Sign in to use this feature.

Years

Between: -

Subjects

remove_circle_outline
remove_circle_outline
remove_circle_outline
remove_circle_outline
remove_circle_outline
remove_circle_outline
remove_circle_outline
remove_circle_outline
remove_circle_outline

Journals

remove_circle_outline
remove_circle_outline
remove_circle_outline
remove_circle_outline
remove_circle_outline
remove_circle_outline
remove_circle_outline
remove_circle_outline

Article Types

Countries / Regions

remove_circle_outline
remove_circle_outline
remove_circle_outline
remove_circle_outline

Search Results (671)

Search Parameters:
Keywords = shape of the Earth

Order results
Result details
Results per page
Select all
Export citation of selected articles as:
33 pages, 8277 KB  
Article
Microbial Diversity Analysis on Rammed Earth Wall Surfaces in the Lingnan Region: A Case Study of Paishan Village, China
by Wei Wei, Shuai Yang, Junxin Song and Md Sayuti Bin Ishak
Coatings 2025, 15(11), 1236; https://doi.org/10.3390/coatings15111236 - 23 Oct 2025
Viewed by 47
Abstract
Rammed earth walls in traditional villages in the humid and hot climate of Lingnan are susceptible to microbial damage and disease. Paishan Village in Zhuhai, which is the largest extant rammed earth building complex in the Pearl River Delta with rammed earth walls [...] Read more.
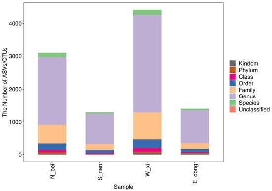
Rammed earth walls in traditional villages in the humid and hot climate of Lingnan are susceptible to microbial damage and disease. Paishan Village in Zhuhai, which is the largest extant rammed earth building complex in the Pearl River Delta with rammed earth walls dating from the Ming (1368–1644) and Qing (1644–1912) Dynasties to the Republic of China (1912–1949) period, faces weathering and hollowing issues, yet targeted microbial research is lacking. This study, with a focus on the village’s rammed earth walls, aimed to reveal microbial diversity and its relationship to the environment, providing a basis for heritage conservation. We used SEM (scanning electron microscopy) to analyze the microstructure of walls facing different orientations. High-throughput sequencing (based on the 16S rRNA gene V3–V4 region) was combined with microbial community analysis. Species annotation and differential analysis were performed using QIIME2 and R. The results indicated that the west wall had the highest microbial diversity (45 at the phylum level and 2969 at the genus level), while the south wall exhibited the lowest. Different orientations shaped distinct community structures, with the north wall harboring a higher concentration of hygrophilous microorganisms, while the south wall was dominated by thermotolerant bacteria. All four walls shared only 0.29% of the core microorganisms. This study elucidates the distribution patterns of microorganisms in rammed earth walls in humid and hot areas, offering scientific support for their ecological restoration. Full article
Show Figures

Figure 1

32 pages, 12377 KB  
Article
Joint Estimation of Attitude and Optical Properties of Uncontrolled Space Objects from Light Curves Considering Atmospheric Effects
by Jorge Rubio, Adrián de Andrés, Carlos Paulete, Ángel Gallego and Diego Escobar
Aerospace 2025, 12(10), 942; https://doi.org/10.3390/aerospace12100942 - 19 Oct 2025
Viewed by 200
Abstract
The unprecedented increase in the number of objects orbiting the Earth necessitates a comprehensive characterisation of these objects to improve the effectiveness of Space Surveillance and Tracking (SST) operations. In particular, accurate knowledge of the attitude and physical properties of space objects has [...] Read more.
The unprecedented increase in the number of objects orbiting the Earth necessitates a comprehensive characterisation of these objects to improve the effectiveness of Space Surveillance and Tracking (SST) operations. In particular, accurate knowledge of the attitude and physical properties of space objects has become critical for space debris mitigation measures, since these parameters directly influence major perturbation forces like atmospheric drag and solar radiation pressure. Characterising a space object beyond its orbital position improves the accuracy of SST activities such as collision risk assessment, atmospheric re-entry prediction, and the design of Active Debris Removal (ADR) and In-Orbit Servicing (IOS) missions. This study presents a novel approach for the simultaneous estimation of the attitude and optical reflective properties of uncontrolled space objects with known shape using light curves. The proposed method also accounts for atmospheric effects, particularly the Aerosol Optical Depth (AOD), a highly variable parameter that is difficult to determine through on-site measurements. The methodology integrates different estimation, optimisation, and data analysis techniques to achieve an accurate, robust, and computationally efficient solution. The performance of the method is demonstrated through the analysis of a simulated scenario representative of realistic operational conditions. Full article
(This article belongs to the Special Issue Advances in Space Surveillance and Tracking)
Show Figures

