Dynamic Characteristics of Bidirectional Misaligned Marine Water-Lubricated Bearings Considering Turbulence, Surface Roughness and Bush Deformation
Abstract
1. Introduction
2. Mathematical Model
2.1. The Generalized Average Reynolds Equation
2.2. Water Film Thickness Equation
2.3. Asperity Contact Model
2.4. Perturbation Equation
2.5. Boundary Condition
2.6. Convergence Principle
3. Numerical Schemes and Model Validation
3.1. Numerical Simulation Flowchart
3.2. Model Validation
4. Results and Discussion
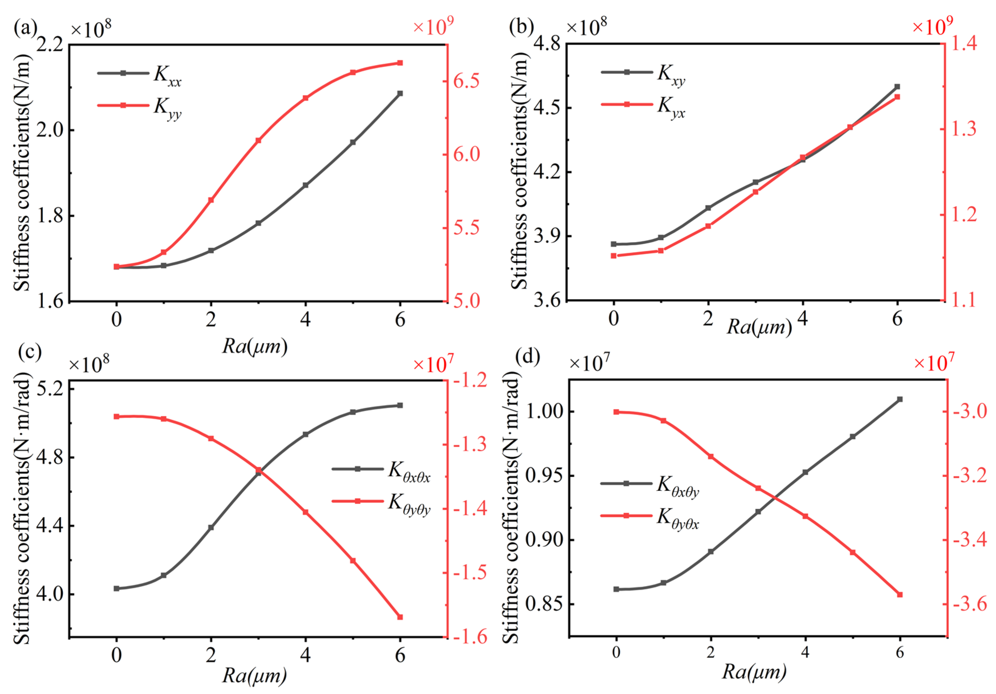
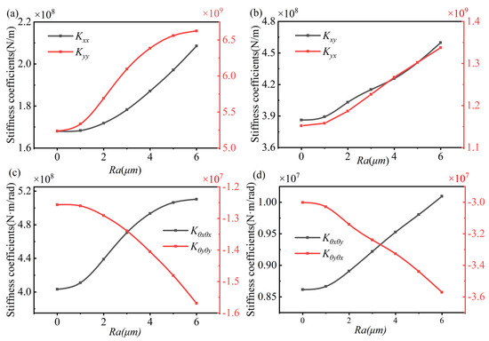
4.1. Effect of Surface Roughness
4.2. Effect of Turbulence
