Sign in to use this feature.

Years

Between: -

Subjects

remove_circle_outline
remove_circle_outline
remove_circle_outline
remove_circle_outline
remove_circle_outline
remove_circle_outline
remove_circle_outline
remove_circle_outline
remove_circle_outline

Journals

remove_circle_outline
remove_circle_outline
remove_circle_outline
remove_circle_outline
remove_circle_outline
remove_circle_outline
remove_circle_outline

Article Types

Countries / Regions

remove_circle_outline
remove_circle_outline
remove_circle_outline
remove_circle_outline

Search Results (326)

Search Parameters:
Keywords = self-orthogonal

Order results
Result details
Results per page
Select all
Export citation of selected articles as:
18 pages, 4936 KB  
Review
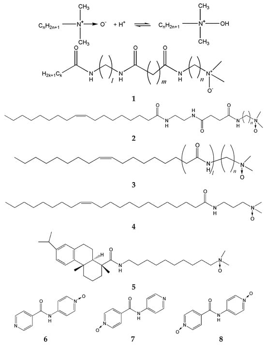
pH as a Design Tool for Low-Molecular-Weight Hydrogelators: Triggers, Structural Control, and Orthogonal Assembly
by Rie Kakehashi
Gels 2026, 12(4), 344; https://doi.org/10.3390/gels12040344 - 20 Apr 2026
Abstract
Low-molecular-weight gelators (LMWGs) have attracted growing attention as versatile alternatives to conventional polymeric thickeners and gelators, owing to their ability to form three-dimensional fibrillar networks through non-covalent self-assembly and to undergo reversible sol–gel transitions in response to external stimuli. Among the various stimuli [...] Read more.
Low-molecular-weight gelators (LMWGs) have attracted growing attention as versatile alternatives to conventional polymeric thickeners and gelators, owing to their ability to form three-dimensional fibrillar networks through non-covalent self-assembly and to undergo reversible sol–gel transitions in response to external stimuli. Among the various stimuli that can be exploited, pH represents a particularly attractive trigger given its direct relevance to biological and physiological environments. This review focuses on three categories of pH-responsive LMWGs that have shown notable progress over the past decade yet remain relatively underexplored in the literature. First, N-oxide-type hydrogelators are discussed, with emphasis on amide amine oxide-based surfactants and pyridine-N-oxide frameworks. The pH-dependent protonation of the N-oxide moiety modulates intermolecular hydrogen bonding, thereby governing self-assembly and gel formation. The structural versatility of these gelators enables rational tuning of aggregate morphology and confers clear pH and temperature responsiveness. Second, recent advances in phenylboronic acid-based LMWGs are highlighted. Although boronic acid derivatives have long been studied as dynamic crosslinking units in polymeric hydrogels, 3-isobutoxyphenylboronic acid was recently identified as the first example of phenylboronic acid functioning as an LMWG, in which gelation is driven primarily by hydrogen bonding and pH responsiveness is exploited for stimuli-triggered gel disruption rather than gel formation. Third, pH-responsive orthogonal self-assembly systems are reviewed. Representative examples include multicomponent hybrid hydrogels combining pH-activated LMWGs with polymer gelators for controlled drug release, pH-triggered self-sorting of two LMWGs without any polymeric component, and bio-based orthogonal hydrogels composed of a glucolipid LMWG and cellulose nanocrystals. For each system, both advantages and remaining limitations are critically assessed. Collectively, this review aims to provide a timely overview of emerging trends in pH-responsive LMWG research and to offer perspectives on the rational design of next-generation stimuli-responsive soft materials. Full article
(This article belongs to the Section Gel Processing and Engineering)
Show Figures

