Sign in to use this feature.

Years

Between: -

Subjects

remove_circle_outline
remove_circle_outline
remove_circle_outline
remove_circle_outline
remove_circle_outline
remove_circle_outline
remove_circle_outline
remove_circle_outline
remove_circle_outline

Journals

Article Types

Countries / Regions

Search Results (179)

Search Parameters:
Keywords = single-epoch AR

Order results
Result details
Results per page
Select all
Export citation of selected articles as:
26 pages, 17747 KB  
Article
GAN Predictability for Urban Environmental Performance: Learnability Mechanisms, Structural Consistency, and Efficiency Bounds
by Chenglin Wang, Shiliang Wang, Sixuan Ren, Wenjing Luo, Wenxin Yi and Mei Qing
Atmosphere 2025, 16(12), 1403; https://doi.org/10.3390/atmos16121403 - 13 Dec 2025
Viewed by 155
Abstract
Generative adversarial networks (GANs) can rapidly predict urban environmental performance. However, most existing studies focus on a single target and lack cross-performance comparisons under unified conditions. Under unified urban-form inputs and training settings, this study employs the conditional adversarial model pix2pix to predict [...] Read more.
Generative adversarial networks (GANs) can rapidly predict urban environmental performance. However, most existing studies focus on a single target and lack cross-performance comparisons under unified conditions. Under unified urban-form inputs and training settings, this study employs the conditional adversarial model pix2pix to predict four targets—the Universal Thermal Climate Index (UTCI), annual global solar radiation (Rad), sunshine duration (SolarH), and near-surface wind speed (Wind)—and establishes a closed-loop evaluation framework spanning pixel, structural/region-level, cross-task synergy, complexity, and efficiency. The results show that (1) the overall ranking in accuracy and structural consistency is SolarH ≈ Rad > UTCI > Wind; (2) per-epoch times are similar, whereas convergence epochs differ markedly, indicating that total time is primarily governed by convergence difficulty; (3) structurally, Rad/SolarH perform better on hot-region overlap and edge alignment, whereas Wind exhibits larger errors at corners and canyons; (4) in terms of learnability, texture variation explains errors far better than edge count; and (5) cross-task synergy is higher in low-value regions than in high-value regions, with Wind clearly decoupled from the other targets. The distinctive contribution lies in a unified, reproducible evaluation framework, together with learnability mechanisms and applicability bounds, providing fast and reliable evidence for performance-oriented planning and design. Full article
(This article belongs to the Section Atmospheric Techniques, Instruments, and Modeling)
Show Figures

Figure 1

23 pages, 21889 KB  
Article
Multi-Stage Domain-Adapted 6D Pose Estimation of Warehouse Load Carriers: A Deep Convolutional Neural Network Approach
by Hisham ElMoaqet, Mohammad Rashed and Mohamed Bakr
Machines 2025, 13(12), 1126; https://doi.org/10.3390/machines13121126 - 8 Dec 2025
Viewed by 305
Abstract
Intelligent autonomous guided vehicles (AGVs) are of huge importance in facilitating the automation of load handling in the era of Industry 4.0. AGVs heavily rely on environmental perception, such as the 6D poses of objects, in order to execute complex tasks efficiently. Therefore, [...] Read more.
Intelligent autonomous guided vehicles (AGVs) are of huge importance in facilitating the automation of load handling in the era of Industry 4.0. AGVs heavily rely on environmental perception, such as the 6D poses of objects, in order to execute complex tasks efficiently. Therefore, estimating the 6D poses of objects in warehouses is crucial for proper load handling in modern intra-logistics warehouse environments. This study presents a deep convolutional neural network approach for estimating the pose of warehouse load carriers. Recognizing the paucity of labeled real 6D pose estimation data, the proposed approach uses only synthetic RGB warehouse data to train the network. Domain adaption was applied using a Contrastive Unpaired Image-to-Image Translation (CUT) Network to generate domain-adapted training data that can bridge the domain gap between synthetic and real environments and help the model generalize better over realistic scenes. In order to increase the detection range, a multi-stage refinement detection pipeline is developed using consistent multi-view multi-object 6D pose estimation (CosyPose) networks. The proposed framework was tested with different training scenarios, and its performance was comprehensively analyzed and compared with a state-of-the-art non-adapted single-stage pose estimation approach, showing an improvement of up to 80% on the ADD-S AUC metric. Using a mix of adapted and non-adapted synthetic data along with splitting the state space into multiple refiners, the proposed approach achieved an ADD-S AUC performance greater than 0.81 over a wide detection range, from one and up to five meters, while still being trained on a relatively small synthetic dataset for a limited number of epochs. Full article
(This article belongs to the Special Issue Industry 4.0: Intelligent Robots in Smart Manufacturing)
Show Figures

