Sign in to use this feature.

Years

Between: -

Subjects

remove_circle_outline
remove_circle_outline
remove_circle_outline
remove_circle_outline
remove_circle_outline
remove_circle_outline
remove_circle_outline
remove_circle_outline
remove_circle_outline

Journals

Article Types

Countries / Regions

Search Results (88)

Search Parameters:
Keywords = silicon photomultipliers detector

Order results
Result details
Results per page
Select all
Export citation of selected articles as:
10 pages, 501 KB  
Article
Simulation of a SiPM-Based Cherenkov Camera
by Isaac Buckland, Riccardo Munini and Valentina Scotti
Particles 2025, 8(4), 96; https://doi.org/10.3390/particles8040096 - 3 Dec 2025
Viewed by 154
Abstract
Future space detectors for Ultra High Energy neutrinos and cosmic rays will utilize Cherenkov telescopes to detect forward-beamed Cherenkov light produced by charged particles in Extensive Air Showers (EASs). A Cherenkov detector can be equipped with an array of Silicon Photo-Multiplier (SiPM) pixels, [...] Read more.
Future space detectors for Ultra High Energy neutrinos and cosmic rays will utilize Cherenkov telescopes to detect forward-beamed Cherenkov light produced by charged particles in Extensive Air Showers (EASs). A Cherenkov detector can be equipped with an array of Silicon Photo-Multiplier (SiPM) pixels, which offer several advantages over traditional Photo-Multiplier Tubes (PMTs). SiPMs are compact and lightweight and operate at lower voltages, making them well-suited for space-based experiments. The SiSMUV (SiPM-based Space Monitor for UV-light) is developing a SiPM-based Cherenkov camera for PBR (POEMMA Baloon with Radio) at INFN Napoli. To understand the response of such an instrument, a comprehensive simulation of the response of individual SiPM pixels to incident light is needed. For the accurate simulation of a threshold trigger, this simulation must reproduce the current produced by a SiPM pixel as a function of time. Since a SiPM pixel is made of many individual Avalanche Photo-Diodes (APDs), saturation and pileup in APDs must also be simulated. A Gaussian mixture fit to ADC count spectrum of a SiPM pixel exposed to low levels of laser light at INFN Napoli shows a significant amount of samples between the expected PE (Photo Electron) peaks. Thus, noise sources such as dark counts and afterpulses, which result in partially integrated APD pulses, must be accounted for. With static, reasonable values for noise rates, the simulation chain presented in this work uses the characteristics of individual APDs to produce the aggregate current produced by a SiPM pixel. When many such pulses are simulated and integrated, the ADC spectra generated by low levels of laser light at the INFN Napoli SiSMUV test setup can be accurately reproduced. Full article
Show Figures

Figure 1

11 pages, 1570 KB  
Article
A SiPM-Based RICH Detector with Timing Capabilities for Isotope Identification
by Mario Nicola Mazziotta, Liliana Congedo, Giuseppe De Robertis, Mario Giliberti, Francesco Licciulli, Antonio Liguori, Leonarda Lorusso, Nicola Nicassio, Giuliana Panzarini and Roberta Pillera
Particles 2025, 8(4), 94; https://doi.org/10.3390/particles8040094 - 28 Nov 2025
Viewed by 322
Abstract
In this work, we present a novel compact particle identification (PID) detector concept based on Silicon Photomultipliers (SiPMs) optimized to perform combined Ring-Imaging Cherenkov (RICH) and Time-of-Flight (TOF) measurements using a common photodetector layer. The system consists of a Cherenkov radiator layer separated [...] Read more.
In this work, we present a novel compact particle identification (PID) detector concept based on Silicon Photomultipliers (SiPMs) optimized to perform combined Ring-Imaging Cherenkov (RICH) and Time-of-Flight (TOF) measurements using a common photodetector layer. The system consists of a Cherenkov radiator layer separated from a photosensitive surface equipped with SiPMs by an expansion gap. A thin glass slab, acting as a second Cherenkov radiator, is coupled to the SiPMs to perform Cherenkov-based charged particle timing measurements. We assembled a small-scale prototype instrumented with various Hamamatsu SiPM array sensors with pixel pitches ranging from 2 to 3 mm and coupled with 1 mm thick fused silica window. The RICH radiator consisted of a 2 cm thick aerogel tile with a refractive index of 1.03 at 400 nm. The prototype was successfully tested in beam test campaigns at the CERN PS T10 beam line with pions and protons. We measured a single-hit angular resolution of about 4 mrad at the Cherenkov angle saturation value and a time resolution better than 50 ps RMS for charged particles with Z = 1. The present technology makes the proposed SiPM-based PID system particularly attractive for space applications due to the limited detector volumes available. In this work, we present beam test results obtained with the detector prototype and we discuss possible configurations optimized for the identification of ions in space applications. Full article
Show Figures

