Sign in to use this feature.

Years

Between: -

Subjects

remove_circle_outline
remove_circle_outline
remove_circle_outline
remove_circle_outline
remove_circle_outline
remove_circle_outline
remove_circle_outline

Journals

Article Types

Countries / Regions

Search Results (13)

Search Parameters:
Keywords = selected Acinetobacter spp. strain

Order results
Result details
Results per page
Select all
Export citation of selected articles as:
15 pages, 1306 KB  
Article
The Impact of the COVID-19 Pandemic on the Antibiotic Resistance of Gram-Negative Pathogens Causing Bloodstream Infections in an Intensive Care Unit
by Andreea Loredana Golli, Simona Georgiana Popa, Alice Elena Ghenea and Flavia Liliana Turcu
Biomedicines 2025, 13(2), 379; https://doi.org/10.3390/biomedicines13020379 - 6 Feb 2025
Cited by 12 | Viewed by 2546 | Correction
Abstract
Background/Objectives: In this research, we aimed to analyze the trend of the antimicrobial resistance pattern of Gram-negative isolated in blood samples collected from patients with severe invasive infections hospitalized in the intensive care unit in selected periods during and after COVID-19. Methods [...] Read more.
Background/Objectives: In this research, we aimed to analyze the trend of the antimicrobial resistance pattern of Gram-negative isolated in blood samples collected from patients with severe invasive infections hospitalized in the intensive care unit in selected periods during and after COVID-19. Methods: A retrospective study of bacterial pathogens was performed on 481 patients admitted to the ICU between 2020 and 2023. The resistance patterns were analyzed using the Vitek 2 Compact system. Results. A total of 686 Gram-negative bacterial isolates were obtained. The most frequently detected Gram-negative pathogens were Klebsiella spp. (30.91%), Acinetobacter spp. (24.64%), and Escherichia coli (18.95%). Almost 50% of all the pathogens were multidrug-resistant, with a statistically significant increase post-pandemic (p < 0.05). Post-pandemic, the study highlighted a significantly higher percentage of the Klebsiella strains (p < 0.05), and a significant increase in the antibiotic resistance rate against colistin (p < 0.001) and tigecycline (p = 0.005). A very high percentage of MDR Acinetobacter spp. isolates was found, with a significant increase in the antibiotic resistance rate against colistin (p < 0.001). A significantly lower resistance was recorded for the Escherichia coli strains in the case of ceftazidime (p = 0.03) and aminoglycosides (gentamicin—p = 0.01, amikacin—p < 0.001). An increase in the percentage of carbapenem-resistant Klebsiella spp., Acinetobacter spp., and Enterobacter spp. strains was observed, and a significant decrease in the in the case of Proteus spp. (p = 0.01). Conclusions: Our findings revealed a statistically significant increase in the resistance rate to last-line antibiotics and in the percentage of MDR Gram-negative strains isolated in the blood samples in the post-COVID-19 era. Full article
Show Figures

