Numerical Simulation of Seabed Response Around Monopile Under Wave–Vibration
Abstract
1. Introduction
2. Numerical Theory
2.1. Control Equations
2.2. Seabed Constitutive Model
3. Model Setup
3.1. Model Building
3.2. Model Validation
3.2.1. Seabed Model Validation
3.2.2. Vibration Model Validation
4. Results and Discussion
4.1. Test Condition Setting
4.2. Seabed Pore Pressure and Stress Displacement Distribution
4.3. Seabed Response Around Monopile and Comparative Analysis
4.3.1. Seabed Pore Pressure Time Curve and Comparative Analysis
4.3.2. Vertical Characteristics and Comparative Analysis of Seabed Pore Pressure
4.4. Effects of Wave Parameters on Seabed Pore Pressure and Comparative Analyses
4.4.1. Influence of Wave Height Change and Comparative Analysis
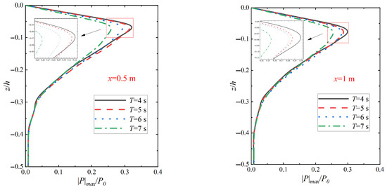
4.4.2. Influence of Wave Cycle Change and Comparative Analysis
4.5. Effect of Vibration Characteristics on Seabed Pore Pressure and Comparative Analysis
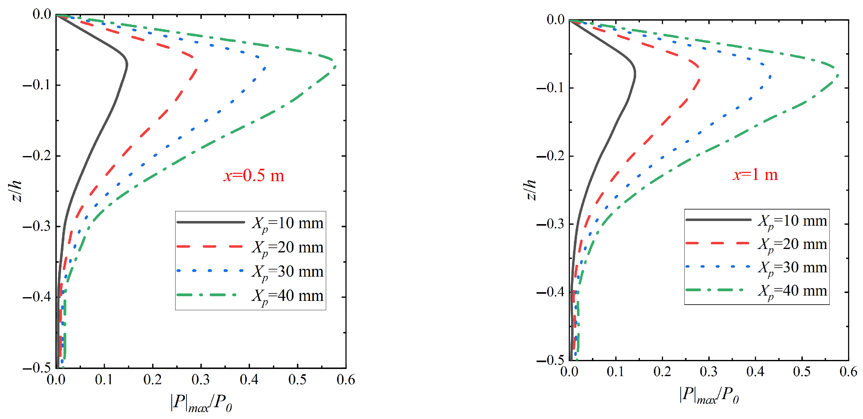
4.5.1. Influence of Vibration Displacement Peak Change and Comparative Analysis
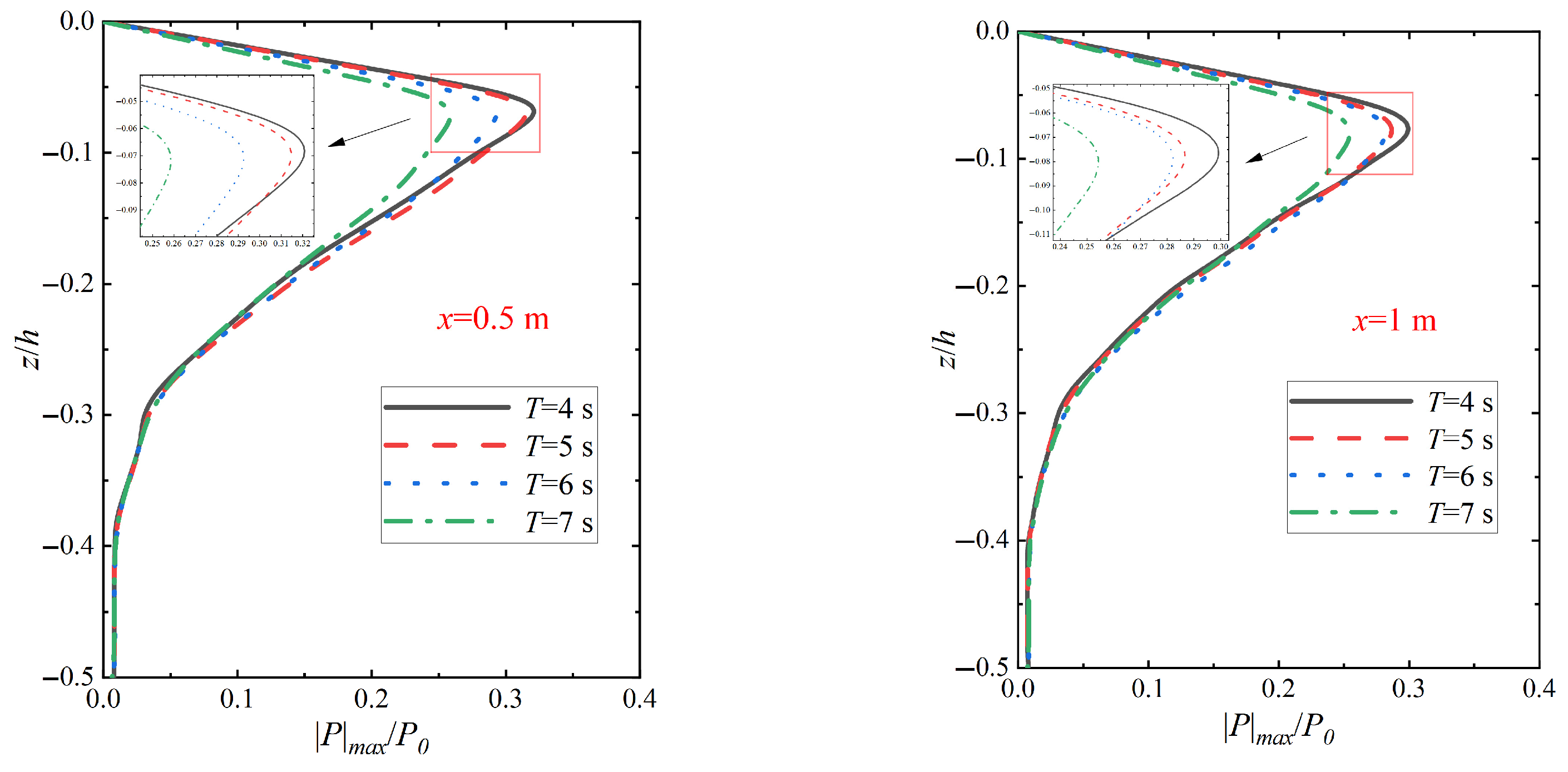
4.5.2. Influence of Vibration Cycle Change and Comparative Analysis
4.6. Influence of Seabed Characteristics on Seabed Pore Pressure and Comparative Analysis
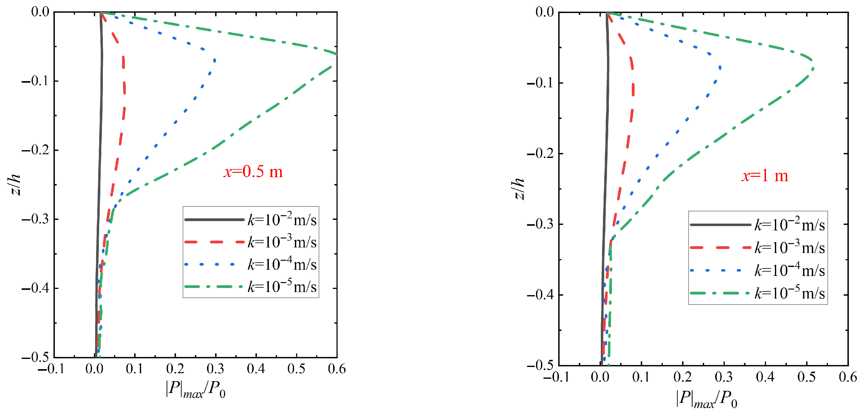
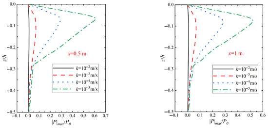
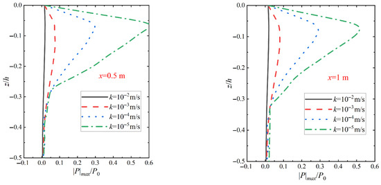
4.6.1. Influence and Comparative Analysis of Changes in Seabed Permeability Coefficient
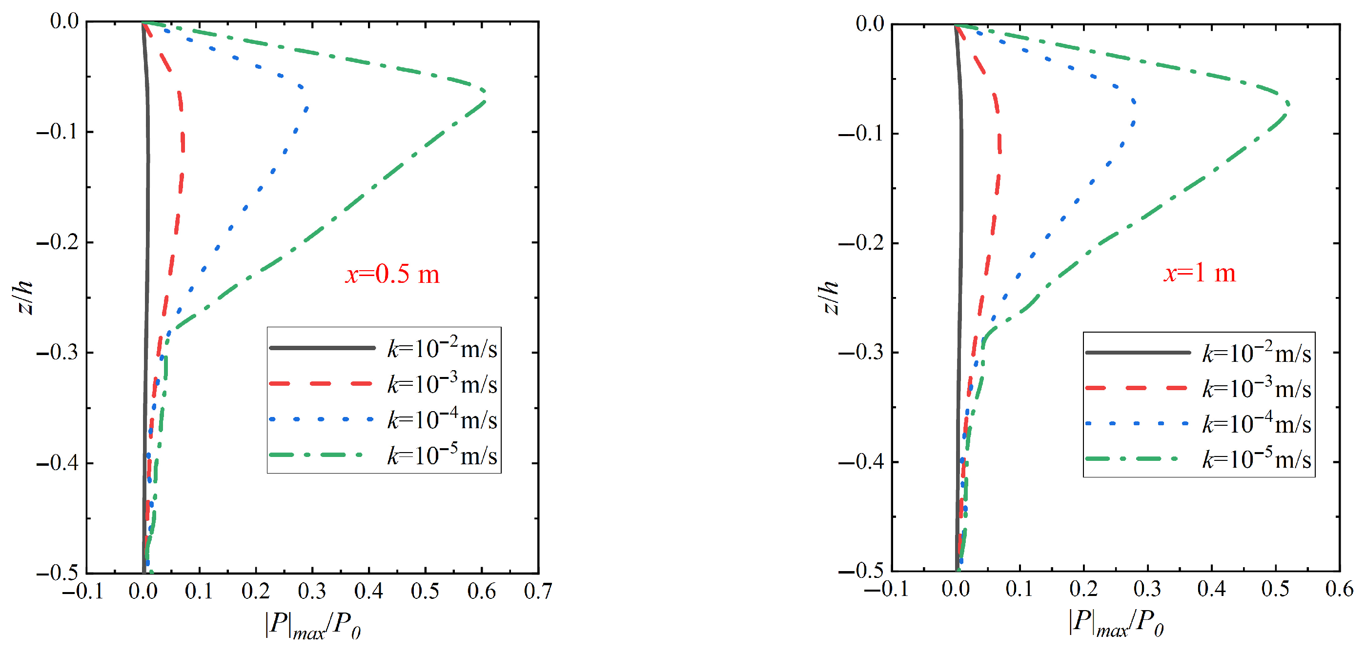
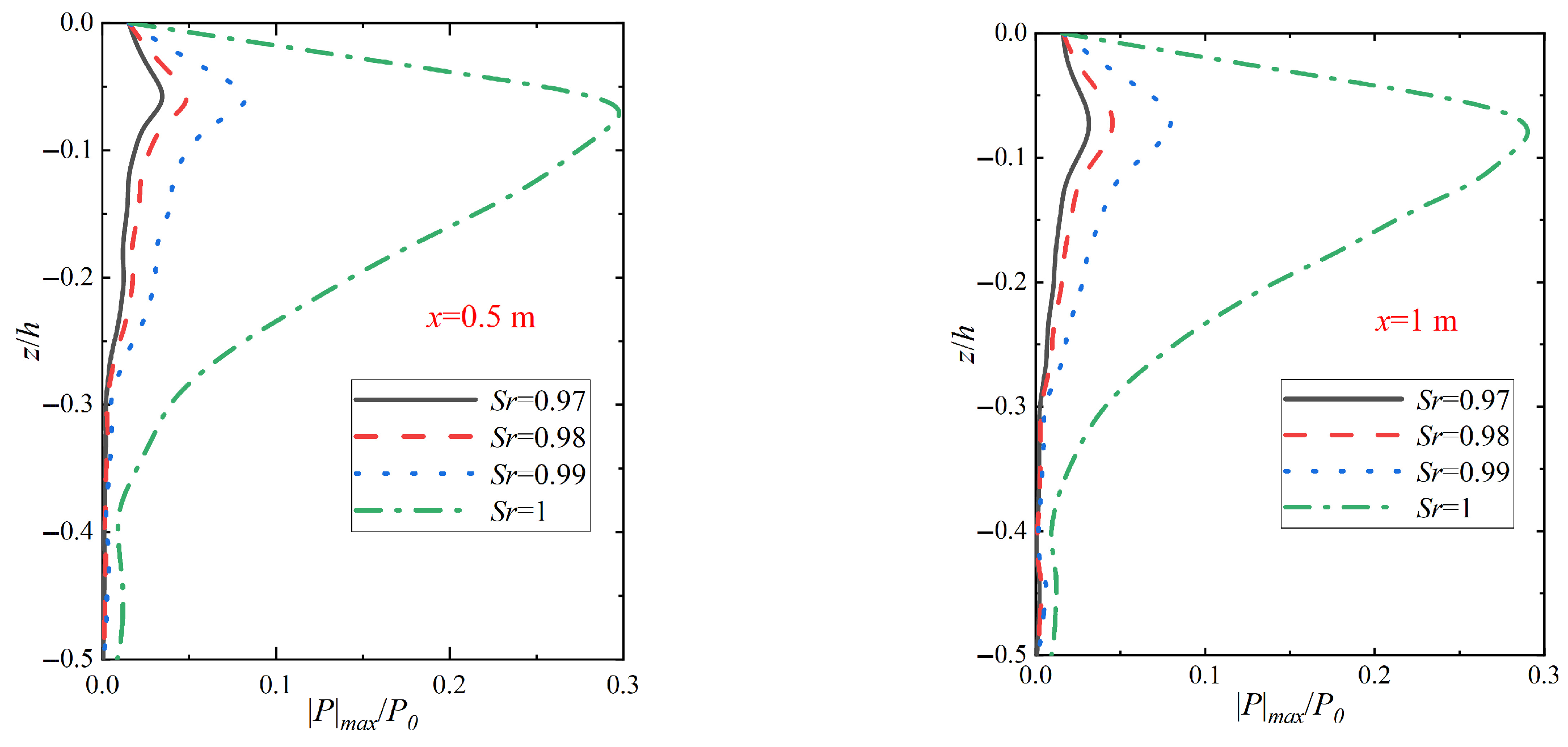
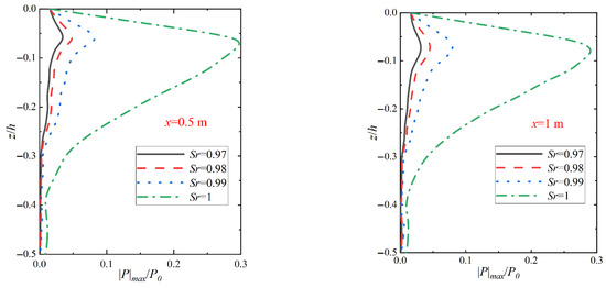
4.6.2. Influence of Changes in Saturation and Comparative Analysis
