Sign in to use this feature.

Years

Between: -

Subjects

remove_circle_outline
remove_circle_outline
remove_circle_outline
remove_circle_outline
remove_circle_outline
remove_circle_outline
remove_circle_outline
remove_circle_outline
remove_circle_outline

Journals

Article Types

Countries / Regions

remove_circle_outline
remove_circle_outline
remove_circle_outline
remove_circle_outline

Search Results (208)

Search Parameters:
Keywords = semi-volatile compound

Order results
Result details
Results per page
Select all
Export citation of selected articles as:
12 pages, 994 KB  
Article
Integrated Absorption Spectroscopic Measurement of 2-Nitrophenol and Naphthalene
by Zhongmei Yang, Meng Wang, Dean S. Venables and Jun Chen
Int. J. Mol. Sci. 2025, 26(20), 9904; https://doi.org/10.3390/ijms26209904 (registering DOI) - 11 Oct 2025
Abstract
This study presents a generalized, high-precision measurement system based on Integrated Absorption Spectroscopy (IAS) for determining gas-phase absorption cross sections of low-volatility organic compounds (LVOCs), particularly semi-volatile organic compounds (SVOCs) in the atmosphere. Accurate cross sections and their temperature dependence are essential for [...] Read more.
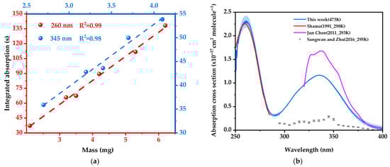
This study presents a generalized, high-precision measurement system based on Integrated Absorption Spectroscopy (IAS) for determining gas-phase absorption cross sections of low-volatility organic compounds (LVOCs), particularly semi-volatile organic compounds (SVOCs) in the atmosphere. Accurate cross sections and their temperature dependence are essential for modeling atmospheric and high-temperature processes. We coupled a temperature-controlled inlet and cell (473 K) with a nitrogen carrier gas to measure the cross sections of 2-nitrophenol (2-NP) and naphthalene from 250 to 400 nm. At 473 K, peak cross sections for 2-NP were 2.31 × 10−17 cm2/molecule at 260 nm and 1.16 × 10−17 cm2/molecule at 335 nm. For naphthalene, values between 258 and 280 nm decreased from 1.62 × 10−17 to 1.28 × 10−17 cm2/molecule. Thermally induced spectral broadening and reduced peak cross sections align with thermodynamic theory. These high-temperature data resolve discrepancies among low-temperature datasets. For example, our maximum cross section for 2-NP (300–400 nm) is 29% lower than that reported by Chen et al. (293 K), whereas the value from Sangwan and Zhu (295 K) is 86.8% lower than Chen’s, supporting the higher reliability of Chen’s data. The IAS method thus offers a robust approach for quantifying absorption cross sections under atmospherically relevant conditions. Full article
(This article belongs to the Special Issue Thermodynamic and Spectral Studies of Complexes)
Show Figures

Figure 1

16 pages, 5313 KB  
Article
Upscaling of Toluene Oxidation Using Water-Sprinkled Pulsed Corona Discharge and Photocatalysis
by Daniel A. Teittinen, Sergei Preis and Juri Bolobajev
Processes 2025, 13(9), 2982; https://doi.org/10.3390/pr13092982 - 18 Sep 2025
Viewed by 340
Abstract
Advanced oxidation processes (AOPs) utilising a hydroxyl radical (•OH), a strong oxidant, are seen as a promising solution for removing hazardous and recalcitrant pollutants from waste streams. Among AOPs, non-thermal plasmas, especially pulsed corona discharge (PCD), enable the abatement of hazardous volatile organic [...] Read more.
Advanced oxidation processes (AOPs) utilising a hydroxyl radical (•OH), a strong oxidant, are seen as a promising solution for removing hazardous and recalcitrant pollutants from waste streams. Among AOPs, non-thermal plasmas, especially pulsed corona discharge (PCD), enable the abatement of hazardous volatile organic compounds (VOCs) with high energy efficiency. This study demonstrates the viability of upscaling PCD technology with water sprinkling in degrading the VOC toluene using a semi-pilot scale plasma reactor. A toluene–air mixture was treated with varying gas-phase toluene concentrations (30–100 ppm) and pulse repetition frequencies (25–800 pps), achieving toluene removal of 5–55% in PCD and an additional 10–18% in PCO, as well as excellent toluene removal energy efficiencies from 9.0 to 37.1 g kW−1 h−1. The process design with water sprinkling provides additional advantages compared to dry reactors—the water surface serves as a source of hydroxyl radicals and scrubs the air from degradation by-products resulting from the incomplete oxidation of target pollutants. Transformation products of toluene were identified, and an oxidation pathway via hydroxylation of the aromatic ring was suggested as the major route towards ring-opening reactions. A photocatalytic oxidation reactor with TiO2 catalyst plates, following PCD as a post-treatment, enabled additional removal of residual contaminants, also converting residual ozone to oxygen. The PCD reactor with water sprinkling and post-plasma photocatalysis shows promising results for upscaling the process. Full article
(This article belongs to the Special Issue Mechanisms, Devices and Applications of Photocatalytic Processes)
Show Figures

