Sign in to use this feature.

Years

Between: -

Subjects

remove_circle_outline
remove_circle_outline
remove_circle_outline
remove_circle_outline
remove_circle_outline
remove_circle_outline
remove_circle_outline
remove_circle_outline
remove_circle_outline

Journals

Article Types

Countries / Regions

Search Results (68)

Search Parameters:
Keywords = shaft-misalignment

Order results
Result details
Results per page
Select all
Export citation of selected articles as:
20 pages, 4524 KB  
Article
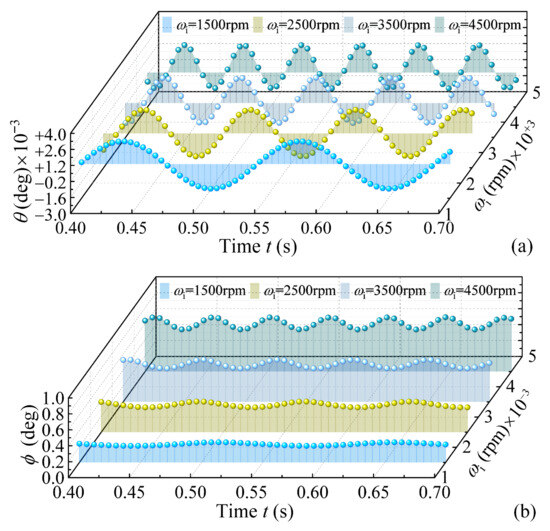
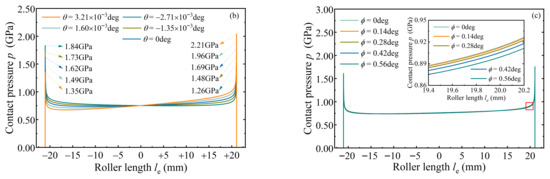
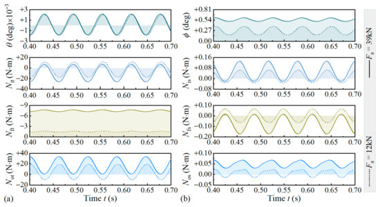
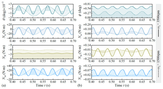
An Analysis on Negative Effects of Shaft Deflection on Angular Misalignment of Rollers Inside Tapered Roller Bearing
by Zhenghai Wu, Junmin Kang and Sier Deng
Lubricants 2025, 13(10), 438; https://doi.org/10.3390/lubricants13100438 - 2 Oct 2025
Viewed by 225
Abstract
Shaft deflection degrades roller alignment and intensifies stress concentration/edge effects at roller-ends and raceway edges, ultimately compromising service performance of tapered roller bearings (TRBs). Therefore, a dynamic model was developed for a TRB subjected to a deflected shaft in which Johnson’s load–deformation relationship [...] Read more.
Shaft deflection degrades roller alignment and intensifies stress concentration/edge effects at roller-ends and raceway edges, ultimately compromising service performance of tapered roller bearings (TRBs). Therefore, a dynamic model was developed for a TRB subjected to a deflected shaft in which Johnson’s load–deformation relationship was applied to reflect non-uniform cross-sectional structures of the tapered rollers and raceways, viscous damping was integrated into the roller/cage interaction, and friction actions at the raceways and flange areas were treated separately. Then, moment load and angular misalignment of the tapered roller were analyzed under various shaft deflection and operating conditions. Results indicate that tilt angle remains orders of magnitude smaller than skew angle. Shaft deflection amplifies both skew and tilt, and the influence level is proportional to the bearing size. Centrifugal effect primarily affects skew motion, whereas gyroscopic effect mainly influences tilt motion. Axial forces exert greater influence on roller skew than tilt. The flange typically constrains roller skew, whereas both raceways may induce bidirectional tilt/skew motion. Full article
(This article belongs to the Special Issue Nonlinear Dynamics of Frictional Systems)
Show Figures