5. Conclusions
Author Contributions
Funding
Institutional Review Board Statement
Informed Consent Statement
Data Availability Statement
Conflicts of Interest
References
- Han, X.; Cao, T.; Sun, T. Analysis on the variation rule and influencing factors of energy consumption carbon emission intensity in China’s urbanization construction. J. Clean. Prod. 2019, 238, 117958. [Google Scholar] [CrossRef]
- Keivanpour, S.; Ramudhin, A.; Ait Kadi, D. The sustainable worldwide offshore wind energy potential: A systematic review. J. Renew. Sustain. Energy 2017, 9, 065902. [Google Scholar] [CrossRef]
- Tao, W.; Liu, M.; Zhou, G.; Qiu, X. Influence of scour on subsea cables and bend restrictors of offshore wind farm. Acta Energiae Solaris Sin. 2022, 43, 186–193. [Google Scholar]
- Chambel, J.; Fazeres-Ferradosa, T.; Miranda, F.; Bento, A.M.; Taveira-Pinto, F.; Lomonaco, P. A comprehensive review on scour and scour protections for complex bottom-fixed offshore and marine renewable energy foundations. Ocean Eng. 2024, 304, 117829. [Google Scholar] [CrossRef]
- Saathoff, J.E.; Goldau, N.; Achmus, M.; Schendel, A.; Welzel, M.; Schlurmann, T. Influence of scour and scour protection on the stiffness of monopile foundations in sand. Appl. Ocean Res. 2024, 144, 103920. [Google Scholar] [CrossRef]
- Zhou, W.; Cheng, Y.; Zhang, J. Preventing scour of monopile foundations using a vertical rotation device. Ocean Eng. 2024, 311, 118879. [Google Scholar] [CrossRef]
- Yao, Z.; Melville, B.; Shamseldin, A.Y.; Wang, R.; Guan, D. New insights into local scour characteristics around vibrating monopiles under combined wave-current conditions. Ocean Eng. 2025, 315, 119812. [Google Scholar] [CrossRef]