Graphical abstract

20 pages, 3437 KB  
Article
Semi-Quantitative Characterization of Volatile Organic Compounds in Indoor and Outdoor Air Using Passive Samplers: A Case Study of Milan, Italy
by Vllaznim Mula, Jane Bogdanov, Jasmina Petreska Stanoeva, Lulzim Zeneli, Valbonë Mehmeti, Fabrizio Gelmini, Armond Daci, Avni Berisha, Zoran Zdravkovski and Giangiacomo Beretta
Atmosphere 2025, 16(9), 1088; https://doi.org/10.3390/atmos16091088 - 16 Sep 2025
Cited by 1 | Viewed by 1130
Abstract
This study presents a semi-quantitative characterization of volatile organic compound (VOC) concentrations and their emission sources in indoor and outdoor environments across four residential and laboratory sites in Milan, Italy, during the summer of 2024. Radiello® passive samplers (Fondazione Salvatore Maugeri in [...] Read more.
This study presents a semi-quantitative characterization of volatile organic compound (VOC) concentrations and their emission sources in indoor and outdoor environments across four residential and laboratory sites in Milan, Italy, during the summer of 2024. Radiello® passive samplers (Fondazione Salvatore Maugeri in Padova, Italy) were employed for VOC collection, followed by gas chromatography–mass spectrometry analysis. The semi-quantitative mean total VOC (TVOC) concentration was 220.8 ± 195.4 µg/m3 for the outdoor air and slightly higher at 243.6 ± 134.3 µg/m3 for the indoor air, resulting in an indoor-to-outdoor relative ratio of 1.10. The outdoor VOC profile was dominated by hydrocarbons, accounting for 80.3% ± 4.6% (173.2 ± 143.8 µg/m3) of TVOCs, followed by aromatic hydrocarbons at 13.3% ± 5.5% (37.2 ± 49.7 µg/m3). Indoors, hydrocarbons also predominated, representing 34.1% ± 15.2% (95.2 ± 80.1 µg/m3) of the TVOCs, followed by terpenes at 20.7% ± 15.5% (49.0 ± 46.4 µg/m3). Other VOC groups contributed smaller fractions in both environments. The emission profiles from cleaning and personal care products were assessed semi-quantitatively to determine their relative percentage contributions to the indoor VOCs. Source attribution was further supported by diagnostic relative ratios—benzene/toluene, toluene/benzene, and (m + p)-xylene/ethylbenzene—which provided insight into dominant emission sources and photochemical aging. Full article
(This article belongs to the Section Air Quality)
Show Figures