Figure 1

21 pages, 17206 KB  
Article
Mean-Curvature-Regularized Deep Image Prior with Soft Attention for Image Denoising and Deblurring
by Muhammad Israr, Shahbaz Ahmad, Muhammad Nabeel Asghar and Saad Arif
Mathematics 2025, 13(24), 3906; https://doi.org/10.3390/math13243906 - 6 Dec 2025
Viewed by 287
Abstract
Sparsity-driven regularization has undergone significant development in single-image restoration, particularly with the transition from handcrafted priors to trainable deep architectures. In this work, a geometric prior-enhanced deep image prior (DIP) framework, termed DIP-MC, is proposed that integrates mean curvature (MC) regularization to promote [...] Read more.
Sparsity-driven regularization has undergone significant development in single-image restoration, particularly with the transition from handcrafted priors to trainable deep architectures. In this work, a geometric prior-enhanced deep image prior (DIP) framework, termed DIP-MC, is proposed that integrates mean curvature (MC) regularization to promote natural smoothness and structural coherence in reconstructed images. To strengthen the representational capacity of DIP, a self-attention module is incorporated between the encoder and decoder, enabling the network to capture long-range dependencies and preserve fine-scale textures. In contrast to total variation (TV), which frequently produces piecewise-constant artifacts and staircasing, MC regularization leverages curvature information, resulting in smoother transitions while maintaining sharp structural boundaries. DIP-MC is evaluated on standard grayscale and color image denoising and deblurring tasks using benchmark datasets including BSD68, Classic5, LIVE1, Set5, Set12, Set14, and the Levin dataset. Quantitative performance is assessed using peak signal-to-noise ratio (PSNR) and structural similarity index measure (SSIM) metrics. Experimental results demonstrate that DIP-MC consistently outperformed the DIP-TV baseline with 26.49 PSNR and 0.9 SSIM. It achieved competitive performance relative to BM3D and EPLL models with 28.6 PSNR and 0.87 SSIM while producing visually more natural reconstructions with improved detail fidelity. Furthermore, the learning dynamics of DIP-MC are analyzed by examining update-cost behavior during optimization, visualizing the best-performing network weights, and monitoring PSNR and SSIM progression across training epochs. These evaluations indicate that DIP-MC exhibits superior stability and convergence characteristics. Overall, DIP-MC establishes itself as a robust, scalable, and geometrically informed framework for high-quality single-image restoration. Full article
(This article belongs to the Special Issue Mathematical Methods for Image Processing and Understanding)
Show Figures

Figure 1

58 pages, 30913 KB  
Article
North American Caballines and Amerhippines of the Past 1 Million Years (Part 1)
by Véra Eisenmann, Christina I. Barrón-Ortiz and Marisol Montellano-Ballesteros
Quaternary 2025, 8(4), 68; https://doi.org/10.3390/quat8040068 - 14 Nov 2025
Viewed by 707
Abstract
Horses were widely distributed in North America during the Pleistocene epoch and their fossil remains are common in sedimentary deposits of this age. Despite their rich fossil record, the systematics and taxonomy of North American Pleistocene horses remain unresolved. We evaluated a large [...] Read more.
Horses were widely distributed in North America during the Pleistocene epoch and their fossil remains are common in sedimentary deposits of this age. Despite their rich fossil record, the systematics and taxonomy of North American Pleistocene horses remain unresolved. We evaluated a large sample of cranial and postcranial horse fossils of Irvingtonian and Rancholabrean North American Land Mammal Age. In this study, we present Part 1 of our evaluation, which centers on caballine horses, Equus (Equus). We present data (measurements and photographs) and analyses (Simpson’s ratio diagrams, scatter diagrams, and anatomical comparisons) that reveal morphological variation in North American caballine horses. These analyses serve as the basis for recognizing different morphospecies: E. (E.) scotti, E. (E.) alaskae, E. (E.) lambei (the latter two possibly representing “ecological variants” of a single species), E. (E.) niobrarensis, E. (E.) pacificus, and E. (E.) complicatus. How these morphospecies (or chronospecies or ecological variants) were phylogenetically related remains to be evaluated. Equus (E.) hatcheri may be considered as a morphological variant or chronological variant of E. (E.) niobrarensis. Equus holmesi is considered a junior synonym of E. (E.) scotti, while E. bautistensis may be regarded as a junior synonym of E. (E.) pacificus. Equus laurentius is a junior synonym of E. (E.) caballus, a synonymy proposed previously in other studies. We are uncertain about the nature of E. midlandensis. In addition, we identify morphometric and anatomical features that distinguish between Equus (Equus), North American Equus (Amerhippus), and Equus (Hesperohippus) mexicanus. This study aims to advance our understanding of the taxonomy of North American Pleistocene horses, providing a thoroughly documented catalogue as a basis for further studies. Full article
Show Figures