Graphical abstract

29 pages, 20198 KB  
Article
A Generative Task Allocation Method for Heterogeneous UAV Swarms Empowered by Heterogeneous Toolchains
by Lei Ai, Bin Ma, Jianxing Zhang, Yao Ai, Ziqi Hao, Jianan Li, Zhuting Yu and Jiayu Cheng
Drones 2026, 10(4), 289; https://doi.org/10.3390/drones10040289 - 16 Apr 2026
Viewed by 237
Abstract
Task allocation for heterogeneous unmanned aerial vehicle (UAV) swarms requires complex spatiotemporal coordination. While traditional algorithms struggle to interpret abstract semantic intents, general large language models (LLMs) often suffer from physical hallucinations and superficial tactical reasoning. To address these limitations, we propose a [...] Read more.
Task allocation for heterogeneous unmanned aerial vehicle (UAV) swarms requires complex spatiotemporal coordination. While traditional algorithms struggle to interpret abstract semantic intents, general large language models (LLMs) often suffer from physical hallucinations and superficial tactical reasoning. To address these limitations, we propose a generative task allocation paradigm augmented by a heterogeneous toolchain, shifting the approach from rigid numerical optimization toward tool-grounded semantic planning. To implement this and overcome domain data scarcity, we design a decoupled dual-model architecture. This architecture is optimized through an execution-manifold-anchored orthogonal evolution training method. By utilizing simulated self-play within a stable execution environment, this approach prevents gradient conflicts and autonomously generates abundant training data. Furthermore, to resolve the credit assignment problem in long-horizon scenarios, we develop a Recursive Causal Probe (RCP) algorithm. By tracing failures backward through the simulation, RCP synthesizes counterfactual preference data, effectively translating tactical mistakes into precise corrections for the planning model. Extensive simulations demonstrate that our method achieves an 82.34% mission success rate in complex scenarios, requiring significantly fewer interactive corrections than general LLMs, fully verifying its physical feasibility and practical robustness. Full article
Show Figures

Figure 1

23 pages, 5282 KB  
Article
State-Level Organization of Spontaneous Behavior and Its Association with Plasma Fatty-Acid Profiles in Healthy Rats
by Ahmed S. A. Ali Agha, Sara Khaleel, Nidal A. Qinna, Muhammed Alzweiri, Ghayda’ AlDabet, Thaqif El Khassawna and Talal Aburjai
Biology 2026, 15(8), 619; https://doi.org/10.3390/biology15080619 - 16 Apr 2026
Viewed by 189
Abstract
Individual variability in spontaneous behavior emerges from coordinated physiological states, yet the organization of baseline behavioral dimensions and their systemic metabolic correlations remains insufficiently characterized in healthy animals. Here, exploratory activity and self-directed grooming were quantified during a standardized Y-maze session and integrated [...] Read more.
Individual variability in spontaneous behavior emerges from coordinated physiological states, yet the organization of baseline behavioral dimensions and their systemic metabolic correlations remains insufficiently characterized in healthy animals. Here, exploratory activity and self-directed grooming were quantified during a standardized Y-maze session and integrated with plasma fatty-acid profiles measured by orthogonal dual-column GC-MS in 30 healthy male Sprague–Dawley rats distributed across four independent cohorts. Correlation structure and principal component analysis showed that plasma lipid profiles exhibit non-random, low-dimensional organization, resolving into coherent compositional states dominated by coordinated shifts between shorter-chain (C14–C16) and longer-chain (C18) fatty-acid species. Behavioral variables are similarly organized into constrained dimensions capturing exploratory engagement and grooming expression or timing. Integrated correlation analysis indicated that plasma fatty-acid-derived lipid states aligned systematically with behavioral organization at the multivariate level across cohorts, with C18-enriched profiles generally aligned with higher behavioral engagement and earlier grooming expression at the state level, while C14/C16-enriched profiles associated with reduced exploration and delayed grooming initiation, although the direction of individual lipid–behavior correlations showed cohort dependence consistent with the context-dependent behavior of compositional lipid variables within distinct but physiologically normal lipidomic states. These findings demonstrate that state-level, correlation-based multivariate analysis can reveal structured plasma lipidomic configurations and their correspondence to behavioral organization under physiological conditions, without inferring causal directionality or pathway activation. Full article
(This article belongs to the Section Behavioural Biology)
Show Figures

