Sign in to use this feature.

Years

Between: -

Subjects

remove_circle_outline
remove_circle_outline
remove_circle_outline
remove_circle_outline
remove_circle_outline
remove_circle_outline
remove_circle_outline
remove_circle_outline
remove_circle_outline

Journals

remove_circle_outline
remove_circle_outline
remove_circle_outline
remove_circle_outline
remove_circle_outline

Article Types

Countries / Regions

remove_circle_outline
remove_circle_outline
remove_circle_outline
remove_circle_outline

Search Results (624)

Search Parameters:
Keywords = seed vigor

Order results
Result details
Results per page
Select all
Export citation of selected articles as:
20 pages, 2863 KB  
Article
Microbial Drivers of Seed Vigor in Salvia miltiorrhiza: Bacterial Network Stability, Pseudomonas Enrichment, and Identification of Growth-Promoting Strains
by Yate Zhang, Rui Zou, Meng Yu, Jiayi Fu, Hanxin Ye, Xin Chen, Ruiqi Liu, Pengfeng Zhu, Qingdian Han, Ning Sui, Leran Wang and Guoyin Kai
Agronomy 2026, 16(9), 874; https://doi.org/10.3390/agronomy16090874 (registering DOI) - 25 Apr 2026
Abstract
The global demand for Salvia miltiorrhiza Bunge in the botanical medicine market is steadily increasing. However, its production has long relied on asexual root propagation, making it highly susceptible to germplasm degradation. Transitioning to seed reproduction offers the advantage of genetic renewal, yet [...] Read more.
The global demand for Salvia miltiorrhiza Bunge in the botanical medicine market is steadily increasing. However, its production has long relied on asexual root propagation, making it highly susceptible to germplasm degradation. Transitioning to seed reproduction offers the advantage of genetic renewal, yet it is constrained by unstable seed vigor and slow seedling growth. In the present study, comprehensive physiological and microbiome analyses of S. miltiorrhiza seeds from 14 regions across 7 provinces in China were conducted to elucidate the association between the seed microbiome and vigor, and to identify plant growth-promoting (PGP) strains. The results demonstrated: (1) Seed physical traits and germination characteristics varied significantly across geographic origins. Seed vigor, exhibiting the highest coefficient of variation, served as a key parameter reflecting germination quality. (2) High-vigor seeds harbored distinct microbial communities characterized by higher diversity indices, greater network complexity, and the significant enrichment of potentially beneficial bacteria (e.g., Pseudomonas). (3) Through correlation-directed screening of isolated pure cultures, Pseudomonas mendocina P-6 and Enterobacter ludwigii BM-12 were identified as exhibiting robust, multi-trait PGP capacity. In planta validation showed that these two strains significantly promoted the growth of 1-month-old S. miltiorrhiza seedlings, increasing total fresh weight by 33.9–71.3%. This study reveals the microecological drivers of seed vigor and provides candidate strains for inoculant development, thereby supporting the sustainable, seed-based propagation of S. miltiorrhiza. Full article
13 pages, 1210 KB  
Article
Three Bacterial Endophytes Enhanced Plant Growth and Yield and Reduced the Severity of Phytophthora capsici in Bell Pepper and Tomato Plants in the Field
by Daniel Ambachew, Margaret T. Mmbaga, Richard Hall, Peter Eyegheleme, Mustapha Olawuni, Jamille Robinson and Emily Rotich
Plants 2026, 15(9), 1301; https://doi.org/10.3390/plants15091301 - 23 Apr 2026
Abstract
Naturally abundant endophytes colonize plants internally without causing harm to their host plants. Endophytes are likely to occupy the same ecological niches as phytopathogens and thus have a high potential to be effective biological control agents. Their demonstrated ability to suppress more than [...] Read more.
Naturally abundant endophytes colonize plants internally without causing harm to their host plants. Endophytes are likely to occupy the same ecological niches as phytopathogens and thus have a high potential to be effective biological control agents. Their demonstrated ability to suppress more than one plant pathogen suggests that they can offer a viable alternative to chemical fungicides and a strategy for decreasing the inoculum potential of soil-borne pathogens. Some biocontrol endophytes are also known to improve soil health and the overall health of plants. However, the results in greenhouse studies do not always translate to consistent field efficacy. In this study, the efficacy of three endophytic bacterial isolates (PRT (Bacillus subtilis), PSL (Bacillus amyloliquefaciens), and IMC8 (Bacillus thuringiesis) were evaluated against Phytophthora capsici in a field environment and compared with two commercial biological fungicides, Serenade® (Bayer Crop Science, St Louis MO, USA) and Double Nickel® (Certis Biologicals, Columbia, MO, USA), and water control. Plants were inoculated with the bacteria strains using seed treatment for early plant colonization before transplanting to a field infested with P. capsici. Treatments with commercial bio-fungicides followed label recommendations. Data on plant growth vigor, disease severity, number of fruits, fruit size, total yield per plant, and percent of diseased fruits displayed significant differences between the bacteria treatments. While PRT was the best treatment for most traits, followed by PSL on pepper, PSL and Double Nickel were the best treatments on tomatoes. IMC8 was best for plant vigor and larger fruit size, but with fewer fruits per plant on both crops. This study suggests bacterial isolates PRT, PSL, and IMC8 can provide additional products for growth promotion and P. capsici disease management in pepper and tomatoes. Full article
(This article belongs to the Section Plant Protection and Biotic Interactions)
Show Figures

