Sign in to use this feature.

Years

Between: -

Subjects

remove_circle_outline
remove_circle_outline
remove_circle_outline
remove_circle_outline
remove_circle_outline
remove_circle_outline
remove_circle_outline
remove_circle_outline
remove_circle_outline

Journals

remove_circle_outline
remove_circle_outline
remove_circle_outline
remove_circle_outline
remove_circle_outline
remove_circle_outline
remove_circle_outline
remove_circle_outline
remove_circle_outline
remove_circle_outline
remove_circle_outline
remove_circle_outline
remove_circle_outline
remove_circle_outline
remove_circle_outline
remove_circle_outline
remove_circle_outline
remove_circle_outline

Article Types

Countries / Regions

remove_circle_outline
remove_circle_outline
remove_circle_outline
remove_circle_outline
remove_circle_outline
remove_circle_outline
remove_circle_outline

Search Results (557)

Search Parameters:
Keywords = science network mapping

Order results
Result details
Results per page
Select all
Export citation of selected articles as:
37 pages, 4154 KB  
Article
Banking Efficiency Under Systemic Uncertainty: A Bibliometric Lens on Sustainability
by Alina Georgiana Manta, Claudia Gherțescu, Roxana Maria Bădîrcea and Nicoleta Mihaela Doran
Int. J. Financial Stud. 2026, 14(3), 74; https://doi.org/10.3390/ijfs14030074 (registering DOI) - 12 Mar 2026
Abstract
This study delves into how the literature conceptualizes banking efficiency as a capability shaping sustainability-oriented pathways under conditions of systemic uncertainty, including recurrent economic–financial disruptions and geopolitical shocks. Using records indexed in the Web of Science Core Collection, the study combines bibliometric mapping [...] Read more.
This study delves into how the literature conceptualizes banking efficiency as a capability shaping sustainability-oriented pathways under conditions of systemic uncertainty, including recurrent economic–financial disruptions and geopolitical shocks. Using records indexed in the Web of Science Core Collection, the study combines bibliometric mapping with conceptual structuring to examine publication dynamics, collaboration networks, and the thematic evolution of research linking bank efficiency, green finance intermediation, sustainable digital innovation, and risk governance. The study reveals a multidimensional knowledge base organized around two converging streams: (i) research on efficiency, stability, and crisis transmission emphasizing intermediation quality, performance under stress, and prudential responses; and (ii) sustainability and innovation scholarship focusing on how financial systems enable eco-innovation diffusion and low-carbon transition through capital allocation, governance mechanisms, and digitally enabled transformation. Across these streams, banking efficiency is increasingly discussed not merely as a performance ratio, but as a strategic capability that becomes particularly salient in crisis environments: it can reduce intermediation frictions when funding conditions tighten, strengthen screening and monitoring of green projects amid elevated uncertainty, and support the continuity and scaling of eco-innovations by improving decision speed and resource allocation through digital tools. Collaboration patterns indicate growing interdisciplinary engagement—especially among European and Asian institutions—where crisis, sustainability, and innovation perspectives are integrated into systems-based approaches to green finance. Building on these insights, the article outlines a research agenda oriented toward innovation outcomes in turbulent contexts, emphasizing (a) measurement strategies that connect efficiency to eco-innovation diffusion and adoption rates during stress periods; (b) comparative analyses of how policy incentives and green market signals interact with bank efficiency across crisis episodes; and (c) hybrid methodological designs combining econometric identification, network analytics, scenario-based stress framing, and AI-enabled analytical tools to capture nonlinear dynamics in efficiency–innovation linkages. Overall, the study clarifies how banking efficiency may condition the capacity of financial institutions to sustain green investment intermediation and advance eco-innovation pathways when uncertainty is systemic rather than episodic. Full article
(This article belongs to the Special Issue Digital Banking, FinTech, and AI for Climate and Sustainable Finance)
Show Figures