Figure 1

14 pages, 4613 KB  
Article
Exploring Trends in Earth’s Precipitation Using Satellite-Gauge Estimates from NASA’s GPM-IMERG
by José J. Hernández Ayala and Maxwell Palance
Earth 2025, 6(4), 130; https://doi.org/10.3390/earth6040130 - 17 Oct 2025
Viewed by 470
Abstract
Understanding global precipitation trends is critical for managing water resources, anticipating extreme events, and assessing the impacts of climate change. This study analyzes spatial and temporal patterns of precipitation from 1998 to 2024 using NASA’s Global Precipitation Measurement Mission (GPM) Integrated Multi-satellite Retrievals [...] Read more.
Understanding global precipitation trends is critical for managing water resources, anticipating extreme events, and assessing the impacts of climate change. This study analyzes spatial and temporal patterns of precipitation from 1998 to 2024 using NASA’s Global Precipitation Measurement Mission (GPM) Integrated Multi-satellite Retrievals for (IMERG) Version 7, which merges satellite observations with rain-gauge data at 0.1° resolution. A total of 324 monthly datasets were aggregated into annual and seasonal composites to evaluate annual and seasonal trends in global precipitation. The non-parametric Mann–Kendall test was applied at the pixel scale to detect statistically significant monotonic trends, and Sen’s slope estimator method was used to quantify the magnitude of change in mean annual and seasonal global precipitation. Results reveal robust and geographically consistent patterns: significant wetting trends are evident in high-latitude regions, with the Arctic and Southern Oceans showing the strongest increases across multiple seasons, including +0.04 mm/day in December–January–February for the Arctic Ocean and +0.04 mm/day in June–July–August for the Southern Ocean. Northern China also demonstrates persistent increases, aligned with recent intensification of extreme late-season precipitation. In contrast, significant drying trends are detected in the tropical East Pacific (up to −0.02 mm/day), northern South America, and some areas in central-southern Africa, highlighting regions at risk of sustained hydroclimatic stress. The North Atlantic south of Greenland emerges as a summer drying hotspot, consistent with Greenland Ice Sheet melt enhancing stratification and reducing precipitation. Collectively, the findings underscore a dual pattern of wetting at high latitudes and drying in tropical belts, emphasizing the role of polar amplification, ocean–atmosphere interactions, and climate variability in shaping Earth’s precipitation dynamics. Full article
Show Figures

