Sign in to use this feature.

Years

Between: -

Subjects

remove_circle_outline
remove_circle_outline
remove_circle_outline
remove_circle_outline
remove_circle_outline
remove_circle_outline
remove_circle_outline
remove_circle_outline

Journals

Article Types

Countries / Regions

Search Results (16)

Search Parameters:
Keywords = second grade nanofluid

Order results
Result details
Results per page
Select all
Export citation of selected articles as:
25 pages, 1007 KB  
Article
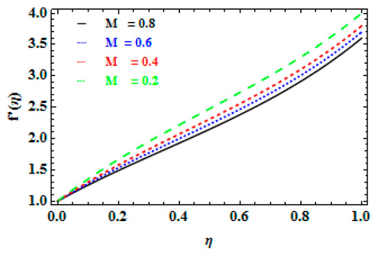
Impact of Cattaneo–Christov Fluxes on Bio-Convective Flow of a Second-Grade Hybrid Nanofluid in a Porous Medium
by Mapule Pheko, Sicelo P. Goqo, Salma Ahmedai and Letlhogonolo Moleleki
AppliedMath 2025, 5(4), 180; https://doi.org/10.3390/appliedmath5040180 - 12 Dec 2025
Viewed by 174
Abstract
This paper investigates the flow of a second-grade hybrid nanofluid through a Darcy–Forchheimer porous medium under Cattaneo–Christov heat and mass flux models. The hybrid nanofluid, composed of alumina and copper nanoparticles in water, enhances thermal and mass transport, while the second-grade model captures [...] Read more.
This paper investigates the flow of a second-grade hybrid nanofluid through a Darcy–Forchheimer porous medium under Cattaneo–Christov heat and mass flux models. The hybrid nanofluid, composed of alumina and copper nanoparticles in water, enhances thermal and mass transport, while the second-grade model captures viscoelastic effects, and the Darcy–Forchheimer medium accounts for both linear and nonlinear drag. Using similarity transformations and the spectral quasilinearisation method, the nonlinear governing equations are solved numerically and validated against benchmark results. The results show that hybrid nanoparticles significantly boost heat and mass transfer, while Cattaneo–Christov fluxes delay thermal and concentration responses, reducing the near-wall temperature and concentration. The distributions of velocity, temperature, concentration, and microorganism density are markedly affected by porosity, the Forchheimer number, the bio-convection Peclet number, and relaxation times. The results illustrate that hybrid nanoparticles significantly increase heat and mass transfer, whereas thermal and concentration relaxation factors delay energy and species diffusion, thickening the associated boundary layers. Viscoelasticity, porous medium resistance, Forchheimer drag, and bio-convection all have an influence on flow velocity and transfer rates, highlighting the subtle link between these mechanisms. These breakthroughs may be beneficial in establishing and enhancing bioreactors, microbial fuel cells, geothermal systems, and other applications that need hybrid nanofluids and non-Fourier/non-Fickian transport. Full article
(This article belongs to the Special Issue Advanced Mathematical Modeling, Dynamics and Applications)
Show Figures

Figure 1

16 pages, 6962 KB  
Article
A Model Development for Thermal and Solutal Transport Analysis of Non-Newtonian Nanofluid Flow over a Riga Surface Driven by a Waste Discharge Concentration
by Javali Kotresh Madhukesh, Vinutha Kalleshachar, Chandan Kumar, Umair Khan, Kallur Venkat Nagaraja, Ioannis E. Sarris, El-Sayed M. Sherif, Ahmed M. Hassan and Jasgurpreet Singh Chohan
Water 2023, 15(16), 2879; https://doi.org/10.3390/w15162879 - 9 Aug 2023
Cited by 43 | Viewed by 2899
Abstract
Wastewater discharge plays a vital role in environmental management and various industries. Water pollution control and tracking are critical for conserving water resources and maintaining adherence to environmental standards. Therefore, the present analysis examines the impact of pollutant discharge concentration considering the non-Newtonian [...] Read more.
Wastewater discharge plays a vital role in environmental management and various industries. Water pollution control and tracking are critical for conserving water resources and maintaining adherence to environmental standards. Therefore, the present analysis examines the impact of pollutant discharge concentration considering the non-Newtonian nanoliquids over a permeable Riga surface with thermal radiation. The analysis is made using two distinct kinds of non-Newtonian nanoliquids: second-grade and Walter’s liquid B. The governing equations are made using the applications of boundary layer techniques. Utilizing the suitable similarity variable reduces the formulated governing equations into an ordinary differential set of equations. The solutions will be obtained using an efficient numerical technique and the significance of various dimensionless constraints on their individual profiles will be presented using graphical illustrations. A comparative analysis is reported for second-grade and Walter’s liquid B fluids. The results show that the porous factor declines the velocity profile for both fluids. Radiation and external pollutant source variation constraints will improve thermal and concentration profiles. The rate of thermal distribution improved with the rise in radiation and solid volume factors. Further, essential engineering factors are analyzed. The outcomes of the present study will help in making decisions and putting efficient plans in place to reduce pollution and safeguard the environment. Full article
Show Figures

