Sign in to use this feature.

Years

Between: -

Subjects

remove_circle_outline
remove_circle_outline
remove_circle_outline
remove_circle_outline
remove_circle_outline
remove_circle_outline
remove_circle_outline
remove_circle_outline
remove_circle_outline

Journals

remove_circle_outline
remove_circle_outline
remove_circle_outline
remove_circle_outline
remove_circle_outline
remove_circle_outline
remove_circle_outline
remove_circle_outline
remove_circle_outline
remove_circle_outline
remove_circle_outline
remove_circle_outline
remove_circle_outline
remove_circle_outline
remove_circle_outline
remove_circle_outline
remove_circle_outline
remove_circle_outline
remove_circle_outline
remove_circle_outline
remove_circle_outline
remove_circle_outline
remove_circle_outline
remove_circle_outline
remove_circle_outline
remove_circle_outline
remove_circle_outline
remove_circle_outline
remove_circle_outline
remove_circle_outline
remove_circle_outline
remove_circle_outline
remove_circle_outline
remove_circle_outline
remove_circle_outline

Article Types

Countries / Regions

remove_circle_outline
remove_circle_outline
remove_circle_outline
remove_circle_outline
remove_circle_outline
remove_circle_outline
remove_circle_outline
remove_circle_outline
remove_circle_outline

Search Results (6,110)

Search Parameters:
Keywords = service-learning

Order results
Result details
Results per page
Select all
Export citation of selected articles as:
25 pages, 4126 KB  
Article
Analysis of Influencing Factors of Ecosystem Service Value Based on Machine Learning—Evidence from the Huaihe River Ecological Economic Belt, China
by Xingyan Li, Zeduo Zou, Xiuyan Zhao and Chunshan Zhou
Land 2026, 15(3), 466; https://doi.org/10.3390/land15030466 (registering DOI) - 14 Mar 2026
Abstract
By integrating multi-source data, this study systematically analyzes the evolution of land use structure, spatiotemporal differentiation characteristics of Ecosystem Service Value (ESV), and core driving mechanisms in the Huaihe River Ecological Economic Belt (HREEB) in eastern China from 2000 to 2020, based on [...] Read more.
By integrating multi-source data, this study systematically analyzes the evolution of land use structure, spatiotemporal differentiation characteristics of Ecosystem Service Value (ESV), and core driving mechanisms in the Huaihe River Ecological Economic Belt (HREEB) in eastern China from 2000 to 2020, based on the ESV equivalent accounting model and XGBoost-SHAP coupled framework. The main results are as follows: (1) The land use structure is dominated by cropland, construction land, and forest land. Over the 20-year period, cropland was continuously converted out, primarily transforming into construction land and forest land, while other land types remained relatively stable. (2) Temporally, the total ESV showed a fluctuating downward trend, first increasing and then decreasing from 2000 to 2020. Spatially, the ESV exhibited a corridor effect of “decreasing from the river channel center to both banks”. High-value areas were concentrated in the eastern river–sea linkage zone and the central-western inland rising zone, while extremely low-value areas in 2020 were located in the northern Huaihai Economic Zone (with dense construction land), indicating an overall medium service level. (3) The evolution of ESV was driven by both natural and human factors: among natural factors, water coverage, elevation, and slope had positive effects, while high temperature had an inhibitory effect; among human–economic factors, population density showed an “increase first and then decrease” effect, and urban expansion significantly weakened ESV in the later period. The spatial differentiation presented a pattern of “natural background support in the upper reaches and socioeconomic intervention in the lower reaches”. This study provides a scientific basis for the optimization of territorial space and ecological protection and restoration in the Huaihe River Ecological Economic Belt, and also offers a replicable research paradigm for ecosystem service management in similar river basin-type regions. Full article
18 pages, 5377 KB  
Article
Prediction of Prestress Changes in Concrete Under Freeze–Thaw Cycles Based on Transformer Model
by Jiancheng Zhang, Xiaolin Yang and Wen Zhang
Eng 2026, 7(3), 133; https://doi.org/10.3390/eng7030133 (registering DOI) - 14 Mar 2026
Abstract
Given that freeze–thaw damage of prestressed concrete significantly threatens structural service life and that existing conventional simulation techniques fail to capture prestress time series, this paper proposes a deep learning prediction model based on the Transformer model. The model integrates a multi-head self-attention [...] Read more.
Given that freeze–thaw damage of prestressed concrete significantly threatens structural service life and that existing conventional simulation techniques fail to capture prestress time series, this paper proposes a deep learning prediction model based on the Transformer model. The model integrates a multi-head self-attention mechanism and positional encoding to effectively capture long-range dependencies in prestressed time series. It enhances temporal modeling capability through a 128-dimensional high-dimensional feature space (chosen to balance representation capacity and computational efficiency for the dataset scale) and a 4-layer encoder stacking structure. A dataset was constructed using time-series data from three prestressed concrete components subjected to 50 freeze–thaw cycles. The F-a component was used as the training set, while F-b and F-c served as the testing sets. During the training phase, a Noam learning rate scheduler, gradient clipping, and an early stopping strategy were employed. The results indicate that the training strategy enables the loss function to converge quickly without overfitting, demonstrating good generalization performance. The prediction model performs well on the F-a and F-c datasets, with determination coefficients (R2) of 0.8404 and 0.8425, and corresponding Mean Absolute Error (MAE) of 61.71 MPa and 57.41 MPa, respectively. It can accurately track the periodic variation trend of prestress, demonstrating the model’s effectiveness in prestress prediction. This model provides a new technical tool for the health monitoring and performance prediction of prestressed concrete structures in freeze–thaw environments. Full article
(This article belongs to the Section Chemical, Civil and Environmental Engineering)
Show Figures