Figure 1

18 pages, 15086 KB  
Article
Design of a PM-Assisted Synchronous Reluctance Motor with Enhanced Performance and Lower Cost for Household Appliances
by Yuli Bao and Chenyang Xia
Machines 2025, 13(10), 954; https://doi.org/10.3390/machines13100954 - 16 Oct 2025
Viewed by 210
Abstract
Conventional permanent magnet-assisted synchronous reluctance machine (PMaSynRM) suffers from limited power factor and efficiency. To boost these, the use of sintered rare earth permanent magnets (PMs) is an option, with respect to sintered ferrite, resulting in a high-performance PMaSynRM (HP-PMaSynRM). However, the increasing [...] Read more.
Conventional permanent magnet-assisted synchronous reluctance machine (PMaSynRM) suffers from limited power factor and efficiency. To boost these, the use of sintered rare earth permanent magnets (PMs) is an option, with respect to sintered ferrite, resulting in a high-performance PMaSynRM (HP-PMaSynRM). However, the increasing price of rare earth PM can lead to an overall increase in machine cost. To overcome this issue, a novel HP-PMaSynRM is presented in this paper. Structurally, the proposed four-pole HP-PMaSynRM rotor is characterized by two fluid-shaped flux barriers filled with sintered ferrite, as well as a cut-off region. Based on the finite element analysis (FEA) results, the proposed HP-PMaSynRM exhibits higher performance compared with the conventional HP-PMaSynRM with rare earth PMs. It is shown that the proposed HP-PMaSynRM has higher power factor, efficiency, and better torque quality over a wide range of operating conditions. Moreover, the HP-PMaSynRM presented incurs lower cost. Finally, the proposed HP-PMaSynRM is manufactured, tested, and compared with the conventional benchmark HP-PMaSynRM, proving its advantages, including higher power factor, higher efficiency, lower torque oscillation, and lower cost. Full article
(This article belongs to the Special Issue New Advances in Synchronous Reluctance Motors)
Show Figures

Figure 1

22 pages, 700 KB  
Article
Identifying Key Factors Influencing the Selection of Sustainable Building Materials in New Zealand
by Ali Hashemi Araghi, Eziaku Onyeizu Rasheed, Vishnupriya Vishnupriya and Jeff Seadon
Sustainability 2025, 17(20), 9071; https://doi.org/10.3390/su17209071 - 13 Oct 2025
Viewed by 388
Abstract
The construction sector is a major contributor to climate change, with embodied carbon emissions from building materials representing a critical share of its environmental footprint. Selecting zero-carbon materials is therefore essential for reducing life-cycle emissions while advancing global climate goals. This study investigates [...] Read more.
The construction sector is a major contributor to climate change, with embodied carbon emissions from building materials representing a critical share of its environmental footprint. Selecting zero-carbon materials is therefore essential for reducing life-cycle emissions while advancing global climate goals. This study investigates six decision-making factors, including cost-effectiveness, durability, buildability, embodied carbon, availability, and aesthetics, and evaluates four alternative materials (wood, hemp, rammed earth, and straw bale) in the New Zealand context. A survey of 203 industry professionals was analysed using descriptive statistics, one-sample t-tests, and structural equation modelling (SEM). Using a 5-point Likert scale, the survey assessed six factors affecting material choice: cost-effectiveness, durability, buildability, embodied carbon, aesthetics, and material availability. Descriptive and inferential analyses were performed using SEM via Partial Least Squares analysis. The results revealed that embodied carbon and material availability were the most influential factors shaping zero-carbon material selection. Among the available alternatives, hemp emerged as the most preferred material, while cost-effectiveness and wood showed moderate impacts, and aesthetic considerations had the least influence. These findings highlight that environmental performance and practical accessibility are central drivers of decision-making when adopting zero-carbon materials. This study contributes to developing effective strategies for promoting the widespread adoption of zero-carbon materials, thereby supporting New Zealand’s progress toward achieving the Sustainable Development Goals and the 2030 Agenda for reducing greenhouse gas emissions. Full article
(This article belongs to the Special Issue Building Sustainability within a Smart Built Environment)
Show Figures