Graphical abstract

19 pages, 4832 KB  
Article
A Focus on the Emission of Volatile Organic Compounds (VOCs) from Raw Materials Potentially Used in Human Odor Sampling
by Elsa Boudard, Nabil Moumane, José Dugay, Jérôme Vial, Michel Sablier and Didier Thiébaut
Separations 2025, 12(9), 250; https://doi.org/10.3390/separations12090250 - 11 Sep 2025
Viewed by 514
Abstract
The present study provided an exhaustive examination of VOC emissions originating from 13 different raw materials susceptible to being used in the sampling of the human volatilome and encompassing both polymeric and non-polymeric compositions. To achieve this aim, thermodesorption coupled with comprehensive two-dimensional [...] Read more.
The present study provided an exhaustive examination of VOC emissions originating from 13 different raw materials susceptible to being used in the sampling of the human volatilome and encompassing both polymeric and non-polymeric compositions. To achieve this aim, thermodesorption coupled with comprehensive two-dimensional gas chromatography/time-of-flight mass spectrometry (TD-GC×GC/ToFMS) was employed. For each material, we report the total number of detected peaks, total volatile organic compound (TVOC) concentration, distribution of VOC emissions across different chemical families, minimum and maximum individual concentrations, as well as hypotheses regarding the origins of some specific VOCs depending on the material considered. The findings from this investigation revealed that materials, such as silicone and polyurethane, could emit an extensive array of VOCs, with up to 2000 chromatographic peaks detected, and emissions of total volatile organic compounds (TVOCs) reaching levels of 5.4 µg·g−1 and 9.8 µg·g−1, respectively. In the case of polyamide, some VOCs could be related to potential reagents involved in its synthesis. While highlighting materials that should be used with caution depending on the topic and target analytes, this study identified materials that exhibited minimal VOC emissions, such as polytetrafluoroethylene, aluminum, and stainless steel, after an adequate conditioning step. The selected analytical technique, TD-GC×GC/ToFMS, proved its relevance to identify and characterize semi-quantitatively VOC emissions coming from those materials. Such information was essential within the frame of the development of a body odor sampling system, our primary objective. Full article
(This article belongs to the Topic Advances in Chromatographic Separation)
Show Figures

Figure 1

19 pages, 1711 KB  
Article
From Construction Industry Waste to High-Performance Insulation: Sustainable Rigid Polyurethane Foams with Recycled Polyol
by Kinga Wieczorek, Łukasz Bobak and Przemysław Bukowski
Materials 2025, 18(17), 4179; https://doi.org/10.3390/ma18174179 - 5 Sep 2025
Viewed by 1118
Abstract
This study investigates the feasibility of incorporating chemically recycled polyol (glycolysate), derived from semi-rigid polyurethane waste from the building industry, into rigid PUF formulations intended for thermal insulation applications. Glycolysis was performed using a diethylene glycol–glycerol mixture (4:1) at 185 °C in the [...] Read more.
This study investigates the feasibility of incorporating chemically recycled polyol (glycolysate), derived from semi-rigid polyurethane waste from the building industry, into rigid PUF formulations intended for thermal insulation applications. Glycolysis was performed using a diethylene glycol–glycerol mixture (4:1) at 185 °C in the presence of a dibutyltin dilaurate (DBTDL) catalyst. The resulting glycolysate was characterized by a hydroxyl number of 590 mg KOH/g. Foams containing 5–50% recycled polyol were prepared and described in terms of foaming kinetics, cellular structure, thermal conductivity, apparent density, mechanical performance, dimensional stability, flammability, and volatile organic compound (VOC) emissions. The incorporation of glycolysate accelerated the foaming process, with the gel time reduced from 44 s to 16 s in the sample containing 40% recycled polyol, enabling a reduction in catalyst content. The substitution of up to 40% virgin polyol with recycled polyol maintained a high closed-cell content (up to 87.7%), low thermal conductivity (λ10 = 26.3 mW/(m·K)), and dimensional stability below 1%. Additionally, compressive strength improvements of up to 30% were observed compared to the reference foam (294 kPa versus 208 kPa for the reference sample). Flammability testing confirmed compliance with the B2 classification (DIN 4102), while preliminary qualitative VOC screening indicated no formation of additional harmful volatile compounds in glycolysate-containing samples compared to the reference. The results demonstrate that glycolysate can be effectively utilized in high-performance insulation materials, contributing to improved resource efficiency and a reduced carbon footprint. Full article
(This article belongs to the Section Green Materials)
Show Figures