Figure 1

19 pages, 1742 KB  
Article
Analysis of a Markovian Queueing Model with an Alternating Server and Queue-Length-Based Threshold Control
by Doo Il Choi and Dae-Eun Lim
Mathematics 2025, 13(21), 3555; https://doi.org/10.3390/math13213555 - 6 Nov 2025
Cited by 1 | Viewed by 486
Abstract
This paper analyzes a finite-capacity Markovian queueing system with two customer types, each assigned to a separate buffer, and a single alternating server whose service priority is dynamically controlled by a queue-length-based threshold policy. The arrivals of both customer types follow independent Poisson [...] Read more.
This paper analyzes a finite-capacity Markovian queueing system with two customer types, each assigned to a separate buffer, and a single alternating server whose service priority is dynamically controlled by a queue-length-based threshold policy. The arrivals of both customer types follow independent Poisson processes, and the service times are generally distributed. The server alternates between the two buffers, granting service priority to buffer 1 when its queue length exceeds a specified threshold immediately after service completion; otherwise, buffer 2 receives priority. Once buffer 1 gains priority, it retains it until it becomes empty, with all priority transitions occurring non-preemptively. We develop an embedded Markov chain model to derive the joint queue length distribution at departure epochs and employ supplementary variable techniques to analyze the system performance at arbitrary times. This study provides explicit expressions for key performance measures, including blocking probabilities and average queue lengths, and demonstrates the effectiveness of threshold-based control in balancing service quality between customer classes. Numerical examples illustrate the impact of buffer capacities and threshold settings on system performance and offer practical insights into the design of adaptive scheduling policies in telecommunications, cloud computing, and healthcare systems. Full article
(This article belongs to the Special Issue Advances in Queueing Theory and Applications)
Show Figures