Figure 1

24 pages, 5137 KB  
Article
Prevalence, Characterization, and Proteomic Relatedness Among β-Lactam-Resistant Bacteria Throughout the Poultry Production Chain in Greece
by Anestis Tsitsos, Alexandros Damianos, Konstantinos Kiskinis, Vasilios Tsiouris, Ilias Tirodimos, Nikolaos Soultos, Anna Papa and Vangelis Economou
Foods 2025, 14(2), 224; https://doi.org/10.3390/foods14020224 - 13 Jan 2025
Viewed by 1628
Abstract
Extended-spectrum-β-lactamase (ESBL) and carbapenemase-producing Escherichia coli, Klebsiella pneumoniae and Acinetobacter spp. are associated with hospital-acquired infections and are commonly isolated across the poultry food production chain. Comprehensive data regarding the prevalence, spatiotemporal variations, and characterization of β-lactam-resistant bacteria in poultry farms and [...] Read more.
Extended-spectrum-β-lactamase (ESBL) and carbapenemase-producing Escherichia coli, Klebsiella pneumoniae and Acinetobacter spp. are associated with hospital-acquired infections and are commonly isolated across the poultry food production chain. Comprehensive data regarding the prevalence, spatiotemporal variations, and characterization of β-lactam-resistant bacteria in poultry farms and slaughterhouses is scarce. This study examines the prevalence and characteristics of β-lactam-resistant E. coli, K. pneumoniae, and Acinetobacter spp. isolated from poultry farms, slaughterhouses, and associated personnel in Greece. Strains were selectively isolated and identified via MALDI-TOF MS, which was also employed to identify possible relatedness. E. coli isolates were further classified into phylogenetic groups. The prevalence of β-lactam-resistant strains in farm and slaughterhouse environments was 15.0% (n = 15 strains)/57.3% (n = 71 strains) for E. coli, 11.0% (n = 11 strains)/1.6% (n = 2 strains) for K. pneumoniae, and 1.0% (n = 1 strain)/25.8% (n = 38 strains) for Acinetobacter spp., respectively. The prevalence of Acinetobacter spp. and E. coli on farmers’ skin was 16.7% (n = 2 strains) and 8.3% (n = 1 strain), correspondingly. Significantly higher E. coli isolation rates were observed in warmer seasons. All strains were multidrug-resistant and most carried ESBL/AmpC genes. Most E. coli isolates belonged to phylogroups A (41.4%, n = 36) and B1 (24.1%, n = 21). Proteomic analysis indicated relatedness among strains from different regions and seasons. Thus, poultry farms and slaughterhouses may serve as significant reservoirs of β-lactam-resistant strains of E. coli, K. pneumoniae, and Acinetobacter spp. Full article
(This article belongs to the Section Food Microbiology)
Show Figures

Figure 1

12 pages, 392 KB  
Article
The First Report of mcr-1-Carrying Escherichia coli, Isolated from a Clinical Sample in the North-East of Romania
by Mădălina-Alexandra Vlad, Brîndușa-Elena Lixandru, Andrei-Alexandru Muntean, Irina Trandafir, Cătălina Luncă and Cristina Tuchiluş
Microorganisms 2024, 12(12), 2461; https://doi.org/10.3390/microorganisms12122461 - 29 Nov 2024
Cited by 3 | Viewed by 2170
Abstract
Colistin resistance poses a significant clinical challenge, particularly in Gram-negative bacteria. This study investigates the occurrence of plasmid-mediated colistin resistance among Enterobacterales isolates (Escherichia coli, Klebsiella pneumoniae, and Enterobacter spp.) and non-fermentative rods (Acinetobacter baumannii and Pseudomonas aeruginosa). [...] Read more.
Colistin resistance poses a significant clinical challenge, particularly in Gram-negative bacteria. This study investigates the occurrence of plasmid-mediated colistin resistance among Enterobacterales isolates (Escherichia coli, Klebsiella pneumoniae, and Enterobacter spp.) and non-fermentative rods (Acinetobacter baumannii and Pseudomonas aeruginosa). We analyzed 114 colistin-resistant isolates that were selected, based on resistance phenotypes, and isolated between 2019 and 2023. To achieve this, we used the rapid immunochromatographic test, NG-Test® MCR-1; multiplex PCR for mcr-1 to mcr-8, and real-time PCR for mcr-1 and mcr-2. One E. coli isolate was identified as carrying the mcr-1 gene, confirmed by NG-Test® MCR-1, multiplex PCR and whole-genome sequencing. This strain, belonging to ST69, harbored four plasmids, harboring different antimicrobial resistance genes, with mcr-1 being located on a 33,304 bp circular IncX4 plasmid. No mcr-2 to mcr-8-positive isolates were detected, prompting further investigation into alternative colistin resistance mechanisms. This is the first report of a mcr-1-positive, colistin-resistant E. coli isolated from a human clinical sample in the North-East of Romania. Full article
(This article belongs to the Special Issue Emerging Infectious Diseases and Multidrug Resistance)
Show Figures