Figure 1

22 pages, 10587 KB  
Article
Accelerating Optimal Building Control Through Reinforcement Learning with Surrogate Building Models
by Andres Sebastian Cespedes Cubides, Christian Friborg Laursen and Muhyiddine Jradi
Appl. Sci. 2026, 16(6), 2790; https://doi.org/10.3390/app16062790 - 13 Mar 2026
Abstract
Buildings account for a substantial share of global energy use, yet the adoption of advanced optimal control strategies remains limited due to high computational costs and the difficulty of safe deployment. This paper presents a fully Python-based, data-driven deep reinforcement learning (DRL) supervisory [...] Read more.
Buildings account for a substantial share of global energy use, yet the adoption of advanced optimal control strategies remains limited due to high computational costs and the difficulty of safe deployment. This paper presents a fully Python-based, data-driven deep reinforcement learning (DRL) supervisory control framework that leverages gray box surrogate modeling and Imitation Learning to overcome these barriers. The novelty of this work lies in the integration of an ontology-based Twin4Build surrogate model with Imitation Learning and Deep Reinforcement Learning, enabling efficient training of building control policies in a low-cost environment before transfer to a high-fidelity BOPTEST emulator. Results demonstrate that the trade-off of using a lower-accuracy surrogate accelerates training by a factor of 11 compared to high-fidelity models. Furthermore, the RL agent successfully learned load-shifting and peak-shaving strategies, eliminating start-up power spikes and achieving energy savings of up to 28.9%. Beyond substantial energy reductions, this pipeline yields a calibrated digital twin suitable for ongoing building services like anomaly detection, presenting a scalable path for real-world smart building optimization. Full article
24 pages, 5166 KB  
Article
Resilience Assessment of Traditional Villages Based on Cultural Ecosystem Services—An Empirical Study of the Zuojiang Huashan Rock Art World Heritage Area in China
by Yong Lu, Liyana Hasnan and Bor Tsong Teh
Sustainability 2026, 18(6), 2845; https://doi.org/10.3390/su18062845 - 13 Mar 2026
Abstract
In this study, we explore how to balance the preservation of the original appearance of ancient villages with their development within the framework of World Heritage protection. We applied resilience theory and constructed a simple checklist, taking cultural ecosystem services into consideration, and [...] Read more.
In this study, we explore how to balance the preservation of the original appearance of ancient villages with their development within the framework of World Heritage protection. We applied resilience theory and constructed a simple checklist, taking cultural ecosystem services into consideration, and selected the Zuojiang Huashan Rock Art Heritage Area in China for field investigation, as well as conducted in-depth interviews, the distribution of short questionnaires, and two rounds of Delphi surveys. This comprehensive approach enabled us to discover the key cultural ecosystem services that villagers rely on for their livelihoods. Then, we tracked how these services enhanced buffering capacity, helped people self-organize, and promoted adaptive learning. The results show that cultural ecosystem services constitute the core framework of the social–ecological resilience of the villages. The quantity and combination of the services directly determine the resilience score, and the resilience of villages within the heritage area shows significant spatial differentiation. High-resilience villages have diverse and mutually reinforcing cultural ecosystem services and local community rules, while low-resilience villages face service loss, weakened social connections, and single development options. Through this study, we aim to further enrich the cultural connotation of resilience theory, provide a practical assessment tool for practitioners of the method, and offer practical guidance and suggestions for transforming heritage protection from static protection to a dynamic, vibrant system that promotes vitality and resilience in practice. Full article
(This article belongs to the Section Tourism, Culture, and Heritage)
34 pages, 3314 KB  
Article
Evaluation of Rail Damage Using Image Analysis Based on an Artificial Neural Network
