Sign in to use this feature.

Years

Between: -

Subjects

remove_circle_outline
remove_circle_outline
remove_circle_outline
remove_circle_outline
remove_circle_outline
remove_circle_outline
remove_circle_outline
remove_circle_outline
remove_circle_outline

Journals

Article Types

Countries / Regions

Search Results (57)

Search Parameters:
Keywords = shapely additive explanations (SHAP)

Order results
Result details
Results per page
Select all
Export citation of selected articles as:
23 pages, 5736 KB  
Article
A Model for Identifying the Fermentation Degree of Tieguanyin Oolong Tea Based on RGB Image and Hyperspectral Data
by Yuyan Huang, Yongkuai Chen, Chuanhui Li, Tao Wang, Chengxu Zheng and Jian Zhao
Foods 2026, 15(2), 280; https://doi.org/10.3390/foods15020280 - 12 Jan 2026
Viewed by 146
Abstract
The fermentation process of oolong tea is a critical step in shaping its quality and flavor profile. In this study, the fermentation degree of Anxi Tieguanyin oolong tea was assessed using image and hyperspectral features. Machine learning algorithms, including Support Vector Machine (SVM), [...] Read more.
The fermentation process of oolong tea is a critical step in shaping its quality and flavor profile. In this study, the fermentation degree of Anxi Tieguanyin oolong tea was assessed using image and hyperspectral features. Machine learning algorithms, including Support Vector Machine (SVM), Long Short-Term Memory (LSTM), and Gated Recurrent Unit (GRU), were employed to develop models based on both single-source features and multi-source fused features. First, color and texture features were extracted from RGB images and then processed through Pearson correlation-based feature selection and Principal Component Analysis (PCA) for dimensionality reduction. For the hyperspectral data, preprocessing was conducted using Normalization (Nor) and Standard Normal Variate (SNV), followed by feature selection and dimensionality reduction with Competitive Adaptive Reweighted Sampling (CARS), Successive Projections Algorithm (SPA), and PCA. We then performed mid-level fusion on the two feature sets and selected the most relevant features using L1 regularization for the final modeling stage. Finally, SHapley Additive exPlanations (SHAP) analysis was conducted on the optimal models to reveal key features from both hyperspectral bands and image data. The results indicated that models based on single features achieved test set accuracies of 68.06% to 87.50%, while models based on data fusion achieved 77.78% to 94.44%. Specifically, the Pearson+Nor-SPA+L1+SVM fusion model achieved the highest accuracy of 94.44%. This demonstrates that data feature fusion enables a more comprehensive characterization of the fermentation process, significantly improving model accuracy. SHAP analysis revealed that the hyperspectral bands at 967, 942, 814, 784, 781, 503, 413, and 416 nm, along with the image features Hσ and H, played the most crucial roles in distinguishing tea fermentation stages. These findings provide a scientific basis for assessing the fermentation degree of Tieguanyin oolong tea and support the development of intelligent detection systems. Full article
(This article belongs to the Section Food Analytical Methods)
Show Figures

Figure 1

23 pages, 6265 KB  
Article
Spatio-Temporal Evaluation and Attribution Analysis of Urban Flood Resilience in the Beijing–Tianjin–Hebei Region: A Multi-Method Coupling Approach
by Yafeng Yang, Shaohua Wang, Ru Zhang, Fang Wan, Yiyang Li and Zongzhi Wang
Water 2026, 18(1), 109; https://doi.org/10.3390/w18010109 - 1 Jan 2026
Viewed by 485
Abstract
Urban floods increasingly threaten the mega-regions’ sustainable development, yet the pace and causes of change in urban flood resilience (UFR) remain elusive. This study proposes a new index system for UFR from three dimensions: resistance, recovery, and adaptability. The system includes 18 indicators [...] Read more.
Urban floods increasingly threaten the mega-regions’ sustainable development, yet the pace and causes of change in urban flood resilience (UFR) remain elusive. This study proposes a new index system for UFR from three dimensions: resistance, recovery, and adaptability. The system includes 18 indicators across natural, economic, social, and infrastructure aspects. A comprehensive evaluation model combining entropy weighting, Criteria Importance Through Intercriteria Correlation (CRITIC), and VlseKriterijumska Optimizacija I Kompromisno Resenje (VIKOR) methods is developed and validated for the Beijing–Tianjin–Hebei (BTH) region of China, covering 2011–2022. Spatial dependence is diagnosed with global and local Moran’s I statistics, while an Extreme Gradient Boosting-Shapley Additive Explanations (XGBoost-SHAP) isolates the contribution of each driver. The results indicate that UFR in the BTH region exhibited a generally increasing but fluctuating trend. Spatially, UFR displays a pronounced gradient, with higher levels concentrated in the northwest and lower levels in the southeast. Significant spatial autocorrelation is observed, spatial autocorrelation strength ranging from 0.330 to 0.404. Key drivers contributing to UFR include urban slope, hydrological station density, per capita park green space area, and population density, all with SHAP importance values exceeding 0.02 (ranging from 0.0012 to 0.1343). These indicators collectively play a dominant role in shaping the region’s resilience dynamics, highlighting their crucial influence on sustainable urban development. Full article
(This article belongs to the Special Issue Flood Risk Assessment on Reservoirs)
Show Figures