Figure 1

24 pages, 2790 KB  
Article
Prevalence, Characterization, and Epidemiological Relationships between ESBL and Carbapenemase-Producing Escherichia coli, Klebsiella pneumoniae, and Acinetobacter spp. Isolated from Humans and the Kitchen Environment of Two Greek Hospitals
by Anestis Tsitsos, Alexandros Damianos, Maria Boutel, Panagiota Gousia, Nikolaos Soultos, Anna Papa, Ilias Tirodimos and Vangelis Economou
Antibiotics 2024, 13(10), 934; https://doi.org/10.3390/antibiotics13100934 - 2 Oct 2024
Cited by 2 | Viewed by 3315
Abstract
Background: Extended-spectrum-β-lactamase (ESBL) and carbapenemase-producing Enterobacterales and Acinetobacter spp. pose significant challenges as nosocomial pathogens, demonstrating resistance against various antimicrobials. Their presence in food suggests that hospital kitchens could serve as antibiotic resistance reservoirs leading to patients’ infection. Objectives: The aim of this [...] Read more.
Background: Extended-spectrum-β-lactamase (ESBL) and carbapenemase-producing Enterobacterales and Acinetobacter spp. pose significant challenges as nosocomial pathogens, demonstrating resistance against various antimicrobials. Their presence in food suggests that hospital kitchens could serve as antibiotic resistance reservoirs leading to patients’ infection. Objectives: The aim of this study was to assess the prevalence and characteristics of β-lactam-resistant strains of Escherichia coli, Klebsiella pneumoniae, and Acinetobacter spp. isolated from the kitchen environment and from the staff of two Greek hospitals. Methods: Strains were recovered after selective isolation with β-lactams and were identified with MALDI–TOF MS. Antimicrobial susceptibility and presence of common β-lactamase genes were evaluated. Protein profiles were examined to analyze potential relationships of the strain with those from hospital patients. E. coli strains were further categorized into phylogenetic groups. Results: The overall prevalence in the kitchen environment was 4.5%, 1.5%, and 15.0% for E. coli, K. pneumoniae, and Acinetobacter spp., respectively, whereas the prevalence of Acinetobacter spp. in human skin was 4.0%. Almost all strains were multidrug-resistant. All E. coli strains were ESBL producers and belonged to phylogroups A and B1. All K. pneumoniae and seven Acinetobacter strains were carbapenemase-producers. A protein profile analysis showed relatedness between chicken and kitchen environment strains, as well as between kitchen environment and patient strains originated either from the same or from different hospitals. Conclusions: The results suggest that hospital kitchens may act as important pathogen hotspots contributing to the circulation of resistant strains in the hospital environment. Full article
Show Figures

Figure 1

16 pages, 2663 KB  
Article
Biofilm Formation and Antibiotic Resistance Profiles in Carbapenemase-Producing Gram-Negative Rods—A Comparative Analysis between Screening and Pathological Isolates
by Camelia Vintilă, Răzvan Lucian Coșeriu, Anca Delia Mare, Cristina Nicoleta Ciurea, Radu Ovidiu Togănel, Anastasia Simion, Anca Cighir and Adrian Man
Antibiotics 2024, 13(8), 687; https://doi.org/10.3390/antibiotics13080687 - 24 Jul 2024
Cited by 2 | Viewed by 1994
Abstract
(1) Background: Carbapenem-resistant (CR) bacteria pose a significant global public health challenge due to their ability to evade treatment with beta-lactam antibiotics, including carbapenems. This study investigates the biofilm-forming capabilities of CR clinical bacterial isolates and examines the impact of serum on biofilm [...] Read more.
(1) Background: Carbapenem-resistant (CR) bacteria pose a significant global public health challenge due to their ability to evade treatment with beta-lactam antibiotics, including carbapenems. This study investigates the biofilm-forming capabilities of CR clinical bacterial isolates and examines the impact of serum on biofilm formation. Additionally, the study evaluates the resistance profiles and genetic markers for carbapenemase production. (2) Methods: Bacterial isolates were collected from the microbiology laboratory of Mures County Clinical Hospital between October 2022 and September 2023. Pharyngeal and rectal swabs were screened for carbapenem-resistant bacteria using selective media. Lower respiratory tract samples were also analyzed for CR Gram-negative bacteria. The isolates were tested for their ability to form biofilms in the presence and absence of fetal bovine serum at 24 and 48 h. Carbapenemase production was detected phenotypically and confirmed via PCR for relevant genes. (3) Results: Out of 846 screened samples, 4.25% from pharyngeal swabs and 6.38% from rectal swabs tested positive for CR bacteria. Acinetobacter baumannii and Klebsiella pneumoniae were the most common species isolated. Biofilm formation varied significantly between clinical isolates and standard strains, with clinical isolates generally showing higher biofilm production. The presence of serum had no significant effect on biofilm formation in Klebsiella spp., but stimulated biofilm formation for Acinetobacter spp. Carbapenemase genes blaKPC, blaOXA-48-like, and blaNDM were detected in various isolates, predominantly in Klebsiella spp., but were not the main determinants of carbapenem resistance, at least in screening isolates. (4) Conclusions: This study highlights the variability in biofilm formation among CR clinical isolates and underscores the differences between the bacteria found as carriage versus infection. Both bacterial species and environmental factors variably influence biofilm formation. These insights are crucial for the development of effective treatment and infection control strategies in clinical settings. Full article
Show Figures

