3390/ijms26062683 - 17 Mar 2025
Viewed by 1310
Abstract
Both cardiac and skeletal muscles originate from the mesoderm, although the two tissues develop from distinct primordia within the early embryo. The shared, albeit distinctive muscle phenotype of these two cell types have led many researchers to investigate whether stem cells from adult [...] Read more.
Both cardiac and skeletal muscles originate from the mesoderm, although the two tissues develop from distinct primordia within the early embryo. The shared, albeit distinctive muscle phenotype of these two cell types have led many researchers to investigate whether stem cells from adult skeletal muscle have the capacity to generate cells with a contractile, cardiac phenotype. To date, most of those studies have relied on multistep protocols requiring tissue engineering, co-cultures or transplantation experimentation. In this report, we describe a simple, cell culture method for obtaining contractile, cardiogenic aggregates from skeletal muscle-derived stem cells (MDSCs). Combining in vitro conditions used for promoting the differentiation of cardiac progenitor cells and the long-term maintenance of heart tissue fragments, we have been able to convert MDSCs to myocardial cells that aggregate into beating myospheres. These selective and optimized culture conditions continued to support a contractile cardiogenic phenotype for over four months in vitro. This culture protocol provides a model for future insights into the pathways responsible for the divergence of skeletal and cardiac phenotypes, as well as a source of easily obtained myocardial tissue for subsequent scientific investigations into cardiac function and biology. Full article
(This article belongs to the Section Molecular Pathology, Diagnostics, and Therapeutics)
Show Figures

Figure 1

14 pages, 1052 KB  
Review
The Role of Erythropoietin in Metabolic Regulation
by Weiqin Yin and Constance T. Noguchi
Cells 2025, 14(4), 280; https://doi.org/10.3390/cells14040280 - 14 Feb 2025
Cited by 4 | Viewed by 7164
Abstract
Erythropoietin (EPO) is a key regulator of erythrocyte production, promoting erythroid progenitor cell survival, division, and differentiation in the fetal liver and adult bone marrow. Mice lacking EPO or its receptor (EPOR) die in utero due to severe anemia. Beyond hematopoiesis, EPO influences [...] Read more.
Erythropoietin (EPO) is a key regulator of erythrocyte production, promoting erythroid progenitor cell survival, division, and differentiation in the fetal liver and adult bone marrow. Mice lacking EPO or its receptor (EPOR) die in utero due to severe anemia. Beyond hematopoiesis, EPO influences non-hematopoietic tissues, including glucose and fat metabolism in adipose tissue, skeletal muscle, and the liver. EPO is used to treat anemia associated with chronic kidney disease clinically and plays a role in maintaining metabolic homeostasis and regulating fat mass. EPO enhances lipolysis while inhibiting lipogenic gene expression in white adipose tissue, brown adipose tissue, skeletal muscle, and the liver, acting through the EPO-EPOR-RUNX1 axis. The non-erythroid EPOR agonist ARA290 also improves diet-induced obesity and glucose tolerance providing evidence for EPO regulation of fat metabolism independent of EPO stimulated erythropoiesis. Therefore, in addition to the primary role of EPO to stimulate erythropoiesis, EPO contributes significantly to EPOR-dependent whole-body metabolic response. Full article
(This article belongs to the Special Issue Highlights in Red Blood Cell Research)
Show Figures

Figure 1

14 pages, 2707 KB  
Article
Calponin 3 Regulates Myoblast Proliferation and Differentiation Through Actin Cytoskeleton Remodeling and YAP1-Mediated Signaling in Myoblasts
by Mai Thi Nguyen, Quoc Kiet Ly, Thanh Huu Phan Ngo and Wan Lee
Cells 2025, 14(2), 142; https://doi.org/10.3390/cells14020142 - 18 Jan 2025
Viewed by 1916
Abstract
An actin-binding protein, known as Calponin 3 (CNN3), modulates the remodeling of the actin cytoskeleton, a fundamental process for the maintenance of skeletal muscle homeostasis. Although the roles of CNN3 in actin remodeling have been established, its biological significance in myoblast differentiation remains [...] Read more.
An actin-binding protein, known as Calponin 3 (CNN3), modulates the remodeling of the actin cytoskeleton, a fundamental process for the maintenance of skeletal muscle homeostasis. Although the roles of CNN3 in actin remodeling have been established, its biological significance in myoblast differentiation remains largely unknown. This study investigated the functional significance of CNN3 in myogenic differentiation, along with its effects on actin remodeling and mechanosensitive signaling in C2C12 myoblasts. CNN3 knockdown led to a marked increase in filamentous actin, which promoted the nuclear localization of Yes-associated protein 1 (YAP1), a mechanosensitive transcriptional coactivator required for response to the mechanical cues that drive cell proliferation. Subsequently, CNN3 depletion enhanced myoblast proliferation by upregulating the expression of the YAP1 target genes related to cell cycle progression, such as cyclin B1, cyclin D1, and PCNA. According to a flow cytometry analysis, CNN3-deficient cells displayed higher S and G2/M phase fractions, which concurred with elevated proliferation rates. Furthermore, CNN3 knockdown impaired myogenic differentiation, as evidenced by reduced levels of MyoD, MyoG, and MyHC, key markers of myogenic commitment and maturation, and immunocytochemistry showed that myotube formation was diminished in CNN3-suppressed cells, which was supported by lower differentiation and fusion indices. These findings reveal that CNN3 is essential for myogenic differentiation, playing a key role in regulating actin remodeling and cellular localization of YAP1 to orchestrate the proliferation and differentiation in myogenic progenitor cells. This study highlights CNN3 as a critical regulator of skeletal myogenesis and suggests its therapeutic potential as a target for muscle atrophy and related disorders. Full article
(This article belongs to the Special Issue Advances in Muscle Research in Health and Disease—2nd Edition)
Show Figures