Figure 1

15 pages, 483 KB  
Article
Effect of Aqueous Extracts of Orange Peel Biochar on Seed Germination and Early Seedling Growth of Durum Wheat (Triticum durum Desf.) and Common Buckwheat (Fagopyrum esculentum Moench.)
by Barbora Tunklová, Jan Velebil, Jan Malaťák and Monika Aniszewska
Plants 2026, 15(9), 1292; https://doi.org/10.3390/plants15091292 - 22 Apr 2026
Viewed by 169
Abstract
This study investigated the effects of aqueous extracts of orange peel–derived biochar on seed germination and early seedling growth in durum wheat (Triticum durum Desf.) and common buckwheat (Fagopyrum esculentum Moench.). Biochar was produced by pyrolysis of orange peel at temperatures [...] Read more.
This study investigated the effects of aqueous extracts of orange peel–derived biochar on seed germination and early seedling growth in durum wheat (Triticum durum Desf.) and common buckwheat (Fagopyrum esculentum Moench.). Biochar was produced by pyrolysis of orange peel at temperatures ranging from 250 to 550 °C. Germination assays were conducted under controlled laboratory conditions, and seedling growth parameters were evaluated after six days of cultivation. Untreated orange peel completely inhibited seed germination (0 %) in both species, while biochar produced at 250 °C significantly reduced germination (e.g., the germination index decreased from 54.21 % in the control to 47.2 % in T. durum). In contrast, biochar produced at 350 °C increased germination to >96 % in T. durum and 100 % in F. esculentum, accompanied by enhanced seedling vigor and biomass production. Chemical analyses revealed a pronounced decrease in total phenolic content (from 53.84 to 0.57 mg GAE g−1 DW) and flavonoids (from 90.05 to 1.34 mg QE g−1 DW) with increasing pyrolysis temperature, along with a reduction in antioxidant activity. Common buckwheat exhibited consistently higher tolerance to biochar extracts than durum wheat across all treatments. Overall, the results demonstrate that pyrolysis temperature is a key factor governing the transition from phytotoxic to biostimulatory effects, with optimal performance observed at approximately 350 °C. Full article
Show Figures

Figure 1

19 pages, 1991 KB  
Article
Bioactivity of Ailanthus altissima (Mill.) Swingle Extracts on Wheat Germination and Rice Weevil Survival
by Radenka Kolarov, Velemir Ninkovic, Sonja Gvozdenac, Dan Cristian Vodnar, Floricuta Ranga and Dejan Prvulović
Plants 2026, 15(8), 1250; https://doi.org/10.3390/plants15081250 - 18 Apr 2026
Viewed by 236
Abstract
Invasive plant species are increasingly recognized not only as ecological threats but also as potential sources of bioactive compounds with agricultural applications. However, the combined allelopathic and insecticidal potential of Ailanthus altissima’s different plant parts remains insufficiently explored. This study evaluated the bioactivity [...] Read more.
Invasive plant species are increasingly recognized not only as ecological threats but also as potential sources of bioactive compounds with agricultural applications. However, the combined allelopathic and insecticidal potential of Ailanthus altissima’s different plant parts remains insufficiently explored. This study evaluated the bioactivity of different plant part (leaf, bark, and branch) extracts of A. altissima. Secondary metabolites were characterized by HPLC–DAD–MS, while ethanol extracts (0.5–5%) were tested on wheat (Triticum aestivum) seed germination, seedling growth, oxidative status, and on the survival and repellency of the rice weevil (Sitophilus oryzae). Biological responses were strongly plant part and concentration-dependent. Leaf extracts contained the highest phenolic levels, dominated by caffeoylquinic acids and quercetin derivatives, whereas bark and branch extracts showed lower but compositionally distinct profiles. Despite this, bark and branch extracts produced the strongest biological effects, inhibiting germination energy and root growth at higher concentrations, while leaf extracts stimulated seedling performance, including increased vigor index, while in insect bioassays, bark and branch extracts caused higher mortality and stronger suppression of rice weevil populations. This study provides new evidence that biomass extracts of the invasive species A. altissima represent a promising source of biologically active compounds with both allelopathic and insecticidal properties, highlighting its potential valorization as a plant-based biopesticide for sustainable pest management. Full article
(This article belongs to the Section Phytochemistry)
Show Figures