4.3. Effect of Bearing Bush Deformation
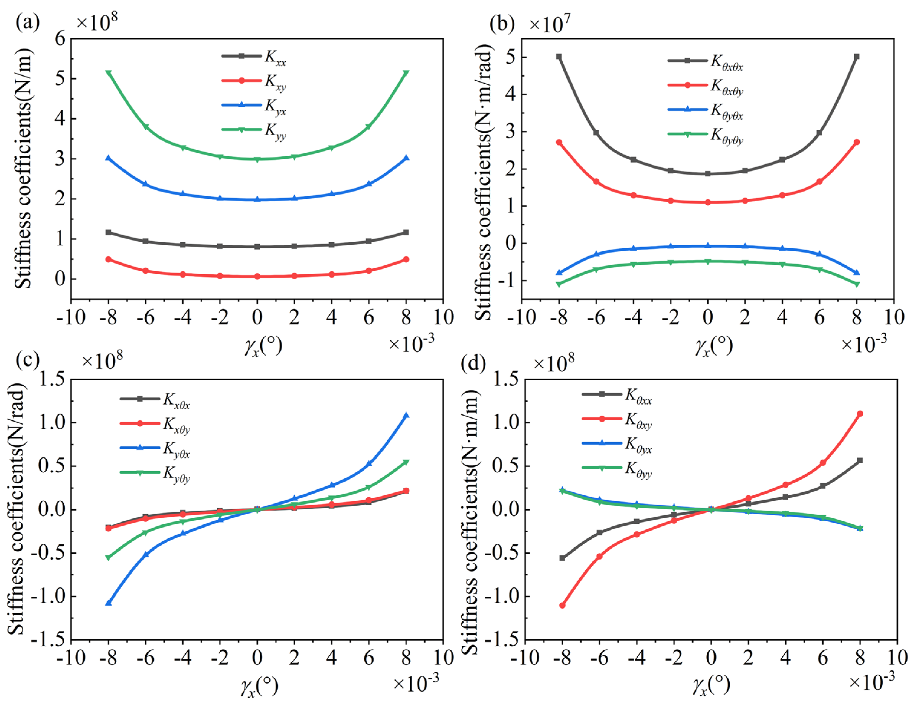
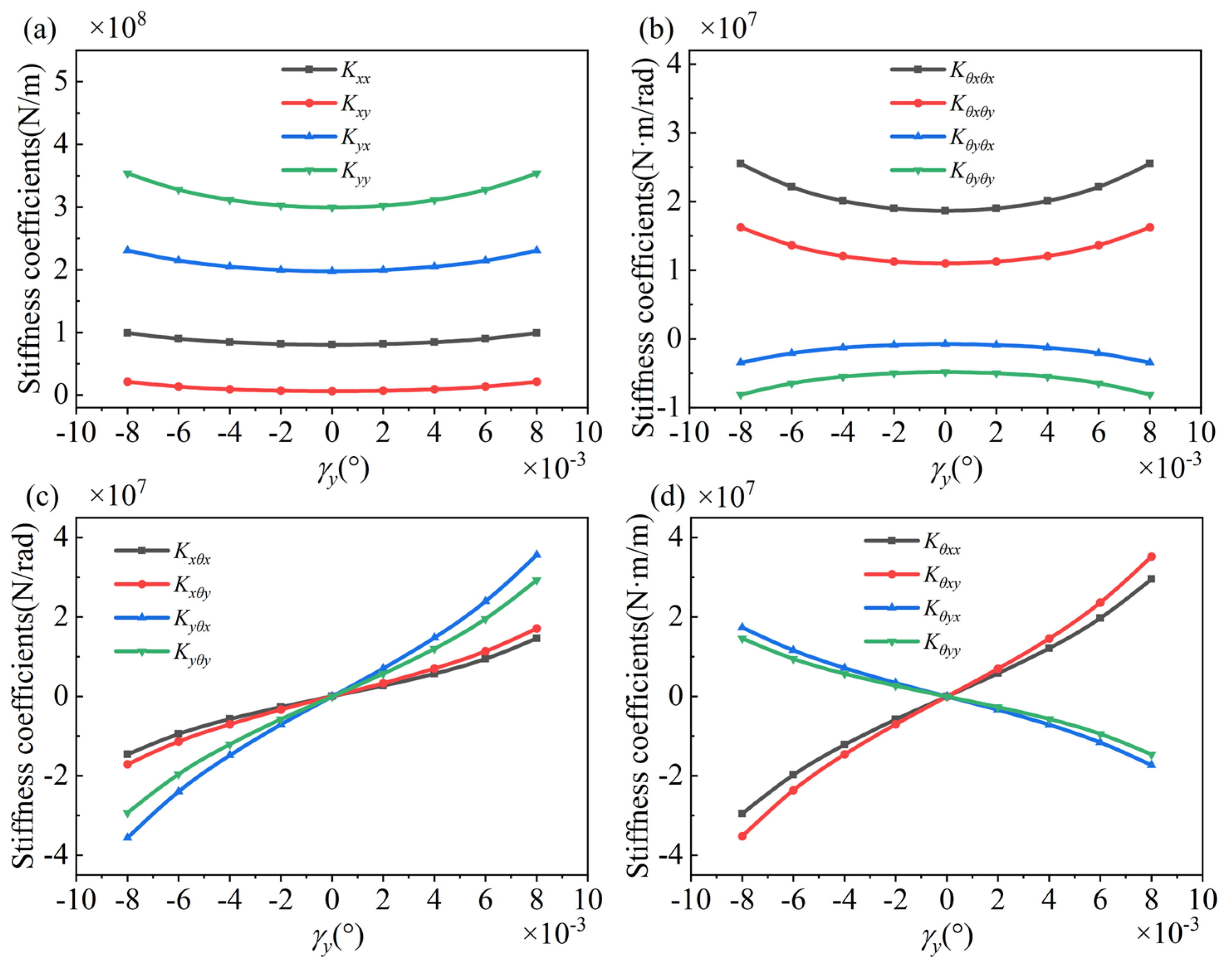
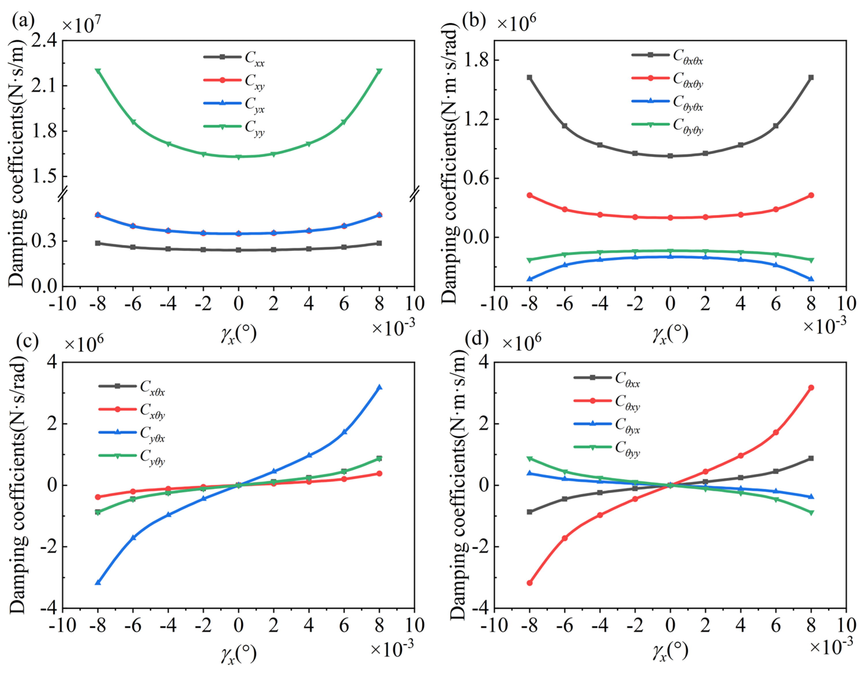
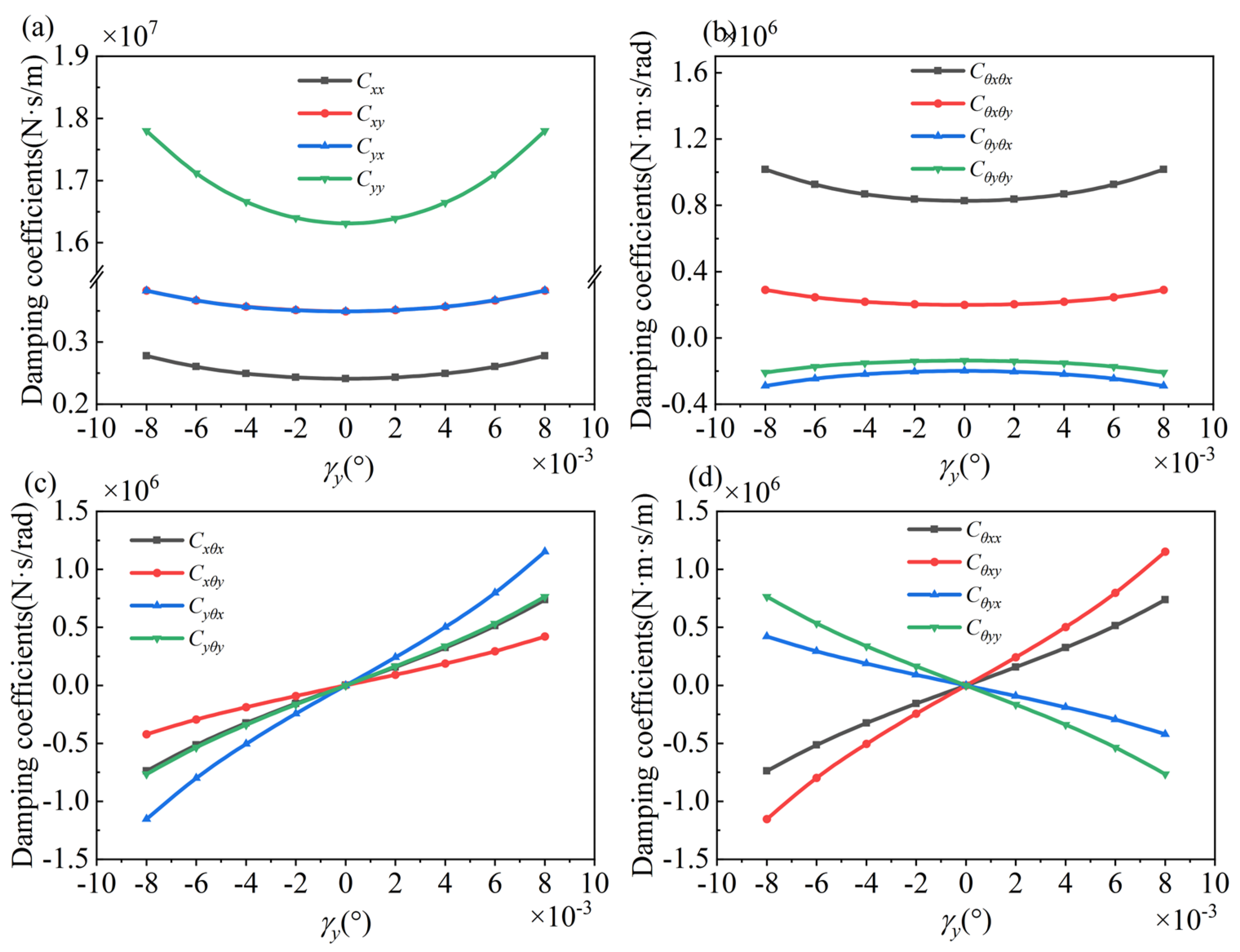
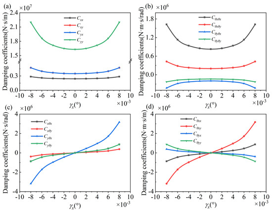
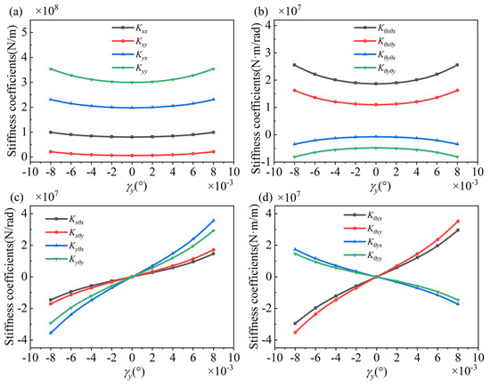
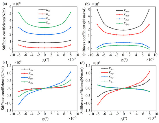
4.4. Effect of Bidirectional Misalignment
5. Conclusions
- (1)
- The stiffness and damping coefficients of marine WLBs in the mixed lubrication condition can be significantly enhanced by using an appropriate surface roughness; the and are more sensitive to changes in roughness. However, the effect of surface roughness on enhancing the stiffness and damping of the water film gradually diminishes as it further increases.
- (2)
- The turbulence effect can enhance the stiffness and damping coefficients of the WLB when the rotational speed exceeds the ACS. Larger stiffness or damping coefficients result in a higher ACS required for the threshold phenomenon to occur. While stiffness grows roughly linearly with speed, damping increases non-linearly and more quickly at lower speeds. , and , are more affected by the turbulence effect.
- (3)
- The impact of bearing bush deformation on the dynamic characteristics of WLBs cannot be ignored, particularly in cases of low Young’s modulus or heavy loads, and the impact can be particularly significant, and the bush elastic deformation affects the stiffness coefficient of WLBs more than the damping coefficients.
- (4)
- The 16 coupled translational-tilting and tilting-translational stiffness and damping coefficients are close to 0 and can be neglected when misalignment is not taken into account. For both horizontal and vertical misalignment, the WLB’s 32 stiffness and damping coefficients dramatically change. The effect of vertical misalignment is more significant for , , and , , while the horizontal misalignment is more significant for , and , . A completed 32 coefficients dynamic model should be developed for misaligned marine WLBs.