Figure 1

16 pages, 7562 KB  
Article
Heart Morphogenesis Requires Smyd1b for Proper Incorporation of the Second Heart Field in Zebrafish
by Kendal Prill, Pamela Windsor Reid and Dave Pilgrim
Genes 2025, 16(1), 52; https://doi.org/10.3390/genes16010052 - 4 Jan 2025
Viewed by 1550
Abstract
Background/Objectives: Abnormal development of the second heart field significantly contributes to congenital heart defects, often caused by disruptions in tightly regulated molecular pathways. Smyd1, a gene encoding a protein with SET and MYND domains, is essential for heart and skeletal muscle development. [...] Read more.
Background/Objectives: Abnormal development of the second heart field significantly contributes to congenital heart defects, often caused by disruptions in tightly regulated molecular pathways. Smyd1, a gene encoding a protein with SET and MYND domains, is essential for heart and skeletal muscle development. Mutations in SMYD1 result in severe cardiac malformations and misregulation of Hand2 expression in mammals. This study examines the role of Smyd1b in zebrafish cardiac morphogenesis to elucidate its function and the mechanisms underlying congenital heart defects. Methods: Smyd1b (still heart) mutant embryos were analyzed for cardiac defects, and changes in gene expression related to heart development using live imaging, in situ hybridization, quantitative PCR and immunofluorescent comparisons and analysis. Results: Smyd1b mutants displayed severe cardiac defects, including failure to loop, severe edema, and an expansion of cardiac jelly linked to increased has2 expression. Additionally, the expression of key cardiac transcription factors, such as gata4, gata5, and nkx2.5, was notably reduced, indicating disrupted transcriptional regulation. The migration of cardiac progenitors was impaired and the absence of Islet-1-positive cells in the mutant hearts suggests a failed contribution of SHF progenitor cells. Conclusions: These findings underscore the essential role of Smyd1b in regulating cardiac morphogenesis and the development of the second heart field. This study highlights the potential of Smyd1b as a key factor in understanding the genetic and molecular mechanisms underlying congenital heart defects and cardiac development. Full article
(This article belongs to the Section Molecular Genetics and Genomics)
Show Figures

Figure 1

13 pages, 7237 KB  
Article
Skeletal Site-Specific Lipid Profile and Hematopoietic Progenitors of Bone Marrow Adipose Tissue in Patients Undergoing Primary Hip Arthroplasty
by Drenka Trivanović, Marko Vujačić, Aleksandra Arsić, Tamara Kukolj, Milica Rajković, Nikola Bogosavljević, Zoran Baščarević, Mirjana Maljković Ružičić, Jovana Kovačević and Aleksandra Jauković
Metabolites 2025, 15(1), 16; https://doi.org/10.3390/metabo15010016 - 4 Jan 2025
Cited by 2 | Viewed by 2178
Abstract
Background/Objectives: Bone marrow adipose tissue (BMAT) has been described as an important biomechanic and lipotoxic factor with negative impacts on skeletal and hematopoietic system regeneration. BMAT undergoes metabolic and cellular adaptations with age and disease, being a source of potential biomarkers. However, there [...] Read more.
Background/Objectives: Bone marrow adipose tissue (BMAT) has been described as an important biomechanic and lipotoxic factor with negative impacts on skeletal and hematopoietic system regeneration. BMAT undergoes metabolic and cellular adaptations with age and disease, being a source of potential biomarkers. However, there is no evidence on the lipid profile and cellularity at different skeletal locations in osteoarthritis patients undergoing primary hip arthroplasty. Methods: Acetabular and femoral bone marrow (BM) and gluteofemoral subcutaneous adipose tissue (gfSAT) were obtained from matched patients undergoing hip replacement surgery. BM, BMAT, and gfSAT were explored at the levels of total lipids, fatty acids, and cells by using thin-layerand gas chromatography, ex vivo cellular assays, and flow cytometry. Results: BMAT content was significantly higher in femoral than in acetabular BM. Total lipid analyses revealed significantly lower triglyceride content in femoral than in acetabular BMAT and gfSAT. Frequencies of saturated palmitic, myristic, and stearic acids were higher in femoral than in acetabular BMAT and gfSAT. The content of CD45+CD34+ cells within femoral BMAT was higher than in acetabular BMAT or gfSAT. This was associated with a higher incidence of total clonogenic hematopoietic progenitors and late erythroid colonies CFU-E in femoral BMAT when compared to acetabular BMAT, similar to their BM counterparts. Conclusions: Collectively, our results indicate that the lipid profiles of hip bone and femoral BMAT impose significantly different microenvironments and distributions of cells with hematopoietic potential. These findings might bring forth new inputs for defining BMAT biology and setting novel directions in OA disease investigations. Full article
(This article belongs to the Special Issue Profiling of Bone Marrow Adipose Tissue Cells and Metabolism)
Show Figures

Figure 1

Back to TopTop