Graphical abstract

33 pages, 4232 KB  
Review
Toward Health-Oriented Indoor Air Quality in Sports Facilities: A Narrative Review of Pollutant Dynamics, Smart Control Strategies, and Energy-Efficient Solutions
by Xueli Cao, Haizhou Fang and Xiaolei Yuan
Buildings 2025, 15(17), 3168; https://doi.org/10.3390/buildings15173168 - 3 Sep 2025
Viewed by 831
Abstract
Indoor sports facilities face distinctive indoor air quality (IAQ) challenges due to high occupant density, elevated metabolic emissions, and diverse pollutant sources associated with physical activity. This review presents a narrative synthesis of multidisciplinary evidence concerning IAQ in sports environments. It explores major [...] Read more.
Indoor sports facilities face distinctive indoor air quality (IAQ) challenges due to high occupant density, elevated metabolic emissions, and diverse pollutant sources associated with physical activity. This review presents a narrative synthesis of multidisciplinary evidence concerning IAQ in sports environments. It explores major pollutant categories, including carbon dioxide (CO2), particulate matter (PM), volatile organic compounds (VOCs), and airborne microbial agents, highlighting their sources, behavior during exercise, and associated health risks. Research shows that physical activity can increase PM concentrations by up to 300%, and CO2 levels frequently exceed 1000 ppm in inadequately ventilated spaces. The presence of semi-volatile organics and bioaerosols further complicates pollutant dynamics, especially in humid and densely occupied areas. Measurement technologies such as optical sensors, chromatographic methods, and molecular techniques are reviewed and compared for their applicability to dynamic indoor settings. Existing IAQ standards across China, the USA, the EU, the UK, and WHO are examined, revealing a lack of activity-specific thresholds and insufficient responsiveness to real-time conditions. Mitigation strategies (e.g., including demand-controlled ventilation, use of low-emission materials, liquid chalk substitutes, and integrated HEPA-UVGI purification systems) are evaluated, many demonstrating pollutant removal efficiencies over 80%. The integration of intelligent building management systems is emphasized for enabling real-time monitoring and adaptive control. This review concludes by identifying research priorities, including the development of activity-sensitive IAQ control frameworks and long-term health impact assessments for athletes and vulnerable users. Full article
(This article belongs to the Section Building Energy, Physics, Environment, and Systems)
Show Figures

Figure 1

17 pages, 647 KB  
Article
Impact of Cation-Exchange Resin Treatment on Acidification and Quality of Monastrell Red Wine
by Alejandro Martínez-Moreno, Ana Leticia Pérez-Mendoza, Paola Sánchez-Bravo, Encarna Gómez-Plaza, Ricardo Jurado-Fuentes and Ana Belén Bautista-Ortín
Fermentation 2025, 11(9), 512; https://doi.org/10.3390/fermentation11090512 - 31 Aug 2025
Viewed by 793
Abstract
Climate change is having a significant impact on vine physiology and grape composition, leading to notable alterations in wine quality, such as reduced acidity, increased ethanol content, and higher pH levels. These effects are particularly problematic in arid and semi-arid regions, such as [...] Read more.
Climate change is having a significant impact on vine physiology and grape composition, leading to notable alterations in wine quality, such as reduced acidity, increased ethanol content, and higher pH levels. These effects are particularly problematic in arid and semi-arid regions, such as Mediterranean areas, where high summer temperatures and low rainfall accelerate the degradation of organic acids in grapes. As a result, wines produced under these conditions often lack the acidity required to preserve their freshness and enological quality. This study evaluated the effect of must acidification using cation-exchange resins on the composition and quality of red wines made from the Monastrell variety, comparing them with wines acidified using tartaric acid to reach the same target pH. The results showed that treating a portion of the must (20% and 30%) with cation-exchange resins significantly reduced wine pH values and increased total acidity compared to the control wine. A similar result was observed in wines acidified with tartaric acid. However, as an additional effect, the treatment with resin more markedly reduced the concentration of pro-oxidant metal cations such as iron, copper, and manganese, contributing to lower values of volatile acidity and a greater stability against oxidation of phenolic compounds. Must acidification with both methods improved wine color quality by increasing color intensity and decreasing hue values. Although no significant differences were found in the total concentration of phenolic compounds, variations were detected in their compositional profile. Furthermore, the acidification also affected the concentration and composition of aromatic compounds in the final wine. Sensory analysis revealed that the treated wines—particularly those made with must acidified using cation-exchange resins—exhibited greater aromatic intensity, more pronounced fruity notes, and reduced astringency, resulting in a fresher mouthfeel. In conclusion, must treatment with cation-exchange resins appears to be a low-cost good alternative compared tartaric acid addition for reducing pH and increasing acidity in Monastrell red wines, thereby enhancing their quality in winegrowing regions with arid or semi-arid climates. Full article
(This article belongs to the Special Issue Biotechnology in Winemaking)
Show Figures