Graphical abstract

20 pages, 2715 KB  
Article
Salinity Tolerance and Antioxidant Response in Watermelon Seedlings Pre-Treated with Abiotic Stress Attenuators
by Moadir de Sousa Leite, Salvador Barros Torres, Clarisse Pereira Benedito, Kleane Targino Oliveira Pereira, Maria Valdiglezia de Mesquita Arruda, Jéssica Christie Dantas de Oliveira Costa, Giovanna Dias de Sousa, Angie Alejandra Rodriguez Cruz, João Pedro Gonçalves Bispo, Charline Zaratin Alves, Pablo Ferreira da Silva, Marco Porceddu, Gianluigi Bacchetta, Alex Álvares da Silva and Francisco Vanies da Silva Sá
Plants 2026, 15(8), 1227; https://doi.org/10.3390/plants15081227 - 16 Apr 2026
Viewed by 435
Abstract
Salinization of agricultural areas is one of the main abiotic factors responsible for the reduction of seed germination and vigor. In this context, the use of stress attenuators applied to seeds may contribute to mitigating the effects of salinity and improving the physiological [...] Read more.
Salinization of agricultural areas is one of the main abiotic factors responsible for the reduction of seed germination and vigor. In this context, the use of stress attenuators applied to seeds may contribute to mitigating the effects of salinity and improving the physiological and antioxidant performance of seedlings. This study aimed to evaluate the effects of stress attenuators on the tolerance and antioxidant activity of watermelon Citrullus lanatus (Thunb.) Matsum & Nakai cultivars under saline conditions. The study was conducted in two stages. In the first stage, a 3 × 6 factorial scheme was used to evaluate three salinity levels (0, −0.2, and −0.4 MPa) and six watermelon cultivars. In the second stage, in a 2 × 6 factorial scheme, two cultivars (sensitive and tolerant) were subjected to the combination of salinity (−0.4 MPa) and attenuators: hydropriming, gibberellic acid, salicylic acid, and hydrogen peroxide. Physiological and biochemical traits were evaluated, including hydrogen peroxide content, lipid peroxidation, and the activity of the enzymes, superoxide dismutase, catalase, and ascorbate peroxidase. Salinity reduced germination and seedling vigor, with Crimson Sweet, Charleston Gray, and Charleston Super being the most sensitive cultivars, whereas Congo and Omaru exhibited greater tolerance, and Fairfax also showed good performance under saline conditions. The selection of cultivars for the second stage was based not only on physiological tolerance but also on agronomic and commercial relevance, including post-harvest resistance traits. Seed treatment of Crimson Sweet with salicylic acid and hydrogen peroxide increased antioxidant enzyme activity, with increases of up to 103% in ascorbate peroxidase activity, and reduced oxidative damage, with reductions of 44% in hydrogen peroxide and 49% in malondialdehyde levels. In Fairfax, gibberellic acid contributed to osmotic adjustment, promoting increase of up to 76% in total soluble sugars, while pre-germinative treatment with salicylic acid and hydrogen peroxide promoted higher enzyme activity, contributing to the reduction of oxidative stress. Full article
(This article belongs to the Special Issue Stress-Tolerant Crops for Future Agriculture)
Show Figures