Figure 1

22 pages, 5361 KB  
Article
LMVMamba: A Hybrid U-Shape Mamba for Remote Sensing Segmentation with Adaptation Fine-Tuning
by Fan Li, Xiao Wang, Haochen Wang, Hamed Karimian, Juan Shi and Guozhen Zha
Remote Sens. 2025, 17(19), 3367; https://doi.org/10.3390/rs17193367 - 5 Oct 2025
Viewed by 649
Abstract
High-precision semantic segmentation of remote sensing imagery is crucial in geospatial analysis. It plays an immeasurable role in fields such as urban governance, environmental monitoring, and natural resource management. However, when confronted with complex objects (such as winding roads and dispersed buildings), existing [...] Read more.
High-precision semantic segmentation of remote sensing imagery is crucial in geospatial analysis. It plays an immeasurable role in fields such as urban governance, environmental monitoring, and natural resource management. However, when confronted with complex objects (such as winding roads and dispersed buildings), existing semantic segmentation methods still suffer from inadequate target recognition capabilities and multi-scale representation issues. This paper proposes a neural network model, LMVMamba (LoRA Multi-scale Vision Mamba), for semantic segmentation of remote sensing images. This model integrates the advantages of convolutional neural networks (CNNs), Transformers, and state-space models (Mamba) with a multi-scale feature fusion strategy. It simultaneously captures global contextual information and fine-grained local features. Specifically, in the encoder stage, the ResT Transformer serves as the backbone network, employing a LoRA fine-tuning strategy to effectively enhance model accuracy by training only the introduced low-rank matrix pairs. The extracted features are then passed to the decoder, where a U-shaped Mamba decoder is designed. In this stage, a Multi-Scale Post-processing Block (MPB) is introduced, consisting of depthwise separable convolutions and residual concatenation. This block effectively extracts multi-scale features and enhances local detail extraction after the VSS block. Additionally, a Local Enhancement and Fusion Attention Module (LAS) is added at the end of each decoder block. LAS integrates the SimAM attention mechanism, further enhancing the model’s multi-scale feature fusion capability and local detail segmentation capability. Through extensive comparative experiments, it was found that LMVMamba achieves superior performance on the OpenEarthMap dataset (mIoU 52.3%, OA 69.8%, mF1: 68.0%) and LoveDA (mIoU 67.9%, OA 80.3%, mF1: 80.5%) datasets. Ablation experiments validated the effectiveness of each module. The final results indicate that this model is highly suitable for high-precision land-cover classification tasks in remote sensing imagery. LMVMamba provides an effective solution for precise semantic segmentation of high-resolution remote sensing imagery. Full article
Show Figures

Graphical abstract

15 pages, 2961 KB  
Article
Evaluating GeoAI-Generated Data for Maintaining VGI Maps
by Lasith Niroshan and James D. Carswell
Land 2025, 14(10), 1978; https://doi.org/10.3390/land14101978 - 1 Oct 2025
Viewed by 410
Abstract
Geospatial Artificial Intelligence (GeoAI) offers a scalable solution for automating the generation and updating of volunteered geographic information (VGI) maps—addressing the limitations of manual contributions to crowd-source mapping platforms such as OpenStreetMap (OSM). This study evaluates the accuracy of GeoAI-generated buildings specifically, using [...] Read more.
Geospatial Artificial Intelligence (GeoAI) offers a scalable solution for automating the generation and updating of volunteered geographic information (VGI) maps—addressing the limitations of manual contributions to crowd-source mapping platforms such as OpenStreetMap (OSM). This study evaluates the accuracy of GeoAI-generated buildings specifically, using two Generative Adversarial Network (GAN) models. These are OSM-GAN—trained on OSM vector data and Google Earth imagery—and OSi-GAN—trained on authoritative “ground truth” Ordnance Survey Ireland (OSi) vector data and aerial orthophotos. Altogether, we assess map feature completeness, shape accuracy, and positional accuracy and conduct qualitative visual evaluations using live OSM database features and OSi map data as a benchmark. The results show that OSi-GAN achieves higher completeness (88.2%), while OSM-GAN provides more consistent shape fidelity (mean HD: 3.29 m; σ = 2.46 m) and positional accuracy (mean centroid distance: 1.02 m) compared to both OSi-GAN and the current OSM map. The OSM dataset exhibits moderate average deviation (mean HD 5.33 m) but high variability, revealing inconsistencies in crowd-source mapping. These empirical results demonstrate the potential of GeoAI to augment manual VGI mapping workflows to support timely downstream applications in urban planning, disaster response, and many other location-based services (LBSs). The findings also emphasize the need for robust Quality Assurance (QA) frameworks to address “AI slop” and ensure the reliability and consistency of GeoAI-generated data. Full article
Show Figures