Figure 1

15 pages, 368 KB  
Article
Exact Solutions for Non-Isothermal Flows of Second Grade Fluid between Parallel Plates
by Evgenii S. Baranovskii
Nanomaterials 2023, 13(8), 1409; https://doi.org/10.3390/nano13081409 - 19 Apr 2023
Cited by 28 | Viewed by 1974
Abstract
In this paper, we obtain new exact solutions for the unidirectional non-isothermal flow of a second grade fluid in a plane channel with impermeable solid walls, taking into account the fluid energy dissipation (mechanical-to-thermal energy conversion) in the heat transfer equation. It is [...] Read more.
In this paper, we obtain new exact solutions for the unidirectional non-isothermal flow of a second grade fluid in a plane channel with impermeable solid walls, taking into account the fluid energy dissipation (mechanical-to-thermal energy conversion) in the heat transfer equation. It is assumed that the flow is time-independent and driven by the pressure gradient. On the channel walls, various boundary conditions are stated. Namely, we consider the no-slip conditions, the threshold slip conditions, which include Navier’s slip condition (free slip) as a limit case, as well as mixed boundary conditions, assuming that the upper and lower walls of the channel differ in their physical properties. The dependence of solutions on the boundary conditions is discussed in some detail. Moreover, we establish explicit relationships for the model parameters that guarantee the slip (or no-slip) regime on the boundaries. Full article
(This article belongs to the Special Issue Advances of Nanoscale Fluid Mechanics)
Show Figures

Figure 1

26 pages, 6637 KB  
Article
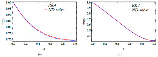
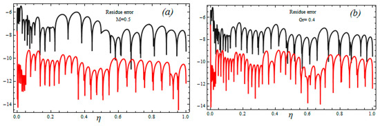
A Numerical Framework for Entropy Generation Using Second-Order Nanofluid Thin Film Flow over an Expanding Sheet: Error Estimation and Stability Analysis
by Zeeshan, Attaullah, N. Ameer Ahammad, Nehad Ali Shah and Jae Dong Chung
Mathematics 2023, 11(5), 1078; https://doi.org/10.3390/math11051078 - 21 Feb 2023
Cited by 13 | Viewed by 1773
Abstract
Thin film flow (TFF) problems received a lot of attention in recent times. Some frequent applications of TFF include polymer and metal extraction, elastic sheet drawing, food striating, heat exchanges, and device fluidization. Further improvement and enhancement of TFF need to be examined [...] Read more.
Thin film flow (TFF) problems received a lot of attention in recent times. Some frequent applications of TFF include polymer and metal extraction, elastic sheet drawing, food striating, heat exchanges, and device fluidization. Further improvement and enhancement of TFF need to be examined due to its practical applications. In the current analysis, viscoelastic nanofluid thin film flow through the vertical expanding sheet in the presence of a magnetic field with entropy function has been examined. The governing equations are transformed to first-order ODEs through similarity transformation and then solved numerically by using RK4 along with the shooting technique and ND Solve method. The impact of embedded parameters is discussed using graphs and tables. Physical quantities of interest are also discussed in detail. For the numerical solution, the error estimation and the residue error are calculated for the stability and confirmation of the mathematical model. Full article
Show Figures