Figure 1

13 pages, 771 KB  
Article
Two-Dimensional GC–ToFMS Analysis of Volatile Organic Compounds in Fermented Camel Milk (Shubat)
by Sagyman Zhadyra, Fei Tao and Ping Xu
Foods 2025, 14(17), 2995; https://doi.org/10.3390/foods14172995 - 27 Aug 2025
Viewed by 673
Abstract
Shubat, a traditional fermented camel milk from Kazakhstan, is renowned for its unique flavor and nutritional properties, though its volatile compound profile remains poorly characterized. In this study, headspace solid-phase microextraction coupled with comprehensive two-dimensional gas chromatography–time-of-flight mass spectrometry (HS-SPME-GC×GC–ToFMS) was employed to [...] Read more.
Shubat, a traditional fermented camel milk from Kazakhstan, is renowned for its unique flavor and nutritional properties, though its volatile compound profile remains poorly characterized. In this study, headspace solid-phase microextraction coupled with comprehensive two-dimensional gas chromatography–time-of-flight mass spectrometry (HS-SPME-GC×GC–ToFMS) was employed to qualitatively identify and semi-quantitatively analyze volatile metabolites in seven Shubat samples collected from four regions of Kazakhstan. Of the 372 volatile organic compounds initially detected, 202 were retained after screening, predominantly comprising esters, acids, alcohols, ketones, and aldehydes. Esters, acids, and alcohol were found to be the most abundant categories. Diversity analyses (α and β) revealed substantial variation across regions, likely influenced by Shubat’s rich and region-specific microbiome. An UpSet analysis demonstrated that 75 volatile compounds were shared among all samples, accounting for over 87% of the total volatile content, indicating a chemically stable core. These findings underscore the chemical complexity of Shubat and provide novel insights into its metabolite composition, thereby establishing a foundation for future sensory, microbial, and quality-related research. Full article
(This article belongs to the Special Issue Food Microorganism Contribution to Fermented Foods)
Show Figures

Figure 1

42 pages, 10386 KB  
Review
Reconstructing the VOC–Ozone Research Framework Through a Systematic Review of Observation and Modeling
by Xiangwei Zhu, Huiqin Wang, Yi Han, Donghui Zhang, Senhao Liu, Zhijie Zhang and Yansheng Liu
Sustainability 2025, 17(16), 7512; https://doi.org/10.3390/su17167512 - 20 Aug 2025
Viewed by 974
Abstract
Tropospheric ozone (O3), a secondary pollutant of mounting global concern, emerges from complex, nonlinear photochemical reactions involving nitrogen oxides (NOx) and volatile organic compounds (VOCs) under dynamically evolving meteorological conditions. Accurately characterizing and effectively regulating O3 formation necessitates [...] Read more.
Tropospheric ozone (O3), a secondary pollutant of mounting global concern, emerges from complex, nonlinear photochemical reactions involving nitrogen oxides (NOx) and volatile organic compounds (VOCs) under dynamically evolving meteorological conditions. Accurately characterizing and effectively regulating O3 formation necessitates not only precise and multi-dimensional precursor observations but also modeling frameworks that are structurally coherent, chemically interpretable, and sensitive to regime variability. Despite significant technological progress, current research remains markedly fragmented: observational platforms often operate in isolation with limited vertical and spatial interoperability, while modeling paradigms—ranging from mechanistic chemical transport models (CTMs) to data-driven machine learning approaches—frequently trade interpretability for predictive performance and struggle to capture regime transitions across heterogeneous environments. This review provides a dual-perspective synthesis of recent advances and enduring challenges in the VOC–O3 research landscape. We first establish a typology of ground-based, airborne, and satellite-based VOC monitoring systems, evaluating their capabilities, limitations, and roles within a vertically structured sensing architecture. We then examine the evolution of O3 modeling strategies, from empirical and semi-mechanistic models to hybrid frameworks that integrate physical knowledge with algorithmic flexibility. By diagnosing the structural decoupling between observation and inference, we identify key methodological bottlenecks and advocate for a system-level redesign of the VOC–O3 research paradigm. Finally, we propose a forward-looking framework for next-generation atmospheric governance—one that fuses cross-platform sensing, regime-aware modeling, and policy-relevant diagnostics into an integrated, adaptive, and chemically robust decision-support system. Full article
Show Figures