Figure 1

16 pages, 1423 KB  
Article
Pre- and Post-COVID-19 Antimicrobial Resistance Pattern of Pathogens in an Intensive Care Unit
by Andreea-Loredana Golli, Ovidiu Mircea Zlatian, Monica Laura Cara and Mădălina Olteanu
Pharmaceuticals 2024, 17(4), 407; https://doi.org/10.3390/ph17040407 - 22 Mar 2024
Cited by 14 | Viewed by 3172
Abstract
We aimed to determine the trend of the antimicrobial resistance pattern of pathogens isolated in samples collected from patients hospitalized in the intensive care unit (ICU) in selected periods before and after COVID-19. A retrospective study of bacterial pathogens was performed on 1267 [...] Read more.
We aimed to determine the trend of the antimicrobial resistance pattern of pathogens isolated in samples collected from patients hospitalized in the intensive care unit (ICU) in selected periods before and after COVID-19. A retrospective study of bacterial pathogens was performed on 1267 patients. Positive bacterial culture data from 1695 samples from the pre-COVID-19 period and 1562 samples from the post-COVID-19 period were obtained. The most frequently isolated bacteria in both periods were Staphylococcus aureus and Klebsiella spp. The resistance rates of Klebsiella spp. Significantly increased against colistin (0.38% to 20.51%), gentamicin (44.62% to 64.85%), and aztreonam (56.35% to 3.60%). There was a significant increase in the resistance rate against colistin for E. coli strains (4.69% to 32.46%) and for Acinetobacter sp. strains (3.37% to 18.09%). More than 50% of the Staphylococcus aureus strains were MRSA, with statistically significant increases in the antimicrobial resistance rate against doxycycline (40.08% to 51.72%), linezolid (0.22% to 3.13%), rifampicin (53.16% to 64.93%), and teicoplanin (26.31% to 53.40%). The study revealed a significantly increasing trend in the antimicrobial resistance rate of Gram-negative pathogens against certain antibiotics, including those used only in cases where there are no other therapeutic options. Full article
(This article belongs to the Special Issue Multi-Drug Resistance)
Show Figures