Figure 1

13 pages, 3904 KB  
Article
Design and Implementation of a Misalignment Experimental Data Management Platform for Wind Power Equipment
by Jianlin Cao, Qiang Fu, Pengchao Li, Bingchang Zhao, Zhichao Liu and Yanjie Guo
Energies 2025, 18(19), 5047; https://doi.org/10.3390/en18195047 - 23 Sep 2025
Viewed by 198
Abstract
Key drivetrain components in wind turbines are prone to misalignment faults due to long-term operation under fluctuating loads and harsh environments. Because misalignment develops gradually rather than occurring instantly, reliable evaluation of structural designs and surface treatments requires long-duration, multi-sensor, and multi-condition experiments [...] Read more.
Key drivetrain components in wind turbines are prone to misalignment faults due to long-term operation under fluctuating loads and harsh environments. Because misalignment develops gradually rather than occurring instantly, reliable evaluation of structural designs and surface treatments requires long-duration, multi-sensor, and multi-condition experiments that generate massive heterogeneous datasets. Traditional data management relying on manual folders and USB drives is inefficient, redundant, and lacks traceability. To address these challenges, this study presents a dedicated misalignment experimental data management platform specifically designed for wind power applications. The innovation lies in its ability to synchronize vibration, electrostatic, and laser alignment data streams in long-term tests, establish a traceable and reusable data structure linking experimental conditions with sensor outputs, and integrate laboratory results with field SCADA data. Built on Laboratory Information Management System (LIMS) principles and implemented with an MVC + Spring Boot + B/S architecture, the platform supports end-to-end functions including multi-sensor data acquisition, structured storage, automated processing, visualization, secure sharing, and cross-role collaboration. Validation on drivetrain shaft assemblies confirmed its ability to handle multi-terabyte datasets, reduce manual processing time by more than 80%, and directly integrate processed results into fault identification models. Overall, the platform establishes a scalable digital backbone for wind turbine misalignment research, supporting structural reliability evaluation, predictive maintenance, and intelligent operation and maintenance. Full article
Show Figures

Figure 1

35 pages, 26488 KB  
Article
Synergetic Improvement of Blade Entry and Water Admission Angles for High Efficiency Cross-Flow Turbines in Micro-Hydropower Applications
by Ephrem Yohannes Assefa and Asfafaw Haileselassie Tesfay
Energies 2025, 18(17), 4540; https://doi.org/10.3390/en18174540 - 27 Aug 2025
Viewed by 633
Abstract
Cross-Flow Turbines (CFTs) are widely recognized for their adaptability and cost-effectiveness in micro-hydropower (MHP) systems. However, their hydraulic efficiency remains highly sensitive to geometric configurations, particularly the Blade Entry Angle (BEA) and Water Admission Angle (WAA). This study presents a high-fidelity computational fluid [...] Read more.
Cross-Flow Turbines (CFTs) are widely recognized for their adaptability and cost-effectiveness in micro-hydropower (MHP) systems. However, their hydraulic efficiency remains highly sensitive to geometric configurations, particularly the Blade Entry Angle (BEA) and Water Admission Angle (WAA). This study presents a high-fidelity computational fluid dynamics (CFDs) investigation of CFT performance across a wide range of BEA (5–40°) and WAA (45–105°) combinations at runner speeds from 150 to 1200 rpm, under constant head and flow conditions. The simulations were performed using a steady-state Reynolds-Averaged Navier–Stokes (RANS) model coupled with the volume of fluid (VOF) method and the SST k–ω turbulence closure. Benchmarking against the widely used industrial standard configuration (BEA = 30°, WAA = 90°), which achieved 79.1% efficiency at 900 rpm, this study identifies an optimized setup at BEA = 15° and WAA = 60° delivering a peak efficiency of 84.91% and shaft power output of 225.5 W—representing an efficiency gain of approximately 5.8%. The standard configuration was found to suffer from flow misalignment, jet dispersion, and increased internal energy loss, particularly at off-design speeds. In contrast, optimized geometries ensured stable pressure gradients, coherent jet–blade interaction, and enhanced momentum transfer. The results provide a validated performance map and establish a robust design reference for enhancing CFT efficiency and reliability in decentralized renewable energy systems. Full article
(This article belongs to the Special Issue Recent Advances in Hydro-Mechanical Turbines: Powering the Future)
Show Figures