Figure 1

29 pages, 2099 KB  
Review
Downstream Purification Strategies for Virus-like Particles: A Systematic Review of Structure Preservation, Impurity Control, and Viral Safety
by Jingchao Zhang and Chen Chen
Microorganisms 2026, 14(4), 858; https://doi.org/10.3390/microorganisms14040858 - 10 Apr 2026
Viewed by 604
Abstract
Virus-like particles (VLPs), nanoscale self-assembled structures lacking viral genetic material, have emerged as a versatile platform for vaccines, targeted delivery systems, and gene-editing applications owing to their strong immunogenicity, favorable biosafety profile, and high engineerability. However, the complex architecture of VLPs, their significant [...] Read more.
Virus-like particles (VLPs), nanoscale self-assembled structures lacking viral genetic material, have emerged as a versatile platform for vaccines, targeted delivery systems, and gene-editing applications owing to their strong immunogenicity, favorable biosafety profile, and high engineerability. However, the complex architecture of VLPs, their significant size heterogeneity, and the diversity of process- and product-related impurities generated in different expression systems make downstream purification a major bottleneck limiting product quality, yield, and manufacturability. This review systematically discusses advanced downstream purification strategies for VLPs from the perspective of three major objectives: preservation of structure and biological activity, control of product heterogeneity, and assurance of viral safety. First, strategies for maintaining VLP integrity and function are examined, including optimization of solution conditions, adoption of gentle yet efficient separation operations, and integration of process analytical technology (PAT) to reduce process-induced damage. Second, the review summarizes multi-step purification approaches—spanning clarification, ultrafiltration/diafiltration (UF/DF), chromatography, and disassembly/reassembly—to remove host cell proteins, host cell DNA, and product-related impurities while improving particle homogeneity and stability. Third, viral safety is discussed primarily from the perspective of downstream virus clearance under host-dependent risk, with particular attention to orthogonal clearance steps tailored to VLP properties and expression systems such as CHO cells and insect cell–baculovirus platforms. Overall, this review provides a CQA-oriented framework and practical guidance for the development of robust, scalable, and GMP-compliant downstream purification processes for VLP-based products. Full article
(This article belongs to the Collection Feature Papers in Virology)
Show Figures

Figure 1

18 pages, 3159 KB  
Article
Optimization of Processing Parameters and Application Performance Evaluation of a High Thermal Conductivity, Low Thermal Resistance Gel
by Yuwen Xu, Danni Hong, Liangjun Liu, Wenfei Wang, Minghua Jiang, Haibing Yang, Tingxin Chen and Kun Jia
Gels 2026, 12(4), 293; https://doi.org/10.3390/gels12040293 - 31 Mar 2026
Viewed by 307
Abstract
Thermal interface materials (TIMs) are essential for addressing heat dissipation challenges in high-performance electronic devices. Among various TIMs, thermal conductive gels exhibit significant potential in high heat flux applications due to their excellent flexibility and superior gap-filling capability. Current research primarily concentrates on [...] Read more.
Thermal interface materials (TIMs) are essential for addressing heat dissipation challenges in high-performance electronic devices. Among various TIMs, thermal conductive gels exhibit significant potential in high heat flux applications due to their excellent flexibility and superior gap-filling capability. Current research primarily concentrates on the fabrication and performance characterization of novel thermal conductive gels, while comparatively little attention has been devoted to the optimization of processing parameters. Furthermore, existing characterization methods often fail to accurately replicate real-world operating conditions, resulting in discrepancies between laboratory measurements and actual performance. An orthogonal experimental design was adopted to systematically elucidate the influence of filler ratio, wetting time, and silicone oil viscosity on the bonding strength of thermal conductive gels. The filler ratio exerts the most significant influence, followed by silicone oil viscosity and wetting time. Subsequently, the thermal conductivity and thermal resistance of both commercial thermal conductive gels and the as-prepared gels were characterized using the steady-state heat flow method and the double-interface method, respectively. Under the optimized preparation conditions (filler ratio of 88%, silicone oil viscosity of 600 cP, and wetting time of 14 h), the self-developed thermal conductive gel exhibits a thermal conductivity of 3.75 W·m−1·K−1 and a bonding strength of 0.248 MPa, outperforming commercial counterparts and demonstrating promising application potential. It was further concluded, through comparisons of curing rheology and long-term reliability evolution with commercial counterparts, that the self-developed thermal conductive gel possesses enhanced stability and reliability. This study provides a practical reference for the development and engineering application of high thermal conductivity, low thermal resistance gels. Full article
(This article belongs to the Special Issue Advanced Functional Gels: Design, Properties, and Applications)
Show Figures