Figure 1

18 pages, 2549 KB  
Article
Mapping Sweet Potato Global Research for Sustainable Food Systems: A Bibliometric Perspective
by Miguel Ángel Rincón-Cervera, Sandra López-Arana, Adriano Costa de Camargo, José Luis Guil-Guerrero, Jesús de las Heras-Roger and Carlos Díaz-Romero
Foods 2026, 15(6), 1002; https://doi.org/10.3390/foods15061002 - 12 Mar 2026
Abstract
Sweet potato (Ipomoea batatas L.) has become a relevant crop in global research due to its remarkable resilience to abiotic stress, richness in bioactive compounds, nutritional relevance, and growing importance within sustainability and circular economy frameworks. This study conducted a comprehensive bibliometric [...] Read more.
Sweet potato (Ipomoea batatas L.) has become a relevant crop in global research due to its remarkable resilience to abiotic stress, richness in bioactive compounds, nutritional relevance, and growing importance within sustainability and circular economy frameworks. This study conducted a comprehensive bibliometric analysis of scientific production indexed in Web of Science, Scopus, and PubMed, mapping how research links the crop’s biochemical properties with sustainability-oriented innovation. Literature on bioactive compounds, food waste management, circular economy strategies, and by-product valorization was examined through keyword co-occurrence, authorship networks, citation patterns, and thematic clustering. Results reveal a rapidly expanding research landscape over the past decade, with strong connections between phytochemical composition, health benefits, sustainable cultivation, and industrial applications. Biology, Chemistry, and Food Science emerged as the most interconnected areas. Collaboration networks remain fragmented, and high-income countries achieve disproportionate citation impact, underscoring structural inequalities. Theoretically, this study contributes to understanding how sweet potato research consolidates as a multidisciplinary field aligned with global sustainability goals. Practically, it highlights opportunities to strengthen equitable international collaboration, advance circular economy approaches, and integrate biotechnology with environmental sustainability to support more resilient food systems. Full article
Show Figures

Figure 1

43 pages, 4986 KB  
Review
Alcalase for Food-Protein-Derived Bioactive Peptides: Trends, Gaps, and Translational Opportunities
by Jesús Guadalupe Pérez-Flores, Laura García-Curiel, Emmanuel Pérez-Escalante, Elizabeth Contreras-López, Gabriela Mariana Rodríguez-Serrano, Marisa Rivera-Arredondo, Israel Oswaldo Ocampo-Salinas, José Antonio Sánchez-Franco, Rita Paz-Samaniego and José Antonio Guerrero-Solano
Macromol 2026, 6(1), 16; https://doi.org/10.3390/macromol6010016 - 9 Mar 2026
Viewed by 88
Abstract
Comparative studies report inconsistent peptide yields, bioactivities, and sensory outcomes for Alcalase across substrates, creating uncertainty about when it should be favored over other proteases. This study mapped research on hydrolysis of food proteins with Alcalase to quantify scientific output, organize thematic trends, [...] Read more.
Comparative studies report inconsistent peptide yields, bioactivities, and sensory outcomes for Alcalase across substrates, creating uncertainty about when it should be favored over other proteases. This study mapped research on hydrolysis of food proteins with Alcalase to quantify scientific output, organize thematic trends, and identify gaps relevant to peptide-based functional foods. A bibliometric analysis of Web of Science records (2004–2024) was performed in R (bibliometrix), using co-occurrence networks, temporal overlays, and conceptual mapping. The dataset comprised 203 documents from 78 sources, exhibiting a 10.3% annual growth rate and a 36.9% international co-authorship rate. Themes clustered around antioxidant and angiotensin-converting enzyme (ACE) inhibitory peptides, particularly in dairy and marine matrices, are supported by workflows combining Alcalase hydrolysis with size-guided ultrafiltration, RP-HPLC (Reverse Phase High-Performance Liquid Chromatography), and, more recently, in silico analyses and encapsulation studies. Recurrent limitations were identified: heterogeneous hydrolysates and uneven reporting that hinder sequence–activity correlations, gastrointestinal degradation and bitterness affecting applicability, and scale-up and purification choices influencing feasibility. The mapping clarified where Alcalase enables bioactive peptide generation and highlighted practical priorities, including protocol standardization and enzyme benchmarking, the integration of peptidomics and machine learning with targeted assays, and formulation-focused validation (encapsulation, stability, and delivery) to bridge in vitro activity to real-world use. These directions support the production of reproducible, application-ready peptide ingredients. Full article
Show Figures