- (5)
- When designing marine WLBs, it is not recommended to use a relatively high surface roughness as this increases the possibility of the bearings entering a mixed lubrication condition and also reduces the stiffness and damping coefficient of the WLB, which is not conducive to stable operation. For heavy-loaded WLBs, the Young’s modulus of the bush should be increased to improve the bearing’s support performance. The misalignment effect during the actual operation of marine WLBs is inevitable, and the edge loading effect caused by it will have a significant impact on the dynamic characteristics of the bearing, and the misalignment angle should be controlled within 0.004°, and for horizontal misalignment, this range should be more stringent.
Author Contributions
Funding
Institutional Review Board Statement
Informed Consent Statement
Data Availability Statement
Acknowledgments
Conflicts of Interest
Nomenclature
| Young’s modulus, MPa | stiffness coefficient matrix | ||
| dimensionless water film thickness | damping coefficient matrix | ||
| dimensionless water film pressure | β | curvature radius of the asperity, μm | |
| horizontal load, kN | η | density of the asperity, 1/m3 | |
| vertical load, kN | circumferential angle, rad | ||
| Reynolds number | film rupture angle, rad | ||
| critical Reynolds number | surface composite roughness, μm | ||
| local Reynolds number | bush thickness, mm | ||
| rotational speed, m/s | dimensionless axial coordinate | ||
| c | radial clearance, mm | viscosity, Pa·s | |
| e | eccentricity | density, kg/m3 | |
| water film thickness, μm | Poisson’s ratio | ||
| water film pressure, MPa | φ | attitude angle, rad | |
| contact pressure, MPa | misalignment angle around , ° | ||
| r | bearing radius, mm | misalignment angle around , ° | |
| bearing circumferential coordinates, mm | bearing bush deformation | ||
| bearing axial coordinates, mm | eccentricity ratio | ||
| axial coordinate, mm | , | pressure flow factor | |
| dimensionless perturbation pressure | contact factor | ||
| , | turbulence factors | shear flow factor | |
| film thickness ratio | , | misalignment displacements, mm | |
| contact stiffness coefficient |
References
- Huang, Q.; Yan, X. Impact factors on lubricant performance of stern bearing with misalignment angle induced by transverse vibration of shaft. Ocean Eng. 2020, 216, 108051. [Google Scholar] [CrossRef]
- Yang, H.; Li, J.; Li, X. Calculation of the dynamic characteristics of ship’s aft stern tube bearing considering journal deflection. Pol. Marit. Res. 2020, 27, 107–115. [Google Scholar] [CrossRef]
- Xie, Z.; Jiao, J.; Yang, K.; Zhang, H. A state-of-art review on the water-lubricated bearing. Tribol. Int. 2023, 180, 108276. [Google Scholar] [CrossRef]
- Zhang, Z.; Ouyang, W.; Liang, X.; Yan, X.; Yuan, C.; Zhou, X.; Guo, Z.; Dong, C.; Liu, Z.; Jin, Y.; et al. Review of the evolution and prevention of friction, wear, and noise for water-lubricated bearings used in ships. Friction 2023, 12, 1–38. [Google Scholar] [CrossRef]
- Ouyang, W.; Cheng, Q.; Jin, Y.; Liu, Q.; Wang, B.; Wang, L. Lubrication performance distribution of large aspect ratio water-lubricated bearings considering deformation and shaft bending. Tribol Trans. 2021, 64, 730–743. [Google Scholar] [CrossRef]
- Avishai, D.; Morel, G. Experimental investigation of lubrication regimes of a water-lubricated bearing in the propulsion train of a marine vessel. J. Tribol. 2021, 143, 1–35. [Google Scholar] [CrossRef]