Figure 1

18 pages, 7917 KB  
Article
Developing a Predictive Model for Gender-Based Violence in Urban Areas Using Open Data
by Sandra Hernandez-Zetina, Angel Martin-Furones, Alvaro Verdu-Candela, Carlos Martinez-Montes and Ana Belen Anquela-Julian
Geomatics 2026, 6(1), 1; https://doi.org/10.3390/geomatics6010001 - 20 Dec 2025
Viewed by 366
Abstract
Gender-based violence (GBV) in urban contexts is a complex, multifactorial phenomenon shaped by socioeconomic, territorial, and contextual factors. This study aims to develop a predictive model for GBV-related crimes in Valencia (Spain), using open geospatial data and advanced machine learning techniques to support [...] Read more.
Gender-based violence (GBV) in urban contexts is a complex, multifactorial phenomenon shaped by socioeconomic, territorial, and contextual factors. This study aims to develop a predictive model for GBV-related crimes in Valencia (Spain), using open geospatial data and advanced machine learning techniques to support the identification of high-risk areas and guide targeted interventions. A 25 m grid was generated to homogenize crime data and independent variables, including socioeconomic indicators, urban services, real estate information, and traffic intensity. Multiple models were tested—Multiple Linear Regression (MLR), Decision Tree (DT), and Random Forest (RF). Linear models were found to be insufficient for explaining GBV patterns (R2 ≈ 0.45), while RF and DT achieved high predictive accuracy (R2 ≈ 0.97 and 0.95, respectively. The variables with the greatest influence were traffic intensity, average monthly income, unemployment rate, and proximity to nightlife venues. To enhance the interpretability of the most accurate models, we applied SHAP (SHapley Additive exPlanations) to quantify the contribution of each predictor and elucidate the direction and magnitude of their effects on model predictions. These findings demonstrate the utility of geospatial ML techniques in understanding the spatial dynamics of GBV and in supporting urban safety policies. While the current model focuses on static spatial predictors and does not explicitly model temporal dynamics or spatial autocorrelation, future research will integrate these aspects, along with participatory data, and test the model’s applicability in other cities to enhance its robustness and generalizability. Full article
Show Figures