Figure 1

21 pages, 546 KB  
Article
Chemical and Sensory Characterization of Carob Spirits According to Different Distillation Systems
by Clara López-Colom, Julio Andazola, Carles Bargalló-Guinjoan, Juan José Rodríguez-Bencomo and Francisco López
Beverages 2025, 11(4), 119; https://doi.org/10.3390/beverages11040119 - 15 Aug 2025
Viewed by 829
Abstract
Carob is the legume of the carob tree (Ceratonia siliqua L.), which is cultivated in many parts of the Mediterranean area. It is mainly used as animal feed and in the formulations of human foods. Due to the high concentration of sugars [...] Read more.
Carob is the legume of the carob tree (Ceratonia siliqua L.), which is cultivated in many parts of the Mediterranean area. It is mainly used as animal feed and in the formulations of human foods. Due to the high concentration of sugars in carob pods, this fruit could be used as a raw material to produce distillates. In this study, the effect of the distillation system (Charantais alembic versus Charantais alembic with column) on the chemical and sensory characteristics, as well as on the ethanol yield of carob spirits, was analyzed. The ethanol recovery using Charantais alembic was 74.9%, and for Charantais alembic with column, it was 85.8%. Regarding the chemical composition, esters, furanic compounds, and alcohols were the most abundant compounds in the distillates. Principal component analysis was used to identify the different distillate fractions, first distillations, and residues. Nevertheless, the corresponding distillate fractions for both distillation systems were plotted near to each other due to the similar concentration of the volatile compounds. The spirits obtained from both distillation systems were not differentiated by organoleptic triangular and two-alternative forced-choice (2-AFC) tests according to the results of the semi-trained and professional panels. Both spirits were sensorial characterized as floral, fruity, and alcoholic. Full article
Show Figures

Graphical abstract

22 pages, 3522 KB  
Article
Seasonal Variation in Volatile Profiles of Lemon Catnip (Nepeta cataria var. citriodora) Essential Oil and Hydrolate
by Milica Aćimović, Biljana Lončar, Milica Rat, Mirjana Cvetković, Jovana Stanković Jeremić, Milada Pezo and Lato Pezo
Horticulturae 2025, 11(7), 862; https://doi.org/10.3390/horticulturae11070862 - 21 Jul 2025
Viewed by 860
Abstract
Lemon catnip (Nepeta cataria var. citriodora) is an underutilized aromatic and medicinal plant known for its high essential oil yield and distinctive lemon-like scent, and is widely used in the pharmaceutical, cosmetic, food, and biopesticide industries. Unlike typical catnip, it lacks [...] Read more.
Lemon catnip (Nepeta cataria var. citriodora) is an underutilized aromatic and medicinal plant known for its high essential oil yield and distinctive lemon-like scent, and is widely used in the pharmaceutical, cosmetic, food, and biopesticide industries. Unlike typical catnip, it lacks nepetalactones and is rich in terpene alcohols, such as nerol and geraniol, making it a promising substitute for lemon balm. Despite its diverse applications, little attention has been paid to the valorization of byproducts from essential oil distillation, such as hydrolates and their secondary recovery oils. This study aimed to thoroughly analyze the volatile compound profiles of the essential oil from Lemon catnip and the recovery oil derived from its hydrolate over three consecutive growing seasons, with particular emphasis on how temperature and precipitation influence the major volatile constituents. The essential oil was obtained via semi-industrial steam distillation, producing hydrolate as a byproduct, which was then further processed using a Likens–Nickerson apparatus to extract the recovery oil, also known as secondary oil. Both essential and recovery oils were predominantly composed of terpene alcohols, with nerol (47.5–52.3% in essential oils; 43.5–54.3% in recovery oils) and geraniol (25.2–27.9% in essential oils; 29.4–32.6% in recovery oils) as the primary components. While sesquiterpene hydrocarbons were mostly confined to the essential oil, the recovery oil was distinguished by a higher presence of monooxygenated and more hydrophilic terpenes. Over the three-year period, elevated temperatures led to increased levels of geraniol, geranial, neral, and citronellal in both oils, whereas cooler conditions favored the accumulation of nerol and linalool, especially in the recovery oils. Higher precipitation was associated with elevated concentrations of nerol and linalool but decreased levels of geraniol, geranial, and neral, possibly due to dilution or degradation processes. Full article
(This article belongs to the Section Medicinals, Herbs, and Specialty Crops)
Show Figures