- Litwin, W.; Dymarski, C. Experimental research on water-lubricated marine stern tube bearings in conditions of improper lubrication and cooling causing rapid bush wear. Tribol. Int. 2016, 95, 449–455. [Google Scholar] [CrossRef]
- Patir, N.; Cheng, H.S. Application of average flow model to lubrication between rough sliding surfaces. J. Lubr. Technol.-Trans. Asme 1979, 101, 220–230. [Google Scholar] [CrossRef]
- Greenwood, J.A.; Tripp, J.H. The contact of two nominally flat rough surfaces. Proc. Inst. Mech. Eng. Part J-J. Eng. Tribol. 1970, 185, 625–634. [Google Scholar] [CrossRef]
- Liang, X.; Han, M.; He, T.; Cui, L.; Yang, Z.; Ouyang, W. A mixed lubrication deterministic model of an elastic support water-lubricated tilting pad thrust bearing. Lubricants 2023, 11, 262. [Google Scholar] [CrossRef]
- Wang, Q.; Shi, F.H.; Lee, S.C. A mixed-lubrication study of journal bearing conformal contacts. J. Tribol. 1997, 119, 456–461. [Google Scholar] [CrossRef]
- He, T.; Zou, D.; Lu, X.; Guo, Y.; Wang, Z.; Li, W. Mixed-lubrication analysis of marine stern tube bearing considering bending deformation of stern shaft and cavitation. Tribol. Int. 2014, 73, 108–116. [Google Scholar] [CrossRef]
- Xie, Z.; Zhu, W. Theoretical and experimental exploration on the micro asperity contact load ratios and lubrication regimes transition for water-lubricated stern tube bearing. Tribol. Int. 2021, 164, 107105. [Google Scholar] [CrossRef]
- Charamis, D.; Nikolakopoulos, P.G. Investigation of cavitated flow in water-lubricated bearings considering surface roughness, thermal, and elastic effects. Lubricants 2024, 12, 107. [Google Scholar] [CrossRef]
- Xiang, G.; Yang, T.; Guo, J.; Wang, J.; Liu, B.; Chen, S. Optimization transient wear and contact performances of water-lubricated bearings under fluid-solid-thermal coupling condition using profile modification. Wear 2022, 502–503, 204379. [Google Scholar] [CrossRef]
- Xiang, G.; Goltsberg, R.; Etsion, I. Role of intermolecular potential in adhesive wear behaviors for elastic-plastic spherical microcontacts. Tribol. Int. 2024, 199, 110054. [Google Scholar] [CrossRef]
- Zhao, Z.; Huang, Q.; Sheng, M. The influence of local wear and contact roughness on mixed lubrication of marine stern bearing with misaligned shaft. Lubr. Sci. 2023, 35, 498–512. [Google Scholar] [CrossRef]
- Wang, L.; Pei, S.; Xiong, X.; Xu, H. Investigation of the combined influence of turbulence and thermal effects on the performance of water-lubricated hybrid bearings with circumferential grooves and stepped recesses. Proc. Inst. Mech. Eng. Part J-J. Eng. Tribol. 2014, 228, 53–68. [Google Scholar] [CrossRef]
- Du, Y.; Lan, J.; Quan, H.; Sun, C.; Liu, X.; Yang, X. Effect of different turbulent lubrication models on the lubrication characteristics of water-lubricated rubber bearings at a high Reynolds number. Phys. Fluids 2021, 33, 065118. [Google Scholar] [CrossRef]
- Lv, F.; Zhang, X.; Ji, C.; Rao, Z. Theoretical and experimental investigation on local turbulence effect on mixed—Lubrication journal bearing during speeding up. Phys. Fluids 2022, 34, 113104. [Google Scholar] [CrossRef]
- Liu, G.; Li, M. Experimental study on the lubrication characteristics of water-lubricated rubber bearings at high rotating speeds. Tribol. Int. 2021, 157, 106868. [Google Scholar] [CrossRef]
- Qiao, J.; Zhou, G.; Pu, W.; Li, R.; He, M. Coupling analysis of turbulent and mixed lubrication of water-lubricated rubber bearings. Tribol. Int. 2022, 172, 107644. [Google Scholar] [CrossRef]
- Sun, J.; Gui, C.L. Hydrodynamic lubrication analysis of journal bearing considering misalignment caused by shaft deformation. Tribol. Int. 2004, 37, 841–848. [Google Scholar] [CrossRef]