Figure 1

31 pages, 3629 KB  
Article
Optimizing Assembly Error Reduction in Wind Turbine Gearboxes Using Parallel Assembly Sequence Planning and Hybrid Particle Swarm-Bacteria Foraging Optimization Algorithm
by Sydney Mutale, Yong Wang and De Tian
Energies 2025, 18(15), 3997; https://doi.org/10.3390/en18153997 - 27 Jul 2025
Viewed by 549
Abstract
This study introduces a novel approach for minimizing assembly errors in wind turbine gearboxes using a hybrid optimization algorithm, Particle Swarm-Bacteria Foraging Optimization (PSBFO). By integrating error-driven task sequencing and real-time error feedback with the PSBFO algorithm, we developed a comprehensive framework tailored [...] Read more.
This study introduces a novel approach for minimizing assembly errors in wind turbine gearboxes using a hybrid optimization algorithm, Particle Swarm-Bacteria Foraging Optimization (PSBFO). By integrating error-driven task sequencing and real-time error feedback with the PSBFO algorithm, we developed a comprehensive framework tailored to the unique challenges of gearbox assembly. The PSBFO algorithm combines the global search capabilities of PSO with the local refinement of BFO, creating a unified framework that efficiently explores task sequencing, minimizing misalignment and torque misapplication assembly errors. The methodology results in a 38% reduction in total assembly errors, improving both process accuracy and efficiency. Specifically, the PSBFO algorithm reduced errors from an initial value of 50 to a final value of 5 across 20 iterations, with components such as the low-speed shaft and planetary gear system showing the most substantial reductions. The 50 to 5 error reduction represents a significant decrease in assembly errors from an unoptimized (50) to an optimized (5) sequence, achieved through the PSBFO algorithm, by minimizing dimensional deviations, torque mismatches, and alignment errors across 26 critical gearbox components. While the primary focus is on wind turbine gearbox applications, this approach has the potential for broader applicability in error-prone assembly processes in industries such as automotive and aerospace, warranting further validation in future studies. Full article
(This article belongs to the Special Issue Novel Research on Renewable Power and Hydrogen Generation)
Show Figures

Figure 1

22 pages, 5204 KB  
Article
Ventilation Strategies for Deep Energy Renovations of High-Rise Apartment Buildings: Energy Efficiency and Implementation Challenges
by Anti Hamburg, Ülar Palmiste, Alo Mikola and Targo Kalamees
Energies 2025, 18(11), 2785; https://doi.org/10.3390/en18112785 - 27 May 2025
Cited by 1 | Viewed by 1827
Abstract
Ensuring proper indoor air quality in high-rise apartment buildings is a crucial challenge, particularly when upgrading ventilation systems during deep energy renovation of existing buildings. This study evaluates the condition of existing ventilation systems and assesses the performance, cost, and energy efficiency of [...] Read more.
Ensuring proper indoor air quality in high-rise apartment buildings is a crucial challenge, particularly when upgrading ventilation systems during deep energy renovation of existing buildings. This study evaluates the condition of existing ventilation systems and assesses the performance, cost, and energy efficiency of different mechanical ventilation solutions with heat recovery, including centralized and decentralized balanced ventilation with heat recovery, single-room ventilation units, and mechanical extract ventilation with heat pump heat recovery or without heat recovery. An onsite survey revealed significant deficiencies in existing ventilation systems, such as airtight window installations without dedicated fresh air valves, misaligned and decayed exhaust shafts, and inadequate extract airflow in kitchens and bathrooms. SWOT analyses for each system highlighted their strengths, weaknesses, opportunities, and threats, providing valuable insights for decision-makers. The results indicate that while centralized and decentralized mechanical ventilation with heat recovery enhances energy efficiency and indoor air quality in high-rise multifamily apartment buildings, challenges such as high installation costs, maintenance complexity, and architectural constraints must be addressed. Heat recovery with exhaust air heat pumps is a viable alternative for high-rise apartment buildings when more efficient options are not feasible. Full article
(This article belongs to the Special Issue Recent Challenges in Buildings Ventilation and Indoor Air Quality)
Show Figures