Figure 1

28 pages, 14485 KB  
Article
Effects of Operating Parameters on Mixing Performance and Multi-Objective Optimization of Twin-Blade Planetary Mixer in Viscous Systems
by Zishuo Chen, Zhe Li, Yunqiang Xie, Chengfan Cai, Jiyong Kuang and Baoqing Liu
Processes 2026, 14(7), 1092; https://doi.org/10.3390/pr14071092 - 28 Mar 2026
Viewed by 319
Abstract
The twin-blade planetary mixer is critical for processing highly viscous materials in the chemical and polymer industries, yet optimizing its mixing characteristics alongside energy efficiency remains challenging. This study investigates the twin-blade planetary mixer, using computational fluid dynamics simulation methods to analyze the [...] Read more.
The twin-blade planetary mixer is critical for processing highly viscous materials in the chemical and polymer industries, yet optimizing its mixing characteristics alongside energy efficiency remains challenging. This study investigates the twin-blade planetary mixer, using computational fluid dynamics simulation methods to analyze the operating parameters and multi-objective optimization of performance in viscous systems. First, the multi-axis stirring process was simulated numerically based on the Planetary Motion Method, revealing the working process at the cross-section and of the blades, thereby unveiling a mixing mechanism driven by cyclic transitions between local shear-intensive kneading and global convective circulation. Then, through orthogonal experiments and ANOVA, the dominant role of the hollow blade’s self-rotation speed on performance was clarified. Furthermore, based on Kriging and NSGA-II, with LINMAP employed for decision making, an optimal parameter combination, specifically a hollow blade self-rotation speed of 94.86 rpm, a speed ratio of 0.063, and a blade-to-bottom height of 2.79 mm, successfully achieved an 8.15% reduction in power consumption, a 20.03% increase in global axial flow, and a 5.01% enhancement in maximum kneading pressure. Full article
(This article belongs to the Section Process Control and Monitoring)
Show Figures

Graphical abstract

13 pages, 44672 KB  
Article
ARMANI: Dictionary-Learning-Inspired Data-Free Deep Generative Modeling with Meta-Attention and Implicit Preconditioning for Compressively Sampled Magnetic Resonance Imaging
by Ming Wu, Jing Cheng, Qingyong Zhu and Dong Liang
Electronics 2026, 15(7), 1402; https://doi.org/10.3390/electronics15071402 - 27 Mar 2026
Viewed by 266
Abstract
Magnetic resonance imaging (MRI) reconstruction from undersampled k-space data enables accelerated acquisition but leads to a severely ill-posed inverse problem. Although supervised deep learning methods have achieved strong performance, they typically rely on large paired datasets that are difficult to obtain in clinical [...] Read more.
Magnetic resonance imaging (MRI) reconstruction from undersampled k-space data enables accelerated acquisition but leads to a severely ill-posed inverse problem. Although supervised deep learning methods have achieved strong performance, they typically rely on large paired datasets that are difficult to obtain in clinical practice. To address these limitations, we propose a dictionary-learning-inspired dAta-fRee deep generative modeling with Meta-Attention and implicit precoNditIoning for compressively sampled MRI (CS-MRI), termed ARMANI. Specifically, a meta-attention-augmented deep image prior (MA-DIP) generator performs a joint optimization over the latent input η and the network parameter θ, where η is regularized via gradient-domain sparsity and θ is constrained by a ridge penalty, mirroring the adaptive estimation of sparse coefficients and an empirical sparsifying dictionary. Furthermore, we integrate a single-step pseudo-orthogonal projection to achieve implicit preconditioning, which modulates the loss landscape and mitigates ill-conditioning of the forward operator. Experimental results demonstrate that ARMANI consistently outperforms existing SOTA data-free and self-supervised methods, and, with limited training data, achieves performance comparable to or slightly better than the supervised benchmark MoDL, with effective artifact suppression and faithful recovery of fine structural details. Overall, ARMANI shows strong scalability and potential for practical deployment in fully data-free CS-MRI reconstruction scenarios. Full article
Show Figures