- Liu, Q.; Ouyang, W.; Cheng, Q.; Li, J.; Cheng, Q.; Li, R. Influences of bidirectional shaft inclination on lubrication and dynamic characteristics of the water-lubricated stern bearing. Mech. Syst. Signal Process. 2022, 169, 108623. [Google Scholar] [CrossRef]
- Lv, F.; Jiao, C.; Jia, Q.; Xia, K. Influence of structural and operating parameters on lubrication performance of water-lubricated polymer bearing with journal misalignment. Lubricants 2022, 10, 336. [Google Scholar] [CrossRef]
- Yang, T.; Han, Y.; Wang, Y.; Xiang, G. Numerical analysis of the transient wear and lubrication behaviors of misaligned journal bearings caused by linear shaft misalignment. J. Tribol. 2022, 144, 051801. [Google Scholar] [CrossRef]
- Xie, Z.; Shen, N.; Zhu, W.; Tian, W.; Hao, L. Theoretical and experimental investigation on the influences of misalignment on the lubrication performances and lubrication regimes transition of water lubricated bearing. Mech. Syst. Signal Process. 2021, 149, 107211. [Google Scholar] [CrossRef]
- Liang, X.; Yan, X.; Liu, Z.; Ouyang, W. Effect of perturbation amplitudes on water film stiffness coefficients of water-lubricated plain journal bearings based on cfd-fsi methods. Proc. Inst. Mech. Eng. Part J-J. Eng. Tribol. 2019, 233, 1003–1015. [Google Scholar] [CrossRef]
- Zhou, G.; Wang, J.; Han, Y.; Li, J.; Pu, W.; Wei, B. Study on the stiffness and damping coefficients of water-lubricated rubber bearings with multiple grooves. Proc. Inst. Mech. Eng. Part J-J. Eng. Tribol. 2016, 230, 323–335. [Google Scholar] [CrossRef]
- Wang, X.; Zhou, L.; Huang, M.; Yue, X.; Xu, Q. Numerical investigation of journal misalignment on the static and dynamic characteristics of aerostatic journal bearings. Measurement 2018, 128, 314–324. [Google Scholar] [CrossRef]
- Xiang, G.; Wang, Y.; Wang, C.; Lv, Z. Numerical study on the dynamic characteristics of water-lubricated rubber bearing under asperity contact. Ind. Lubr. Tribol. 2021, 73, 572–580. [Google Scholar] [CrossRef]
- Feng, H.; Jiang, S.; Ji, A. Investigations of the static and dynamic characteristics of water-lubricated hydrodynamic journal bearing considering turbulent, thermohydrodynamic and misaligned effects. Tribol. Int. 2019, 130, 245–260. [Google Scholar] [CrossRef]
- Ouyang, W.; Liu, Q.; Cheng, Q.; Wan, G.; Jin, Y. Identification of distributed dynamic characteristics of journal bearing with large aspect ratio under shaft bending. J. Mar. Sci. Eng. 2022, 10, 658. [Google Scholar] [CrossRef]
- Wu, C.W.; Zheng, L.Q. An average reynolds-equation for partial film lubrication with a contact factor. J. Tribol. 1989, 111, 188–191. [Google Scholar] [CrossRef]
- Ng, C.W.; Pan, C. A linearized turbulent lubrication theory. J. Basic Eng. 1965, 87, 685. [Google Scholar] [CrossRef]
- Dobrica, M.B.; Fillon, M.; Maspeyrot, P. Mixed elastohydrodynamic lubrication in a partial journal bearing—Comparison between deterministic and stochastic models. J. Tribol. 2006, 128, 778–788. [Google Scholar] [CrossRef]
- Mokhtar, M.O.A.; Howarth, R.B.; Davies, P.B. The behavior of plain hydrodynamic journal bearings during starting and stopping. Asle Trans. 1977, 20, 183–190. [Google Scholar] [CrossRef]
- Cui, S.; Gu, L.; Wang, L.; Xu, B.; Zhang, C. Numerical analysis on the dynamic contact behavior of hydrodynamic journal bearings during start-up. Tribol. Int. 2018, 121, 260–268. [Google Scholar] [CrossRef]
- Liu, Z. Research on Dynamic Characteristic of a Rotor Water Lubricated Rubber Bearing System. Master Thesis, Harbin Institute of Technology, Harbin, China, 2013. [Google Scholar]
