Figure 1

18 pages, 3089 KB  
Article
Comparisons of Differential Code Bias (DCB) Estimates and Low-Earth-Orbit (LEO)-Topside Ionosphere Extraction Based on Two Different Topside Ionosphere Processing Methods
by Mingming Liu, Yunbin Yuan, Jikun Ou and Bingfeng Tan
Remote Sens. 2025, 17(21), 3550; https://doi.org/10.3390/rs17213550 - 27 Oct 2025
Viewed by 420
Abstract
Global navigation satellite system (GNSS) differential code bias (DCB) and topside ionosphere vertical electron content (VEC) can be estimated using onboard data from low-earth-orbit (LEO) satellites. These satellites provide the potential to make up for the lack of ground-based stations in the oceanic [...] Read more.
Global navigation satellite system (GNSS) differential code bias (DCB) and topside ionosphere vertical electron content (VEC) can be estimated using onboard data from low-earth-orbit (LEO) satellites. These satellites provide the potential to make up for the lack of ground-based stations in the oceanic and polar regions and establish a high-precision global ionosphere model. In order to study the influences of different LEO-topside VEC processing methods on estimates, we creatively analyzed and compared the results and accuracy of the DCBs and LEO-topside VEC estimates using two topside VEC solutions—the SH-topside VEC (spherical harmonic-topside vertical electron content) and EP-topside VEC (epoch parameter-topside vertical electron content) methods. Some conclusions are drawn as follows. (1) Using GRACE-A data (400 km in 2016), the monthly stabilities (STDs) of GPS satellite DCBs and LEO receiver DCBs using the EP-topside VEC method are better than those using the SH-topside VEC method. For JASON-2 data (1350 km), the STD results of GPS DCBs using the SH-topside VEC method are slightly superior to those using the EP-topside VEC method, and LEO DCBs using the two methods have similar STD results. However, the root mean square (RMS) results for GPS DCBs using the SH-topside VEC model relative to the Center for Orbit Determination in Europe (CODE) products are slightly superior to those using the EP-topside VEC method. (2) The peak ranges of the actual GRACE-A-topside VEC results using the SH-topside VEC and EP-topside VEC methods are within 42 and 35 TECU, respectively, while the peak ranges of the JASON-2-topside VEC results are both within 6 TECU. Additionally, only the SH-topside VEC model results are displayed due to the EP-topside VEC method not modeling VEC. Due to the difference in orbital altitude, the results and distributions of the GRACE-topside VECs differ from those of the JASON-topside VECs, with the former being more consistent with the ground-based results, indicating that there may be different height structures in the LEO-topside VECs. In addition, we applied the IRI-GIM (International Reference Ionosphere model–Global Ionosphere Map) method to compare the LEO-based topside VEC results, which indicate that the accuracy of GRACE-A-topside VEC using the EP-topside VEC method is better than that using the SH-topside VEC method, whereas for JASON-2, the two methods have similar accuracy. Meanwhile, we note that the temporal and spatial resolutions of the SH-topside VEC method are higher than those of the EP-topside VEC method, and the former has a wide range of usability and predictive characteristics. The latter seems to correspond to the single-epoch VEC mean of the former to some extent. Full article
(This article belongs to the Special Issue Low Earth Orbit Enhanced GNSS: Opportunities and Challenges)
Show Figures

Figure 1

21 pages, 2555 KB  
Article
Enhancing PPP-B2b Performance with Regional Atmospheric Augmentation
by Qing Zhao, Shuguo Pan, Wang Gao, Xianlu Tao, Hao Liu, Zeyu Zhang and Qiang Wang
Remote Sens. 2025, 17(21), 3522; https://doi.org/10.3390/rs17213522 - 23 Oct 2025
Viewed by 520
Abstract
Currently, the PPP-B2b service faces challenges such as long convergence times and re-convergence issues after signal interruptions due to the lack of high-precision atmospheric enhancement. To address this, this study develops a multi-frequency uncombined Precise Point Positioning (PPP) model that accounts for Clock [...] Read more.
Currently, the PPP-B2b service faces challenges such as long convergence times and re-convergence issues after signal interruptions due to the lack of high-precision atmospheric enhancement. To address this, this study develops a multi-frequency uncombined Precise Point Positioning (PPP) model that accounts for Clock Constant Bias (CCB) based on PPP-B2b products, extracting atmospheric delays from reference stations and performing regional modeling. Considering the spatiotemporal characteristics of the ionosphere, a stochastic model for enhancement information that varies with time and satellite elevation is established. The performance of atmospheric-enhanced PPP-B2b is validated on the user end. Results demonstrate that zenith wet delay (ZWD) and ionospheric modeling generally achieve centimeter-level accuracy. However, during certain periods, ionospheric modeling errors are significant. By adjusting the stochastic model, approximately 98% of modeling errors can be enveloped. With atmospheric constraints, both convergence speed and positioning accuracy of PPP-B2b are significantly improved. Using thresholds of 30 cm horizontally and 40 cm vertically, the convergence times for horizontal and vertical components are approximately (16.7, 21.3) min for single BDS-3 and (3.8, 5.0) min for the dual-system combination, respectively. In contrast, with atmospheric constraints applied, convergence thresholds are met almost at the first epoch. Within one minute, single BDS-3 and the dual-system combination achieve accuracies better than (0.15, 0.3) m and (0.1, 0.2) m horizontally and vertically, respectively. Furthermore, even under high-elevation cutoff conditions, stable and rapid high-precision positioning remains achievable through atmospheric enhancement. Full article
(This article belongs to the Section Satellite Missions for Earth and Planetary Exploration)
Show Figures