Figure 1

9 pages, 1179 KB  
Article
The Scintillating Fiber Tracker of the Ziré Detector Onboard the NUSES Space Mission
by Felicia Carla Tiziana Barbato, Ivan De Mitri, Giuseppe De Robertis, Adriano Di Giovanni, Leonardo Di Venere, Giulio Fontanella, Fabio Gargano, Mario Giliberti, Francesco Licciulli, Antonio Liguori, Francesco Loparco, Leonarda Lorusso, Mario Nicola Mazziotta, Giuliana Panzarini, Roberta Pillera, Pierpaolo Savina and Aleksei Smirnov
Particles 2025, 8(4), 93; https://doi.org/10.3390/particles8040093 - 28 Nov 2025
Viewed by 228
Abstract
NUSES is a pathfinder satellite that will be deployed in a low Earth orbit, designed with new technologies for space-based detectors. Ziré is one of the payloads of NUSES and aims to measure the spectra of electrons, protons, and light nuclei in a [...] Read more.
NUSES is a pathfinder satellite that will be deployed in a low Earth orbit, designed with new technologies for space-based detectors. Ziré is one of the payloads of NUSES and aims to measure the spectra of electrons, protons, and light nuclei in a kinetic energy range spanning from a few MeVs to several hundred MeVs, as well as photons in the energy range from 0.1 MeV to 30 MeV. Ziré consists of a Fiber TracKer (FTK), a Plastic Scintillator Tower (PST), a calorimeter (CALOg), an AntiCoincidence System (ACS) and a Low Energy Module (LEM). The FTK is based on thin scintillating fibers read out by Silicon Photomultiplier (SiPM) arrays. We assembled a prototype of Ziré (Zirettino) equipped with a single FTK layer, a reduced number of PST layers and a partially instrumented CALOg. A preliminary version of the Ziré custom Front-End Board (FEB) featuring the on-the-shelf ASIC CITIROC by OMEGA/Weeroc was used for the readout. We carried out several beam test campaigns at CERN’s PS facility and a dynamic qualification test. The performance of FTK will be presented and discussed. Full article
Show Figures