Figure 1

22 pages, 7648 KB  
Article
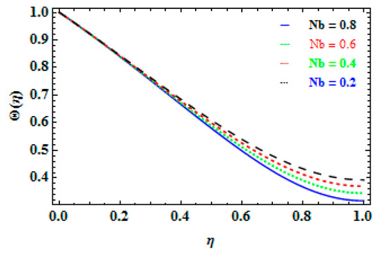
Significance of Thermal Phenomena and Mechanisms of Heat Transfer through the Dynamics of Second-Grade Micropolar Nanofluids
by Aziz Ullah Awan, N. Ameer Ahammad, Bagh Ali, ElSayed M. Tag-ElDin, Kamel Guedri and Fehmi Gamaoun
Sustainability 2022, 14(15), 9361; https://doi.org/10.3390/su14159361 - 30 Jul 2022
Cited by 3 | Viewed by 1893
Abstract
Due to their unique microstructures, micropolar fluids have attracted enormous attention due to their potential for industrial application, including convective heat and mass transfer polymer production and the rigid and random cooling of particles for metallic sheets. In this context, a micropolar second-grade [...] Read more.
Due to their unique microstructures, micropolar fluids have attracted enormous attention due to their potential for industrial application, including convective heat and mass transfer polymer production and the rigid and random cooling of particles for metallic sheets. In this context, a micropolar second-grade fluid flow over a vertical Riga plate is investigated for hidden microstructures. The novelty of the flow model allows us to explore the significance of Brownian motion and thermophoresis on the dynamics of non-Newtonian fluid. A mathematical model is developed under the flow assumptions for micropolar second-grade fluid over a vertical Riga plate of PDEs, reducing them into ODEs by invoking similarity techniques. The acquired system of non-linear ODEs is elucidated numerically using bvp4c methodology. Furthermore, comparative tables are generated to confirm the bvp4c technique, ensuring the accuracy of our numerical approach. This rheological study of micropolar second-grade fluid suggests that temperature distribution increases due to variations in the micropolar parameter (K), Eckert number (Ec), and the thermophoresis parameter (Nt), and the concentration distribution (Φ(η)) keeps rising against the boosting values of Brownian motion (Nb); however, the inverse trend is noted against thermophoresis (Nt). Full article
Show Figures

Figure 1

14 pages, 3271 KB  
Article
Computational Analysis of Nanoparticle Shapes on Hybrid Nanofluid Flow Due to Flat Horizontal Plate via Solar Collector
by Muhammad Imran, Sumeira Yasmin, Hassan Waqas, Shan Ali Khan, Taseer Muhammad, Nawa Alshammari, Nawaf N. Hamadneh and Ilyas Khan
Nanomaterials 2022, 12(4), 663; https://doi.org/10.3390/nano12040663 - 16 Feb 2022
Cited by 32 | Viewed by 3379
Abstract
The present work discusses the 2D unsteady flow of second grade hybrid nanofluid in terms of heat transfer and MHD effects over a stretchable moving flat horizontal porous plate. The entropy of system is taken into account. The magnetic field and the Joule [...] Read more.
The present work discusses the 2D unsteady flow of second grade hybrid nanofluid in terms of heat transfer and MHD effects over a stretchable moving flat horizontal porous plate. The entropy of system is taken into account. The magnetic field and the Joule heating effects are also considered. Tiny-sized nanoparticles of silicon carbide and titanium oxide dispersed in a base fluid, kerosene oil. Furthermore, the shape factors of tiny-sized particles (sphere, bricks, tetrahedron, and platelets) are explored and discussed in detail. The mathematical representation in expressions of PDEs is built by considering the heat transfer mechanism owing to the effects of Joule heating and viscous dissipation. The present set of PDEs (partial differential equations) are converted into ODEs (ordinary differential equations) by introducing suitable transformations, which are then resolved with the bvp4c (shooting) scheme in MATLAB. Graphical expressions and numerical data are obtained to scrutinize the variations of momentum and temperature fields versus different physical constraints. Full article
Show Figures