by Jung-Youl Choi and Jae-Min Han
Appl. Sci. 2026, 16(6), 2767; https://doi.org/10.3390/app16062767 - 13 Mar 2026
Abstract
Rolling contact fatigue cracks at the contact surface between a wheel and rail are evaluated based on the results of an external inspection (visual inspection). We developed a rail damage assessment technique using a fast regional convolutional neural network deep learning-based image analysis [...] Read more.
Rolling contact fatigue cracks at the contact surface between a wheel and rail are evaluated based on the results of an external inspection (visual inspection). We developed a rail damage assessment technique using a fast regional convolutional neural network deep learning-based image analysis framework. We collected rail specimens from in-service tracks and performed scanning electron microscopy to correlate surface damage with subsurface crack formation, including crack depth, length, and angle. This data was input into an artificial neural network (ANN) to assess internal crack conditions using visual information obtained from rail surface damage. The resulting model achieved an average accuracy of 94.9%, outperforming other algorithms. We integrated this model into a developed rail damage diagnosis app with deep learning that links field photographs with cloud-based big data to learn, quantitatively diagnose, and present the type and scale of rail damage. We examined the field applicability of the application at a rail damage site. The standard deviation of the rail damage diagnosis results was 0.2–1.5% between different users. Appropriateness of the rail damage assessment technique using the proposed ANN image analysis technique was verified experimentally. Consistent diagnosis results could be derived regardless of the inspector, minimizing human error. Full article
18 pages, 1721 KB  
Article
Pre-Service Teachers’ Visual Narratives of Teaching Practice Experiences: Insights from a Rural University
by Maxwell Tsoka
Trends High. Educ. 2026, 5(1), 29; https://doi.org/10.3390/higheredu5010029 - 13 Mar 2026
Abstract
Current efforts to improve the quality of initial teacher education and effective preparation for the teaching profession require an in-depth understanding of teachers’ lived experiences during their teaching practice. This qualitative study examined the reflective narratives and collages of pre-service teachers’ (PST) teaching [...] Read more.
Current efforts to improve the quality of initial teacher education and effective preparation for the teaching profession require an in-depth understanding of teachers’ lived experiences during their teaching practice. This qualitative study examined the reflective narratives and collages of pre-service teachers’ (PST) teaching practice experiences. The use of collaging provided PSTs with a mosaic experience, a creative process through which they selected, arranged, and connected visual elements to represent the complexity, emotions, and meanings embedded in their teaching practice journeys. Framed within the paradigm of practitioner inquiry, the study aimed to intentionally stimulate reflection, a sine qua non for professional learning. Ten out of 163 PSTs volunteered to participate in this study. The reflections were analysed thematically, while the collages were analysed using the created-image data analysis (CIDA) analytic tool. The findings reveal five key dimensions of teaching practice central to pre-service teachers’ lived experiences of teaching. These include awareness of the emotional nature of teaching, the significance of support, developing meaningful relationships, navigating complex classroom realities, forming a professional identity, and the influence of contextual challenges. However, these dimensions do not fully capture the multifaceted nature of learning to teach, offering only partial insights into the deep, context-specific aspects of teaching. Nonetheless, these insights are, however, crucial to the ongoing refinement of initial teacher education programmes in our department. There is a need for teacher educators to design learning activities that intentionally foster reflective, context-conscious skills, recognising that teaching is inherently situated within specific social and educational contexts. Full article
Show Figures