Figure 1

21 pages, 20186 KB  
Article
Study on Ionospheric Depletion and Traveling Ionospheric Disturbances Induced by Rocket Launches Using Multi-Source GNSS Observations and the MRMIT Method
by Jianghe Chen, Pan Xiong, Ming Ou, Ting Zhang, Xiaoran Zhang, Yuqi Lin and Jiahao Zhu
Remote Sens. 2025, 17(19), 3327; https://doi.org/10.3390/rs17193327 - 28 Sep 2025
Viewed by 460
Abstract
Rocket launches constitute a major anthropogenic source of disturbance in the near-Earth space environment, inducing significant ionospheric perturbations through both chemical and dynamic mechanisms. This study presents a systematic analysis of ionospheric disturbances—specifically, electron density depletion and traveling ionospheric disturbances (TIDs)—triggered by four [...] Read more.
Rocket launches constitute a major anthropogenic source of disturbance in the near-Earth space environment, inducing significant ionospheric perturbations through both chemical and dynamic mechanisms. This study presents a systematic analysis of ionospheric disturbances—specifically, electron density depletion and traveling ionospheric disturbances (TIDs)—triggered by four rocket launches from China’s Jiuquan Satellite Launch Center between 2023 and 2025. Using high-rate, multi-constellation GNSS data from 370 ground stations and BeiDou GEO satellites, we extracted total electron content (TEC) signals and applied advanced detection methods, including the Multi-Rolling-Multi-Image-Tracking (MRMIT) algorithm for depletion identification and a parametric integration framework for quantitative comparison. Our results reveal that all launches produced rapid TEC depletions, evolving along the rocket trajectory and peaking within approximately 30 min. Launch mass was the dominant factor controlling depletion intensity, while propellant chemistry (UDMH-based vs. liquid oxygen/methane) and local time/background TEC levels modulated the recovery rate and spatial extent. Additionally, distinct TIDs exhibiting wave-like and V-shaped structures were observed, propagating outward from the trajectory with latitudinal variations in amplitude and waveform. These findings highlight the critical roles of rocket attributes and ambient ionospheric conditions in shaping disturbance characteristics. The study underscores the value of multi-source GNSS networks and novel methodologies in monitoring anthropogenic space weather effects, with implications for GNSS performance and sustainable space operations. Full article
(This article belongs to the Special Issue Advances in GNSS Remote Sensing for Ionosphere Observation)
Show Figures

Figure 1

25 pages, 10178 KB  
Article
Super-Resolution Point Cloud Completion for Large-Scale Missing Data in Cotton Leaves
by Hui Geng, Zhiben Yin, Mingdeng Shi, Junzhang Pan and Chunjing Si
Agriculture 2025, 15(18), 1989; https://doi.org/10.3390/agriculture15181989 - 22 Sep 2025
Viewed by 434
Abstract
Point cloud completion for cotton leaves is critical for accurately reconstructing complete shapes from sparse and significantly incomplete data. Traditional methods typically assume small missing ratios (≤25%), which limits their effectiveness for morphologically complex cotton leaves with severe sparsity (50–75%), large geometric distortions, [...] Read more.
Point cloud completion for cotton leaves is critical for accurately reconstructing complete shapes from sparse and significantly incomplete data. Traditional methods typically assume small missing ratios (≤25%), which limits their effectiveness for morphologically complex cotton leaves with severe sparsity (50–75%), large geometric distortions, and extensive point loss. To overcome these challenges, we introduce an end-to-end neural network that combines PF-Net and PointNet++ to effectively reconstruct dense, uniform point clouds from incomplete inputs. The model initially uses a multiresolution encoder to extract multiscale features from locally incomplete point clouds at different resolutions. By capturing both low-level and high-level attributes, these features significantly enhance the network’s ability to represent semantic content and geometric structure. Next, a point pyramid decoder generates missing point clouds hierarchically from layers at different depths, effectively reconstructing the fine details of the original structure. PointNet++ is then used to fuse and reshape the incomplete input point clouds with the generated missing points, yielding a fully reconstructed and uniformly distributed point cloud. To ensure effective task completion at different training stages, a loss function freezing strategy is employed, optimizing the network’s performance throughout the training process. Experimental evaluation on the cotton leaf dataset demonstrated that the proposed model outperformed PF-Net, reducing the Chamfer distance by 80.15% and the Earth Mover distance by 54.35%. These improvements underscore the model’s robustness in reconstructing sparse point clouds for precise agricultural phenotyping. Full article
(This article belongs to the Section Artificial Intelligence and Digital Agriculture)
Show Figures