Figure 1

19 pages, 3797 KB  
Article
Explaining Street-Level Thermal Variability Through Semantic Segmentation and Explainable AI: Toward Climate-Responsive Building and Urban Design
by Yuseok Lee, Minjun Kim and Eunkyo Seo
Atmosphere 2025, 16(12), 1413; https://doi.org/10.3390/atmos16121413 - 18 Dec 2025
Viewed by 365
Abstract
Understanding outdoor thermal environments at fine spatial scales is essential for developing climate-responsive urban and building design strategies. This study investigates the determinants of local air temperature deviations in Seoul, Korea, using high-resolution in situ sensor data integrated with multi-source urban and building [...] Read more.
Understanding outdoor thermal environments at fine spatial scales is essential for developing climate-responsive urban and building design strategies. This study investigates the determinants of local air temperature deviations in Seoul, Korea, using high-resolution in situ sensor data integrated with multi-source urban and building information. Hourly temperature records from 436 road-embedded sensors (March 2024–February 2025) were transformed into relative metrics representing deviations from the network-wide mean and were combined with semantic indicators derived from street-view imagery—Green View Index (GVI), Road View Index (RVI), Building View Index (BVI), Sky View Index (SVI), and Street Enclosure Index (SEI)—along with land-cover and building attributes such as impervious surface area (ISA), gross floor area (GFA), building coverage ratio (BCR), and floor area ratio (FAR). Employing an eXtreme Gradient Boosting (XGBoost)–Shapley Additive exPlanations (SHAP) framework, the study quantifies nonlinear and interactive relationships among morphological, environmental, and visual factors. SEI, BVI, and ISA emerged as dominant contributors to localized heating, while RVI, GVI, and SVI enhanced cooling potential. Seasonal contrasts reveal that built enclosure and vegetation visibility jointly shape micro-scale heat dynamics. The findings demonstrate how high-resolution, observation-based data can guide climate-responsive design strategies and support thermally adaptive urban planning. Full article
(This article belongs to the Special Issue Urban Adaptation to Heat and Climate Change)
Show Figures

Figure 1

27 pages, 8908 KB  
Article
Reducing Extreme Commuting by Built Environmental Factors: Insights from Spatial Heterogeneity and Nonlinear Effect
by Fengxiao Li, Xiaobing Liu, Xuedong Yan, Zile Liu, Xuefei Zhao and Lu Ma
ISPRS Int. J. Geo-Inf. 2025, 14(12), 487; https://doi.org/10.3390/ijgi14120487 - 9 Dec 2025
Viewed by 535
Abstract
Nowadays, the number of people enduring extreme commuting is increasing, exacerbating traffic problems and harming individual well-being. To quantify the extreme commuting, we propose an extreme commuting severity (ECS) index that combines the number of extreme commuting trips with their specific distances, where [...] Read more.
Nowadays, the number of people enduring extreme commuting is increasing, exacerbating traffic problems and harming individual well-being. To quantify the extreme commuting, we propose an extreme commuting severity (ECS) index that combines the number of extreme commuting trips with their specific distances, where a one-way trip with a commuting distance of at least 25 km is regarded as an extreme commuting trip. In Beijing, the ECS index shows substantial spatial variability, with maximum values exceeding 30,000 for origins and 50,000 for destinations, underscoring the severe commuting burden in specific areas. By integrating the geographically weighted random forest (GWRF) with Shapley additive explanations (SHAP), we model both nonlinear effects and spatial heterogeneity in how the built environment shapes extreme commuting. Compared with benchmark models, the proposed GWRF model achieves the highest predictive performance, yielding the largest R2 and the lowest absolute and relative indicators across both generation and attraction scenarios. Notably, the GWRF improves explanatory power over the global model by a substantial margin, highlighting the importance of incorporating spatial heterogeneity. SHAP-based global importance results show that residential density (17.58%) is the most influential factor for ECS, whereas in the attraction scenario, company density exhibits the strongest contribution (20.7%), reflecting the strong pull of major employment clusters. Local importance maps further reveal pronounced spatial differences in effect direction and magnitude. For instance, although housing prices have modest global importance, they display clear spatial heterogeneity: they exert the strongest influence on extreme commuting generation within the Fourth Ring Road and around the North Fifth Ring, whereas in the attraction scenario, their effects concentrate in the southern part of the core area. These findings provide new empirical insights into the mechanisms underlying extreme commuting and highlight the need for spatially differentiated planning strategies. Full article
(This article belongs to the Special Issue Spatial Data Science and Knowledge Discovery)
Show Figures