Figure 1

20 pages, 3635 KB  
Article
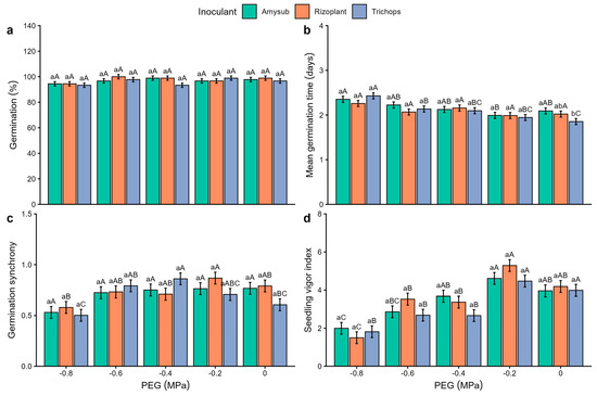
Microbial Bio-Inoculation Effects on the Seed Germination Dynamics and Field Performance of Pea (Pisum sativum L.) Under Osmotic Stress and Fertilization in the Amazonas Region of Peru
by Francisco Guevara-Fernández, Sebastian Casas-Niño, Milagros Ninoska Munoz-Salas, Wagner Meza-Maicelo, Manuel Oliva-Cruz and Flavio Lozano-Isla
AgriEngineering 2026, 8(4), 155; https://doi.org/10.3390/agriengineering8040155 - 10 Apr 2026
Viewed by 293
Abstract
Microbial bio-inoculants have been proposed as management tools to enhance crop performance under variable environmental conditions; however, their effectiveness is often influenced by site-specific factors. This study evaluated the effects of bio-inoculation on seed germination and seedling vigor of pea under osmotic stress [...] Read more.
Microbial bio-inoculants have been proposed as management tools to enhance crop performance under variable environmental conditions; however, their effectiveness is often influenced by site-specific factors. This study evaluated the effects of bio-inoculation on seed germination and seedling vigor of pea under osmotic stress induced by polyethylene glycol (PEG 6000), and its interaction with two fertilization levels (75% and 100% of the recommended dose) under field conditions in the Amazonas region of Peru. Under laboratory conditions, germination percentage remained high across all treatments (93.3–100%) and was not affected by bio-inoculation or osmotic potential; however, osmotic stress altered germination dynamics, increasing mean germination time from 1.85–2.09 days at 0 MPa to 2.26–2.43 days at −0.8 MPa, while germination synchrony and seedling vigor decreased as stress increased. The seedling vigor index reached maximum values at −0.2 MPa (4.47–5.29) and declined at −0.8 MPa (1.50–2.00), and multivariate analyses showed that variation in germination responses was mainly associated with germination timing and vigor rather than seed viability. Under field conditions, no significant effects of fertilization level, microbial bio-inoculation, or their interaction were detected on agronomic traits or yield, although variability between locations was observed; plant height ranged from 38.5–46.3 cm in Lamud and from 100.6–108.3 cm in Molinopampa, while grain yield varied from 698–1846 kg/ha and 8771–9919 kg/ha, respectively. Overall, environmental conditions exerted a stronger influence than microbial bio-inoculation on germination dynamics and field productivity, while the findings provide practical guidance for improving pea production with bio-inoculants and optimized fertilization. Full article
(This article belongs to the Section Sustainable Bioresource and Bioprocess Engineering)
Show Figures

Figure 1

20 pages, 4657 KB  
Article
Zinc Oxide Nanoparticles Enhance Vigor of Aged Naked Oat Seeds: Transcriptomic Insights into Antioxidant and Metabolic Reprogramming
by Futian Chen, Yuan Ma, Kuiju Niu, Fangyuan Zhao, Yajiao Zhao, Ruirui Yao, Tao Shao and Huan Liu
Agriculture 2026, 16(8), 842; https://doi.org/10.3390/agriculture16080842 - 10 Apr 2026
Viewed by 416
Abstract
Naked oat (Avena nuda L.) is an important dual-purpose crop for grain and forage in cold regions; however, its high fatty acid content renders seeds prone to deterioration during storage. This study aimed to investigate the protective effects of zinc oxide nanoparticles [...] Read more.
Naked oat (Avena nuda L.) is an important dual-purpose crop for grain and forage in cold regions; however, its high fatty acid content renders seeds prone to deterioration during storage. This study aimed to investigate the protective effects of zinc oxide nanoparticles (ZnO NPs) on artificially aged naked oat seeds and elucidate the underlying molecular mechanisms. Non-aged seeds (Naged) were subjected to artificial aging at 45 °C and 100% relative humidity for 24 h (Aged), followed by priming with 30 mg L−1 ZnO NPs for 6 h (Daged). Antioxidant enzyme activities were determined spectrophotometrically, and transcriptome sequencing was performed on an Illumina platform to identify differentially expressed genes (DEGs) and enriched pathways. We found that ZnO NPs increased catalase (CAT), peroxidase (POD) and superoxide dismutase (SOD) activities by 3–4-fold, restored germination rate from 75% to 98%, and enhanced seed vigor index. A total of 21,403 DEGs were detected, with 15,841 stably expressed in response to nano-priming. Reactive oxygen species (ROS) burst rapidly induced up-regulation of AP2/EREBP transcription factor family members, which subsequently activated antioxidant enzyme genes to maintain cellular redox homeostasis. Metabolic pathway analysis demonstrated that the phenylpropanoid pathway was reprogrammed, characterized by down-regulated lignin biosynthesis and up-regulated flavonoid production, thereby enhancing ROS scavenging capacity. Additionally, the pentose phosphate pathway was activated to provide additional NADPH for antioxidant defense, and up-regulated ADP-glucose pyrophosphorylase (AGPase) facilitated starch accumulation. Notably, the 40S ribosomal protein S13 exhibited the highest connectivity in protein–protein interaction networks, was up-regulated 2.1-fold, and was enriched in post-translational modification processes. These findings suggest that nano-priming with ZnO NPs represents a promising biotechnological strategy for enhancing seed vigor and storability in naked oat, with potential applications in sustainable agriculture and the seed industry. Full article
(This article belongs to the Topic Nano-Enabled Innovations in Agriculture)
Show Figures