Figure 1

17 pages, 4055 KB  
Article
Shortened Acquisition Duration for Brain Tumor 11C-Methionine Positron Emission Tomography on Silicon Photomultiplier Positron Emission Tomography/Computed Tomography
by Takato Inomata, Kaoru Sato, Masanobu Ibaraki, Mamoru Kominami, Yuki Shinohara, Fumiko Kinoshita, Hiroyuki Yamamoto, Mamoru Kato, Toshibumi Kinoshita and Koichi Chida
Appl. Sci. 2025, 15(22), 12292; https://doi.org/10.3390/app152212292 - 19 Nov 2025
Viewed by 451
Abstract
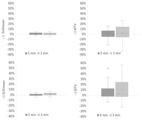
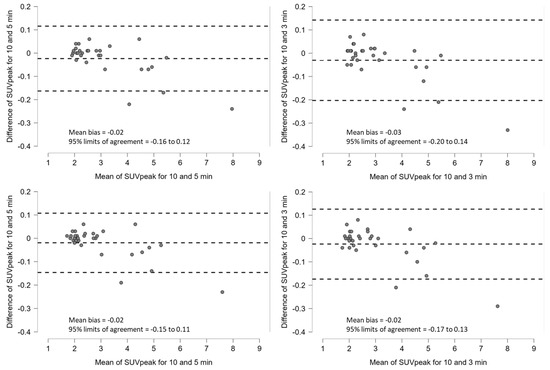
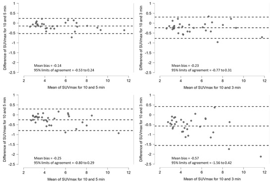
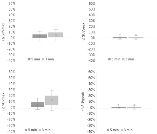
Positron emission tomography/computed tomography (PET/CT) scanners equipped with silicon photomultiplier detectors offer superior sensitivity and count-rate performance. The aim of this study was to evaluate the feasibility and impact of shortening the acquisition duration in brain tumor 11C-methionine PET using a silicon [...] Read more.
Positron emission tomography/computed tomography (PET/CT) scanners equipped with silicon photomultiplier detectors offer superior sensitivity and count-rate performance. The aim of this study was to evaluate the feasibility and impact of shortening the acquisition duration in brain tumor 11C-methionine PET using a silicon photomultiplier PET/CT system, and to assess how point spread function (PSF) correction influences quantitative values. In the phantom study, a brain tumor phantom was scanned using the Biograph Vision silicon photomultiplier-based PET/CT system. Data were acquired for 10, 5, 3, and 1 min, and the images were reconstructed with and without PSF correction. In the clinical study, 20 patients who underwent 11C-methionine PET were retrospectively analyzed. PET data were acquired over 10 min and subsequently reconstructed for 10, 5, and 3 min. We evaluated quantitative parameters including the maximum standardized uptake value (SUVmax), and their relative errors under shortened acquisition durations were analyzed. In the phantom study, the SUVmax increased with shorter acquisition durations; however, this increase was less pronounced with PSF correction. In the clinical study, relative errors of SUVmax for the 5 and 3 min acquisitions with PSF correction were 2.9 ± 3.8% and 5.2 ± 5.4%, respectively. They were smaller than those without PSF correction (5.5 ± 5.1% and 12.7 ± 8.5%), indicating superior quantitative stability with shortened acquisition duration. The combination of the Biograph Vision system and PSF correction enabled the acquisition of high-quality PET images with shortened scan times. Full article
Show Figures

Figure 1

14 pages, 4214 KB  
Article
High-Efficiency Wide-Bandwidth Boost Converter IC with Pulse-Skipped Switching and Gm-Boosted Compensation for Battery-Powered Portable Systems
by Woojin Kim, Haejun Noh, Se-Un Shin and Hyuntak Jeon
Energies 2025, 18(21), 5575; https://doi.org/10.3390/en18215575 - 23 Oct 2025
Viewed by 488
Abstract
High-efficiency power management is essential for silicon photomultiplier (SiPM)-based sensing systems, especially in portable radiation detectors that demand long battery life and stable operation. Conventional fixed-frequency, voltage-mode boost converters face two critical issues: efficiency degradation at light load due to dominant switching losses, [...] Read more.
High-efficiency power management is essential for silicon photomultiplier (SiPM)-based sensing systems, especially in portable radiation detectors that demand long battery life and stable operation. Conventional fixed-frequency, voltage-mode boost converters face two critical issues: efficiency degradation at light load due to dominant switching losses, and narrow loop bandwidth in discontinuous conduction mode (DCM), which limits transient response. This work proposes a boost converter IC that integrates a pulse-skipped switching (PSS) scheme with a Gm-boosted compensator to address these challenges. The PSS method adaptively suppresses unnecessary switching events, significantly improving light-load efficiency, while the Gm-boosted compensator enhances loop gain, expanding the bandwidth and enabling faster recovery under dynamic conditions. Implemented in a 250 nm BCD process, the converter provides up to 30 V output from a 3.3–5 V supply with load currents up to 10 mA. Simulation results show a peak efficiency of 86.3% at 1 mA and a loop bandwidth increase of more than 14 times compared with a conventional fixed-frequency, voltage-mode design. Beyond radiation applications, the proposed converter is broadly applicable to battery-powered IoT, medical monitoring, and portable energy systems requiring efficient high-voltage generation. Full article
(This article belongs to the Section D2: Electrochem: Batteries, Fuel Cells, Capacitors)
Show Figures