Figure 1

23 pages, 5359 KB  
Article
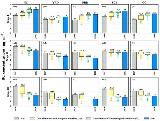
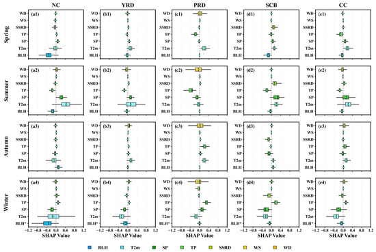
Attribution of Black Carbon Variability in China (2000–2019) from a Perspective of Machine Learning
by Ruonan Fan, Yingying Ma, Shikuan Jin, Boming Liu, Yunduan Li and Wei Gong
Atmosphere 2025, 16(12), 1378; https://doi.org/10.3390/atmos16121378 - 5 Dec 2025
Viewed by 391
Abstract
Substantial black carbon (BC) emissions in China have raised serious concerns owing to their significant influence on climate change and health. However, knowledge around the relative contributions of emissions and meteorological conditions to BC dynamics is limited but essential for air pollution management. [...] Read more.
Substantial black carbon (BC) emissions in China have raised serious concerns owing to their significant influence on climate change and health. However, knowledge around the relative contributions of emissions and meteorological conditions to BC dynamics is limited but essential for air pollution management. Therefore, emission-driven (BCEMI) and meteorology-driven (BCMET) BC concentrations in China during 2000–2019 were quantified by a machine learning framework, focusing on five regions (NC: North China, YRD: Yangtze River Delta, PRD: Pearl River Delta, SCB: Sichuan Basin, and CC: Central China). Furthermore, driving mechanisms of key meteorological factors were investigated using Shapley Additive Explanation (SHAP). Results show a dominant role of emissions in shaping BC variability, with ratios of regional average BCEMI changes to total changes ranging from −140.50% to 76.40%. Especially, the most pronounced decrease occurred in NC during 2013–2019, with BCEMI dropping by 1.56 μg/m3. Even so, the impact of extremely adverse meteorological conditions on BC variations cannot be ignored. The highest annual mean BCMET in YRD (0.17 μg/m3) and PRD (0.30 μg/m3) was observed in 2004, while positive BCMET in NC, SCB, and CC peaked in 2013, with values of 0.26, 0.18, and 0.18 μg/m3, respectively. Regarding SHAP values of each feature, meteorological effects in NC, YRD, SCB and CC were dominated by boundary layer height and temperature, whereas those in PRD were mainly regulated by precipitation and wind. These findings provide a new perspective for attributing BC variability and offer valuable insights for optimizing regional BC control strategies and air quality models. Full article
(This article belongs to the Section Aerosols)
Show Figures

Figure 1

33 pages, 24575 KB  
Article
Street View Image-Based Emotional Perception Modeling of Old Residential Communities: An Explainable Framework Integrating Random Forest and SHAP
by Yanqing Xu and Xiaoxuan Fan
ISPRS Int. J. Geo-Inf. 2025, 14(12), 471; https://doi.org/10.3390/ijgi14120471 - 29 Nov 2025
Cited by 2 | Viewed by 550
Abstract
Understanding how the built environment shapes residents’ emotional perceptions in old residential communities (ORCs) is essential for enhancing livability and supporting people-oriented urban regeneration. This study proposes an explainable analytical framework that integrates community attributes, streetscape indicators, and subjective evaluations. Using random forest [...] Read more.
Understanding how the built environment shapes residents’ emotional perceptions in old residential communities (ORCs) is essential for enhancing livability and supporting people-oriented urban regeneration. This study proposes an explainable analytical framework that integrates community attributes, streetscape indicators, and subjective evaluations. Using random forest (RF) regression combined with Shapley Additive Explanations (SHAP), we conducted an empirical study on ten ORCs in Yangzhou, China. A total of 1240 street view images (SVIs) were processed to extract social attributes, including building age, building scale, and point-of-interest (POI) diversity, as well as visual indicators such as walkability, green view index (GVI), and colorfulness. Six emotional perception scores were obtained from the MIT Place Pulse 2.0 model and further calibrated through questionnaires. The results show that the proposed framework effectively captures the spatial determinants of residents’ perceptions, with the model predictions being highly consistent with survey evaluations. Specifically, GVI and street enclosure are positively associated with perceptions of beauty, safety, and vitality, while building aging and functional monotony intensify negative feelings such as oppression and boredom. Visual diversity (VD) enhances aesthetic and vitality perceptions, whereas facility visual entropy demonstrates a dual role—reinforcing safety but potentially inducing oppressive feelings. By integrating interpretable machine learning with geospatial analysis, this study provides both theoretical and practical insights for micro-scale community renewal, and the framework can be extended to multimodal analyses including soundscapes and behavioral pathways. Full article
(This article belongs to the Special Issue Spatial Information for Improved Living Spaces)
Show Figures