Figure 1

15 pages, 1325 KB  
Article
Activity Patterns of Black Bears (Ursus americanus) and Their Relationship with the Enhanced Vegetation Index (EVI) in the El Cielo Biosphere Reserve, Tamaulipas, Mexico
by Jesse R. Wong-Smer, Jorge V. Horta-Vega, Crystian S. Venegas-Barrera, Rogelio Carrera-Treviño, Yuriana Gómez-Ortiz and Leroy Soria-Díaz
Ecologies 2026, 7(2), 34; https://doi.org/10.3390/ecologies7020034 - 9 Apr 2026
Viewed by 400
Abstract
The daily activity patterns of wild animal species are driven by environmental conditions and plant productivity although the degree of dependence varies according to their ecological niche. Bear ecology is intrinsically linked to seasonal vegetative availability. As omnivores with high metabolic demands, these [...] Read more.
The daily activity patterns of wild animal species are driven by environmental conditions and plant productivity although the degree of dependence varies according to their ecological niche. Bear ecology is intrinsically linked to seasonal vegetative availability. As omnivores with high metabolic demands, these species rely heavily on botanical resources including fruits, seeds, and roots. Consequently, differences in primary productivity across the landscape influence how individuals distribute their circadian activity patterns. The Enhanced Vegetation Index (EVI) is a tool that quantifies the quality and vigor of vegetation. Relating the EVI to activity patterns allows us to understand how vegetation dynamics and conditions influence the use of time at different times of the day. This study analyzes the daily activity pattern of the American black bear (Ursus americanus) in the El Cielo Biosphere Reserve (ECBR) using camera traps and its association with spatial variations in the Enhanced Vegetation Index (EVI). The results show that the daily activity pattern of the American black bear in the ECBR exhibits a diurnal–crepuscular tendency. In areas with high primary productivity and higher temperatures, activity occurs before sunrise and at sunset, with low activity during the rest of the day. In contrast, in areas with less vegetation and lower temperatures, activity occurs throughout the day. This suggests that, in the ECBR, the activity pattern of black bears could be modulated by temperature variations related to changes in vegetation productivity. Full article
Show Figures

Figure 1

20 pages, 3595 KB  
Article
Seed Treatment with Selected Trichoderma Isolates Enhances Plantlet Growth and Proline Accumulation in Industrial Hemp (Cannabis sativa L.)
by Stefania Galletti and Stefano Cianchetta
Stresses 2026, 6(2), 17; https://doi.org/10.3390/stresses6020017 - 4 Apr 2026
Viewed by 346
Abstract
Harsh environments and climate change hamper industrial hemp productivity. Under stress conditions, uniform germination and vigorous seedlings are key to sustaining crop establishment and performance. Trichoderma spp. are beneficial micromycetes, able to colonize plant roots and promote plant development even under abiotic stress [...] Read more.
Harsh environments and climate change hamper industrial hemp productivity. Under stress conditions, uniform germination and vigorous seedlings are key to sustaining crop establishment and performance. Trichoderma spp. are beneficial micromycetes, able to colonize plant roots and promote plant development even under abiotic stress conditions. Thus, the seed treatment with specifically selected Trichoderma isolates could be a useful strategy to enhance hemp seed germination and plantlet growth. In this view, a preliminary screening was performed with ‘Eletta campana’ cv. Nine out of 20 Trichoderma isolates enhanced the radicle growth (+66–111%); most of them resulted in good root colonization, but only four isolates significantly enhanced the shoot DW (+18–22%). Three isolates were selected for a pot experiment, compared to T. afroharzianum T22, to evaluate the effect on plant growth, root architecture, accumulation of photosynthetic pigments and stress-related compounds, and variation in antioxidant activity in 20-day-old plantlets. T. afroharzianum OR4 significantly promoted plantlet growth (+9% shoot DW and +11% leaf DW). The seed treatment had a low impact on the other variables studied, except in the case of foliar proline content, a marker of stress tolerance, that was greatly increased with T. afroharzianum T22 and T. atrobrunneum X44 (+32% and +17% DW). Full article
(This article belongs to the Collection Feature Papers in Plant and Photoautotrophic Stresses)
Show Figures