Figure 1

35 pages, 13531 KB  
Article
A Theory-Guided Transformer for Interpretable Hyperspectral Unmixing
by Hongyue Cao, Fanlei Meng, Haixin Sun, Xinyu Cui and Dan Shao
Remote Sens. 2026, 18(6), 886; https://doi.org/10.3390/rs18060886 - 13 Mar 2026
Viewed by 445
Abstract
Hyperspectral unmixing (HU) is fundamental for conducting quantitative analyses in remote sensing, yet existing methods face a persistent tradeoff between model performance and physical interpretability. Although deep learning models achieve superior performance, even “gray-box” models that incorporate physical constraints still suffer from an [...] Read more.
Hyperspectral unmixing (HU) is fundamental for conducting quantitative analyses in remote sensing, yet existing methods face a persistent tradeoff between model performance and physical interpretability. Although deep learning models achieve superior performance, even “gray-box” models that incorporate physical constraints still suffer from an intrinsically opaque decision-making process, which hinders their trustworthiness in critical applications. To address this challenge, this paper introduces a theory-guided unmixing framework aimed at enhancing mechanistic interpretability called the sparse and subspace-attentive transformer unmixing network (SSTU-Net). Unlike heuristic architectures, SSTU-Net is rigorously derived from the first principles of sparse rate reduction (SRR) theory. Its core modules—the multi-head subspace self-attention (MSSA) and the iterative shrinkage-thresholding algorithm (ISTA)—directly implement the essential mathematical steps of information compression and sparsification within the SRR theory, respectively. Extensive experiments on both synthetic and real hyperspectral datasets demonstrate that SSTU-Net achieves competitive performance compared to representative state-of-the-art methods—including advanced autoencoder-based networks (e.g., CyCU-Net and DAAN) and recent transformer-based unmixing architectures (e.g., DeepTrans and MAT-Net)—while strictly adhering to theoretically predicted evolutionary trajectories. More importantly, a series of specifically designed structural interpretability validation experiments mechanistically confirm the theoretically predicted behaviors, such as layer-wise information compression, feature sparsification, and subspace orthogonalization. These results reveal the internal working mechanisms of SSTU-Net, validating the feasibility and significant potential of our principled theory-guided framework for developing high-performance and trustworthy intelligent models in remote sensing. Full article
Show Figures

Figure 1

36 pages, 3788 KB  
Article
Mittag-Leffler Weighted Orthogonal Functions for the ABC Fractional Operator: A Formal Self-Adjointness Construction
by Muath Awadalla and Dalal Alhwikem
Fractal Fract. 2026, 10(3), 185; https://doi.org/10.3390/fractalfract10030185 - 11 Mar 2026
Viewed by 287
Abstract
This work constructs an orthogonal function system on bounded intervals [0,R] associated with the Atangana–Baleanu–Caputo (ABC) fractional derivative for α(1/2,1). Starting from a fractional Laguerre-type equation involving the ABC operator, [...] Read more.
This work constructs an orthogonal function system on bounded intervals [0,R] associated with the Atangana–Baleanu–Caputo (ABC) fractional derivative for α(1/2,1). Starting from a fractional Laguerre-type equation involving the ABC operator, solutions are obtained via a generalized Frobenius method, yielding series representations with characteristic exponent α1. Rather than postulating a weight function by analogy with classical or Caputo settings, the weight is derived directly from the requirement that the underlying fractional operator be formally self-adjoint on a suitable admissible domain. This operator-theoretic approach leads to the explicit Mittag–Leffler weight wα(x)=x(2α1)Eα(xα), which intrinsically reflects the nonlocal memory structure of the ABC kernel. A similarity transformation removes the universal singular factor and produces regularized eigenfunctions that are continuous on [0,R] and orthogonal in the weighted L2 space. The weight identity and formal self-adjointness are rigorously verified through a right-Volterra uniqueness argument. Numerical experiments confirm orthogonality up to machine precision, demonstrate spectral convergence for a model ABC differential equation, and illustrate consistency with classical Laguerre polynomials in the limit α1. The resulting framework provides a self-consistent orthogonal system suitable for spectral approximations of problems governed by the ABC operator on bounded domains. Full article
(This article belongs to the Special Issue Advances in Fractional Initial and Boundary Value Problems)
Show Figures