Figure 1

23 pages, 1126 KB  
Article
Heat and Mass Transfer Impact on Differential Type Nanofluid with Carbon Nanotubes: A Study of Fractional Order System
by Fatima Javed, Muhammad Bilal Riaz, Nazish Iftikhar, Jan Awrejcewicz and Ali Akgül
Fractal Fract. 2021, 5(4), 231; https://doi.org/10.3390/fractalfract5040231 - 18 Nov 2021
Cited by 7 | Viewed by 2490
Abstract
This paper is an analysis of flow of MHD CNTs of second grade nano-fluid under the influence of first order chemical reaction, suction, thermal generation and magnetic field. The fluid is flowing through a porous medium. For the study of heat and mass [...] Read more.
This paper is an analysis of flow of MHD CNTs of second grade nano-fluid under the influence of first order chemical reaction, suction, thermal generation and magnetic field. The fluid is flowing through a porous medium. For the study of heat and mass transfer, we applied the newly introduced differential operators to model such flow. The equations for heat, mass and momentum are established in the terms of Caputo (C), Caputo–Fabrizio (CF) and Atangana–Baleanu in Caputo sense (ABC) fractional derivatives. This shows the novelty of this work. The equations for heat, mass and momentum are established in the terms of Caputo (C), Caputo–Fabrizio (CF) and Atangana–Baleanu in Caputo sense (ABC) fractional derivatives. The solutions are evaluated by employing Laplace transform and inversion algorithm. The flow in momentum profile due to variability in the values of parameters are graphically illustrated among C, CF and ABC models. It is concluded that fluid velocity showed decreasing behavior for χ, P, 2, Mo, Pr, and Sc while it showed increasing behavior for Gr, Gm, κ and Ao. Moreover, ABC fractional operator presents larger memory effect than C and CF fractional operators. Full article
(This article belongs to the Special Issue Fractional Vibrations: Theory and Applications)
Show Figures

Figure 1

18 pages, 10171 KB  
Article
Impact of Binary Chemical Reaction and Activation Energy on Heat and Mass Transfer of Marangoni Driven Boundary Layer Flow of a Non-Newtonian Nanofluid
by Ramanahalli Jayadevamurthy Punith Gowda, Rangaswamy Naveen Kumar, Anigere Marikempaiah Jyothi, Ballajja Chandrappa Prasannakumara and Ioannis E. Sarris
Processes 2021, 9(4), 702; https://doi.org/10.3390/pr9040702 - 16 Apr 2021
Cited by 220 | Viewed by 7120
Abstract
The flow and heat transfer of non-Newtonian nanofluids has an extensive range of applications in oceanography, the cooling of metallic plates, melt-spinning, the movement of biological fluids, heat exchangers technology, coating and suspensions. In view of these applications, we studied the steady Marangoni [...] Read more.
The flow and heat transfer of non-Newtonian nanofluids has an extensive range of applications in oceanography, the cooling of metallic plates, melt-spinning, the movement of biological fluids, heat exchangers technology, coating and suspensions. In view of these applications, we studied the steady Marangoni driven boundary layer flow, heat and mass transfer characteristics of a nanofluid. A non-Newtonian second-grade liquid model is used to deliberate the effect of activation energy on the chemically reactive non-Newtonian nanofluid. By applying suitable similarity transformations, the system of governing equations is transformed into a set of ordinary differential equations. These reduced equations are tackled numerically using the Runge–Kutta–Fehlberg fourth-fifth order (RKF-45) method. The velocity, concentration, thermal fields and rate of heat transfer are explored for the embedded non-dimensional parameters graphically. Our results revealed that the escalating values of the Marangoni number improve the velocity gradient and reduce the heat transfer. As the values of the porosity parameter increase, the velocity gradient is reduced and the heat transfer is improved. Finally, the Nusselt number is found to decline as the porosity parameter increases. Full article
(This article belongs to the Special Issue Microfluidics in Chemical Engineering)
Show Figures

Figure 1

22 pages, 22787 KB  
Article
Cattaneo-Christov Heat Flux Model for Second Grade Nanofluid Flow with Hall Effect through Entropy Generation over Stretchable Rotating Disk
by Muhammad Wakeel Ahmad, Luthais B. McCash, Zahir Shah and Rashid Nawaz
Coatings 2020, 10(7), 610; https://doi.org/10.3390/coatings10070610 - 28 Jun 2020
Cited by 28 | Viewed by 3540
Abstract
The second grade nanofluid flow with Cattaneo-Christov heat flux model by a stretching disk is examined in this paper. The nanofluid flow is characterized with Hall current, Brownian motion and thermophoresis influences. Entropy optimization with nonlinear thermal radiation, Joule heating and heat absorption/generation [...] Read more.
The second grade nanofluid flow with Cattaneo-Christov heat flux model by a stretching disk is examined in this paper. The nanofluid flow is characterized with Hall current, Brownian motion and thermophoresis influences. Entropy optimization with nonlinear thermal radiation, Joule heating and heat absorption/generation is also presented. The convergence of an analytical approach (HAM) is shown. Variation in the nanofluid flow profiles (velocities, thermal, concentration, total entropy, Bejan number) via influential parameters and number are also presented. Radial velocity, axial velocity and total entropy are enhanced with the Weissenberg number. Axial velocity, tangential velocity and Bejan number are heightened with the Hall parameter. The total entropy profile is enhanced with the Brinkman number, diffusion parameter, magnetic parameter and temperature difference. The Bejan number profile is heightened with the diffusion parameter and temperature difference. Arithmetical values of physical quantities are illustrated in Tables. Full article
(This article belongs to the Special Issue Fluid Interfaces)
Show Figures