- Tao, G.; Zhao, X.; Hou, Y.; Huang, Z.; Zhang, S.; Lu, J. Experimental investigation on scour characteristics and predictive model of monopile foundations under breaking waves. Coast Eng. 2025, 200, 104764. [Google Scholar] [CrossRef]
- Dolores Esteban, M.; López-Gutiérrez, J.S.; Negro, V.; Matutano, C.; García-Flores, F.M.; Millán, M.Á. Offshore wind foundation design: Some key issues. J. Energy Resour. Technol. 2015, 137, 051211. [Google Scholar] [CrossRef]
- Zhang, J.; Wang, H. Development of offshore wind power and foundation technology for offshore wind turbines in China. Ocean Eng. 2022, 266, 113256. [Google Scholar] [CrossRef]
- Sui, T.; Liu, C.; Zhang, J.; Zhang, C.; Zheng, J. 3D numerical modeling of wave–monopile–seabed interaction in the presence of a scour hole. Ocean Eng. 2024, 298, 117254. [Google Scholar] [CrossRef]
- Yu, P.; Hu, R.; Zhu, C.; Zhang, X.; Zhao, J.; Yang, Q. Experimental study on dynamic response of seabed around offshore monopile under wave action. J. Phys. 2024, 2771, 012007. [Google Scholar] [CrossRef]
- Menéndez-Vicente, C.; López-Querol, S.; Harris, J.M.; Tavouktsoglou, N.S. Numerical study on the stiffening properties of scour protection around monopiles for Offshore Wind Turbines. Eng. Geol. 2025, 345, 107835. [Google Scholar] [CrossRef]
- Zhao, H.-Y.; Jeng, D.-S.; Liao, C.-C.; Zhu, J.-F. Three-dimensional modeling of wave-induced residual seabed response around a mono-pile foundation. Coast. Eng. 2017, 128, 1–21. [Google Scholar] [CrossRef]
- Seed, H.-B.; Rahman, M.-S. Wave-induced pore pressure in relation to ocean floor stability of cohesionless soils. Mar. Georesour. Geotechnol. 1978, 3, 123–150. [Google Scholar] [CrossRef]