Figure 1

18 pages, 1283 KB  
Article
Imported Pet Reptiles and Their “Blind Passengers”—In-Depth Characterization of 80 Acinetobacter Species Isolates
by Franziska Unger, Tobias Eisenberg, Ellen Prenger-Berninghoff, Ursula Leidner, Torsten Semmler and Christa Ewers
Microorganisms 2022, 10(5), 893; https://doi.org/10.3390/microorganisms10050893 - 24 Apr 2022
Cited by 9 | Viewed by 4311
Abstract
Reptiles are popular pet animals and important food sources, but the trade of this vertebrate class is—besides welfare and conservation—under debate due to zoonotic microbiota. Ninety-two shipments of live reptiles were sampled during border inspections at Europe’s most relevant transshipment point for the [...] Read more.
Reptiles are popular pet animals and important food sources, but the trade of this vertebrate class is—besides welfare and conservation—under debate due to zoonotic microbiota. Ninety-two shipments of live reptiles were sampled during border inspections at Europe’s most relevant transshipment point for the live animal trade. Acinetobacter spp. represented one significant fraction of potentially MDR bacteria that were further analyzed following non-selective isolation or selective enrichment from feces, urinate, or skin samples. Taxonomic positions of respective isolates were confirmed by MALDI-TOF MS and whole-genome sequencing analysis (GBDP, dDDH, ANIb, and rMLST). The majority of the 80 isolates represented established species; however, a proportion of potentially novel taxa was found. Antimicrobial properties and genome-resistance gene screening revealed novel and existing resistance mechanisms. Acinetobacter spp. strains were most often resistant to 6–10 substance groups (n = 63) in vitro. Resistance to fluorchinolones (n = 4) and colistin (n = 7), but not to carbapenems, was noted, and novel oxacillinase variants (n = 39) were detected among other genes. Phylogenetic analysis (MLST) assigned few isolates to the known STs (25, 46, 49, 220, and 249) and to a number of novel STs. No correlation was found to indicate that MDR Acinetobacter spp. in reptiles were associated with harvesting mode, e.g., captive-bred, wild-caught, or farmed in natural ecosystems. The community of Acinetobacter spp. in healthy reptiles turned out to be highly variable, with many isolates displaying a MDR phenotype or genotype. Full article
(This article belongs to the Special Issue Wild Animal Pathogens and Antimicrobial Resistance)
Show Figures

Figure 1

18 pages, 2709 KB  
Article
Bacterial Diversity and Dominant Spoilage Microorganisms in Fresh-Cut Broccoli
by Siqi Cui, Xiaolu Yu, Ya Chen, Jianli Zhang and Guangmin Liu
Appl. Sci. 2022, 12(7), 3370; https://doi.org/10.3390/app12073370 - 25 Mar 2022
Cited by 9 | Viewed by 5547
Abstract
Different cutting types not only affect the quality and bioactive substances of broccoli but may produce wounding stress that influences the quantity and diversity of microorganisms and finally leads to safety concerns. In this study, three different fresh-cutting types (floret (F), quarterly cut [...] Read more.
Different cutting types not only affect the quality and bioactive substances of broccoli but may produce wounding stress that influences the quantity and diversity of microorganisms and finally leads to safety concerns. In this study, three different fresh-cutting types (floret (F), quarterly cut floret (QF) and shredded floret (FS)) and four storage stages (0, 1, 2 and 3 day(s)) were designed to detect the bacterial diversity in broccoli. Results showed that the quantity and growth of microorganisms in fresh-cut broccoli were positively correlated with the intensity of fresh-cut damage, and the 97 strains isolated using 16S rRNA gene sequences were mainly classified into four phyla: Proteobacteria, Actinobacteria, Bacteroidetes and Firmicutes. The predominant phylum was Proteobacteria, dominated by Pseudomonas spp. and Acinetobacter spp. Four representative strains of different species were selected to analyze their spoilage potential on fresh-cut broccoli. Pseudomonas spp. had great impacts on the corruption of broccoli, which affected fresh-cut broccoli by metabolizing to produce nitrite and consuming nutrition. Moreover, Comamonas spp. and Acinetobacter spp. also affected the quality of broccoli, but received little attention previously. This study provides a reference for precise bacteriostasis and preservation of fresh-cut vegetables such as broccoli. Full article
(This article belongs to the Special Issue Genetics and Breeding of Broccoli)
Show Figures