Figure 1

22 pages, 8434 KB  
Article
Nonlinear Mechanisms of PM2.5 and O3 Response to 2D/3D Building and Green Space Patterns in Guiyang City, China
by Debin Lu, Dongyang Yang, Menglin Li, Tong Lu and Chang Han
Land 2025, 14(11), 2257; https://doi.org/10.3390/land14112257 - 14 Nov 2025
Viewed by 637
Abstract
PM2.5 and O3 are now the primary air pollutants in Chinese cities and pose serious risks to human health. In particular, the two- and three-dimensional patterns of urban buildings and green spaces play a crucial role in governing the dispersion of [...] Read more.
PM2.5 and O3 are now the primary air pollutants in Chinese cities and pose serious risks to human health. In particular, the two- and three-dimensional patterns of urban buildings and green spaces play a crucial role in governing the dispersion of air pollutants. Using multi-source geospatial data and 2D/3D morphology metrics, this study employs an Extreme Gradient Boosting (XGBoost) model coupled with Shapley Additive Explanations (SHAP) to analyze the nonlinear effects of 2D/3D landscape and green space patterns on PM2.5 and O3 concentrations in the central urban area of Guiyang City. The results indicate the following findings: (1) PM2.5 exhibits a U-shaped seasonal pattern, being higher in winter and spring and lower in summer and autumn, whereas O3 displays an inverted U-shaped pattern, being higher in spring and summer and lower in autumn and winter. (2) PM2.5 concentrations are higher in suburban and industrial zones and lower in central residential areas, while O3 concentrations increase from the urban core toward the suburbs. (3) MV, BSI, BSA, BEL, BD, FAR, and BV show significant positive correlations with both PM2.5 and O3 (p < 0.001), whereas TH shows a significant negative correlation with PM2.5 (p < 0.001). (4) High-density and complex building-edge patterns intensify both PM2.5 and O3 pollution by hindering urban ventilation and enhancing pollutant accumulation, whereas moderate vertical heterogeneity and greater tree height effectively reduce PM2.5 concentrations but simultaneously increase O3 concentrations due to enhanced VOC emissions. Urban form and vegetation jointly regulate air quality, highlighting the need for integrated urban planning that balances building structures and green infrastructure. The findings of this study provide practical implications for urban design and policymaking aimed at the coordinated control of PM2.5 and O3 pollution through the optimization of urban morphology. Full article
(This article belongs to the Section Land Use, Impact Assessment and Sustainability)
Show Figures

Figure 1

19 pages, 4278 KB  
Article
City-Specific Drivers of Land Surface Temperature in Three Korean Megacities: XGBoost-SHAP and GWR Highlight Building Density
by Hogyeong Jeong, Yeeun Shin and Kyungjin An
Land 2025, 14(11), 2232; https://doi.org/10.3390/land14112232 - 11 Nov 2025
Viewed by 748
Abstract
Urban heat island (UHI), a significant environmental issue caused by urbanization, is a pressing challenge in modern society. To mitigate it, urban thermal policies have been implemented globally. However, despite differences in topographical and environmental characteristics between cities and within the same city, [...] Read more.
Urban heat island (UHI), a significant environmental issue caused by urbanization, is a pressing challenge in modern society. To mitigate it, urban thermal policies have been implemented globally. However, despite differences in topographical and environmental characteristics between cities and within the same city, these policies are largely uniform and fail to reflect contexts, creating notable drawbacks. This study analyzed three cities in Korea with high land surface temperatures (LSTs) to identify factors influencing LST by applying Extreme Gradient Boosting (XGBoost) with Shapley Additive explanations (SHAP) and Geographically Weighted Regression (GWR). Each variable was derived by calculating the average values from May to September 2020. LST was the dependent variable, and the independent variables were chosen based on previous studies: Normalized Difference Vegetation Index (NDVI), Normalized Difference Built-up Index (NDBI), ALBEDO, Population Density (POP_D), Digital Elevation Model (DEM), and SLOPE. XGBoost-SHAP was used to derive the relative importance of the variables, followed by GWR to assess spatial variation in effects. The results indicate that NDBI, reflecting building density, is the primary factor influencing the thermal environment in all three cities. However, the second most influential factor differed by city: SLOPE had a strong effect in Daegu, characterized by surrounding mountains; POP_D had greater influence in Incheon, where population distribution varies due to clustered islands; and DEM was more influential in Seoul, which contains a mix of plains, mountains, and river landscapes. Furthermore, while NDBI and ALBEDO consistently contributed to LST increases across all regions, the effects of the remaining variables were spatially heterogeneous. These findings highlight that urban areas are not homogeneous and that variations in land use, development patterns, and morphology significantly shape heat environments. Therefore, UHI mitigation strategies should prioritize improving urban form while incorporating localized planning tailored to each region’s physical and socio-environmental characteristics. The results can serve as a foundation for developing strategies and policy decisions to mitigate UHI effects. Full article
Show Figures