Figure 1

21 pages, 9442 KB  
Article
Entropy Generation in MHD Second-Grade Nanofluid Thin Film Flow Containing CNTs with Cattaneo-Christov Heat Flux Model Past an Unsteady Stretching Sheet
by Zahir Shah, Ebraheem O. Alzahrani, Abdullah Dawar, Wajdi Alghamdi and Malik Zaka Ullah
Appl. Sci. 2020, 10(8), 2720; https://doi.org/10.3390/app10082720 - 15 Apr 2020
Cited by 42 | Viewed by 3691
Abstract
Entropy generation plays a significant role in several complex processes, extending from cosmology to biology. The entropy generation minimization procedure can be applied for the optimization of mechanical systems including heat exchangers, elements of nuclear and thermal power plants, ventilation and air-conditioning systems. [...] Read more.
Entropy generation plays a significant role in several complex processes, extending from cosmology to biology. The entropy generation minimization procedure can be applied for the optimization of mechanical systems including heat exchangers, elements of nuclear and thermal power plants, ventilation and air-conditioning systems. In order to present our analysis, entropy generation in a thin film flow of second grade nanofluid holding single-walled carbon nanotubes (SWCNTs) and multi-walled carbon nanotubes (MWCNTs) with a Cattaneo–Christov heat flux model is studied in this article. The flow is considered passing a linearly extending surface. A variable magnetic field with aligned angle ε is functioned along the extending sheet. With the aid of the homotopy analysis method (HAM), the fluid flow model is elucidated. The impressions of embedded factors on the flow are obtainable through figures and discussed in detail. It is observed that the velocity profile escalated with the increasing values of volume fraction of nanoparticles and second grade fluid parameter. The higher values of volume fraction of nanoparticles, second grade fluid parameter, non-linear heat source/sink, and thermal radiation parameter intensified the temperature profile. Surface drag force escalated with heightening values of nanoparticles volume fraction, unsteadiness, film thickness, magnetic, and second grade fluid parameters. Entropy generation increased with enhancing values of magnetic parameter, Brinkman number, and Reynolds number. Full article
(This article belongs to the Special Issue Nanofluids Application in Heat Transfer)
Show Figures

Figure 1

18 pages, 1009 KB  
Article
Second Grade Bioconvective Nanofluid Flow with Buoyancy Effect and Chemical Reaction
by Anum Shafiq, Ghulam Rasool, Chaudry Masood Khalique and Sohail Aslam
Symmetry 2020, 12(4), 621; https://doi.org/10.3390/sym12040621 - 14 Apr 2020
Cited by 95 | Viewed by 4211
Abstract
This study mainly concerns with the examination of heat transfer rate, mass and motile micro-organisms for convective second grade nanofluid flow. The considered model comprises of both nanoparticles as well as gyrotactic micro-organisms. Microorganisms stabilize the suspension of nanoparticles by bio-convective flow which [...] Read more.
This study mainly concerns with the examination of heat transfer rate, mass and motile micro-organisms for convective second grade nanofluid flow. The considered model comprises of both nanoparticles as well as gyrotactic micro-organisms. Microorganisms stabilize the suspension of nanoparticles by bio-convective flow which is generated by the combined effects of nanoparticles and buoyancy forces. The Brownian motion and thermophoretic mechanisms along with Newtonian heating are also considered. Appropriately modified transformations are invoked to get a non-linear system of differential equations. The resulting problems are solved using a numerical scheme. Velocity field, thermal and solute distributions and motile micro-organism density are discussed graphically. Wall-drag (skin-friction) coefficient, Nusselt, Sherwood and motile micro-organisms are numerically examined for various parameters. The outcomes indicate that for a larger Rayleigh number, the bio-convection restricts the upward movement of nanoparticles that are involved in nanofluid for the given buoyancy effect. Furthermore, larger buoyancy is instigated which certainly opposes the fluid flow and affects the concentration. For a larger values of fluid parameter, the fluid viscosity faces a decline and certainly less restriction is faced by the fluid. In both assisting and opposing cases, we notice a certain rise in fluid motion. Thermal layer receives enhancement for larger values of Brownian diffusion parameter. The random motion for stronger Brownian impact suddenly raises which improves the heat convection and consequently thermal distribution receives enhancement. Thermal distribution receives enhancement for a larger Lewis number whereas the decline is noticed in concentration distribution. The larger Rayleigh number results in a strong buoyancy force that effectively increases the fluid temperature. This also increases the concentration difference, thus more nanoparticles transport between surface and micro-organisms. Furthermore, for larger (Nb), the thermal state of fluid receives enhancement while a decline in motile density is observed. Numerical results show that mass flux is an enhancing function of both the (Le) and (Nb). Full article
Show Figures