Figure 1

19 pages, 2177 KB  
Article
Current- and Vibration-Based Detection of Misalignment Faults in Synchronous Reluctance Motors
by Angela Navarro-Navarro, Vicente Biot-Monterde, Jose E. Ruiz-Sarrio and Jose A. Antonino-Daviu
Machines 2025, 13(4), 319; https://doi.org/10.3390/machines13040319 - 14 Apr 2025
Viewed by 1516
Abstract
Misalignment faults in drive systems occur when the motor and load are not properly aligned, leading to deviations in the centerlines of the coupled shafts. These faults can cause significant damage to bearings, shafts, and couplings, making early detection essential. Traditional diagnostic techniques [...] Read more.
Misalignment faults in drive systems occur when the motor and load are not properly aligned, leading to deviations in the centerlines of the coupled shafts. These faults can cause significant damage to bearings, shafts, and couplings, making early detection essential. Traditional diagnostic techniques rely on vibration monitoring, which provides insights into both mechanical and electromagnetic fault signatures. However, its main drawback is the need for external sensors, which may not be feasible in certain applications. Alternatively, motor current signature analysis (MCSA) has proven effective in detecting faults without requiring additional sensors. This study investigates misalignment faults in synchronous reluctance motors (SynRMs) by analyzing both vibration and current signals under different load conditions and operating speeds. Fast Fourier transform (FFT) is applied to extract characteristic frequency components linked to misalignment. Experimental results reveal that the amplitudes of rotational frequency harmonics (1xfr, 2xfr, and 3xfr) increase in the presence of misalignment, with 1xfr exhibiting the most stable progression. Additionally, acceleration-based vibration analysis proves to be a more reliable diagnostic tool compared to velocity measurements. These findings highlight the potential of combining current and vibration analysis to enhance misalignment detection in SynRMs, improving predictive maintenance strategies in industrial applications. Full article
(This article belongs to the Special Issue New Advances in Synchronous Reluctance Motors)
Show Figures

Figure 1

24 pages, 10683 KB  
Article
Dynamic Characteristics of Bidirectional Misaligned Marine Water-Lubricated Bearings Considering Turbulence, Surface Roughness and Bush Deformation
by Ziqi Chen, Ji Wang, Rui Li and Yujun Liu
J. Mar. Sci. Eng. 2025, 13(2), 270; https://doi.org/10.3390/jmse13020270 - 31 Jan 2025
Cited by 1 | Viewed by 805
Abstract
The marine water-lubricated bearing’s (WLBs) dynamic properties are essential for ensuring the shaft system’s operational dependability. The coupled model of mixed lubrication and turbulence under the impact of bidirectional misalignment is proposed in this research, and the perturbation equations of marine WLBs with [...] Read more.
The marine water-lubricated bearing’s (WLBs) dynamic properties are essential for ensuring the shaft system’s operational dependability. The coupled model of mixed lubrication and turbulence under the impact of bidirectional misalignment is proposed in this research, and the perturbation equations of marine WLBs with 32 coefficients are derived. The finite difference method (FDM) is used to solve the steady-state and perturbation equations, and the impacts of turbulence, bearing bush deformation, surface roughness, and bidirectional shaft misalignment on the dynamic characteristics of the WLBs are systematically investigated. The results reveal that under mixed lubrication, surface roughness and the turbulence effect can both greatly improve the stiffness and damping of the bearings, but that there is a threshold phenomenon for the turbulence effect’s influence on these properties. Neglecting the elastic deformation of the bush may lead to an overestimation of the bearings’ stiffness and damping, causing substantial inaccuracies in conditions of heavy load or declined Young’s modulus. The 32 coefficients of the WLB exhibit considerable variation with the misalignment angle; hence, a more comprehensive dynamic model should be developed for misaligned marine WLBs. The study’s findings provide valuable insights for rotor dynamics research and optimal design of lubrication performance in marine WLBs. Full article
(This article belongs to the Section Ocean Engineering)
Show Figures