Figure 1

22 pages, 2708 KB  
Article
Student Characteristics and ICT Usage as Predictors of Computational Thinking: An Explainable AI Approach
by Tongtong Guan, Liqiang Zhang, Xingshu Ji, Yuze He and Yonghe Zheng
J. Intell. 2025, 13(11), 145; https://doi.org/10.3390/jintelligence13110145 - 11 Nov 2025
Viewed by 840
Abstract
Computational thinking (CT) is recognized as a core competency for the 21st century, and its development is shaped by multiple factors, including students’ individual characteristics and their use of information and communication technology (ICT). Drawing on large-scale international data from the 2023 cycle [...] Read more.
Computational thinking (CT) is recognized as a core competency for the 21st century, and its development is shaped by multiple factors, including students’ individual characteristics and their use of information and communication technology (ICT). Drawing on large-scale international data from the 2023 cycle of the International Computer and Information Literacy Study (ICILS), this study analyzes a sample of 81,871 Grade 8 students from 23 countries and one regional education system who completed the CT assessment. This study is the first to apply a predictive modeling framework that integrates two machine learning techniques to systematically identify and explain the key variables that predict CT and their nonlinear effects. The results reveal that various student-level predictors—such as educational expectations and the number of books at home—as well as ICT usage across different contexts, demonstrate significant nonlinear patterns in the model, including U-shaped, inverted U-shaped, and monotonic trends. Compared with traditional linear models, the SHapley Additive exPlanations (SHAP)-based approach facilitates the interpretation of the complex nonlinear effects that shape CT development. Methodologically, this study expands the integration of educational data mining and explainable artificial intelligence (XAI). Practically, it provides actionable insights for ICT-integrated instructional design and targeted educational interventions. Future research can incorporate longitudinal data to explore the developmental trajectories and causal mechanisms of students’ CT over time. Full article
Show Figures