Figure 1

16 pages, 1786 KB  
Article
Integrating High-Capacity Self-Homodyne Transmission and High-Sensitivity Dual-Pulse ϕ-OTDR with an EO Comb over a 7-Core Fiber
by Xu Liu, Chenbo Zhang, Yi Zou, Zhangyuan Chen, Weiwei Hu, Xiangge He and Xiaopeng Xie
Photonics 2026, 13(3), 261; https://doi.org/10.3390/photonics13030261 - 9 Mar 2026
Viewed by 455
Abstract
Beyond supporting ultra-high-capacity data transmission, metropolitan and access networks are expected to enable real-time infrastructure monitoring, driving the emergence of integrated sensing and communication (ISAC). Distributed acoustic sensing (DAS) has proven to be well-suited to urban sensing application requirements, yet its seamless integration [...] Read more.
Beyond supporting ultra-high-capacity data transmission, metropolitan and access networks are expected to enable real-time infrastructure monitoring, driving the emergence of integrated sensing and communication (ISAC). Distributed acoustic sensing (DAS) has proven to be well-suited to urban sensing application requirements, yet its seamless integration into ISAC remains challenging—conventional high-peak-power sensing pulses in DAS induce nonlinear crosstalk in communication channels. DAS inherently suffers from interference fading due to single-frequency laser sources, which limits sensitivity. Here, we propose an ISAC architecture based on an electro-optic (EO) comb and a 7-core fiber, achieving nonlinearity-suppressed self-homodyne transmission and fading-suppressed DAS. Unmodulated comb lines and sensing pulses are polarization-multiplexed into orthogonal polarization states within the central core to minimize nonlinear crosstalk while delivering local oscillators (LOs) for wavelength division multiplexing (WDM) coherent transmission within six outer cores—achieving 10.56 Tbit/s capacity. In addition to supporting WDM transmission, the EO comb’s wavelength diversity is also exploited to enhance DAS performance. Specifically, a dual-pulse probe loaded onto four comb lines yields a 6 dB signal-to-noise ratio gain and a 64% reduction in fading occurrences, achieving a sensitivity of 1.72 pε/Hz with 8 m spatial resolution. Moreover, our system supports simultaneous multi-wavelength backscatter detection in sensing and simplified digital signal processing in self-homodyne communication, reducing receiver complexity and cost. Our work presents a scalable, energy-efficient ISAC framework that unifies high-capacity communication with high-sensitivity sensing, providing a blueprint for future intelligent optical networks. Full article
(This article belongs to the Special Issue Next-Generation Optical Networks Communication)
Show Figures