Figure 1

18 pages, 2041 KB  
Article
A Wavelet Transform-Based Transfer Learning Approach for Enhanced Shaft Misalignment Diagnosis in Rotating Machinery
by Houssem Habbouche, Tarak Benkedjouh, Yassine Amirat and Mohamed Benbouzid
Electronics 2025, 14(2), 341; https://doi.org/10.3390/electronics14020341 - 17 Jan 2025
Cited by 7 | Viewed by 1301
Abstract
Rotating machines are vital for ensuring reliability, safety, and operational availability across various industrial sectors. Among the faults that can affect these machines, shaft misalignment is particularly critical due to its impact on other components connected to the shaft, making it a key [...] Read more.
Rotating machines are vital for ensuring reliability, safety, and operational availability across various industrial sectors. Among the faults that can affect these machines, shaft misalignment is particularly critical due to its impact on other components connected to the shaft, making it a key focus for diagnostic systems. Misalignment can lead to significant energy losses, and therefore, early detection is crucial. Vibration analysis is an effective method for identifying misalignment at an early stage, enabling corrective actions before it negatively impacts equipment efficiency and energy consumption. To improve monitoring efficiency, it is essential that the diagnostic system is not only intelligent but also capable of operating in real-time. This study proposes a methodology for diagnosing shaft misalignment faults by combining wavelet transform for feature extraction and transfer learning for fault classification. The accuracy of the proposed soft real-time solution is validated through a comparison with other time-frequency transformation techniques and transfer learning networks. The methodology also includes an experimental procedure for simulating misalignment faults using a laser measurement tool. Additionally, the study evaluates the thermal impacts and vibration signature of each type of misalignment fault through multi-sensor monitoring, highlighting the effectiveness and robustness of the approach. First, wavelet transform is used to obtain a good representation of the signal in the time-frequency domain. This step allows for the extraction of key features from multi-sensor vibration signals. Then, the transfer learning network processes these features through its different layers to identify the faults and their severity. This combination provides an intelligent decision-support tool for diagnosing misalignment faults, enabling early detection and real-time monitoring. The proposed methodology is tested on two datasets: the first is a public dataset, while the second was created in the laboratory to simulate shaft misalignment using a laser alignment tool and to demonstrate the effect of this defect on other components through thermal imaging. The evaluation is carried out using various criteria to demonstrate the effectiveness of the methodology. The results highlight the potential of implementing the proposed soft real-time solution for diagnosing shaft misalignment faults. Full article
Show Figures

Figure 1

15 pages, 7658 KB  
Article
Testing and Modeling of Shaft Vibrations Due to Misalignment
by Igor Pavlović, Karlo Bratić, Radosław Kiciński and Marcin Kluczyk
J. Mar. Sci. Eng. 2024, 12(12), 2284; https://doi.org/10.3390/jmse12122284 - 12 Dec 2024
Cited by 1 | Viewed by 1909
Abstract
Alignment deviations remain one of the main causes of excessive vibration amplitudes among all rotating equipment. Their influence is particularly noticeable in ship shaft lines since their length is often much greater than their diameter. Dial gauges and laser measuring instruments are the [...] Read more.
Alignment deviations remain one of the main causes of excessive vibration amplitudes among all rotating equipment. Their influence is particularly noticeable in ship shaft lines since their length is often much greater than their diameter. Dial gauges and laser measuring instruments are the most commonly used methods for measuring the alignment deviations of ship shaft lines. Due to the increasingly common use of vibration diagnostics in shipbuilding, it is necessary to develop methods to identify shaft misalignment using vibration methods. The authors of this study identified the spectra components corresponding to the misalignment of a working test station of a ship’s shaft line. Identification was carried out in two stages: based on an analysis of the FEM model using the Abaqus program and based on measurements on a unique laboratory stand. The obtained results confirm the possibility of using FEM simulations in the operational diagnosis of shaft line alignment deviations. Full article
(This article belongs to the Section Ocean Engineering)
Show Figures