Figure 1

21 pages, 4607 KB  
Article
Functional Differentiation of Indigenous Nostocalean Cyanobacteria: Effects of Biomass and Extracellular Polymeric Substances on Rice Growth and Soil Properties
by Neti Ngearnpat, Supattra Tiche, Narong Wongkantrakorn, Kritsana Duangjan, Kittiya Phinyo and Kritchaya Issakul
Crops 2026, 6(2), 40; https://doi.org/10.3390/crops6020040 - 1 Apr 2026
Viewed by 390
Abstract
The excessive use of chemical fertilizers in rice cultivation has contributed to soil degradation, creating a need for sustainable biological alternatives. This study examined the functional diversity of three indigenous nostocalean cyanobacterial strains (UP1, UP2, and UP3) isolated from forest and paddy field [...] Read more.
The excessive use of chemical fertilizers in rice cultivation has contributed to soil degradation, creating a need for sustainable biological alternatives. This study examined the functional diversity of three indigenous nostocalean cyanobacterial strains (UP1, UP2, and UP3) isolated from forest and paddy field ecosystems by comparing the effects of their cellular biomass and extracellular polymeric substances (EPS) on rice seedling growth and soil properties. Morphological observations and partial 16S rRNA sequence analysis indicated that strains UP1 and UP2 were affiliated with the genus Ahomia, whereas UP3 was placed within the genus Nostoc. Together, these results placed all three isolates within the heterocystous cyanobacterial order Nostocales. The strains were further characterized based on EPS production and its degree of polymerization. Seed germination and seedling vigor assays were conducted to select the most effective biomass and EPS treatments, which were subsequently evaluated in 21-day pot experiments. Fresh biomass from strain UP2 most effectively enhanced rice growth, whereas EPS from strain UP3 promoted root development. EPS application from strain UP3 significantly increased root elongation to 13.44 cm, while high biomass levels of UP2 increased total sugar and free amino acid contents, indicating distinct plant response patterns. Soil analyses revealed differential responses between biomass- and EPS-based applications, with biomass generally producing stronger effects. Biomass from all strains was associated with higher physical soil function index (PSFI) values (up to 1.35). In contrast, improvements in chemical soil function index (CSFI) were observed across treatments, with variable responses and relatively higher values recorded in biomass from strain UP3 (up to 1.24). These findings suggest strain- and form-dependent response patterns of nostocalean cyanobacteria with potential for enhancing rice growth and improving soil functionality under the controlled conditions. Full article
(This article belongs to the Special Issue Soil Fertility Management in Crop Production)
Show Figures

Figure 1

20 pages, 5100 KB  
Article
Effect of Lecithin and SiO2 NPs Seed Treatment on Seed Germination, Seedling Growth, and Antioxidant Response of Fragrant Rice
by Chunping Chen, Yuan Zhou, Xuexue Liu, Jiayue Wang, Yunxuan Deng and Zhaowen Mo
Agriculture 2026, 16(7), 763; https://doi.org/10.3390/agriculture16070763 - 30 Mar 2026
Viewed by 344
Abstract
Low-temperature stress adversely impairs rice germination and seedling establishment. This study assessed a nano-bio-priming strategy using lecithin (L) and silicon dioxide nanoparticles (SiO2 NPs) to enhance chilling tolerance. Two fragrant rice cultivars (Xiangyaxiangzhan and Meixiangzhan 2) were primed with six combinations of [...] Read more.
Low-temperature stress adversely impairs rice germination and seedling establishment. This study assessed a nano-bio-priming strategy using lecithin (L) and silicon dioxide nanoparticles (SiO2 NPs) to enhance chilling tolerance. Two fragrant rice cultivars (Xiangyaxiangzhan and Meixiangzhan 2) were primed with six combinations of lecithin (0, 50, and 100 μmol·L−1, denoted as L0, L1, and L2) and SiO2 NPs (0 and 100 mg·L−1, denoted as S0 and S1) and exposed to optimal temperature (25 °C) or low-temperature stress (15 °C). Low-temperature stress delayed germination onset by two days. Combined priming treatments L1S1 and L2S1 significantly alleviated this inhibitory effect. Crucially, cultivar-specific responses were evident in Meixiangzhan 2, where L1S1 increased the germination vigor index by 50.97%. Meanwhile, the effect was less pronounced or inhibitory at normal temperature in Xiangyaxiangzhan. Priming substantially enhanced seedling growth, and L2S1 maximally increased root and shoot length in Meixiangzhan 2 by 55.30% and 15.82%, respectively. Furthermore, biomass accumulation was strongly promoted. L1S1 increased total dry weight and total fresh weight in Meixiangzhan 2 by 19.64% and 23.48%, respectively. Physiologically, priming elevated chlorophyll and carotenoid contents upregulated the activities of superoxide dismutase (SOD), peroxidase (POD), and catalase (CAT), and increased levels of soluble protein and ascorbate (AsA), while maintaining nitrate reductase (NR) activity and hydrogen peroxide (H2O2) homeostasis. These physiological improvements were positively correlated with enhanced growth. Our findings demonstrate that co-priming with lecithin and SiO2 NPs is a potent strategy for enhancing low-temperature tolerance, with efficacy depending on both the treatment combination and rice genotype. Full article
(This article belongs to the Section Crop Production)
Show Figures