Figure 1

17 pages, 1840 KB  
Article
Research on Factors Affecting the Anchoring Performance of Self-Drilling Anchor Bolts in Sandy Gravel Strata
by Fengjun Liu, Kui Li, Mingchong Zhao, Xiaojuan Gao, Chaosheng Wang, Xianglin Chen and Yugang Zhang
Buildings 2026, 16(5), 1058; https://doi.org/10.3390/buildings16051058 - 7 Mar 2026
Viewed by 272
Abstract
To study the anchoring performance of a self-drilling anchor in sandy gravel strata, the influence of different anchoring lengths on the ultimate pull-out resistance of the self-drilling anchor was carried out through field tests, and the load-displacement curve was obtained. Based on this, [...] Read more.
To study the anchoring performance of a self-drilling anchor in sandy gravel strata, the influence of different anchoring lengths on the ultimate pull-out resistance of the self-drilling anchor was carried out through field tests, and the load-displacement curve was obtained. Based on this, combined with the indoor grouting test, an indoor orthogonal test scheme in line with the construction technology of the self-drilling anchor was designed, and the effects of different fine particle proportions, grouting pressures, and water-cement ratios on the pull-out peak, ultimate displacement, anchor diameter, and equivalent bond strength were analyzed. The results indicate a critical value of the self-drilling anchor in the sandy gravel strata. In the field test and indoor test, the failure mode of the bolt is the failure of the interface between the anchor body and the soil, and the trend of the load-displacement curve of the bolt is the same. Through an orthogonal test, it was found that the proportion of fine particles has the greatest influence on the anchorage performance of the self-drilling bolt. With the increase in the proportion of fine particles, the peak value of pull-out decreases, indicating that the self-drilling bolt exhibits better anchorage performance in soft soil layers, such as sandy gravel strata. Full article
Show Figures

Figure 1

16 pages, 2882 KB  
Article
Establishment of a Dual-Reporter Minigenome System for Respiratory Syncytial Virus
by Li Pan, Yunbo Xu, Yihan Ma, Jiaxing Zhang and Chao Wu
Viruses 2026, 18(3), 304; https://doi.org/10.3390/v18030304 - 28 Feb 2026
Viewed by 599
Abstract
Respiratory syncytial virus (RSV) poses a significant global health challenge, particularly affecting infants, the elderly, and immunocompromised individuals. Despite recent progress in the development of vaccines and monoclonal antibodies, effective antiviral therapies remain limited. To advance the discovery of antiviral drugs, we have [...] Read more.
Respiratory syncytial virus (RSV) poses a significant global health challenge, particularly affecting infants, the elderly, and immunocompromised individuals. Despite recent progress in the development of vaccines and monoclonal antibodies, effective antiviral therapies remain limited. To advance the discovery of antiviral drugs, we have developed a dual-reporter RSV minigenome system, providing a safe and robust platform for antiviral evaluation. This system incorporates NanoLuc luciferase and superfolder GFP (sfGFP) linked by a self-cleaving P2A peptide, allowing for the simultaneous detection of orthogonal signals. Validation with L polymerase inhibitors confirmed the system’s reliability for screening small-molecule inhibitors. The linear correlation observed between the reporter signals enhances the assay’s reliability for antiviral assessment. This dual-reporter minigenome system advances targeted therapeutic strategies against RSV. Full article
(This article belongs to the Section Human Virology and Viral Diseases)
Show Figures