Figure 1

22 pages, 11834 KB  
Article
Open-Source Data Logger System for Real-Time Monitoring and Fault Detection in Bench Testing
by Marcio Luís Munhoz Amorim, Jorge Gomes Lima, Norah Nadia Sánchez Torres, Jose A. Afonso, Sérgio F. Lopes, João P. P. do Carmo, Lucas Vinicius Hartmann, Cicero Rocha Souto, Fabiano Salvadori and Oswaldo Hideo Ando Junior
Inventions 2024, 9(6), 120; https://doi.org/10.3390/inventions9060120 - 4 Dec 2024
Cited by 1 | Viewed by 3124
Abstract
This paper presents the design and development of a proof of concept (PoC) open-source data logger system for wireless data acquisition via Wi-Fi aimed at bench testing and fault detection in combustion and electric engines. The system integrates multiple sensors, including accelerometers, microphones, [...] Read more.
This paper presents the design and development of a proof of concept (PoC) open-source data logger system for wireless data acquisition via Wi-Fi aimed at bench testing and fault detection in combustion and electric engines. The system integrates multiple sensors, including accelerometers, microphones, thermocouples, and gas sensors, to monitor critical parameters, such as vibration, sound, temperature, and CO2 levels. These measurements are crucial for detecting anomalies in engine performance, such as ignition and combustion faults. For combustion engines, temperature sensors detect operational anomalies, including diesel engines operating beyond the normal range of 80 °C to 95 °C and gasoline engines between 90 °C and 110 °C. These readings help identify failures in cooling systems, thermostat valves, or potential coolant leaks. Acoustic sensors identify abnormal noises indicative of issues such as belt misalignment, valve knocking, timing irregularities, or loose parts. Vibration sensors detect displacement issues caused by engine mount failures, cracks in the engine block, or defects in pistons and valves. These sensors can work synergistically with acoustic sensors to enhance fault detection. Additionally, CO2 and organic compound sensors monitor fuel combustion efficiency and detect failures in the exhaust system. For electric motors, temperature sensors help identify anomalies, such as overloads, bearing problems, or excessive shaft load. Acoustic sensors diagnose coil issues, phase imbalances, bearing defects, and faults in chain or belt systems. Vibration sensors detect shaft and bearing problems, inadequate motor mounting, or overload conditions. The collected data are processed and analyzed to improve engine performance, contributing to reduced greenhouse gas (GHG) emissions and enhanced energy efficiency. This PoC system leverages open-source technology to provide a cost-effective and versatile solution for both research and practical applications. Initial laboratory tests validate its feasibility for real-time data acquisition and highlight its potential for creating datasets to support advanced diagnostic algorithms. Future work will focus on enhancing telemetry capabilities, improving Wi-Fi and cloud integration, and developing machine learning-based diagnostic methodologies for combustion and electric engines. Full article
Show Figures

Figure 1

16 pages, 5966 KB  
Article
Assessment of Hoisting Conveyance Guiding Forces Based on Field Acceleration Measurements and Numerical Simulation
by Przemysław Fiołek and Jacek Jakubowski
Appl. Sci. 2024, 14(22), 10758; https://doi.org/10.3390/app142210758 - 20 Nov 2024
Viewed by 1223
Abstract
Shafts play a key role in the operation of mining plants. They connect underground excavations with the surface and provide the ability to transport people, equipment, and raw materials. The nature of the dynamic interaction of a conveyance moving at a significant speed [...] Read more.
Shafts play a key role in the operation of mining plants. They connect underground excavations with the surface and provide the ability to transport people, equipment, and raw materials. The nature of the dynamic interaction of a conveyance moving at a significant speed along deformed guide rails is complex, and the method of assessing the interaction of hoisting conveyances with shaft steelwork, despite ongoing research, still requires further understanding and improvement. Misalignments of the guide rails and conveyance movements transverse to the shaft axis induce impact (guiding) forces, which are the key design parameters of shaft steelwork. The reliable assessment of guiding forces allows the design of safe and economical steelworks and the assessment of their structural safety during operation under deformations and corrosive deterioration. Determining the value of guiding forces requires their field measurements or the use of approximate empirical formulas. Both methods have their limitations—measurement is expensive and interferes with normal shaft operation, while empirical formulas are subject to high error due to the lack of consideration of many structural details specific to each shaft that significantly affect the behavior of the system. This study presents a new method for using a relatively simple-to-implement measurement of hoisting conveyance acceleration to assess guiding forces. A finite element model of the skip and steelwork was built, and simulations of the conveyance interaction with the structure were carried out. A strong relationship between the sliding plate’s impact point location and the guiding force was found. Extreme values of the guiding force were observed in the vicinity of the bunton connection. The study showed that reducing the skip load mass does not affect the force value. Simplified methods of calculating the moments of inertia of the hoisting conveyance significantly overestimate the code-based values of the guiding forces. The presented method considers the actual stiffness and mass distribution of hoisting conveyance and, therefore, allows for a more accurate estimation of the guiding forces and the transport of larger loads. This data-driven approach allows for the continuous monitoring of the guiding forces, the adjustments of the hoisting parameters, the rational planning of repairs, and a reduction in the replacement of corroded shaft steelwork. Full article
(This article belongs to the Special Issue Recent Advances in Mining Technology and Geotechnical Engineering)
Show Figures