Figure 1

23 pages, 5681 KB  
Article
Antimicrobial and Anti-Biofilm Activity of Polymyxin E Alone and in Combination with Probiotic Strains of Bacillus subtilis KATMIRA1933 and Bacillus amyloliquefaciens B-1895 against Clinical Isolates of Selected Acinetobacter spp.: A Preliminary Study
by Munaf AL-Dulaimi, Ammar Algburi, Alyaa Abdelhameed, Maria S. Mazanko, Dmitry V. Rudoy, Alexey M. Ermakov and Michael L. Chikindas
Pathogens 2021, 10(12), 1574; https://doi.org/10.3390/pathogens10121574 - 2 Dec 2021
Cited by 21 | Viewed by 5245
Abstract
Acinetobacter spp., the nosocomial pathogen, forms strong biofilms and is resistant to numerous antibiotics, causing persistent infections. This study investigates the antibacterial and anti-biofilm activity of polymyxin E alone and in combination with the cell-free supernatants (CFS) of the tested probiotic bacilli, Bacillus [...] Read more.
Acinetobacter spp., the nosocomial pathogen, forms strong biofilms and is resistant to numerous antibiotics, causing persistent infections. This study investigates the antibacterial and anti-biofilm activity of polymyxin E alone and in combination with the cell-free supernatants (CFS) of the tested probiotic bacilli, Bacillus subtilis KATMIRA1933 and Bacillus amyloliquefaciens B-1895 against the selected Acinetobacter spp. starins. Three isolates of Acinetobacter spp., designated as Acinetobacter spp. isolate 1; Acinetobacter spp. isolate 2, and Acinetobacter spp. isolate 3, were collected from patients with burns, wounds, and blood infections, respectively. Bacterial identification and antibiotic susceptibility testing were conducted using the VITEK2 system. Auto-aggregation and coaggregation of the tested bacilli strains with the selected Acinetobacter spp. isolates were evaluated. A disk diffusion assay was used to identify the microorganism’s susceptibility to the selected antibiotics, alone and in combination with the CFS of the bacilli. The MIC and MBIC (minimum inhibitory and minimum biofilm inhibitory concentrations) of polymyxin E combined with bacilli CFS were determined. Acinetobacter spp. isolates were (i) sensitive to polymyxin E, (ii) able to form a strong biofilm, and (iii) resistant to the tested antibiotics and the CFS of tested bacilli. Significant inhibition of biofilm formation was noticed when CFS of the tested bacilli were combined with polymyxin E. The bacilli CFS showed synergy with polymyxin E against planktonic cells and biofilms of the isolated pathogens. Full article
Show Figures

Figure 1

8 pages, 2232 KB  
Article
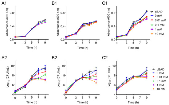
Characterization of Fitness Cost Caused by Tigecycline-Resistance Gene tet(X6) in Different Host Bacteria
by Lijie Jiang, Wenhui Cai, Feifei Tang, Zhiqiang Wang and Yuan Liu
Antibiotics 2021, 10(10), 1172; https://doi.org/10.3390/antibiotics10101172 - 27 Sep 2021
Cited by 13 | Viewed by 2646
Abstract
The emergence and prevalence of the tet(X) gene and its variants in the environment and in clinical settings constitute a growing concern for public health worldwide. Accordingly, the tigecycline resistance gene variant tet(X6) is widely detected in Proteus spp. and Acinetobacter [...] Read more.
The emergence and prevalence of the tet(X) gene and its variants in the environment and in clinical settings constitute a growing concern for public health worldwide. Accordingly, the tigecycline resistance gene variant tet(X6) is widely detected in Proteus spp. and Acinetobacter spp. rather than Enterobacteriaceae, while the underpinning behind this phenomenon is still unclear. To investigate the mechanisms underlying this distinct phenomenon, we assessed the fitness of the engineered plasmid pBAD-tet(X6) in different host bacteria by monitoring their growth curves, relative fitness and the ability of biofilm formation, as well as virulence in a Galleria mellonella model. MIC and qRT-PCR analysis indicated the successful expression of the tet(X6) gene in these strains in the presence of l-arabinose. Furthermore, we found that pBAD-tet(X6) displayed the lowest fitness cost in P. mirabilis compared with that in E. coli or S. Enteritidis, suggesting the fitness difference of tet(X6)-bearing plasmids in different host bacteria. Consistently, the carriage of pBAD-tet(X6) remarkably reduced the biofilm production and virulence of E. coli or S. Enteritidis. These findings not only indicate that the fitness cost difference elicited by the tet(X6) gene may be responsible for its selectivity in host bacteria but also sheds new insight into the dissemination of antibiotic resistance genes (ARGs) in clinical and environmental isolates. Full article
(This article belongs to the Section Mechanism and Evolution of Antibiotic Resistance)
Show Figures