Figure 1

29 pages, 897 KB  
Article
Identification of Potential Migrants in Food Contact Materials Labeled as Bio-Based and/or Biodegradable by GC-MS
by Emma López Sanvicente, Letricia Barbosa-Pereira, Raquel Sendón, Ana Rodríguez Bernaldo de Quirós and Antía Lestido-Cardama
Coatings 2025, 15(7), 751; https://doi.org/10.3390/coatings15070751 - 25 Jun 2025
Viewed by 1803
Abstract
Bio-based and/or biodegradable food contact materials are being developed as alternatives to conventional petroleum-based materials. Like other food contact materials, these are subject to regulatory requirements. The characterization of these biomaterials enables the identification of chemical substances that could potentially migrate from these [...] Read more.
Bio-based and/or biodegradable food contact materials are being developed as alternatives to conventional petroleum-based materials. Like other food contact materials, these are subject to regulatory requirements. The characterization of these biomaterials enables the identification of chemical substances that could potentially migrate from these materials into food and may pose a risk to consumer health. In this work, commercial samples of food contact materials labeled as bio-based and/or biodegradable were analyzed. To tentatively identify compounds, two analytical methods were optimized: purge and trap (P&T) for volatile compounds and methanolic extract injection for the determination of semi-volatile compounds, both using gas chromatography coupled with mass spectrometry (GC-MS). Compound toxicity was estimated using an in silico methodology, namely Cramer’s rules. More than 200 compounds of different natures were tentatively identified, but only 29 are included in Regulation (EU) 10/2011 on plastic materials intended to come into contact with food, and 38 of them were classified as high-toxicity compounds. Full article
(This article belongs to the Special Issue Bio-Based and Biodegradable Packaging Materials for Food Contact)
Show Figures

Graphical abstract

17 pages, 1128 KB  
Article
Occurrence, Migration Behavior, and Environmental Burden of Phthalate Esters in Flooring Materials Used in Newly Renovated Chinese Homes
by Ying Zhang, Li-Bo Chen, Hao-Yang Shen, Zi-Chao Wu, Ning-Zheng Zhu, Chong-Jing Gao and Ying Guo
Toxics 2025, 13(7), 517; https://doi.org/10.3390/toxics13070517 - 20 Jun 2025
Viewed by 575
Abstract
Phthalic acid esters (PAEs), a class of synthetic semi-volatile organic compounds, are extensively incorporated into decorative materials. However, their specific occurrence, migration behaviors, and environmental impact on these materials—which comprise the largest surface areas in residential settings—remain insufficiently understood. This study investigated the [...] Read more.
Phthalic acid esters (PAEs), a class of synthetic semi-volatile organic compounds, are extensively incorporated into decorative materials. However, their specific occurrence, migration behaviors, and environmental impact on these materials—which comprise the largest surface areas in residential settings—remain insufficiently understood. This study investigated the distribution, emission dynamics, and environmental burdens of PAEs in flooring commonly used in Chinese households. The results showed that PAEs are widespread in flooring, with total concentrations ranging from 1220 to 166,000 ng/g (14,100 ng/g, median value). Solid wood flooring (55,900 ng/g) exhibited significantly higher PAE levels compared to engineered flooring (22,600 ng/g) and laminate flooring (4000 ng/g) (p < 0.05). Migration experiments revealed that solid wood flooring tended to continuously release PAEs, laminate flooring showed a pronounced capacity for PAE absorption, and engineered flooring exhibited both release and absorption behaviors. The initial PAE concentration is the dominant factor influencing migration rates, while the flooring type and substrate density also contribute to varying degrees. The estimated environmental burdens of PAEs resulting from flooring in newly renovated Chinese households ranged from 3.63 × 109 ng to 3.45 × 1011 ng, with a median value of 1.23 × 1010 ng. Households in the eastern and southwestern regions exhibited the highest PAE burdens, while the southern region showed the lowest. Socioeconomic factors such as residential floor area, number of rooms, household income, and renovation budget significantly influenced the environmental burden of PAEs derived from flooring. Full article
(This article belongs to the Special Issue Environmental Behavior and Risks of Organic Pollutants)
Show Figures