Figure 1

33 pages, 5307 KB  
Article
SiPM Developments for the Time-Of-Propagation Detector of the Belle II Experiment
by Flavio Dal Corso, Jakub Kandra, Roberto Stroili and Ezio Torassa
Sensors 2025, 25(13), 4018; https://doi.org/10.3390/s25134018 - 27 Jun 2025
Viewed by 692
Abstract
Belle II is a particle physics experiment working at an high luminosity collider within a hard irradiation environment. The Time-Of-Propagation detector, aimed at the charged particle identification, surrounds the Belle II tracking detector on the barrel part. This detector is composed by 16 [...] Read more.
Belle II is a particle physics experiment working at an high luminosity collider within a hard irradiation environment. The Time-Of-Propagation detector, aimed at the charged particle identification, surrounds the Belle II tracking detector on the barrel part. This detector is composed by 16 modules, each module contains a finely fused silica bar, coupled to microchannel plate photomultiplier tube (MCP-PMT) photo-detectors and readout by high-speed electronics. The MCP-PMT lifetime at the nominal collider luminosity is about one year, this is due to the high photon background degrading the quantum efficiency of the photocathode. An alternative to these MCP-PMTs is multi-pixel photon counters (MPPC), known as silicon photomultipliers (SiPM). The SiPMs, in comparison to MCP-PMTs, have a lower cost, higher photon detection efficiency and are unaffected by the presence of a magnetic field, but also have a higher dark count rate that rapidly increases with the integrated neutron flux. The dark count rate can be mitigated by annealing the damaged devices and/or operating them at low temperatures. We tested SiPMs, with different dimensions and pixel sizes from different producers, to study their time resolution (the main constraint that has to satisfy the photon detector) and to understand their behavior and tolerance to radiation. For these studies we irradiated the devices to radiation up to 5×10111 MeV neutrons equivalent (neq) per cm2 fluences; we also started studying the effect of annealing on dark count rates. We performed several measurements on these devices, on top of the dark count rate, at different conditions in terms of overvoltage and temperatures. These measurements are: IV-curves, amplitude spectra, time resolution. For the last two measurements we illuminated the devices with a picosecond pulsed laser at very low intensities (with a number of detected photons up to about twenty). We present results mainly on two types of SiPMs. A new SiPM prototype developed in collaboration with FBK with the aim of improving radiation hardness, is expected to be delivered in September 2025. Full article
(This article belongs to the Section Physical Sensors)
Show Figures

Figure 1

13 pages, 4454 KB  
Article
Proton Irradiation and Thermal Restoration of SiPMs for LEO Missions
by Alexis Luszczak, Lucas Finazzi, Leandro Gagliardi, Milagros Moreno, Maria L. Ibarra, Federico Golmar and Gabriel A. Sanca
Instruments 2025, 9(3), 15; https://doi.org/10.3390/instruments9030015 - 26 Jun 2025
Cited by 2 | Viewed by 1110
Abstract
Silicon Photomultipliers (SiPMs) are optical sensors widely used in space applications due to their high photon detection efficiency, low power consumption, and robustness. However, in Low Earth Orbit (LEO), their performance degrades over time due to prolonged exposure to ionizing radiation, primarily from [...] Read more.
Silicon Photomultipliers (SiPMs) are optical sensors widely used in space applications due to their high photon detection efficiency, low power consumption, and robustness. However, in Low Earth Orbit (LEO), their performance degrades over time due to prolonged exposure to ionizing radiation, primarily from trapped protons and electrons. The dominant radiation-induced effect in SiPMs is an increase in dark current, which can compromise detector sensitivity. This study investigates the potential of thermal annealing as a mitigation strategy for radiation damage in SiPMs. We designed and tested PCB-integrated heaters to selectively heat irradiated SiPMs and induce recovery processes. A PID-controlled system was developed to stabilize the temperature at 100 °C, and a remotely controlled experimental setup was implemented to operate under irradiation conditions. Two SiPMs were simultaneously irradiated with 9 MeV protons at the EDRA facility, reaching a 1 MeV neutron equivalent cumulative fluence of (9.5 ± 0.2) × 108 cm−2. One sensor underwent thermal annealing between irradiation cycles, while the other served as a control. Throughout the experiment, dark current was continuously monitored using a source measure unit, and I–V curves were recorded before and after irradiation. A recovery of more than 39% was achieved after only 5 min of thermal cycling at 100 °C, supporting this recovery approach as a low-complexity strategy to mitigate radiation-induced damage in space-based SiPM applications and increase device lifetime in harsh environments. Full article
Show Figures