Figure 1

19 pages, 7206 KB  
Article
A Numerical Exploration of Modified Second-Grade Nanofluid with Motile Microorganisms, Thermal Radiation, and Wu’s Slip
by Yurong Li, Hassan Waqas, Muhammad Imran, Umar Farooq, Fouad Mallawi and Iskander Tlili
Symmetry 2020, 12(3), 393; https://doi.org/10.3390/sym12030393 - 3 Mar 2020
Cited by 115 | Viewed by 4557
Abstract
This study is carried out to scrutinize the gyrotactic bioconvection effects on modified second-grade nanofluid with motile microorganisms and Wu’s slip (second-order slip) features. The activation energy and thermal radiation are also incorporated. The suspended nanoparticles in a host fluid are practically utilized [...] Read more.
This study is carried out to scrutinize the gyrotactic bioconvection effects on modified second-grade nanofluid with motile microorganisms and Wu’s slip (second-order slip) features. The activation energy and thermal radiation are also incorporated. The suspended nanoparticles in a host fluid are practically utilized in numerous technological and industrial products such as metallic strips, energy enhancement, production processes, automobile engines, laptops, and accessories. Nanoparticles with high thermal characteristics and low volume fraction may improve the thermal performance of the base fluid. By employing the appropriate self-similar transformations, the governing set of partial differential equations (PDEs) are reduced into the ordinary differential equations (ODEs). A zero mass flux boundary condition is proposed for nanoparticle diffusion. Then, the transmuted set of ODEs is solved numerically with the help of the well-known shooting technique. The numerical and graphical illustrations are developed by using a collocation finite difference scheme and three-stage Lobatto III as the built-in function of the bvp4c solver via MATLAB. Behaviors of the different proficient physical parameters on the velocity field, temperature distribution, volumetric nanoparticles concentration profile, and the density of motile microorganism field are deliberated numerically as well as graphically. Full article
(This article belongs to the Special Issue Future and Prospects in Non-Newtonian and Nanofluids)
Show Figures

Figure 1

17 pages, 4866 KB  
Article
Utilization of Second Order Slip, Activation Energy and Viscous Dissipation Consequences in Thermally Developed Flow of Third Grade Nanofluid with Gyrotactic Microorganisms
by Zahra Abdelmalek, Sami Ullah Khan, Hassan Waqas, Hossam A. Nabwey and Iskander Tlili
Symmetry 2020, 12(2), 309; https://doi.org/10.3390/sym12020309 - 21 Feb 2020
Cited by 48 | Viewed by 3905
Abstract
In recent decades, an interest has been developed towards the thermal consequences of nanofluid because of utilization of nano-materials to improve the thermal conductivity of traditional liquid and subsequently enhance the heat transportation phenomenon. Following this primarily concept, this current work investigates the [...] Read more.
In recent decades, an interest has been developed towards the thermal consequences of nanofluid because of utilization of nano-materials to improve the thermal conductivity of traditional liquid and subsequently enhance the heat transportation phenomenon. Following this primarily concept, this current work investigates the thermal developed flow of third-grade nanofluid configured by a stretched surface with additional features of activation energy, viscous dissipation and second-order slip. Buongiorno’s nanofluid model is used to explore the thermophoresis and Brownian motion features based on symmetry fundamentals. It is further assumed that the nanoparticles contain gyrotactic microorganisms, which are associated with the most fascination bioconvection phenomenon. The flow problem owing to the partial differential equations is renovated into dimensional form, which is numerically simulated with the help of bvp4c, by using MATLAB software. The aspects of various physical parameters associated to the current analysis are graphically examined against nanoparticles’ velocity, temperature, concentration and gyrotactic microorganisms’ density distributions. Further, the objective of local Nusselt number, local Sherwood number and motile density number are achieved numerically with variation of various parameters. The results presented here may find valuable engineering applications, like cooling liquid metals, solar systems, power production, solar energy, thermal extrusion systems cooling of machine equipment, transformer oil and microelectronics. Further, flow of nanoparticles containing gyrotactic microorganisms has interesting applications in microbial fuel cells, microfluidic devices, bio-technology and enzyme biosensors. Full article
(This article belongs to the Special Issue Future and Prospects in Non-Newtonian and Nanofluids)
Show Figures