Figure 1

20 pages, 3342 KB  
Article
Strain-Specific Microalgal and Cyanobacterial Suspensions Modulate Germination Kinetics and Early Seedling Vigor in Cucumber
by Prabhaharan Renganathan, Alsu Yakupova, Artyom Filippov, Irina Larionova, Rezeda Sushchenko, Alfia Mufazalova, Liliia Khilazhetdinova, Kamilla Gaysina and Lira A. Gaysina
Horticulturae 2026, 12(4), 414; https://doi.org/10.3390/horticulturae12040414 - 27 Mar 2026
Viewed by 424
Abstract
Microalgal and cyanobacterial biostimulants are increasingly recognized as sustainable tools for enhancing crop establishment and reducing dependence on synthetic agrochemicals. However, the strain-specific effects of many taxa on seed germination and early seedling development remain insufficiently characterized. This study evaluated the effects of [...] Read more.
Microalgal and cyanobacterial biostimulants are increasingly recognized as sustainable tools for enhancing crop establishment and reducing dependence on synthetic agrochemicals. However, the strain-specific effects of many taxa on seed germination and early seedling development remain insufficiently characterized. This study evaluated the effects of seven microalgal and cyanobacterial suspensions on the germination kinetics and early seedling vigor of cucumber (Cucumis sativus L.). Several strains significantly accelerated germination and enhanced seedling performance relative to the control. Treatment with Coelastrella rubescens BCAC 301 S39, Scotinosphaera lemnae BCAC 113, Vischeria magna UTEX 2351, and Anabaena sp. IT4 significantly reduced mean germination time from 4.50 d to 2.23–2.29 d and advanced the time to 50% germination (T50) from 4.0 to 2.0–2.1 d. These treatments also increased the germination index from 48.32 to 78.17–100.67 and enhanced seedling traits, including root length (32–53%), shoot length (≈29%), leaf length (17–21%), and fresh (30–43%) and dry biomasses (12–22%). Correlation analysis revealed strong positive associations between germination indices and seedling vigor parameters, indicating the faster germination promotes early growth. In conclusion, the results demonstrate that specific microalgal strains can function as effective seed-phase biostimulants, offering a sustainable strategy to enhance germination uniformity, early seedling establishment, and crop productivity. Full article
(This article belongs to the Topic Applications of Biotechnology in Food and Agriculture)
Show Figures

Figure 1

24 pages, 4058 KB  
Article
Physiological Effects of Natural and Artificial Aging of Desert Short-Lived Forage Species and Restoration by Gibberellic Acid Priming
by Jing Zhao, Yi Ding, Sumera Anwar, Xuheng Zhao, Min Zhou, Zhihua Sun and Hongsu He
Plants 2026, 15(7), 1008; https://doi.org/10.3390/plants15071008 - 25 Mar 2026
Viewed by 405
Abstract
Seed aging is a major constraint for plant establishment in arid and semi-arid ecosystems, where poor seed vigor directly limits species persistence and restoration success. Desert species are particularly vulnerable to storage- and stress-induced deterioration, yet practical strategies to recover germination capacity in [...] Read more.
Seed aging is a major constraint for plant establishment in arid and semi-arid ecosystems, where poor seed vigor directly limits species persistence and restoration success. Desert species are particularly vulnerable to storage- and stress-induced deterioration, yet practical strategies to recover germination capacity in aged seeds remain limited. This study aimed to quantify aging-induced losses in germination performance and to evaluate whether exogenous gibberellic acid (GA3) can partially restore seed vigor through physiological, biochemical, and hormonal regulation. Fresh seeds (FS), naturally aged (NA), and artificially aged (AA) seeds of four desert species (Salsola affinis C.A.Mey., Trigonella arcuata C.A.Mey., Ceratocarpus arenarius L., and Alyssum desertorum Stapf) were exposed to graded GA3 concentrations (0–500 mg L−1). Germination indices (GP, GR, GI, VI), antioxidant enzymes (SOD, POD, CAT), lipid peroxidation (MDA), phytohormones (IAA, ABA, cytokinins), and multivariate trait relationships were assessed. Without GA3, NA reduced germination potential by 22.8–33.6%, while AA caused more severe losses of 42.4–67.8%, depending on species. Germination rate declined by 15.7–32.5% under NA and 36.4–65.2% under AA. GA3 application improved all germination indices up to 200 mg L−1 (GA200), which increased GP by 22.8–32.0% and vitality index by 17.0–28.5% compared with GA0, whereas GA500 showed diminishing returns. Aging suppressed antioxidant enzymes by 15–20% (NA) and 30–45% (AA) and increased MDA by up to 50%, while GA200 enhanced SOD, POD, and CAT and reduced MDA by 8–18%. Aging also reduced IAA and cytokinins (~28–50%) and increased ABA (27.7–77.4%), with GA200 partially restoring hormonal balance. In conclusion, GA3 at an optimal dose (200 mg L−1) partially reverses aging-induced physiological and hormonal constraints, improving germination and vigor, although recovery remains limited under advanced deterioration. Full article
(This article belongs to the Section Plant Physiology and Metabolism)
Show Figures