Figure 1

4 pages, 674 KB  
Abstract
Analysis of Spot Response Temperature Fields in Microfluidic Systems: Analogy with the “Heart of Voh”
by Jeremie Maire, Alisa Svirina, Alain Sommier, Stephane Chevalier and Jean-Christophe Batsale
Proceedings 2025, 129(1), 71; https://doi.org/10.3390/proceedings2025129071 - 12 Sep 2025
Viewed by 200
Abstract
The “Heart of Voh”, immortalized by Yann Arthus Bertrand in his book The Earth from the Air, depicts a sparse, heart-shaped clearing in the mangroves of New Caledonia. This highly poetic image is also the physical representation of thermal diffusion phenomena disrupted [...] Read more.
The “Heart of Voh”, immortalized by Yann Arthus Bertrand in his book The Earth from the Air, depicts a sparse, heart-shaped clearing in the mangroves of New Caledonia. This highly poetic image is also the physical representation of thermal diffusion phenomena disrupted by fluid flow. This type of figure is a basic figure for analyzing source fields in a microfluidic channel surrounded by solid walls. Here, several analytical solutions will be presented and used for the estimation of crucial parameters related to the thermal diffusivity of the walls around the channel and the fluid flow inside the channel. Full article
Show Figures

Figure 1

29 pages, 1164 KB  
Article
Imagining Ecocentric Futures Through Media: Biocentric Evaluation Questionnaire for Degrowth and Non-Anthropocentric Societies
by Erik Geslin
Multimedia 2025, 1(1), 4; https://doi.org/10.3390/multimedia1010004 - 12 Sep 2025
Viewed by 755
Abstract
Media shape and reflect social imaginaries, influencing collective beliefs, norms, and aspirations. Video games and films frequently depict themes like urbanization, dystopian futures, and resource-driven expansion, often envisioning humanity colonizing new planets after depleting Earth’s resources. Such narratives risk reinforcing exploitative attitudes toward [...] Read more.
Media shape and reflect social imaginaries, influencing collective beliefs, norms, and aspirations. Video games and films frequently depict themes like urbanization, dystopian futures, and resource-driven expansion, often envisioning humanity colonizing new planets after depleting Earth’s resources. Such narratives risk reinforcing exploitative attitudes toward the environment, extending them to new frontiers. Research has shown that media, especially video games, influence societal perceptions and shape future possibilities. While largely reflecting anthropocentric worldviews, these media also have the potential to promote ecocentric perspectives. In the context of biodiversity loss and planetary imbalance, media’s role in fostering non-anthropocentric values is crucial. This study introduces the Non-Anthropocentric Media Evaluation Questionnaire (NAMEQ), a tool designed to help media producers assess whether their work aligns with ecocentric principles, and to support academic researchers and students in the study and analysis of media from a biocentric perspective. Applying this framework to 138 widely distributed video games and films reveals a strong dominance of anthropocentric narratives. While some works incorporate ecocentric themes, they remain inconsistent. The findings underscore the need for a more deliberate and coherent representation of bio-centric values in media, advocating for a shift in cultural narratives toward perspectives that recognize and respect the intrinsic value of the non-human world. Full article
Show Figures