Figure 1

20 pages, 4366 KB  
Article
Intelligent Detection of Asphalt Pavement Cracks Based on Improved YOLOv8s
by Jinfei Su, Jicong Xu, Chuqiao Shi, Yuhan Wang, Shihao Dong and Xue Zhang
Coatings 2026, 16(3), 359; https://doi.org/10.3390/coatings16030359 - 12 Mar 2026
Abstract
The intelligent detection of asphalt pavement cracks has become increasingly important for ensuring service performance of road infrastructure. Traditional manual detection has significant safety hazards and insufficient accuracy. Furthermore, existing deep learning models still face challenges, including missed detection, false alarms, and poor [...] Read more.
The intelligent detection of asphalt pavement cracks has become increasingly important for ensuring service performance of road infrastructure. Traditional manual detection has significant safety hazards and insufficient accuracy. Furthermore, existing deep learning models still face challenges, including missed detection, false alarms, and poor performance in small target detection under complex conditions. This investigation adopts unmanned aerial vehicles (UAVs) to acquire pavement distress information and develops an intelligent detection approach for asphalt pavement crack based on improved YOLOv8s. First, the Spatial Pyramid Pooling Fast (SPPF) module is replaced with the Spatial Pyramid Pooling Fast with Cross Stage Partial Connections (SPPFCSPC) module in the backbone network to enhance the multi-scale feature fusion capability. Secondly, the Convolutional Block Attention Module (CBAM) module is introduced to the neck network to optimize the feature weights in both channel and spatial attention. Meanwhile, the Efficient Intersection over Union (EIoU) loss is adopted to improve accuracy. Finally, the Crack_Dataset is established, and the ablation experiments are conducted to verify the reliability of the detection model. The research indicates that the improved model achieves Precision, Recall, and mAP@0.5 of 83.9%, 79.6%, and 83.9%, respectively, representing increases of 1.5%, 1.3%, and 1.4%, compared with the baseline model. In comparison with mainstream object detection algorithms such as YOLOv5s and YOLOv8s, the proposed method attains an F1-score, mAP@0.5, and mAP@[0.5–0.95] of 0.82, 83.9%, and 46.6%, respectively, demonstrating a performance improvement. Based on the improved detection model, a pavement crack detection system was designed and implemented using PyQt5. This system supports image, video, and real-time camera input and detection. Full article
(This article belongs to the Special Issue Pavement Surface Status Evaluation and Smart Perception)
Show Figures