- Jeng, D.-S.; Ye, J.-H.; Zhang, J.-S.; Liu, P.-F. An integrated model for the wave-induced seabed response around marine structures: Model verifications and applications. Coast. Eng. 2013, 72, 1–19. [Google Scholar] [CrossRef]
- Biot, M.A. General theory of three-dimensional consolidation. J. Appl. Phys. 1941, 12, 155–164. [Google Scholar] [CrossRef]
- Biot, M.A. Mechanics of deformation and acoustic propagation in porous media. J. Appl. Phys. 1962, 33, 1482–1498. [Google Scholar] [CrossRef]
- Yamamoto, T.; Koning, H.L.; Sellmeijer, H.; Van Hijum, E.P. On the response of a poro-elastic bed to water waves. J. Fluid Mech. 1978, 87, 193–206. [Google Scholar] [CrossRef]
- Jeng, D.S. Wave-induced seabed instability in front of a breakwater. Ocean Eng. 1977, 24, 887–917. [Google Scholar] [CrossRef]
- Sumer, B.M.; Ozgur Kirca, V.S.; Fredsøe, J. Experimental validation of a mathematical model for seabed liquefaction under waves. Int. J. Offshore Polar Eng. 2012, 22, 133–141. [Google Scholar]
- Sui, T.; Zhang, C.; Guo, Y.; Zheng, J.; Jeng, D.; Zhang, J.; Zhang, W. Three-dimensional numerical model for wave-induced seabed response around mono-pile. Ships Offshore Struct. 2016, 11, 667–678. [Google Scholar] [CrossRef]
- Zhang, Q.; Zhai, H.; Wang, P.; Wang, S.; Duan, L.; Chen, L.; Liu, Y.; Jeng, D.S. Experimental study on irregular wave-induced pore-water pressures in a porous seabed around a mono-pile. Appl. Ocean Res. 2020, 95, 102041. [Google Scholar] [CrossRef]