Figure 1

33 pages, 7885 KB  
Article
Multi-Epoch Differential Pseudorange Joint Positioning Using GNSS Signals and Terrestrial Cellular Signals-of-Opportunity
by Pei Zhang, Tian Jin, James Chakwizira and Yuchen Wang
Sensors 2025, 25(18), 5800; https://doi.org/10.3390/s25185800 - 17 Sep 2025
Viewed by 599
Abstract
When the global navigation satellite systems (GNSSs) are unavailable, cellular signals of opportunity (SOPs) can be used to achieve positioning. However, in low observability environments where both GNSS signals and cellular SOPs are less than 2, the current research on cellular SOPs–GNSS signals [...] Read more.
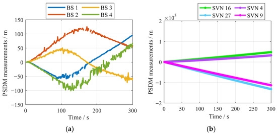
When the global navigation satellite systems (GNSSs) are unavailable, cellular signals of opportunity (SOPs) can be used to achieve positioning. However, in low observability environments where both GNSS signals and cellular SOPs are less than 2, the current research on cellular SOPs–GNSS signals fusion positioning faces challenges regarding the difficulty in precise position initialization and spatiotemporal uncertainty. To address these issues, a cellular SOPs and GNSS signals fusion positioning model by the pseudorange single difference at multi-epoch (PSDM) is proposed. The spatiotemporal uncertainty of fusion positioning is solved by differential pseudorange. Then, to solve the problem of difficult precise location initialization during the differential pseudorange positioning process, a pseudo-linearization closed-form method was derived, and its limitations were analyzed. Moreover, the pseudo-linearization equation was reconstructed. Based on this, a constrained multi-step weighted least squares (CMWLS) method is proposed that reduces the impact of noise on the PSDM positioning models and improves global convergence. According to the simulation and field test results, the proposed fusion positioning method shows good positioning performance in low-observability environments. For urban positioning in such environments, this study provides a new solution strategy and avoids the requirement of the prior information of the receiver’s initial position for positioning. Full article
(This article belongs to the Section Navigation and Positioning)
Show Figures

Figure 1

31 pages, 3480 KB  
Article
The First Step of AI in LEO SOPs: DRL-Driven Epoch Credibility Evaluation to Enhance Opportunistic Positioning Accuracy
by Jiaqi Yin, Feilong Li, Ruidan Luo, Xiao Chen, Linhui Zhao, Hong Yuan and Guang Yang
Remote Sens. 2025, 17(15), 2692; https://doi.org/10.3390/rs17152692 - 3 Aug 2025
Cited by 1 | Viewed by 1036
Abstract
Low Earth orbit (LEO) signal of opportunity (SOP) positioning relies on the accumulation of epochs obtained through prolonged observation periods. The contribution of an LEO satellite single epoch to positioning accuracy is influenced by multi-level characteristics that are challenging for traditional models. To [...] Read more.
Low Earth orbit (LEO) signal of opportunity (SOP) positioning relies on the accumulation of epochs obtained through prolonged observation periods. The contribution of an LEO satellite single epoch to positioning accuracy is influenced by multi-level characteristics that are challenging for traditional models. To address this limitation, we propose an Agent-Weighted Recursive Least Squares (RLS) Positioning Framework (AWR-PF). This framework employs an agent to comprehensively analyze individual epoch characteristics, assess their credibility, and convert them into adaptive weights for RLS iterations. We developed a novel Markov Decision Process (MDP) model to assist the agent in addressing the epoch weighting problem and trained the agent utilizing the Double Deep Q-Network (DDQN) algorithm on 107 h of Iridium signal data. Experimental validation on a separate 28 h Iridium signal test set through 97 positioning trials demonstrated that AWR-PF achieves superior average positioning accuracy compared to both standard RLS and randomly weighted RLS throughout nearly the entire iterative process. In a single positioning trial, AWR-PF improves positioning accuracy by up to 45.15% over standard RLS. To the best of our knowledge, this work represents the first instance where an AI algorithm is used as the core decision-maker in LEO SOP positioning, establishing a groundbreaking paradigm for future research. Full article
(This article belongs to the Special Issue LEO-Augmented PNT Service)
Show Figures