Figure 1

42 pages, 6540 KB  
Article
Biological and Physico-Chemical Characteristics of Arginine-Rich Peptide Gemini Surfactants with Lysine and Cystine Spacers
by Damian Neubauer, Maciej Jaśkiewicz, Marta Bauer, Agata Olejniczak-Kęder, Emilia Sikorska, Karol Sikora and Wojciech Kamysz
Int. J. Mol. Sci. 2021, 22(7), 3299; https://doi.org/10.3390/ijms22073299 - 24 Mar 2021
Cited by 17 | Viewed by 5596
Abstract
Ultrashort cationic lipopeptides (USCLs) and gemini cationic surfactants are classes of potent antimicrobials. Our recent study has shown that the branching and shortening of the fatty acids chains with the simultaneous addition of a hydrophobic N-terminal amino acid in USCLs result in [...] Read more.
Ultrashort cationic lipopeptides (USCLs) and gemini cationic surfactants are classes of potent antimicrobials. Our recent study has shown that the branching and shortening of the fatty acids chains with the simultaneous addition of a hydrophobic N-terminal amino acid in USCLs result in compounds with enhanced selectivity. Here, this approach was introduced into arginine-rich gemini cationic surfactants. l-cystine diamide and l-lysine amide linkers were used as spacers. Antimicrobial activity against planktonic and biofilm cultures of ESKAPE (Enterococcus faecium, Staphylococcus aureus, Klebsiella pneumoniae, Acinetobacter baumannii, Pseudomonas aeruginosa, and Enterobacter spp.) strains and Candida sp. as well as hemolytic and cytotoxic activities were examined. Moreover, antimicrobial activity in the presence of human serum and the ability to form micelles were evaluated. Membrane permeabilization study, serum stability assay, and molecular dynamics were performed. Generally, critical aggregation concentration was linearly correlated with hydrophobicity. Gemini surfactants were more active than the parent USCLs, and they turned out to be selective antimicrobial agents with relatively low hemolytic and cytotoxic activities. Geminis with the l-cystine diamide spacer seem to be less cytotoxic than their l-lysine amide counterparts, but they exhibited lower antibiofilm and antimicrobial activities in serum. In some cases, geminis with branched fatty acid chains and N-terminal hydrophobic amino acid resides exhibited enhanced selectivity to pathogens over human cells. Full article
(This article belongs to the Special Issue Peptide Antimicrobial Agents)
Show Figures