Figure 1

24 pages, 811 KB  
Article
The Impact of Cash Holding Decisions on Firm Performance in the IT Industry
by Jaeseong Lim and Bong Keun Jeong
J. Risk Financial Manag. 2025, 18(11), 625; https://doi.org/10.3390/jrfm18110625 - 7 Nov 2025
Viewed by 3052
Abstract
This study examines the relationship between corporate cash holdings and firm performance within the IT industry, which is characterized by intense competition and rapid technological advancements. We propose an integrated framework that combines principal component analysis (PCA), machine learning (ML) algorithms, and Shapley [...] Read more.
This study examines the relationship between corporate cash holdings and firm performance within the IT industry, which is characterized by intense competition and rapid technological advancements. We propose an integrated framework that combines principal component analysis (PCA), machine learning (ML) algorithms, and Shapley additive explanation (SHAP) values to estimate and interpret model outcomes. Based on 21,051 corporate financial statement data items from 2004 and 2023, the empirical evidence supports an inverted U-shaped relationship between cash holdings and profitability, suggesting that holding either too little or too much cash is suboptimal. Among the tested models, the random forest demonstrates the highest explanatory power (R2) and the lowest prediction errors (RMSE), outperforming the traditional ordinary least squares (OLS) regression by explaining 47% more variance. Our findings provide practical implications for researchers and stakeholders interested in enhancing corporate risk management and performance. Full article
(This article belongs to the Section Business and Entrepreneurship)
37 pages, 7157 KB  
Article
Research on Pedestrian Dynamics and Its Environmental Factors in a Jiangnan Water Town Integrating Video-Based Trajectory Data and Machine Learning
by Hongshi Cao, Zhengwei Xia, Ruidi Wang, Chenpeng Xu, Wenqi Miao and Shengyang Xing
Buildings 2025, 15(21), 3996; https://doi.org/10.3390/buildings15213996 - 5 Nov 2025
Viewed by 892
Abstract
Jiangnan water towns, as distinctive cultural landscapes in China, are confronting the dual challenge of surging tourist flows and imbalances in spatial distribution. Research on pedestrian dynamics has so far offered narrow coverage of influencing factors and limited insight into underlying mechanisms, falling [...] Read more.
Jiangnan water towns, as distinctive cultural landscapes in China, are confronting the dual challenge of surging tourist flows and imbalances in spatial distribution. Research on pedestrian dynamics has so far offered narrow coverage of influencing factors and limited insight into underlying mechanisms, falling short of a systemic perspective and an interpretable theoretical framework. This study uses Nanxun Ancient Town as a case study to address this gap. Pedestrian trajectories were captured using temporarily installed closed-circuit television (CCTV) cameras within the scenic area and extracted using the YOLOv8 object detection algorithm. These data were then integrated with quantified environmental indicators and analyzed through Random Forest regression with SHapley Additive exPlanations (SHAP) interpretation, enabling quantitative and interpretable exploration of pedestrian dynamics. The results indicate nonlinear and context-dependent effects of environmental factors on pedestrian dynamics and that tourist flows are jointly shaped by multi-level, multi-type factors and their interrelations, producing complex and adaptive impact pathways. First, within this enclosed scenic area, spatial morphology—such as lane width, ground height, and walking distance to entrances—imposes fundamental constraints on global crowd distributions and movement patterns, whereas spatial accessibility does not display its usual salience in this context. Second, perceptual and functional attributes—including visual attractiveness, shading, and commercial points of interest—cultivate local “visiting atmospheres” through place imagery, perceived comfort, and commercial activity. Finally, nodal elements—such as signboards, temporary vendors, and public service facilities—produce multi-scale, site-centered effects that anchor and perturb flows and reinforce lingering, backtracking, and clustering at bridgeheads, squares, and comparable nodes. This study advances a shift from static and global description to a mechanism-oriented explanatory framework and clarifies the differentiated roles and linkages among environmental factors by integrating video-based trajectory analytics with machine learning interpretation. This framework demonstrates the applicability of surveillance and computer vision techniques for studying pedestrian dynamics in small-scale heritage settings, and offers practical guidance for heritage conservation and sustainable tourism management in similar historic environments. Full article
(This article belongs to the Section Architectural Design, Urban Science, and Real Estate)
Show Figures

Figure 1

21 pages, 2647 KB  
Article
Structural Determinants of Greenhouse Gas Emissions Convergence in OECD Countries: A Machine Learning-Based Assessment
by Volkan Bektaş
Sustainability 2025, 17(19), 8730; https://doi.org/10.3390/su17198730 - 29 Sep 2025
Viewed by 952
Abstract
This study explores the convergence in greenhouse gas emissions (GHGs) and its determinants across 38 OECD countries during the period 1996–2022, employing the novel approach which combined club convergence method with supervised machine learning algorithm Extreme Gradient Boosting (XGBoost) and SHapley Additive exPlanations [...] Read more.
This study explores the convergence in greenhouse gas emissions (GHGs) and its determinants across 38 OECD countries during the period 1996–2022, employing the novel approach which combined club convergence method with supervised machine learning algorithm Extreme Gradient Boosting (XGBoost) and SHapley Additive exPlanations (SHAP) method. The findings reveal the presence of three distinct convergence clubs shaped by structural economic and institutional characteristics. Club 1 exhibits low energy efficiency, high fossil fuel dependence, and weak governance structures; Club 2 features strong institutional quality, advanced human capital, and effective environmental taxation; and Club 3 displays heterogeneous energy profiles but converges through socio-economic foundations. While traditional growth-related drivers such as technological innovation, foreign direct investments, and GDP growth play a limited role in explaining emission convergence, energy structures, institutional and policy-related factors emerge as key determinants. These findings highlight the limitations of one-size-fits-all climate policy frameworks and call for a more nuanced, club-specific approach to emission mitigation strategies. By combining convergence theory with interpretable machine learning, this study contributes a novel empirical framework to assess the differentiated effectiveness of environmental policies across heterogeneous country groups, offering actionable insights for international climate governance and targeted policy design. Full article
(This article belongs to the Section Air, Climate Change and Sustainability)
Show Figures