Graphical abstract

19 pages, 9566 KB  
Article
A Zenith Tropospheric Delay Modeling Method Based on the UNB3m Model and Kriging Spatial Interpolation
by Huineng Yan, Zhigang Lu, Fang Li, Yu Li, Fuping Li and Rui Wang
Atmosphere 2025, 16(8), 921; https://doi.org/10.3390/atmos16080921 - 30 Jul 2025
Cited by 1 | Viewed by 753
Abstract
To accurately estimate Zenith Tropospheric Delay (ZTD) for high-precision positioning of the Global Navigation Satellite System (GNSS), this study proposes a modeling method of ZTD based on the UNB3m model and Kriging spatial interpolation, in which the optimal spatial interpolation parameters are determined [...] Read more.
To accurately estimate Zenith Tropospheric Delay (ZTD) for high-precision positioning of the Global Navigation Satellite System (GNSS), this study proposes a modeling method of ZTD based on the UNB3m model and Kriging spatial interpolation, in which the optimal spatial interpolation parameters are determined based on the errors corresponding to different combinations of the interpolation parameters, and the spatial distribution of the GNSS modeling stations is determined by the interpolation errors of the randomly selected GNSS stations for several times. To verify the accuracy and reliability of the proposed model, the ZTD estimates of 132,685 epochs with 1 h or 2 h temporal resolution for 28 years from 1997 to 2025 of the global network of continuously operating GNSS tracking stations are used as inputs; the ZTD results at any position and the corresponding observation moment can be obtained with the proposed model. The experimental results show that the model error is less than 30 mm in more than 85% of the observation epochs, the ZTD estimation results are less affected by the horizontal position and height of the GNSS stations than traditional models, and the ZTD interpolation error is improved by 10–40 mm compared to the GPT3 and UNB3m models at the four GNSS checking stations. Therefore, this technology can provide ZTD estimation results for single- and dual-frequency hybrid deformation monitoring, as well as dense ZTD data for Precipitable Water Vapor (PWV) inversion. Since the proposed method has the advantages of simple implementation, high accuracy, high reliability, and ease of promotion, it is expected to be fully applied in other high-precision positioning applications. Full article
(This article belongs to the Special Issue GNSS Remote Sensing in Atmosphere and Environment (2nd Edition))
Show Figures

Figure 1

25 pages, 8652 KB  
Article
Performance Improvement of Seismic Response Prediction Using the LSTM-PINN Hybrid Method
by Seunggoo Kim, Donwoo Lee and Seungjae Lee
Biomimetics 2025, 10(8), 490; https://doi.org/10.3390/biomimetics10080490 - 24 Jul 2025
Cited by 1 | Viewed by 1844
Abstract
Accurate and rapid prediction of structural responses to seismic loading is critical for ensuring structural safety. Recently, there has been active research focusing on the application of deep learning techniques, including Physics-Informed Neural Networks (PINNs) and Long Short-Term Memory (LSTM) networks, to predict [...] Read more.
Accurate and rapid prediction of structural responses to seismic loading is critical for ensuring structural safety. Recently, there has been active research focusing on the application of deep learning techniques, including Physics-Informed Neural Networks (PINNs) and Long Short-Term Memory (LSTM) networks, to predict the dynamic behavior of structures. While these methods have shown promise, each comes with distinct limitations. PINNs offer physical consistency but struggle with capturing long-term temporal dependencies in nonlinear systems, while LSTMs excel in learning sequential data but lack physical interpretability. To address these complementary limitations, this study proposes a hybrid LSTM-PINN model, combining the temporal learning ability of LSTMs with the physics-based constraints of PINNs. This hybrid approach allows the model to capture both nonlinear, time-dependent behaviors and maintain physical consistency. The proposed model is evaluated on both single-degree-of-freedom (SDOF) and multi-degree-of-freedom (MDOF) structural systems subjected to the El-Centro ground motion. For validation, the 1940 El-Centro NS earthquake record was used, and the ground acceleration data were normalized and discretized for numerical simulation. The proposed LSTM-PINN is trained under the same conditions as the conventional PINN models (e.g., same optimizer, learning rate, and loss structure), but with fewer training epochs, to evaluate learning efficiency. Prediction accuracy is quantitatively assessed using mean error and mean squared error (MSE) for displacement, velocity, and acceleration, and results are compared with PINN-only models (PINN-1, PINN-2). The results show that LSTM-PINN consistently achieves the most stable and precise predictions across the entire time domain. Notably, it outperforms the baseline PINNs even with fewer training epochs. Specifically, it achieved up to 50% lower MSE with only 10,000 epochs, compared to the PINN’s 50,000 epochs, demonstrating improved generalization through temporal sequence learning. This study empirically validates the potential of physics-guided time-series AI models for dynamic structural response prediction. The proposed approach is expected to contribute to future applications such as real-time response estimation, structural health monitoring, and seismic performance evaluation. Full article
Show Figures