- Arany, L.; Bhattacharya, S.; Macdonald, J.; Hogan, S.J. Simplified critical mudline bending moment spectra of offshore wind turbine support structures. Wind. Energy 2015, 18, 2171–2197. [Google Scholar] [CrossRef]
- Jeng, D.-S.; Luo, X.-D.; Zhang, J.-S. Numerical model for rocking of mono-pile in a porous seabed. In Proceedings of the COMSOL Conference 2010 Paris, Paris, France, 17–19 November 2010. [Google Scholar]
- Yu, Z.; Cheng, Y.; Cheng, H. Experimental investigation on seabed response characteristics considering vibration effect of offshore monopile foundation. Ocean Eng. 2023, 288, 116000. [Google Scholar] [CrossRef]
- Liao, C.; Chen, J.; Zhang, Y. Accumulation of pore water pressure in a homogeneous sandy seabed around a rocking mono-pile subjected to wave loads. Ocean Eng. 2019, 173, 810–822. [Google Scholar] [CrossRef]
- Zhang, Y. Pile-Seabed Interaction Behavior and Long-Term Response Under Wave Loads Considering the Rocking Effect of Mono-Pile. Master’s Thesis, Shanghai Jiao Tong University, Shanghai, China, 2018. [Google Scholar]
- Ye, J.; Jeng, D.S.; Chan, A.H.C.; Wang, R.; Zhu, Q.C. 3D Integrated numerical model for fluid–structures–seabed interaction (FSSI): Elastic dense seabed foundation. Ocean Eng. 2016, 115, 107–122. [Google Scholar] [CrossRef]
- Yu, D. Study and Application of Integrated Numerical Model for Wave-Seabed-Structure Interaction. Ph.D. Thesis, China University of Geosciences, Beijing, China, 2022. [Google Scholar]
- Zienkiewicz, O.C.; Scott, F.C. On the principle of repeatability and its application in analysis of turbine and pump impellers. Int. J. Numer. Methods Eng. 1972, 4, 445–448. [Google Scholar] [CrossRef]