Graphical abstract

16 pages, 3975 KB  
Article
A Sensor Employing an Array of Silicon Photomultipliers for Detection of keV Ions in Time-of-Flight Mass Spectrometry
by Antonio Mariscal-Castilla, Markus Piller, Jerome Alozy, Rafael Ballabriga, Michael Campbell, Oscar de la Torre, David Gascón, Sergio Gómez, David Heathcote, Joan Mauricio, Dennis Milesevic, Andreu Sanuy, Claire Vallance and Daniel Guberman
Sensors 2025, 25(5), 1585; https://doi.org/10.3390/s25051585 - 5 Mar 2025
Viewed by 3851
Abstract
Pixellated scintillation detectors have the potential to overcome several limitations of conventional microchannel-plate-based detectors employed in time-of-flight mass spectrometry (ToF-MS), such as extending detector lifetime, reducing vacuum requirements, or increasing the ion throughput. We have developed a prototype comprising a fast organic scintillator [...] Read more.
Pixellated scintillation detectors have the potential to overcome several limitations of conventional microchannel-plate-based detectors employed in time-of-flight mass spectrometry (ToF-MS), such as extending detector lifetime, reducing vacuum requirements, or increasing the ion throughput. We have developed a prototype comprising a fast organic scintillator (Exalite 404) coupled to an array of 16 silicon photomultipliers (SiPMs), with read-out electronics based on the FastIC application-specific integrated circuit (ASIC). Each SiPM signal processed by FastIC is fed into its own time-to-digital converter (TDC). The dead time of a single channel can be as short as ∼20 ns. As a result, our system have the potential to process ion rates above 109 cm−2 s−1. We have evaluated the performance of our prototype using a velocity-map imaging ToF-MS instrument, recording the time-of-flight mass spectra of C3H6 and CF3I samples. We achieved time resolutions of (3.3±0.1) and (2.5±0.2) ns FWHM for ions of mass-to-charge ratio (m/z) values of 196 and 18, respectively. This corresponds to a mass resolution of ∼1000 for m/z<200, which we found to be dominated by the spread in ion arrival times. Full article
(This article belongs to the Special Issue Advanced Silicon Photomultiplier Based Sensors)
Show Figures

Figure 1

11 pages, 1847 KB  
Article
Development of an Integrating Sphere-Based Wide-Range Light Source System for the Linearity Evaluation of a Photodetector Used in Radiation Detection and Bioanalysis Instruments
by Tetsuro Matsumoto, Akihiko Masuda, Minoru Tanabe, Seiya Manabe, Hideki Harano and Kazuki Niwa
Sensors 2024, 24(23), 7544; https://doi.org/10.3390/s24237544 - 26 Nov 2024
Cited by 1 | Viewed by 6357
Abstract
We developed a compact wide-range light source system for evaluating the linearity of photomultiplier tube (PMT) output. This system utilizes two integrating spheres equipped with a continuously variable slit and output aperture to modulate a stabilized light-emitting diode light source, producing an output [...] Read more.
We developed a compact wide-range light source system for evaluating the linearity of photomultiplier tube (PMT) output. This system utilizes two integrating spheres equipped with a continuously variable slit and output aperture to modulate a stabilized light-emitting diode light source, producing an output light range as wide as seven orders of magnitude. To verify the wide linearity range of the integrating sphere system, three silicon photodiodes coupled with electric current readers monitored the light intensity and simultaneously confirmed each other’s linearity. Using this system, we evaluated the linearity of the PMT used in a neutron detector we are currently developing and found it to have a linear range of more than four orders of magnitude. Non-linearity characteristics were also successfully measured in detail at a higher output range. Neutron detector operation requires both calibration of the detection efficiency and evaluation of the linearity between the neutron dose and its output. These results indicate that this system is a simple and useful method to evaluate the linearity of photodetectors used in radiation detectors and other applications. Full article
(This article belongs to the Section Optical Sensors)
Show Figures