Figure 1

26 pages, 34239 KB  
Article
Classification of Climate-Driven Geomorphic Provinces Using Supervised Machine Learning Methods
by Hasan Burak Özmen and Emrah Pekkan
Appl. Sci. 2025, 15(18), 9894; https://doi.org/10.3390/app15189894 - 10 Sep 2025
Viewed by 845
Abstract
Physical and chemical processes related to global and regional climate changes are important factors in shaping the Earth’s surface. These processes form various erosion and deposition landforms on the Earth’s surface. These landforms reflect the traces of past and present climate conditions. This [...] Read more.
Physical and chemical processes related to global and regional climate changes are important factors in shaping the Earth’s surface. These processes form various erosion and deposition landforms on the Earth’s surface. These landforms reflect the traces of past and present climate conditions. This study shows that geomorphometric parameters can effectively distinguish between geomorphometrically and climatically distinct geomorphic provinces. In this context, supervised machine learning models were developed using geomorphometric parameters and the Köppen-Geiger climate classes observed in Türkiye. These models, Random Forest, Support Vector Machines, and K-Nearest Neighbor algorithms, were developed using a training data set. Classification analysis was performed using these models and a test dataset that was independent of the training dataset. According to the classification results, the overall accuracy values for the Random Forest, Support Vector Machines, and K-Nearest Neighbor models were calculated as 99.27%, 99.70%, and 99.30%, respectively. The corresponding kappa values were 0.99, 0.99, and 0.99, respectively. This study shows that among the geomorphometric parameters used in the analyses, maximum altitude, elevation, and valley depth were determined as important parameters in distinguishing geomorphic provinces. Full article
(This article belongs to the Section Earth Sciences)
Show Figures

Figure 1

14 pages, 1295 KB  
Article
Determination of Odor Compounds in Lignocellulose-Based Panels Using DHS-GC/MS Combined with Odor Activity Value Analysis
by Lina Tang, Qian Chen, Liming Zhu, Xiaorui Liu, Xianwu Zou, Yuejin Fu and Bo Liu
Polymers 2025, 17(17), 2421; https://doi.org/10.3390/polym17172421 - 6 Sep 2025
Viewed by 681
Abstract
Wood, as the oldest natural polymer composite material on Earth, holds significant importance in the era of carbon neutrality and serves as an irreplaceable core material in the furniture and construction industries. As a primary raw material for furniture, wood-based lignocellulosic boards have [...] Read more.
Wood, as the oldest natural polymer composite material on Earth, holds significant importance in the era of carbon neutrality and serves as an irreplaceable core material in the furniture and construction industries. As a primary raw material for furniture, wood-based lignocellulosic boards have drawn increasing consumer attention due to their odor characteristics. In order to achieve the determination of odor compounds in lignocellulose-based panels, this study established a method combining dynamic headspace sampling (DHS), gas chromatography–mass spectrometry (GC–MS), and odor activity value (OAV) analysis. To address the wide concentration range of odor compounds in lignocellulose-based panels, a three-level standard curve was established to meet the detection of odor substances in common lignocellulose-based panels. The favorable conditions for each factor were as follows: sheet-shaped samples, TENAX-TA adsorbent, 20 mL headspace vials, and a split ratio of 25:1. The method demonstrated good linearity within the range of 0.002–15 mg/m3, with recovery rates ranging from 94.74% to 103.44%. The method was applied to analyze commercially available particleboard, fiberboard, and plywood. A total of 33 odor components were detected. The results indicated that aldehyde contributed significantly to the odor of particleboard, acids were the main contributors to the odor of fiberboard, and terpenes dominated the odor of plywood. The established method is suitable for the qualitative and quantitative analysis of odor compounds in lignocellulose-based panels and provides reliable technical support for tracing, identifying, and controlling odors in these materials. Full article
(This article belongs to the Special Issue Eco-Friendly Supramolecular Polymeric Materials, 2nd Edition)
Show Figures