Figure 1

16 pages, 6641 KB  
Article
Zn- and Cu-Doped MnFe2O4 Nanofertilizer: Synthesis, Characterization, and Their Role in Enhancing Fenugreek (Trigonella foenum-graecum) Growth
by Dipali R. Ingavale, Vithoba L. Patil, Chaitany Jayprakash Raorane, Sagar M. Mane and Panditrao D. Shiragave
Nanomaterials 2026, 16(7), 392; https://doi.org/10.3390/nano16070392 - 24 Mar 2026
Viewed by 289
Abstract
Micronutrient deficiencies and low nutrient-use efficiency remain critical constraints to sustainable crop production. This study tested the hypothesis that Zn- and Cu-doped MnFe2O4 spinel ferrite nanoparticles can function as an efficient multinutrient nanofertilizer to enhance fenugreek (Trigonella foenum-graecum L.) [...] Read more.
Micronutrient deficiencies and low nutrient-use efficiency remain critical constraints to sustainable crop production. This study tested the hypothesis that Zn- and Cu-doped MnFe2O4 spinel ferrite nanoparticles can function as an efficient multinutrient nanofertilizer to enhance fenugreek (Trigonella foenum-graecum L.) growth and physiological performance. Zn- and Cu-doped MnFe2O4 nanoparticles were synthesized via a sol–gel method and characterized using X-ray diffraction (XRD), scanning electron microscopy (SEM), and energy-dispersive X-ray spectroscopy (EDS). The nanoparticles exhibited a cubic spinel structure with an average crystallite size of 27 nm and uniform incorporation of Zn and Cu within the MnFe2O4 lattice. Foliar application at different concentrations (100–500 mg/L) significantly improved seed germination, seed vigor, plant height, leaf number, stem thickness, biomass accumulation, and chlorophyll content compared with the untreated control. The 300 mg/L treatment consistently produced the greatest improvements, increasing plant height, biomass, and total chlorophyll content by more than 25–40% relative to control plants. Higher concentrations of T5 resulted in diminished benefits, indicating a concentration-dependent response. These findings demonstrate that Zn- and Cu-doped MnFe2O4 nanofertilizer provides a balanced and bioavailable source of essential micronutrients, offering a promising nano-enabled strategy for improving nutrient use efficiency and sustainable fenugreek production. Full article
(This article belongs to the Special Issue The Role of Nanomaterials in Soils and Plants)
Show Figures

Figure 1

11 pages, 2979 KB  
Article
First Report of Viviparity in Seeds of the Physically Dormant Species Hymenaea martiana (Fabaceae)
by Joyce Naiara da Silva, Guilherme Vinícius Gonçalves de Pádua, Caroline Marques Rodrigues, Eduardo Luã Fernandes da Silva, Aline das Graças Souza and Edna Ursulino Alves
Seeds 2026, 5(2), 19; https://doi.org/10.3390/seeds5020019 - 22 Mar 2026
Viewed by 379
Abstract
Viviparity is rarely reported in species with seed physical dormancy. This is because physical dormancy, common in tropical trees, results from the impermeability of the seed tegument to water and regulates the timing of germination. Records of germination within the fruit in such [...] Read more.
Viviparity is rarely reported in species with seed physical dormancy. This is because physical dormancy, common in tropical trees, results from the impermeability of the seed tegument to water and regulates the timing of germination. Records of germination within the fruit in such species suggest greater functional plasticity than traditionally assumed. This study reports and quantifies viviparity in Hymenaea martiana seeds over four consecutive years (2019–2022) and assessed seed dormancy status through vigor tests. Sixty fruits were collected annually, and viviparity was estimated as the proportion of fruits containing at least one seed with radicle protrusion. Non-viviparous seeds were subjected to emergence tests with and without mechanical scarification, and cumulative emergence, percentages of dead and water-impermeable seeds, and seed water content were evaluated. Viviparity occurred consistently, affecting approximately 10–15% of the fruits, with no significant differences between years, indicating that the phenomenon was not associated with extreme environmental events. However, early germination did not result in seedling establishment because the emerging roots dehydrated while still inside the fruit. Mechanical scarification significantly increased emergence, confirming the presence of seed physical dormancy. These results show that, although viviparity was observed recurrently in the studied population of H. martiana, seed physical dormancy remains the main mechanism controlling germination in this species. Full article
(This article belongs to the Special Issue Technological Advances in Seed Quality)
Show Figures

Figure 1

Back to TopTop