Figure 1

17 pages, 4708 KB  
Article
Investigation on Dynamic Behaviors of Ship Propulsion Shafting with Misalignment Based on Stochastic Uncertainty Models
by Pengfei Xing, Feng Zhao, Xiaoliang He and Guobin Li
J. Mar. Sci. Eng. 2024, 12(11), 1927; https://doi.org/10.3390/jmse12111927 - 28 Oct 2024
Viewed by 1056
Abstract
To investigate the effect of stochastic uncertainty on the dynamic behaviors of ship propulsion shafting with misalignment, a stochastic uncertainty model of ship shafting is established based on nonparametric theory and stochastic excitation. Numerical simulation and experimental verification of the dynamic behaviors are [...] Read more.
To investigate the effect of stochastic uncertainty on the dynamic behaviors of ship propulsion shafting with misalignment, a stochastic uncertainty model of ship shafting is established based on nonparametric theory and stochastic excitation. Numerical simulation and experimental verification of the dynamic behaviors are carried out using a ship shafting test bench. The results indicate that stochastic uncertainty has a significant effect on the dynamic behaviors of shafting with misalignment. With an increase in stochastic uncertainty, the fractional frequency appears in the spectrum, and the axis trajectory becomes more complex and gradually deviates from the center orbit. Therefore, to ensure the safe navigation of ships, it is necessary to consider the stochastic uncertainty in dynamic research on the misalignment of shafting. Full article
(This article belongs to the Section Ocean Engineering)
Show Figures

Figure 1

14 pages, 15754 KB  
Article
Development of Second Prototype of Twin-Driven Magnetorheological Fluid Actuator for Haptic Device
by Takehito Kikuchi, Asaka Ikeda, Rino Matsushita and Isao Abe
Micromachines 2024, 15(10), 1184; https://doi.org/10.3390/mi15101184 - 25 Sep 2024
Cited by 4 | Viewed by 1339
Abstract
Magnetorheological fluids (MRFs) are functional fluids that exhibit rapid and reproducible rheological responses to external magnetic fields. An MRF has been utilized to develop a haptic device with precise haptic feedback for teleoperative surgical systems. To achieve this, we developed several types of [...] Read more.
Magnetorheological fluids (MRFs) are functional fluids that exhibit rapid and reproducible rheological responses to external magnetic fields. An MRF has been utilized to develop a haptic device with precise haptic feedback for teleoperative surgical systems. To achieve this, we developed several types of compact MRF clutches for haptics (H-MRCs) and integrated them into a twin-driven MRF actuator (TD-MRA). The first TD-MRA prototype was successfully used to generate fine haptic feedback for operators. However, undesirable torque ripples were observed due to shaft misalignment and the low rigidity of the structure. Additionally, the detailed torque control performance was not evaluated from both static and dynamic current inputs. The objective of this study is to develop a second prototype to reduce torque ripple by improving the structure and evaluating its static and dynamic torque performance. Torque performance was measured using both constant and stepwise current inputs. The coefficient of variance of the torque was successfully reduced by half due to the structural redesign. Although the time constants of the H-MRC were less than 10 ms, those of the TD-MRA were less than 20 ms under all conditions. To address the slower downward output response, we implemented an improved input method, which successfully halved the response time. Full article
(This article belongs to the Special Issue Magnetorheological Materials and Application Systems)
Show Figures