Figure 1

13 pages, 1478 KB  
Article
On Magnetohydrodynamic Flow of Viscoelastic Nanofluids with Homogeneous–Heterogeneous Reactions
by Metib Alghamdi
Coatings 2020, 10(1), 55; https://doi.org/10.3390/coatings10010055 - 9 Jan 2020
Cited by 11 | Viewed by 3087
Abstract
This article explores magnetohydrodynamic stretched flow of viscoelastic nanofluids with heterogeneous–homogeneous reactions. Attention in modeling has been specially focused to constitutive relations of viscoelastic fluids. The heat and mass transport process is explored by thermophoresis and Brownian dispersion. Resulting nonlinear systems are computed [...] Read more.
This article explores magnetohydrodynamic stretched flow of viscoelastic nanofluids with heterogeneous–homogeneous reactions. Attention in modeling has been specially focused to constitutive relations of viscoelastic fluids. The heat and mass transport process is explored by thermophoresis and Brownian dispersion. Resulting nonlinear systems are computed for numerical solutions. Findings for temperature, concentration, concentration rate, skin-friction, local Nusselt and Sherwood numbers are analyzed for both second grade and elastico-viscous fluids. Full article
(This article belongs to the Special Issue Recent Trends in Coatings and Thin Film–Modeling and Application)
Show Figures

Figure 1

29 pages, 867 KB  
Article
Viscoelastic MHD Nanofluid Thin Film Flow over an Unsteady Vertical Stretching Sheet with Entropy Generation
by Asad Ullah, Zahir Shah, Poom Kumam, Muhammad Ayaz, Saeed Islam and Muhammad Jameel
Processes 2019, 7(5), 262; https://doi.org/10.3390/pr7050262 - 6 May 2019
Cited by 37 | Viewed by 5290
Abstract
The boundary-layer equations for mass and heat energy transfer with entropy generation are analyzed for the two-dimensional viscoelastic second-grade nanofluid thin film flow in the presence of a uniform magnetic field (MHD) over a vertical stretching sheet. Different factors, such as the thermophoresis [...] Read more.
The boundary-layer equations for mass and heat energy transfer with entropy generation are analyzed for the two-dimensional viscoelastic second-grade nanofluid thin film flow in the presence of a uniform magnetic field (MHD) over a vertical stretching sheet. Different factors, such as the thermophoresis effect, Brownian motion, and concentration gradients, are considered in the nanofluid model. The basic time-dependent equations of the nanofluid flow are modeled and transformed to the ordinary differential equations system by using similarity variables. Then the reduced system of equations is treated with the Homotopy Analysis Method to achieve the desire goal. The convergence of the method is prescribed by a numerical survey. The results obtained are more efficient than the available results for the boundary-layer equations, which is the beauty of the Homotopy Analysis Method, and shows the consistency, reliability, and accuracy of our obtained results. The effects of various parameters, such as Nusselt number, skin friction, and Sherwood number, on nanoliquid film flow are examined. Tables are displayed for skin friction, Sherwood number, and Nusselt number, which analyze the sheet surface in interaction with the nanofluid flow and other informative characteristics regarding this flow of the nanofluids. The behavior of the local Nusselt number and the entropy generation is examined numerically with the variations in the non-dimensional numbers. These results are shown with the help of graphs and briefly explained in the discussion. An analytical exploration is described for the unsteadiness parameter on the thin film. The larger values of the unsteadiness parameter increase the velocity profile. The nanofluid film velocity shows decline due the increasing values of the magnetic parameter. Moreover, a survey on the physical embedded parameters is given by graphs and discussed in detail. Full article
(This article belongs to the Special Issue Thin Film Processes)
Show Figures

Figure 1

Back to TopTop