Figure 1

10 pages, 5685 KB  
Article
Improvement and Characterisation of the ArCLight Large-Area Dielectric Light Detector for Liquid-Argon Time Projection Chambers
by Jonas Bürgi, Livio Calivers, Richard Diurba, Fabian Frieden, Anja Gauch, Laura Francesca Iacob, Igor Kreslo, Jan Kunzmann, Saba Parsa and Michele Weber
Instruments 2024, 8(4), 48; https://doi.org/10.3390/instruments8040048 - 4 Nov 2024
Viewed by 1898
Abstract
The detection of scintillation light in noble-liquid detectors is necessary for identifying neutrino interaction candidates from beam, astrophysical, or solar sources. Large monolithic detectors typically have highly efficient light sensors, like photomultipliers, mounted outside their electric field. This option is not available for [...] Read more.
The detection of scintillation light in noble-liquid detectors is necessary for identifying neutrino interaction candidates from beam, astrophysical, or solar sources. Large monolithic detectors typically have highly efficient light sensors, like photomultipliers, mounted outside their electric field. This option is not available for modular detectors that wish to maximize their active volume. The ArgonCube light readout system detectors (ArCLights) are large-area thin-wavelength-shifting (WLS) panels that can operate in highly proximate modular detectors and within the electric field. The WLS plastic forming the bulk structure of the ArCLight has Tetraphenyl Butadiene (TPB) and sheets of dichroic mirror layered across its surface. It is coupled to a set of six silicon photomultipliers (SiPMs). This publication compares TPB coating techniques for large surface areas and describes quality control methods for large-scale production. Full article
Show Figures

Figure 1

10 pages, 2849 KB  
Article
Effects of 10 keV Electron Irradiation on the Performance Degradation of SiC Schottky Diode Radiation Detectors
by Jinlu Ruan, Liang Chen, Leidang Zhou, Xue Du, Fangbao Wang, Yapeng Zhang, Penghui Zhao and Xiaoping Ouyang
Micromachines 2024, 15(11), 1331; https://doi.org/10.3390/mi15111331 - 30 Oct 2024
Cited by 2 | Viewed by 1345
Abstract
The silicon carbide (SiC) Schottky diode (SBD) detector in a SiC hybrid photomultiplier tube (HPMT) generates signals by receiving photocathode electrons with an energy of 10 keV. So, the performance of the SiC SBD under electron irradiation with an energy of 10 keV [...] Read more.
The silicon carbide (SiC) Schottky diode (SBD) detector in a SiC hybrid photomultiplier tube (HPMT) generates signals by receiving photocathode electrons with an energy of 10 keV. So, the performance of the SiC SBD under electron irradiation with an energy of 10 keV has an important significance for the application of the SiC-HPMT. However, studies on 10 keV radiation effects on the SiC SBDs were rarely reported. In this paper, the performance degradation of the SiC SBDs irradiated by 10 keV electrons at different fluences was investigated. After the irradiation, the forward current of the SiC SBDs increased, and the turn-on voltage decreased with the irradiation fluences until 1.6 × 1016 cm−2. According to the capacitance–voltage (C-V) curves, the effective doping concentration increased slightly after the irradiation, and an obvious discrepancy of C-V curves occurred below 5 V. Moreover, as a radiation detector, the peak position of the α-particles’ amplitude spectrum changed slightly, and the energy resolution was also slightly reduced after the irradiation due to the high collection charge efficiency (CCE) still being larger than 99.5%. In addition, the time response of the SiC SBD to the 50 ns pulsed X-ray was almost not affected by the irradiation. The results indicated that the performance degradation of the SiC SBD irradiated at the fluence of 1.5 × 1017 cm−2 would not result in a deterioration of the properties of the SiC-HPMT and showed an important significance for the supplement of the radiation resistance of the SiC SBD radiation detector. Full article
Show Figures