Figure 1

29 pages, 401 KB  
Article
Hermitian Dickson Dualities for Codes over Near-Fields
by Altaf Alshuhail and Fozaiyah A. Al-hubairah
Mathematics 2026, 14(5), 833; https://doi.org/10.3390/math14050833 - 28 Feb 2026
Viewed by 259
Abstract
A Dickson near-field is obtained from Fp2 by twisting multiplication so that distributivity holds only on the right. In this work, we develop a basic theory of right-linear codes of length n over NF(p2). We show [...] Read more.
A Dickson near-field is obtained from Fp2 by twisting multiplication so that distributivity holds only on the right. In this work, we develop a basic theory of right-linear codes of length n over NF(p2). We show that every right-linear code is right-monomially equivalent to a code with a systematic generator matrix, obtained via one-sided row operations. Using Galois conjugation, we introduce the Hermitian Dickson inner product and define the associated dual code, giving an explicit parity-check description in the Fp-systematic case. We also provide effective criteria for Hermitian Dickson LCD, self-orthogonal, and self-dual codes, and we classify Hermitian Dickson self-orthogonal codes in short lengths. Full article
(This article belongs to the Special Issue Mathematics for Algebraic Coding Theory and Cryptography)
23 pages, 1541 KB  
Review
Characterization of Conformational Instability of Monoclonal Antibodies During Chromatographic Purification
by Krystian Baran and Rafał Podgórski
Int. J. Mol. Sci. 2026, 27(4), 2064; https://doi.org/10.3390/ijms27042064 - 23 Feb 2026
Viewed by 730
Abstract
Monoclonal antibodies represent one of the fastest-growing sectors of the biopharmaceutical industry. Their high therapeutic efficacy and reduced incidence of adverse effects compared to conventional therapies have led to an increasing demand for these products. The costliest stages of monoclonal antibody production are [...] Read more.
Monoclonal antibodies represent one of the fastest-growing sectors of the biopharmaceutical industry. Their high therapeutic efficacy and reduced incidence of adverse effects compared to conventional therapies have led to an increasing demand for these products. The costliest stages of monoclonal antibody production are the separation and purification processes, which underscores the need for continuous development and optimization of applied methodologies. Active pharmaceutical ingredients must exhibit high purity and preserved biological activity in order to meet stringent regulatory requirements. Macromolecules such as monoclonal antibodies possess complex conformational structures that significantly influence their stability. The application of multi-step chromatographic processes during purification from cell culture harvests may induce structural alterations, including protein unfolding and aggregation, ultimately resulting in decreased product quality and therapeutic effectiveness. Such structural changes may also increase immunogenicity risk and reduce product shelf life, posing additional challenges for downstream processing. In addition, chromatographic media create microenvironments that differ markedly from bulk solution (e.g., high local protein concentration, confined pore spaces and heterogeneous surface chemistry). These effects can promote either self-association driven by colloidal interactions or partial unfolding followed by irreversible aggregation, depending on the unit operation and operating window. Practical mitigation is therefore rarely achieved by a single lever; instead, it requires an integrated view of resin selection, buffer composition (pH, salt type and ionic strength, and stabilizing additives), residence time and temperature, as well as an analytics strategy that combines orthogonal aggregation assays with structural probes. This work discusses the phenomena of unfolding and aggregation of therapeutic proteins, with particular emphasis on monoclonal antibodies occurring during chromatographic purification. Furthermore, key analytical methods, characterization techniques, and mitigation strategies aimed at improving product quality and reducing manufacturing costs are reviewed. Full article
(This article belongs to the Special Issue Antibody Engineering and Therapeutic Applications)
Show Figures

Figure 1

16 pages, 308 KB  
Article
On Gray Images of Cyclic and Self-Orthogonal Codes over Fq+uFq+vFq
by Sami H. Saif and Alhanouf Ali Alhomaidhi
Entropy 2026, 28(2), 250; https://doi.org/10.3390/e28020250 - 22 Feb 2026
Viewed by 301
Abstract
Let p be a prime with p{2,5} and let q=pm. This paper studies cyclic and self-orthogonal linear codes of length n over the finite local non-Frobenius ring [...] Read more.
Let p be a prime with p{2,5} and let q=pm. This paper studies cyclic and self-orthogonal linear codes of length n over the finite local non-Frobenius ring Rp,u,v=Fq+uFq+vFq, u2=v2=uv=vu=0. We define an Fq-linear Gray map πn:Rp,u,vnFq6n and investigate the structural properties of Gray images of cyclic codes under this map. It is shown that πn preserves self-orthogonality and, when gcd(n,p)=1, transforms any cyclic code over Rp,u,v into a quasi-cyclic code over Fq of length 6n with index dividing 6. Moreover, we completely characterize the possible quasi-cyclic indices of the Gray images, proving that only the values l{1,3,6} can occur, and we establish necessary and sufficient conditions for each case in terms of the generators of the associated cyclic code. Several explicit examples are provided to illustrate the theoretical results and the resulting quasi-cyclic structures. Full article
(This article belongs to the Section Multidisciplinary Applications)
Back to TopTop