Figure 1

24 pages, 9974 KB  
Article
Mathematical Modeling and Optimal Design for HRE-Free Permanent-Magnet-Assisted Synchronous Reluctance Machine Considering Electro-Mechanical Characteristics
by Yeon-Tae Choi, Su-Min Kim, Soo-Jin Lee, Jun-Ho Jang, Seong-Won Kim, Jun-Beom Park, Yeon-Su Kim, Dae-Hyun Lee, Jang-Young Choi and Kyung-Hun Shin
Mathematics 2025, 13(17), 2858; https://doi.org/10.3390/math13172858 - 4 Sep 2025
Viewed by 711
Abstract
This paper presents the design of a permanent-magnet-assisted synchronous reluctance motor (PMa-SynRM) for compressor applications using Sm-series injection-molded magnets that eliminate heavy rare-earth elements. The high shape flexibility of the injection-molded magnets enables the formation of a curved multi-layer flux-barrier rotor geometry based [...] Read more.
This paper presents the design of a permanent-magnet-assisted synchronous reluctance motor (PMa-SynRM) for compressor applications using Sm-series injection-molded magnets that eliminate heavy rare-earth elements. The high shape flexibility of the injection-molded magnets enables the formation of a curved multi-layer flux-barrier rotor geometry based on the Joukowski airfoil potential, optimizing magnetic flux flow under typical compressor operating conditions. Furthermore, electromagnetic performance, irreversible demagnetization behavior, and rotor stress sensitivity were analyzed with respect to key design variables to derive a model that satisfies the target performance requirements. The validity of the proposed design was confirmed through finite element method (FEM) comparisons with a conventional IPMSM using sintered NdFeB magnets, demonstrating the feasibility of HRE-free PMa-SynRM for high-performance compressor drives. Full article
Show Figures

Figure 1

22 pages, 38657 KB  
Article
Spatiotemporal Dynamics of Eco-Environmental Quality and Driving Factors in China’s Three-North Shelter Forest Program Using GEE and GIS
by Lina Jiang, Jinning Zhang, Shaojie Wang, Jingbo Zhang and Xinle Li
Sustainability 2025, 17(17), 7698; https://doi.org/10.3390/su17177698 - 26 Aug 2025
Viewed by 640
Abstract
The long-term sustainability of conservation efforts in critical reforestation regions requires timely, spatiotemporal assessments of ecological quality. In alignment with China’s environmental initiatives, this study integrates Google Earth Engine (GEE) and MODIS data to construct an enhanced Remote Sensing Ecological Index (RSEI) for [...] Read more.
The long-term sustainability of conservation efforts in critical reforestation regions requires timely, spatiotemporal assessments of ecological quality. In alignment with China’s environmental initiatives, this study integrates Google Earth Engine (GEE) and MODIS data to construct an enhanced Remote Sensing Ecological Index (RSEI) for two decades of ecological monitoring. Hotspot analysis (Getis-Ord Gi*) revealed concentrated high-quality zones, particularly in Xinjiang’s Altay Prefecture, with ‘Good’ and ‘Excellent’ areas increasing from 21.64% in 2000 to 31.30% in 2020. To uncover driving forces, partial correlation and geographic detector analyses identified a transition in the Three-North Shelter Forest Program (TNSFP) from climate–topography constraints to land use–climate synergy, with land use emerging as the dominant factor. Socioeconomic influences, shaped by policy interventions, also played an important but fluctuating role. This progression—from natural constraints to active human regulation—underscores the need for climate-adaptive land use, balanced ecological–economic development, and region-specific governance. These findings validate the effectiveness of current conservation strategies and provide guidance for sustaining ecological progress and optimizing future development in the TNSFP. Full article
Show Figures

Figure 1

Back to TopTop