Graphical abstract

14 pages, 1358 KB  
Article
Characteristics of Microbial Factors of Healthcare-Associated Infections Including Multidrug-Resistant Pathogens and Antibiotic Consumption at the University Intensive Care Unit in Poland in the Years 2011–2018
by Agnieszka Litwin, Olga Fedorowicz and Wieslawa Duszynska
Int. J. Environ. Res. Public Health 2020, 17(19), 6943; https://doi.org/10.3390/ijerph17196943 - 23 Sep 2020
Cited by 29 | Viewed by 4243
Abstract
Introduction: In recent years, an increase in healthcare-associated infections (HAIs) caused by resistant pathogens, which is a clinically troublesome trend, has been observed. The aim of the study was to analyze the microbial factors of HAIs and the drug resistance of microorganisms to [...] Read more.
Introduction: In recent years, an increase in healthcare-associated infections (HAIs) caused by resistant pathogens, which is a clinically troublesome trend, has been observed. The aim of the study was to analyze the microbial factors of HAIs and the drug resistance of microorganisms to selected antibiotics and their consumption. Material and Methods: The retrospective study included 3708 patients hospitalized in the intensive care unit (ICU) of the University Teaching Hospital in Wroclaw, who were diagnosed with 742 HAIs in the period from 1 January 2011 to 31 December 2018. The aim of the study was the analysis of microorganisms isolated in the respective clinical forms of HAIs, including the occurrence of “alert pathogens”, presence of multidrug-resistant (MDR) strains, and consumption of selected antibiotics. Findings: During the study period, 846 microorganisms were cultured in patients with HAIs, and among them, Acinetobacter baumannii MDR represented 31.8%; Klebsiella pneumoniae ESBLs, 11.3%; Pseudomonas aeruginosa MDR, 4.1% and MRSA, 2.2%; and Enterococcus spp. vancomycin-resistant enterococci (VRE), 1.3%. Among all the pathogens, Gram-negative bacteria (GNB) were dominant (71.6%). Gram-positive bacteria and fungi accounted for 21.6% and 7%, respectively. The total number of strains responsible for ventilator-associated pneumonia (VAP), urinary tract infection (UTI), and central line-associated blood stream infection (CLA-BSI) was as follows: 458 (54.1%), 274 (32.4%), and 114 (13.5%), respectively. Among the etiological factors of VAP, there was a prevalence of A. baumannii MDR (41.9%), as well as in the case of UTI (21.9%). With regards to CLA-BSI, MRCNS (29.8%) was the dominant pathogen. The “alert pathogens” accounted for 54.7% of all the analyzed strains. The MDR strains represented 72.6% and 9.7% among A. baumannii and P. aeruginosa, respectively. In the years 2011 vs. 2018, an increase in infections with MDR bacilli was observed, 34.6% vs. 61.0% (p = 0.0008), respectively, including A. baumannii MDR 16.54% vs. 34.56 % (p = 0.0009) and Enterobacterales ESBL+/AMPC 11.8% vs. 15.44 % (p = 0.3921). Resistance to methicillin was confirmed in 35.2% of S. aureus strains. Resistance to vancomycin was found among 30.9% of Enterococcus spp. The observed period was marked by an increase in the consumption of carbapenems: 197.7 vs. 235.9 defined daily dose (DDD)/1000 patients-days. Conclusions: Gram-negative bacteria were found to be dominant pathogens in healthcare-associated infections. The most frequently cultured pathogens were multidrug-resistant A. baumannii, K. pneumoniae ESBL(+), and P. aeruginosa. The study showed an increase in the incidence of “alert pathogens” and MDR bacilli, as well as the tendency of a growing resistance to antibiotics during the observed period. Microbiological analysis of HAIs and the consumption of antibiotics is the necessary element of the proper antibiotic policy in hospitals. Full article
Show Figures

Figure 1

11 pages, 306 KB  
Communication
Effect of Chlorine Exposure on the Survival and Antibiotic Gene Expression of Multidrug Resistant Acinetobacter baumannii in Water
by Deepti Prasad Karumathil, Hsin-Bai Yin, Anup Kollanoor-Johny and Kumar Venkitanarayanan
Int. J. Environ. Res. Public Health 2014, 11(2), 1844-1854; https://doi.org/10.3390/ijerph110201844 - 7 Feb 2014
Cited by 68 | Viewed by 9370
Abstract
Acinetobacter baumannii is a multidrug resistant pathogen capable of causing a wide spectrum of clinical conditions in humans. Acinetobacter spp. is ubiquitously found in different water sources. Chlorine being the most commonly used disinfectant in water, the study investigated the effect of chlorine [...] Read more.
Acinetobacter baumannii is a multidrug resistant pathogen capable of causing a wide spectrum of clinical conditions in humans. Acinetobacter spp. is ubiquitously found in different water sources. Chlorine being the most commonly used disinfectant in water, the study investigated the effect of chlorine on the survival of A. baumannii in water and transcription of genes conferring antibiotic resistance. Eight clinical isolates of A. baumannii, including a fatal meningitis isolate (ATCC 17978) (~108 CFU/mL) were separately exposed to free chlorine concentrations (0.2, 1, 2, 3 and 4 ppm) with a contact time of 30, 60, 90 and 120 second. The surviving pathogen counts at each specified contact time were determined using broth dilution assay. In addition, real-time quantitative PCR (RT-qPCR) analysis of the antibiotic resistance genes (efflux pump genes and those encoding resistance to specific antibiotics) of three selected A. baumannii strains following exposure to chlorine was performed. Results revealed that all eight A. baumannii isolates survived the tested chlorine levels during all exposure times (p > 0.05). Additionally, there was an up-regulation of all or some of the antibiotic resistance genes in A. baumannii, indicating a chlorine-associated induction of antibiotic resistance in the pathogen. Full article
Show Figures

Figure 1

Back to TopTop