Graphical abstract

20 pages, 2660 KB  
Article
Towards Resilient Urban Design: Revealing the Impacts of Built Environment on Physical Activity Amidst Climate Change
by Di Wu
Buildings 2025, 15(19), 3470; https://doi.org/10.3390/buildings15193470 - 25 Sep 2025
Cited by 1 | Viewed by 734
Abstract
Understanding how urban environmental features shape physical activity is crucial for building health-supportive cities, especially under climate change pressures such as rising temperatures and extreme weather. Previous studies emphasized density and accessibility, but the spatial mechanisms driving facility usage remain understudied. This study [...] Read more.
Understanding how urban environmental features shape physical activity is crucial for building health-supportive cities, especially under climate change pressures such as rising temperatures and extreme weather. Previous studies emphasized density and accessibility, but the spatial mechanisms driving facility usage remain understudied. This study investigates how land use diversity, the distribution of physical activity facilities, street network structure, and road accessibility shape physical activity behaviours at the neighbourhood scale. Using a 500 m × 500 m grid framework in Xiamen, China, a random forest model combined with Shapley Additive Explanations (SHAP) is employed to quantify the importance of environment indicators. The results demonstrate that road accessibility and street connectivity exert the strongest influence on physical activity facility use, followed by land use diversity and 15 min reachable residential Points of Interests (POIs). Spatial autocorrelation and cluster analysis further reveal that high-impact areas are concentrated in central and southern zones, whereas peripheral regions face accessibility deficits. These findings highlight the value of integrating transport planning and land use configuration to address spatial disparities in facility usage. The study contributes a replicable methodological framework and provides practical insights for advancing equitable and activity-friendly neighbourhood design. Full article
Show Figures

Figure 1

30 pages, 9157 KB  
Article
ST-GTNet: A Spatio-Temporal Graph Attention Network for Dynamic Airport Capacity Prediction
by Pinzheng Qian, Jian Zhang, Haiyan Zhang, Xunhao Li and Jie Ouyang
Aerospace 2025, 12(9), 811; https://doi.org/10.3390/aerospace12090811 - 8 Sep 2025
Viewed by 935
Abstract
Dynamic evaluation of airport terminal capacity is critical for efficient operations, yet it remains challenging due to the complex interplay of spatial and temporal factors. Existing approaches often handle spatial connectivity and temporal fluctuations separately, limiting their predictive power under rapidly changing conditions. [...] Read more.
Dynamic evaluation of airport terminal capacity is critical for efficient operations, yet it remains challenging due to the complex interplay of spatial and temporal factors. Existing approaches often handle spatial connectivity and temporal fluctuations separately, limiting their predictive power under rapidly changing conditions. Here the ST-GTNet (Spatio-Temporal Graph Transformer Network) is presented, a novel deep learning model that integrates Graph Convolutional Networks (GCNs) with a Transformer architecture to simultaneously capture spatial interdependencies among airport gates and temporal patterns in operational data. To ensure interpretability and efficiency, a feature selection mechanism guided by XGBoost and SHAP (Shapley Additive Explanations) is incorporated to identify the most influential features. This unified spatio-temporal framework overcomes the limitations of conventional methods by learning spatial and temporal dynamics jointly, thereby enhancing the accuracy of dynamic capacity predictions. In a case study at a large international airport with a U-shaped corridor terminal, the ST-GTNet delivered robust and reliable capacity forecasts, validating its effectiveness in a complex real-world scenario. These findings highlight the potential of the ST-GTNet as a powerful tool for dynamic airport capacity evaluation and management. Full article
(This article belongs to the Section Air Traffic and Transportation)
Show Figures

Figure 1

Back to TopTop