Figure 1

25 pages, 3362 KB  
Article
Adaptive Clustering and Machine-Learning-Based DoS Intrusion Detection in MANETs
by Hwanseok Yang
Appl. Sci. 2026, 16(6), 2723; https://doi.org/10.3390/app16062723 - 12 Mar 2026
Abstract
Mobile ad hoc networks (MANETs) are highly vulnerable to denial-of-service (DoS) attacks because their decentralized operation, rapidly changing topology, and constrained node resources limit the use of heavyweight security mechanisms. This paper presents an Adaptive Clustering and Random-Forest-based Intrusion Detection System (ACRF-IDS), a [...] Read more.
Mobile ad hoc networks (MANETs) are highly vulnerable to denial-of-service (DoS) attacks because their decentralized operation, rapidly changing topology, and constrained node resources limit the use of heavyweight security mechanisms. This paper presents an Adaptive Clustering and Random-Forest-based Intrusion Detection System (ACRF-IDS), a lightweight intrusion detection framework that combines mobility-aware adaptive clustering with supervised learning to detect network-layer DoS behaviors. Cluster heads are elected using a multi-metric utility (residual energy, link stability, and mobility) to stabilize observations under node movement. Within fixed monitoring windows, cluster heads aggregate routing-, forwarding-, and energy-related features and classify nodes using a Random Forest model; a temporal voting scheme further suppresses transient mobility-induced alarms. Using ns-2.35 simulations with Ad hoc On-Demand Distance Vector (AODV) and both flooding and blackhole DoS scenarios, ACRF-IDS is compared with (i) a static clustering-based threshold IDS, (ii) a non-clustered Support Vector Machine (SVM)-based IDS, and (iii) AIFAODV, which specializes in flooding. Across the evaluated network sizes (4–50 nodes), the proposed method achieves a higher detection rate and F1-score while maintaining a lower false positive rate than the baseline techniques. We additionally quantify network-level impact using PDR, throughput, and routing overhead, showing that ACRF-IDS improves availability under DoS while adding bounded overhead. Future work will extend the evaluation to more diverse attack behaviors and validate the approach in real-world MANET testbeds. Full article
(This article belongs to the Section Computing and Artificial Intelligence)
Show Figures

Figure 1

22 pages, 1239 KB  
Article
Fostering In-Service Teachers’ Motivation, Professional Competence, and Implementation of Physically Active Learning via Example-Based, Experience-Based, or Problem-Solving Professional Development Formats
by Tjari Klimpki and Tim Heemsoth
Eur. J. Investig. Health Psychol. Educ. 2026, 16(3), 42; https://doi.org/10.3390/ejihpe16030042 - 12 Mar 2026
Viewed by 33
Abstract
Physically Active Learning (PAL) integrates physical activity into classroom teaching and has been shown to benefit students’ cognitive, social, and academic outcomes. Despite these advantages, PAL is not yet sustainably implemented in everyday school practice, highlighting the need for effective professional development (PD) [...] Read more.
Physically Active Learning (PAL) integrates physical activity into classroom teaching and has been shown to benefit students’ cognitive, social, and academic outcomes. Despite these advantages, PAL is not yet sustainably implemented in everyday school practice, highlighting the need for effective professional development (PD) formats for teachers. This randomized controlled experimental study examined how different PD formats, varying in their mode of engagement with ready-to-use PAL materials, affect teachers’ motivation, professional competence, and implementation of PAL. A total of 153 in-service primary teachers participated in a 2.5 h PD training and were randomly assigned to one of three formats: example-based learning, experience-based learning, or problem-solving. Data were collected at pre-test, post-test, and a six-week follow-up using standardized questionnaires. Results showed that teachers in the experience-based format reported significantly higher motivation during the PD training than those in the other formats. Across all formats, attitude and self-efficacy regarding PAL increased over time, whereas no significant gains in knowledge were observed. No significant differences between PD formats regarding overall implementation of PAL were observed. Exploratory analyses indicated a potential advantage of the experience-based format. Overall, the findings suggest that immersive, experience-based PD formats may be particularly effective in fostering teachers’ motivation. Full article
Show Figures