- Tanwar, S.; Famhawite, L.; Verma, P.R. Numerical Simulation of bio-heat transfer for cryoablation of regularly shaped tumours in liver tissue using multiprobes. J. Therm. Biol. 2023, 113, 103531. [Google Scholar] [CrossRef]
- Ye, J.-H.; Jeng, D.-S. Response of porous seabed to nature loadings: Waves and currents. J. Eng. Mech. 2012, 138, 601–613. [Google Scholar] [CrossRef]
- Hsu, J.-R.-C.; Jeng, D.-S. Wave-induced soil response in an unsaturated anisotropic seabed of finite thickness. Int. J. Numer. Anal. Methods Geomech. 1994, 18, 785–807. [Google Scholar] [CrossRef]
- Liu, B. Experimental Study for Seabed Response Under Wave Loading. Ph.D. Thesis, Shanghai Jiao Tong University, Shanghai, China, 2016. [Google Scholar]
- Hansen, N. Interaction Between Seabed Soil and Offshore Wind Turbine Foundations. Ph.D. Thesis, Technical University of Denmark, Mechanical Engineering, Kongens Lyngby, Denmark, 2012. [Google Scholar]




















| Working Condition | H/(m) | Tb/(s) | Xp/(mm) | T/(s) | k/(m/s) | Sr |
|---|---|---|---|---|---|---|
| 1 | 2 | 6 | 20 | 6 | 1 × 10−4 | 1.0 |
| 2 | 2.5 | 6 | 20 | 6 | 1 × 10−4 | 1.0 |
| 3 | 3 | 6 | 20 | 6 | 1 × 10−4 | 1.0 |
| 4 | 3.5 | 6 | 20 | 6 | 1 × 10−4 | 1.0 |
| 5 | 3 | 4 | 20 | 6 | 1 × 10−4 | 1.0 |
| 6 | 3 | 5 | 20 | 6 | 1 × 10−4 | 1.0 |
| 7 | 3 | 7 | 20 | 6 | 1 × 10−4 | 1.0 |
| 8 | 3 | 6 | 10 | 6 | 1 × 10−4 | 1.0 |
| 9 | 3 | 6 | 30 | 6 | 1 × 10−4 | 1.0 |
| 10 | 3 | 6 | 40 | 6 | 1 × 10−4 | 1.0 |
| 11 | 3 | 6 | 20 | 4 | 1 × 10−4 | 1.0 |
| 12 | 3 | 6 | 20 | 5 | 1 × 10−4 | 1.0 |
| 13 | 3 | 6 | 20 | 7 | 1 × 10−4 | 1.0 |
| 14 | 3 | 6 | 20 | 6 | 1 × 10−3 | 1.0 |
| 15 | 3 | 6 | 20 | 6 | 1 × 10−5 | 1.0 |
| 16 | 3 | 6 | 20 | 6 | 1 × 10−6 | 1.0 |
| 17 | 3 | 6 | 20 | 6 | 1 × 10−4 | 0.99 |