Figure 1

21 pages, 4625 KB  
Article
Influence of System-Scale Change on Co-Alignment Comparative Accuracy in Fixed Terrestrial Photogrammetric Monitoring Systems
by Bradford Butcher, Gabriel Walton, Ryan Kromer and Edgard Gonzales
Remote Sens. 2025, 17(13), 2200; https://doi.org/10.3390/rs17132200 - 26 Jun 2025
Viewed by 764
Abstract
Photogrammetry can be a valuable tool for understanding landscape evolution and natural hazards such as landslides. However, factors such as vegetation cover, shadows, and unstable ground can limit its effectiveness. Using photos across time to monitor an area with unstable or changing ground [...] Read more.
Photogrammetry can be a valuable tool for understanding landscape evolution and natural hazards such as landslides. However, factors such as vegetation cover, shadows, and unstable ground can limit its effectiveness. Using photos across time to monitor an area with unstable or changing ground conditions results in fewer tie points between images across time, and often leads to low comparative accuracy if single-epoch (i.e., classical) photogrammetric processing approaches are used. This paper presents a study evaluating the co-alignment approach applied to fixed terrestrial timelapse photos at an active landslide site. The study explores the comparative accuracy of reconstructed surface models and the location and behavior of tie points over time in relation to increasing levels of global change due to landslide activity and rockfall. Building upon previous work, this study demonstrates that high comparative accuracy can be achieved with a relatively low number of inter-epoch tie points, highlighting the importance of their distribution across stable ground, rather than the total quantity. High comparative accuracy was achieved with as few as 0.03 percent of the overall co-alignment tie points being inter-epoch tie points. These results show that co-alignment is an effective approach for conducting change detection, even with large degrees of global changes between surveys. This study is specific to the context of geoscience applications like landslide monitoring, but its findings should be relevant for any application where significant changes occur between surveys. Full article
(This article belongs to the Special Issue New Insight into Point Cloud Data Processing)
Show Figures

Figure 1

27 pages, 6917 KB  
Article
LatentResNet: An Optimized Underwater Fish Classification Model with a Low Computational Cost
by Muhab Hariri, Ercan Avsar and Ahmet Aydın
J. Mar. Sci. Eng. 2025, 13(6), 1019; https://doi.org/10.3390/jmse13061019 - 23 May 2025
Viewed by 1372
Abstract
Efficient deep learning models are crucial in resource-constrained environments, especially for marine image classification in underwater monitoring and biodiversity assessment. This paper presents LatentResNet, a computationally lightweight deep learning model involving two key innovations: (i) using the encoder from the proposed LiteAE, a [...] Read more.
Efficient deep learning models are crucial in resource-constrained environments, especially for marine image classification in underwater monitoring and biodiversity assessment. This paper presents LatentResNet, a computationally lightweight deep learning model involving two key innovations: (i) using the encoder from the proposed LiteAE, a lightweight autoencoder for image reconstruction, as input to the model to reduce the spatial dimension of the data and (ii) integrating a DeepResNet architecture with lightweight feature extraction components to refine encoder-extracted features. LiteAE demonstrated high-quality image reconstruction within a single training epoch. LatentResNet variants (large, medium, and small) are evaluated on ImageNet-1K to assess their efficiency against state-of-the-art models and on Fish4Knowledge for domain-specific performance. On ImageNet-1K, the large variant achieves 66.3% top-1 accuracy (1.7M parameters, 0.2 GFLOPs). The medium and small variants reach 60.8% (1M, 0.1 GFLOPs) and 54.8% (0.7M, 0.06 GFLOPs), respectively. After fine-tuning on Fish4Knowledge, the large, medium, and small variants achieve 99.7%, 99.8%, and 99.7%, respectively, outperforming the classification metrics of benchmark models trained on the same dataset, with up to 97.4% and 92.8% reductions in parameters and FLOPs, respectively. The results demonstrate LatentResNet’s effectiveness as a lightweight solution for real-world marine applications, offering accurate and lightweight underwater vision. Full article
(This article belongs to the Section Ocean Engineering)
Show Figures