Figure 1

20 pages, 10612 KB  
Review
Review of Photodetectors for Space Lidars
by Xiaoli Sun
Sensors 2024, 24(20), 6620; https://doi.org/10.3390/s24206620 - 14 Oct 2024
Cited by 13 | Viewed by 4078
Abstract
Photodetectors play a critical role in space lidars designed for scientific investigations from orbit around planetary bodies. The detectors must be highly sensitive due to the long range of measurements and tight constraints on the size, weight, and power of the instrument. The [...] Read more.
Photodetectors play a critical role in space lidars designed for scientific investigations from orbit around planetary bodies. The detectors must be highly sensitive due to the long range of measurements and tight constraints on the size, weight, and power of the instrument. The detectors must also be space radiation tolerant over multi-year mission lifetimes with no significant performance degradation. Early space lidars used diode-pumped Nd:YAG lasers with a single beam for range and atmospheric backscattering measurements at 1064 nm or its frequency harmonics. The photodetectors used were single-element photomultiplier tubes and infrared performance-enhanced silicon avalanche photodiodes. Space lidars have advanced to multiple beams for surface topographic mapping and active infrared spectroscopic measurements of atmospheric species and surface composition, which demand increased performance and new capabilities for lidar detectors. Higher sensitivity detectors are required so that multi-beam and multi-wavelength measurements can be performed without increasing the laser and instrument power. Pixelated photodetectors are needed so that a single detector assembly can be used for simultaneous multi-channel measurements. Photon-counting photodetectors are needed for active spectroscopy measurements from short-wave infrared to mid-wave infrared. HgCdTe avalanche photodiode arrays have emerged recently as a promising technology to fill these needs. This paper gives a review of the photodetectors used in past and present lidars and the development and outlook of HgCdTe APD arrays for future space lidars. Full article
(This article belongs to the Section Remote Sensors)
Show Figures

Figure 1

15 pages, 26053 KB  
Article
Module Tester for Positron Emission Tomography and Particle Physics
by David Baranyai, Stefan Oniga, Balazs Gyongyosi, Balazs Ujvari and Attia Mohamed
Electronics 2024, 13(15), 3066; https://doi.org/10.3390/electronics13153066 - 2 Aug 2024
Cited by 1 | Viewed by 1402
Abstract
The combination of high-density, high-time-resolution inorganic scintillation crystals such as Lutetium Yttrium Oxyorthosilicate (LYSO), Yttrium Orthosilicate (YSO) and Bismuth Germanate (BGO) with Silicon Photomultiplier (SiPM) sensors is widely employed in medical imaging, particularly in Positron Emission Tomography (PET), as well as in modern [...] Read more.
The combination of high-density, high-time-resolution inorganic scintillation crystals such as Lutetium Yttrium Oxyorthosilicate (LYSO), Yttrium Orthosilicate (YSO) and Bismuth Germanate (BGO) with Silicon Photomultiplier (SiPM) sensors is widely employed in medical imaging, particularly in Positron Emission Tomography (PET), as well as in modern particle physics detectors for precisely timing sub-detectors and calorimeters. During the assembly of each module, following individual component testing, the crystals and SiPMs are bonded together using optical glue and enclosed in a light-tight, temperature-controlled cooling box. After integration with the readout electronics, the bonding is initially tested. The final readout electronics typically comprise Application-Specific Integrated Circuits (ASICs) or low-power Analog-to-Digital Converters (ADCs) and amplifiers, designed not to heat up the temperature-sensitive SiPM sensors. However, these setups are not optimal for testing the optical bonding. Specific setups were developed to test the LYSO + SiPM modules that are already bonded but not enclosed in a box. Through large data collection, small deviations in bonding can be detected if the SiPMs and LYSOs have been thoroughly tested before our measurement. The Monte Carlo simulations we used to study how parameters—which are difficult to measure in the laboratory (LYSO absorption length, refractive index of the coating)—affect the final result. Our setups for particle physics and PET applications are already in use by research institutes and industrial partners. Full article
(This article belongs to the Special Issue Sensor Based Big Data Analysis)
Show Figures