| 18 | 3 | 6 | 20 | 6 | 1 × 10−4 | 0.98 |
| 19 | 3 | 6 | 20 | 6 | 1 × 10−4 | 0.97 |
Disclaimer/Publisher’s Note: The statements, opinions and data contained in all publications are solely those of the individual author(s) and contributor(s) and not of MDPI and/or the editor(s). MDPI and/or the editor(s) disclaim responsibility for any injury to people or property resulting from any ideas, methods, instructions or products referred to in the content. |
© 2025 by the authors. Licensee MDPI, Basel, Switzerland. This article is an open access article distributed under the terms and conditions of the Creative Commons Attribution (CC BY) license (https://creativecommons.org/licenses/by/4.0/).
Share and Cite
Du, H.; Wang, D.; Hou, J.; Yu, Z.; Liu, Z.; Cheng, Y. Numerical Simulation of Seabed Response Around Monopile Under Wave–Vibration. J. Mar. Sci. Eng. 2025, 13, 1309. https://doi.org/10.3390/jmse13071309
Du H, Wang D, Hou J, Yu Z, Liu Z, Cheng Y. Numerical Simulation of Seabed Response Around Monopile Under Wave–Vibration. Journal of Marine Science and Engineering. 2025; 13(7):1309. https://doi.org/10.3390/jmse13071309
Chicago/Turabian StyleDu, Hongyi, Dunge Wang, Jiankang Hou, Ziqin Yu, Ze Liu, and Yongzhou Cheng. 2025. "Numerical Simulation of Seabed Response Around Monopile Under Wave–Vibration" Journal of Marine Science and Engineering 13, no. 7: 1309. https://doi.org/10.3390/jmse13071309
APA StyleDu, H., Wang, D., Hou, J., Yu, Z., Liu, Z., & Cheng, Y. (2025). Numerical Simulation of Seabed Response Around Monopile Under Wave–Vibration. Journal of Marine Science and Engineering, 13(7), 1309. https://doi.org/10.3390/jmse13071309