| Parameter | Value | Parameter | Value |
|---|---|---|---|
| ) | 30 mm | Bearing Poisson’s ratio ) | 0.33 |
| ) | 15 mm | Eccentricity ratio | 0.945 |
| ) | 0.022 mm | ) | 0.03 Pa·s |
| ) | 300 rpm | ) | 0.4 μm |
| Bearing Young’s modulus ) | 63 GPa | Surface orientation | 1/9 |
| Parameter | Value | Parameter | Value |
|---|---|---|---|
| ) | 120 mm | ) | 0.09–3.12 kN |
| ) | 480 mm | ) | 300–1800 rpm |
| ) | 0.4 mm | Bush material | Rubber |
| ) | 1.01 × 10−3 Pa·s | Bearing Young’s modulus ) | 7.86 MPa |
| ) | 7.5 mm | Bearing Poisson’s ratio ) | 0.47 |
| Liu | 0.1 | 7.69 × 101 | 4.46 × 102 | 5.55 × 102 | −1.38 × 102 | 4.42 × 102 | 5.71 × 101 | −5.77 × 101 | −5.64 × 102 |
| Present | 0.1 | 7.74 × 101 | 4.51 × 102 | 5.64 × 102 | −1.40 × 102 | 4.46 × 102 | 5.86 × 101 | −5.86 × 101 | −5.73 × 102 |
| Liu | 0.5 | 7.39 × 102 | 1.07 × 103 | 4.32 × 102 | −9.51 × 102 | 9.07 × 102 | 4.39 × 102 | −4.41 × 102 | −7.68 × 102 |
| Present | 0.5 | 7.47 × 102 | 1.09 × 103 | 4.36 × 102 | −9.62 × 102 | 9.16 × 102 | 4.45 × 102 | −4.45 × 102 | −7.77 × 102 |
| Liu | 0.9 | 3.64 × 104 | 2.00 × 104 | −7.05 × 103 | −8.45 × 103 | 1.49 × 104 | 4.53 × 103 | −4.57 × 103 | −2.37 × 103 |
| Present | 0.9 | 3.56 × 104 | 2.04 × 104 | −7.05 × 103 | −8.58 × 103 | 1.51 × 104 | 4.58 × 103 | −4.58 × 103 | −2.46 × 103 |
| Parameter | Value | Parameter | Value |
|---|---|---|---|
| ) | 224.6 mm | Asperity radius (β) | 2 μm |
| ) | 225 mm | Asperity density (η) | 2 × 1011/m2 |
| ) | 15 mm | Journal material | 45 Cr |
| ) | 990 mm | Bearing material | Thordon |
| ) | 0.4 mm | ) | 1.005 × 10−3 Pa·s |
| ) | 250 rpm | Dry friction | 0.15 |
| Journal Poisson’s ratio ) | 0.3 | ) | 1.6 μm |
| Bearing Poisson’s ratio ) | 0.45 | ) | 1.2 μm |
| Journal Young’s modulus ) | 210 GPa | ) | 1 |
| Bearing Young’s modulus ) | 490 MPa | Wrap angle | 150° |
Disclaimer/Publisher’s Note: The statements, opinions and data contained in all publications are solely those of the individual author(s) and contributor(s) and not of MDPI and/or the editor(s). MDPI and/or the editor(s) disclaim responsibility for any injury to people or property resulting from any ideas, methods, instructions or products referred to in the content. |
© 2025 by the authors. Licensee MDPI, Basel, Switzerland. This article is an open access article distributed under the terms and conditions of the Creative Commons Attribution (CC BY) license (https://creativecommons.org/licenses/by/4.0/).
Share and Cite
Chen, Z.; Wang, J.; Li, R.; Liu, Y. Dynamic Characteristics of Bidirectional Misaligned Marine Water-Lubricated Bearings Considering Turbulence, Surface Roughness and Bush Deformation. J. Mar. Sci. Eng. 2025, 13, 270. https://doi.org/10.3390/jmse13020270
Chen Z, Wang J, Li R, Liu Y. Dynamic Characteristics of Bidirectional Misaligned Marine Water-Lubricated Bearings Considering Turbulence, Surface Roughness and Bush Deformation. Journal of Marine Science and Engineering. 2025; 13(2):270. https://doi.org/10.3390/jmse13020270
Chicago/Turabian StyleChen, Ziqi, Ji Wang, Rui Li, and Yujun Liu. 2025. "Dynamic Characteristics of Bidirectional Misaligned Marine Water-Lubricated Bearings Considering Turbulence, Surface Roughness and Bush Deformation" Journal of Marine Science and Engineering 13, no. 2: 270. https://doi.org/10.3390/jmse13020270
APA StyleChen, Z., Wang, J., Li, R., & Liu, Y. (2025). Dynamic Characteristics of Bidirectional Misaligned Marine Water-Lubricated Bearings Considering Turbulence, Surface Roughness and Bush Deformation. Journal of Marine Science and Engineering, 13(2), 270. https://doi.org/10.3390/jmse13020270