Figure 1

27 pages, 14789 KB  
Article
RTCA-Net: A New Framework for Monitoring the Wear Condition of Aero Bearing with a Residual Temporal Network under Special Working Conditions and Its Interpretability
by Tongguang Yang, Xingyuan Huang, Yongjian Zhang, Jinglan Li, Xianwen Zhou and Qingkai Han
Mathematics 2024, 12(17), 2687; https://doi.org/10.3390/math12172687 - 29 Aug 2024
Cited by 1 | Viewed by 970
Abstract
The inter-shaft bearing is the core component of a high-pressure rotor support system of a high-thrust aero engine. One of the most challenging tasks for a PHM is monitoring its working condition. However, considering that in the bearing rotor system of a high-thrust [...] Read more.
The inter-shaft bearing is the core component of a high-pressure rotor support system of a high-thrust aero engine. One of the most challenging tasks for a PHM is monitoring its working condition. However, considering that in the bearing rotor system of a high-thrust aero engine bearings are prone to wear failure due to unbalanced or misaligned faults of the rotor system, especially in harsh environments, such as those at high operating loads and high rotation speeds, bearing wear can easily evolve into serious faults. Compared with aero engine fault diagnosis and RUL prediction, relatively little research has been conducted on bearing condition monitoring. In addition, considering how to evaluate future performance states with limited time series data is a key problem. At the same time, the current deep neural network model has the technical challenge of poor interpretability. In order to fill the above gaps, we developed a new framework of a residual space–time feature fusion focusing module named RTCA-Net, which focuses on solving the key problem. It is difficult to accurately monitor the wear state of aero engine inter-shaft bearings under special working conditions in practical engineering. Specifically, firstly, a residual space–time structure module was innovatively designed to capture the characteristic information of the metal dust signal effectively. Secondly, a feature-focusing module was designed. By adjusting the change in the weight coefficient during training, the RTCA-Net framework can select the more useful information for monitoring the wear condition of inter-shaft bearings. Finally, the experimental dataset of metal debris was verified and compared with seven other methods, such as the RTC-Net. The results showed that the proposed RTCA-Net framework has good generalization, superiority, and credibility. Full article
Show Figures

Figure 1

17 pages, 7219 KB  
Article
Fault Detection of Rotating Machines Using poly-Coherent Composite Spectrum of Measured Vibration Responses with Machine Learning
by Khalid Almutairi, Jyoti K. Sinha and Haobin Wen
Machines 2024, 12(8), 573; https://doi.org/10.3390/machines12080573 - 19 Aug 2024
Cited by 6 | Viewed by 1906
Abstract
This study presents an efficient vibration-based fault detection method for rotating machines utilising the poly-coherent composite spectrum (pCCS) and machine learning techniques. pCCS combines vibration measurements from multiple bearing locations into a single spectrum, retaining amplitude and phase information while [...] Read more.
This study presents an efficient vibration-based fault detection method for rotating machines utilising the poly-coherent composite spectrum (pCCS) and machine learning techniques. pCCS combines vibration measurements from multiple bearing locations into a single spectrum, retaining amplitude and phase information while reducing background noise. The use of pCCS significantly reduces the number of extracted parameters in the frequency domain compared to using individual spectra at each measurement location. This reduction in parameters is crucial, especially for large industrial rotating machines, as processing and analysing extensive datasets demand significant computational resources, increasing the time and cost of fault detection. An artificial neural network (ANN)-based machine learning model is then employed for fault detection using these reduced extracted parameters. The methodology is developed and validated on an experimental rotating machine at three different speeds: below the first critical speed, between the first and second critical speeds, and above the second critical speed. This range of speeds represents the diverse dynamic conditions commonly encountered in industrial settings. This study examines both healthy machine conditions and various simulated fault conditions, including misalignment, rotor-to-stator rub, shaft cracks, and bearing faults. By combining the pCCS technique with machine learning, this study enhances the reliability, efficiency, and practical applicability of fault detection in rotating machines under varying dynamic conditions and different machine conditions. Full article
(This article belongs to the Section Machines Testing and Maintenance)
Show Figures

Figure 1

Back to TopTop