Figure 1

17 pages, 1817 KB  
Review
Research Advances in Decision-Making Technologies for Precision Pesticide Application in Crops
by Xiaofu Feng, Tongye Shi, Huimin Wu, Mengran Yang, Mengyao Luo, Jiali Li and Changling Wang
Agronomy 2026, 16(6), 605; https://doi.org/10.3390/agronomy16060605 - 12 Mar 2026
Viewed by 56
Abstract
Global agricultural production is severely threatened by the intensification of crop diseases and pests. Traditional pesticide application methods, characterized by inefficiency and frequent phytotoxicity, necessitate the urgent development of smart plant protection technologies that feature precision, dosage reduction, and high efficiency. This study [...] Read more.
Global agricultural production is severely threatened by the intensification of crop diseases and pests. Traditional pesticide application methods, characterized by inefficiency and frequent phytotoxicity, necessitate the urgent development of smart plant protection technologies that feature precision, dosage reduction, and high efficiency. This study focuses on the core component of intelligent decision-making, systematically delineating the technological trajectory of the field through a three-tier analytical framework: “model evolution–system integration–application form.” Analysis reveals that decision-making models have transitioned from rule-driven and data-driven approaches to fusion-driven paradigms. This evolution marks a shift from the codification of empirical experience to data learning, culminating in the synergistic integration of multi-source information and domain knowledge. At the system application level, the core technical architecture—comprising multi-dimensional information sensing, real-time edge computing, and precise control execution—has facilitated the translation of intelligent pesticide application from laboratory settings to field deployment. Future decision-making systems are projected to evolve towards causal understanding, cluster collaboration, and ubiquitous service, providing critical technical support for the green transformation and sustainable development of agriculture. Full article
Show Figures

Figure 1

26 pages, 755 KB  
Article
A Stage-Wise Framework Using Class-Incremental Learning for Unknown DoS Attack Detection
by Juncheng Ge, Yaokai Feng and Kouichi Sakurai
Future Internet 2026, 18(3), 145; https://doi.org/10.3390/fi18030145 - 12 Mar 2026
Viewed by 99
Abstract
Denial-of-Service (DoS) attacks remain one of the most dangerous threats in modern Internet environments. They aim to overwhelm networks, servers, or online services with massive volumes of traffic, and maintaining service availability is a core pillar of cybersecurity. More importantly, DoS attack techniques [...] Read more.
Denial-of-Service (DoS) attacks remain one of the most dangerous threats in modern Internet environments. They aim to overwhelm networks, servers, or online services with massive volumes of traffic, and maintaining service availability is a core pillar of cybersecurity. More importantly, DoS attack techniques continue to evolve. However, traditional intrusion detection systems (IDS) trained on fixed attack categories struggle to identify previously unknown DoS attack types and cannot dynamically incorporate newly emerging classes. To address this challenge, this study proposes a stage-wise network intrusion detection framework that integrates unknown attack detection, attack discovery, and class-incremental learning into a unified pipeline. The framework consists of three stages. First, an autoencoder-based anomaly detection approach is used to separate potential unknown DoS attack samples from known classes. Second, a clustering-and-merging strategy is applied to the detected unknown DoS samples to discover emerging attack clusters with similar structural characteristics. Third, the classifier architecture is expanded for each newly discovered cluster through a class-incremental learning mechanism, enabling the continual incorporation of new attack classes while maintaining stable detection performance on previously learned classes. Experimental results on the DoS category of the NSL-KDD dataset demonstrate that the proposed stage-wise framework can effectively isolate samples of unknown DoS attacks, accurately aggregate emerging attack clusters, and incrementally integrate newly discovered attack classes without significantly degrading recognition performance on previously learned classes. These results confirm the capability of the proposed framework to handle progressively emerging unknown DoS attacks. Full article
Show Figures