Graphical abstract

16 pages, 2101 KB  
Article
Simultaneous Determination and Quantification of NineNitrosamine Impurities in Semi-Solid Forms Using a GC–MS/MS Method
by Namjin Lee, Hyejin Go and Young-joon Park
Separations 2025, 12(5), 120; https://doi.org/10.3390/separations12050120 - 11 May 2025
Viewed by 1348
Abstract
Many studies are being conducted on the detection of nitrosamine impurities in solid formulations. However, research on semi-solid formulations such as gels, ointments and creams is not common. In particular, excipients used to increase viscosity and add fragrance can significantly impact the sample [...] Read more.
Many studies are being conducted on the detection of nitrosamine impurities in solid formulations. However, research on semi-solid formulations such as gels, ointments and creams is not common. In particular, excipients used to increase viscosity and add fragrance can significantly impact the sample preparation. Volatile compounds derived from natural fragrances are composed of a wide variety of complex components, making them very difficult to handle and completely separate from the analytes. Due to the complex composition of these formulations, an analytical method was developed to accurately separate and analyze nine nitrosamine impurities (NDMA, NDEA, NMEA, NDPA, NDBA, NPIP, NMOR, DIPNA and EIPNA) simultaneously. To overcome challenges in the sample preparation of excipients with physical and chemical properties, the sample was prepared using solvents such as methanol, hexane, water and dichloromethane. The target analytes were extracted with dichloromethane for the final preparation for GC–MS/MS and the optimal conditions were established. While multiple GC columns were tested, peak overlapping interferences were observed, leading to the use of a 60m-long column to overcome peak overlap. The GC–MS/MS condition was set for optimal performance and ionization energy, with parameters adjusted for each analyte. The developed method was validated in accordance with guidelines to ensure its reliability and suitability. As a result, all nine nitrosamine impurities were simultaneously analyzed, confirming excellent performance. The sample preparation method and procedure, column specification and GC–MS/MS conditions have the potential to be adapted not only for semi-solid formulations of pharmaceuticals and cosmetics but also for other formulations such as solid and liquid samples, rendering them suitable for the analysis of nitrosamine impurities. Full article
Show Figures

Figure 1

15 pages, 3362 KB  
Article
Lead Coupon Reactivity to Organic Acids, Aldehydes, and Esters in an Oddy Test Environment
by Kylie Blake, Hanna Konicki, Michael J. Samide and Gregory D. Smith
Heritage 2025, 8(5), 158; https://doi.org/10.3390/heritage8050158 - 30 Apr 2025
Cited by 1 | Viewed by 1252
Abstract
The Oddy test is an accelerated metal corrosion test used extensively by cultural institutions to determine the suitability of a material for use in museums. Alternatively, the use of gas chromatography-mass spectrometry (GC-MS) to directly identify volatile organic compounds (VOCs) from construction materials [...] Read more.
The Oddy test is an accelerated metal corrosion test used extensively by cultural institutions to determine the suitability of a material for use in museums. Alternatively, the use of gas chromatography-mass spectrometry (GC-MS) to directly identify volatile organic compounds (VOCs) from construction materials is growing in popularity because of its comprehensiveness and speed. Interpreting the reactivity of these potential pollutants, however, relies on ‘chemical intuition’ based on observed functional groups since the reactivity of only a handful of common VOCs has been studied intensively with regard to artworks. While short chain organic acids are known to be deleterious to some metals, polymers, and other culturally relevant materials, the common observation of lower volatility acids as well as their complementary aldehydes and esters in these offgassing experiments do not have clear indicators of their potential for artwork damage. In this work, the lead coupon, known to be a sensitive indicator of damaging organic acids, was exposed to known concentrations of a homologous series of organic acids, aldehydes, and esters from C2 to C18. Analysis of the coupon surface by infrared and Raman spectroscopies, and of the headspace within an Oddy jar by GC-MS, provides insights into the corrosion processes of these potential pollutants. Humidity was identified as a necessary component for corrosion to occur, and very volatile and semi-volatile compounds up to C9 created the corresponding lead carboxylate on the coupon surface in addition to lead carbonate. For higher order acids, and to a far lesser extent the esters and aldehydes, a high concentration of the VOC was necessary to induce small amounts of corrosion. In some instances, the gas phase chemistry of the reactor was particularly complex, suggesting mixtures of pollutants may prove more problematic to artist materials than single offgassed species. Full article
(This article belongs to the Special Issue Conservation and Restoration of Metal Artifacts)
Show Figures

Figure 1

Back to TopTop