Figure 1

20 pages, 10120 KB  
Article
Radiation Damage on Silicon Photomultipliers from Ionizing and Non-Ionizing Radiation of Low-Earth Orbit Operations
by Stefano Merzi, Fabio Acerbi, Corinne Aicardi, Daniela Fiore, Vincent Goiffon, Alberto Giacomo Gola, Olivier Marcelot, Alex Materne and Olivier Saint-Pe
Sensors 2024, 24(15), 4990; https://doi.org/10.3390/s24154990 - 1 Aug 2024
Cited by 5 | Viewed by 2115
Abstract
Silicon Photomultipliers (SiPMs) are single photon detectors that gained increasing interest in many applications as an alternative to photomultiplier tubes. In the field of space experiments, where volume, weight and power consumption are a major constraint, their advantages like compactness, ruggedness, and their [...] Read more.
Silicon Photomultipliers (SiPMs) are single photon detectors that gained increasing interest in many applications as an alternative to photomultiplier tubes. In the field of space experiments, where volume, weight and power consumption are a major constraint, their advantages like compactness, ruggedness, and their potential to achieve high quantum efficiency from UV to NIR makes them ideal candidates for spaceborne, low photon flux detectors. During space missions however, SiPMs are usually exposed to high levels of radiation, both ionizing and non-ionizing, which can deteriorate the performance of these detectors over time. The goal of this work is to compare process and layout variation of SiPMs in terms of their radiation damage effects to identify the features that helps reduce the deterioration of the performance and develop the next generation of more radiation-tolerant detectors. To do this, we used protons and X-rays to irradiate several Near Ultraviolet High-Density (NUV-HD) SiPMs with small areas (single microcell, 0.2 × 0.2 mm2 and 1 × 1 mm2) produced at Fondazione Bruno Kessler (FBK), Italy. We performed online current-voltage measurements right after each irradiation step, and a complete functional characterization before and after irradiation. We observed that the main contribution to performance degradation in space applications comes from proton damage in the form of an increase in primary dark count rate (DCR) proportional to the proton fluence and a reduction in activation energy. In this context, small active area devices show a lower DCR before and after irradiation, and we propose light or charge-focusing mechanisms as future developments for high-sensitivity radiation-tolerant detectors. Full article
Show Figures

Figure 1

29 pages, 12504 KB  
Article
Ground-Based Characterisation of a Compact Instrument for Gamma-ray Burst Detection on a CubeSat Platform
by Rachel Dunwoody, David Murphy, Alexey Uliyanov, Joseph Mangan, Maeve Doyle, Joseph Thompson, Cuan de Barra, Lorraine Hanlon, David McKeown, Brian Shortt and Sheila McBreen
Aerospace 2024, 11(7), 578; https://doi.org/10.3390/aerospace11070578 - 15 Jul 2024
Viewed by 1964
Abstract
Gamma-ray bursts (GRBs) are intense and short-lived cosmic explosions. Miniaturised CubeSat-compatible instruments for the study of GRBs are being developed to help bridge the gap in large missions and assist in achieving full sky coverage. CubeSats are small, compact satellites conforming to a [...] Read more.
Gamma-ray bursts (GRBs) are intense and short-lived cosmic explosions. Miniaturised CubeSat-compatible instruments for the study of GRBs are being developed to help bridge the gap in large missions and assist in achieving full sky coverage. CubeSats are small, compact satellites conforming to a design standard and have transformed the space industry. They are relatively low-cost and are developed on fast timescales, which has provided unparalleled access to space. This paper focuses on GMOD, the gamma-ray module, onboard the 2U CubeSat EIRSAT-1, launched on December 1st 2023. GMOD is a scintillation-based instrument with a cerium bromide crystal coupled to an array of sixteen silicon photomultipliers, designed for the detection of GRBs. The characterisation of GMOD in the spacecraft, along with the validation of an updated spacecraft MEGAlib model is presented and this approach can be followed by other CubeSats with similar science goals. The energy resolution of the flight model is 7.07% at 662 keV and the effective area peaks in the tens to hundreds of keV, making it a suitable instrument for the detection of GRBs. An investigation into the instrument’s angular response is also detailed. The results from this characterisation campaign are a benchmark for the instrument’s performance pre-launch and will be used to compare with the detector’s performance in orbit. Full article
(This article belongs to the Special Issue Space Telescopes & Payloads)
Show Figures

Figure 1

Back to TopTop