Figure 1

39 pages, 2921 KB  
Article
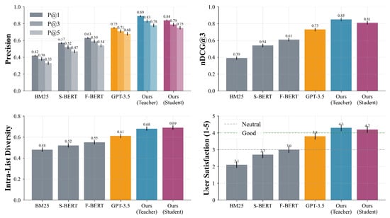
Reasoning-Enhanced Query–Service Matching: A Large Language Model Approach with Adaptive Scoring and Diversity Optimization
by Yue Xiang, Jing Lu, Jinqian Wei and Yaowen Hu
Mathematics 2026, 14(6), 950; https://doi.org/10.3390/math14060950 - 11 Mar 2026
Viewed by 66
Abstract
Query–service matching in customer service systems faces a critical challenge of accurately aligning user queries expressed in colloquial language with formally defined services while balancing business objectives. Traditional keyword-based and embedding approaches fail to capture complex semantic nuances and cannot provide interpretable explanations. [...] Read more.
Query–service matching in customer service systems faces a critical challenge of accurately aligning user queries expressed in colloquial language with formally defined services while balancing business objectives. Traditional keyword-based and embedding approaches fail to capture complex semantic nuances and cannot provide interpretable explanations. We address this problem by proposing a novel reasoning-enhanced framework that leverages large language models (LLMs) for structured multi-criteria evaluation. Our key innovation is a reasoning-first scoring architecture where the model generates detailed explanations before numerical scores, reducing score variance by 18% through conditional mutual information. We introduce a controlled stochastic perturbation mechanism with theoretically derived optimal parameters that balance diversity and relevance, alongside a knowledge distillation pipeline enabling 960× model compression (480B→0.5B parameters) while retaining 94% performance. Rigorous theoretical analysis establishes Pareto optimality guarantees for multi-criteria evaluation, information-theoretic entropy reduction bounds, and PAC learning guarantees for distillation. Experimental validation on real-world telecommunications data demonstrates 89% Precision@1 (15.3% improvement over baselines), 23% diversity enhancement, and 96× latency reduction, with deployment cost decreasing 1200× compared to direct LLM inference. This work bridges the gap between LLM capabilities and production deployment requirements through principled mathematical foundations and practical system design. Full article
(This article belongs to the Special Issue Industrial Improvement with AI in Applied Mathematics)
Show Figures

Figure 1

24 pages, 2132 KB  
Article
A Multi-Stage Recommendation System for Electric Vehicle Charging Networks
by Junjie Cheng and Xiaojin Lin
World Electr. Veh. J. 2026, 17(3), 142; https://doi.org/10.3390/wevj17030142 - 11 Mar 2026
Viewed by 139
Abstract
As the number of electric vehicles (EV) increases, the demand for recommending the best charging location when using a large-scale charge network to charge is also increasing. A successful recommendation will utilize the user’s preference and the operational constraints of the charging network [...] Read more.
As the number of electric vehicles (EV) increases, the demand for recommending the best charging location when using a large-scale charge network to charge is also increasing. A successful recommendation will utilize the user’s preference and the operational constraints of the charging network to make sure that it also takes into account the real-time operational requirements of the network. Most current papers focus on optimizing individual algorithmic components in isolation; consequently, many of these papers neglect to provide a holistic view of an integrated system. In addition, there are many operational requirements that current research does not consider, such as cold-start personalization for new users and enforcing real-time operational constraints like station availability, power capacity, maintenance windows, etc. This paper describes a deployable multi-stage recommendation system that creates a candidate list based on location and ranks preferences based on user, station and context features. The recommendation system also adds a configurable rule-based re-ranking layer to ensure that both hard constraints (i.e., charger availability and power-cap limits) and soft objectives (i.e., load balancing and operator priority) are enforced. A method for enabling mixed use between stable Bayesian and adaptive Bayesian methods was developed to provide users starting with cold-start performance that do not have adequate histories. Evaluation of this method using 100k+ real charging sessions showed that the fraction of sessions where the ground-truth station appears in the top-two recommendations (Hit@2) for the recommendation system was 0.82, representing a 37% increase in performance compared to proximity-based recommendation methods. The online deployed recommendation system has a 99th-percentile serving latency (P99) of less than 200 ms. The findings of this paper provide a framework for the implementation of operationally-relevant user-centric recommendation systems for EV services at scale. Full article
(This article belongs to the Section Charging Infrastructure and Grid Integration)
Show Figures