Figure 1

25 pages, 5598 KB  
Article
Quad-Frequency Wide-Lane, Narrow-Lane and Hatch–Melbourne–Wübbena Combinations: The Beidou Case
by Daniele Borio, Melania Susi and Kinga Wȩzka
Electronics 2025, 14(9), 1805; https://doi.org/10.3390/electronics14091805 - 28 Apr 2025
Viewed by 1134
Abstract
The pseudoranges of a Global Navigation Satellite System (GNSS) meta-signal can be reconstructed from the observations of its side-band components. More specifically, the Hatch–Melbourne–Wübbena (HMW) code-carrier combination is used to solve the ambiguity associated to the wide-lane carrier phase combination of the side-band [...] Read more.
The pseudoranges of a Global Navigation Satellite System (GNSS) meta-signal can be reconstructed from the observations of its side-band components. More specifically, the Hatch–Melbourne–Wübbena (HMW) code-carrier combination is used to solve the ambiguity associated to the wide-lane carrier phase combination of the side-band components, obtaining a high-accuracy pseudorange. The HMW and the wide-lane combinations thus play a key role in constructing meta-signal measurements. The theory of GNSS meta-signals was recently extended to the case with a number of components equal to a power of two. This theory can be used to generalize HMW and wide-lane combinations to the quad-frequency case. This is carried out through a Hadamard matrix of order four, which defines a narrow-lane and three wide-lane combinations. This paper characterizes meta-signal-inspired quad-frequency HMW and wide-lane measurements combinations using Beidou Navigation Satellite System (BDS) observations. Two professional Septentrio PolarRx5S multi-frequency, multi-constellation receivers were set up in a zero-baseline configuration and used to collect observables from all the BDS open frequencies. These measurements are used to characterize different quad-frequency HMW and wide-lane carrier combinations. Some of the combinations analyzed have large equivalent wavelengths and have the potential to enable single-epoch ambiguity resolution in scenarios where short convergence times are required. Full article
(This article belongs to the Special Issue Precision Positioning and Navigation Communication Systems)
Show Figures

Graphical abstract

19 pages, 5290 KB  
Article
Real-Time Regional Ionospheric Total Electron Content Modeling Using the Extended Kalman Filter
by Jun Tang, Yuhan Gao, Heng Liu, Mingxian Hu, Chaoqian Xu and Liang Zhang
Remote Sens. 2025, 17(9), 1568; https://doi.org/10.3390/rs17091568 - 28 Apr 2025
Viewed by 1192
Abstract
Real-time ionospheric products can accelerate the convergence of real-time precise point positioning (PPP) to improve the real-time positioning services of global navigation satellite systems (GNSSs), as well as to achieve continuous monitoring of the ionosphere. This study applied an extended Kalman filter (EKF) [...] Read more.
Real-time ionospheric products can accelerate the convergence of real-time precise point positioning (PPP) to improve the real-time positioning services of global navigation satellite systems (GNSSs), as well as to achieve continuous monitoring of the ionosphere. This study applied an extended Kalman filter (EKF) to total electron content (TEC) modeling, proposing a regional real-time EKF-based ionospheric model (REIM) with a spatial resolution of 1° × 1° and a temporal resolution of 1 h. We examined the performance of REIM through a 7-day period during geomagnetic storms. The post-processing model from the China Earthquake Administration (IOSR), CODG, IGSG, and the BDS geostationary orbit satellite (GEO) observations were utilized as reference. The consistency analysis showed that the mean deviation between REIM and IOSR was 0.97 TECU, with correlation coefficients of 0.936 and 0.938 relative to IOSR and IGSG, respectively. The VTEC mean deviation between REIM and BDS GEO observations was 4.15 TECU, which is lower than those of CODG (4.68 TECU), IGSG (5.67 TECU), and IOSR (6.27 TECU). In the real-time single-frequency PPP (RT-SF-PPP) experiments, REIM-augmented positioning converges within approximately 80 epochs, and IGSG requires 140 epochs. The REIM-augmented east-direction positioning error was 0.086 m, smaller than that of IGSG (0.095 m) and the Klobuchar model (0.098 m). REIM demonstrated high consistencies with post-processing models and showed a higher accuracy at IPPs of BDS GEO satellites. Moreover, the correction results of the REIM model are comparable to post-processing models in RT-SF-PPP while achieving faster convergence. Full article
Show Figures

Figure 1

Back to TopTop