Figure 1

28 pages, 3380 KB  
Article
Mapping and Monitoring Heterogeneous Plant Communities in Restored and Established Salt Marshes Using UAVs and Machine Learning
by Joseph Agate, Raymond D. Ward, Niall G. Burnside, Christopher Joyce, Miguel Villoslada, Thaisa F. Bergamo, Sarah Purnell and Corina Ciocan
Remote Sens. 2026, 18(6), 866; https://doi.org/10.3390/rs18060866 - 11 Mar 2026
Viewed by 130
Abstract
Species composition is an important indicator for the condition, functioning, and ecosystem service provision of salt marshes, making the mapping of species composition valuable for their management. Previous studies have demonstrated that the combined use of unoccupied aerial vehicle (UAV)-mounted multispectral cameras and [...] Read more.
Species composition is an important indicator for the condition, functioning, and ecosystem service provision of salt marshes, making the mapping of species composition valuable for their management. Previous studies have demonstrated that the combined use of unoccupied aerial vehicle (UAV)-mounted multispectral cameras and machine learning (ML) can provide effective mapping of vegetation communities in these habitats. However, to date, these studies have predominantly focused on relatively species-poor salt marshes in North America. There has been no published testing of these combined UAV-ML methods in the salt marshes of northwestern Europe, which contain different often more diverse assemblages. Consequently, this study investigated whether applying recent methodological advances can accurately map National Vegetation Classification communities in three locations in the United Kingdom, each comprising two salt marsh sites, one established and one restored. Sites consisted of a mix of established and restored salt marshes of different ages, enabling a complementary assessment of how these methods perform in communities at different stages of development. The applied random forest ML models were found to produce highly accurate maps of salt marsh vegetation communities, with a mean overall accuracy of 94.7%. No relationship was found between the age of restoration sites and the accuracy of the classifications, showing these methods may be applied at a range of stages of community development and offer wider applicability for saltmarsh management and monitoring. The findings of this study demonstrate that advances in the combined use of drones and machine learning provide a readily transferrable method for mapping standardised vegetation communities in both established and restored northwestern European salt marshes and therefore likely other salt marshes globally. Consequently, this study demonstrates that both researchers and practitioners may confidently use these methods to create improved assessments of both marsh condition and function. Full article
Show Figures

Figure 1

25 pages, 2650 KB  
Article
Urban Structural Imbalance Under Rapid Expansion: Evidence from Service Accessibility and Housing Prices
by Wenxuan Zhang and Jianguo Wang
Land 2026, 15(3), 446; https://doi.org/10.3390/land15030446 - 11 Mar 2026
Viewed by 101
Abstract
This research examines the structural evolution and functional performance of urban spatial expansion in Changchun, Northeast China. Utilizing an integrated framework of the Adjusted Sprawl Index, Gaussian two-step floating catchment area (Gaussian 2SFCA) accessibility modeling, and XGBoost-SHAP machine learning, the study identifies a [...] Read more.
This research examines the structural evolution and functional performance of urban spatial expansion in Changchun, Northeast China. Utilizing an integrated framework of the Adjusted Sprawl Index, Gaussian two-step floating catchment area (Gaussian 2SFCA) accessibility modeling, and XGBoost-SHAP machine learning, the study identifies a decoupled growth pattern where land development and infrastructure construction proceed without a corresponding increase in population density, reflecting a structural-demographic divergence. Empirical results demonstrate that land expansion reached a significant peak between 2015 and 2020, followed by a transition toward morphological equalization and stabilization after 2020. This process manifests as asynchronous urbanism, where the strategic deployment of physical infrastructure frameworks systematically precedes the functional integration of essential social services. The analysis reveals the emergence of localized service-value misalignment clusters in peripheral zones. The phenomenon represents a deviation from the traditional monocentric paradigm toward McCann’s framework of modern urban economics, as high residential valuations are sustained by social capital and institutional expectations despite physical service gaps. Within these clusters, the club realm and private enclosure function as critical forward-looking mechanisms, where the presence of influential groups signals future social and infrastructural investment. A negative interaction effect between property management levels and regional accessibility confirms that these private governance structures effectively substitute for maturing public resources. These findings suggest that future development should prioritize the functional integration of social systems over mere material expansion. Full article
Show Figures

Figure 1

Back to TopTop