Graphical abstract

41 pages, 3324 KB  
Review
The Influence of Music on Fetal and Neonatal Development: A Bibliometric Review
by Daniel Kaczmarski, Katarzyna Bogucka-Pięta, Marcin Bonar and Paweł Pięta
Appl. Sci. 2026, 16(5), 2468; https://doi.org/10.3390/app16052468 - 4 Mar 2026
Viewed by 219
Abstract
Over the years, the impact of music on the prenatal and neonatal stages of human life has gained significant scientific attention. This study provides a comprehensive bibliometric review of research investigating how music influences fetal and newborn development. Using the Scopus and Web [...] Read more.
Over the years, the impact of music on the prenatal and neonatal stages of human life has gained significant scientific attention. This study provides a comprehensive bibliometric review of research investigating how music influences fetal and newborn development. Using the Scopus and Web of Science databases, a search of relevant studies published in English between January 2006 and July 2025 was conducted, whose basic criterion was the use of the following keywords: “music” and “fetus” or “fetal”. Additional terms such as “fetus development”, “fetus heart rate”, “fetus movement”, “mother–fetus relationship”, “newborn”, etc., were also utilized. In result, 75 publications were selected, and their bibliographic data and full sources were retrieved. The included studies were grouped according to two perspectives that consider the impact of music (1) on the development of the fetus and the newborn, and (2) on maternal health and mother–fetus bonding. Using VOSviewer, bibliometric mapping was performed, which allowed to obtain keyword co-occurrence network and co-authorship network. The chosen literature was then quantitatively and qualitatively analyzed. The analysis revealed a sharp upward trend in publications starting in 2015, with a temporary decline in 2020 due to the COVID-19 pandemic. The highest number of publications were from Iran. The most investigated topics were related to the fetus heart and maternal health. The most common publication type and research methodology were, respectively, article and experiment. While the key authors Lordier, L., Filippa, M., Grandjean, D., and Monaci, M.G. lead the field, the co-authorship network remains fragmented into isolated and relatively small research groups. The Journal of Maternal–Fetal and Neonatal Medicine emerged as the leading publication outlet, while the study by Graven et al. entitled “Auditory Development in the Fetus and Infant” remains the most cited work. The keyword co-occurrence network allowed the identification of three main thematic clusters indicating the physiological, clinical, and therapeutic aspects of the impact of music on fetal and neonatal development. A qualitative analysis revealed that music plays a vital role in early human development and maternal well-being, demonstrating positive effects of auditory stimuli on fetal and newborn physiology, as well as on the mother–fetus relationship, while being a non-invasive and non-pharmacological method of intervention. However, the lack of a fully connected global research community and standardized protocols for, e.g., choosing the musical repertoire, sound administration, and the duration of exposure suggests the need for increased international collaboration to further integrate music therapy into standard clinical practices for prenatal and neonatal care. Full article
(This article belongs to the Special Issue Musical Acoustics and Sound Perception)
Show Figures

Figure 1

21 pages, 5085 KB  
Review
Bibliometric and Scientometric Analysis of the Application of Agricultural Pesticides at Variable Rates
by Beatriz Costalonga Vargas, Marconi Ribeiro Furtado Júnior, André Luiz de Freitas Coelho, Salvatore Privitera, Sebastian Lupica, Antonio Trusso Sfrazzetto, Giuseppe Manetto and Emanuele Cerruto
Agriculture 2026, 16(5), 557; https://doi.org/10.3390/agriculture16050557 - 28 Feb 2026
Viewed by 228
Abstract
The application of plant protection products (PPPs) at variable rates has gained prominence as a key strategy in precision agriculture (PA), promoting the rational use of inputs (water, fertilizers, pesticides) while improving crop yields and mitigating the environmental impacts (e.g., drift, evaporation, run-off). [...] Read more.
The application of plant protection products (PPPs) at variable rates has gained prominence as a key strategy in precision agriculture (PA), promoting the rational use of inputs (water, fertilizers, pesticides) while improving crop yields and mitigating the environmental impacts (e.g., drift, evaporation, run-off). Despite the rapid growth of variable-rate application (VRA) systems, large-scale adoption remains fragmented, with strong emphasis on technological development and limited integration of economic, operational, and environmental assessment. To critically assess how research on VRA of PPPs has evolved and where significant knowledge gaps persist, this study conducted a bibliometric and scientometric analysis of the relevant literature aimed at mapping the scientific evolution, identifying trends and analyzing the gaps that limit the consolidation of the VRA domain. By identifying these imbalances, this study provides a critical reference framework to drive future research toward more robust, comparable, and globally relevant VRA solutions in PPP applications. Scopus and Web of Science (WoS) databases were used, encompassing English-language scientific articles published between 2005 and 2025. The search strategy combined two sets of terms related to PPP application and variable-rate systems. The VOSviewer software was utilized for quantitative analysis. The bibliometric analysis assessed the temporal and geographical distribution of publications and identified the most productive authors, while the scientometric analysis visualized keyword co-occurrence networks and citation patterns among authors and countries. The results indicated that research activity culminated in a significant peak during the 2020–2024 period, with an upward trajectory for partial data of 2025. The United States and China emerged as leading contributors to scientific output. The most frequent keywords revealed the advancement of technologies such as pulse width modulation (PWM) technology, sensors, and automation. Although this research area is rapidly expanding, its consolidation still requires greater geographical participation and deeper technical exploration across various research fronts. Full article
(This article belongs to the Section Crop Protection, Diseases, Pests and Weeds)
Show Figures

Figure 1

21 pages, 4216 KB  
Article
Global Research Trends in Forest Fuels: A Bibliometric Visualization and Case Study in China (2010–2025)
by Xinshuang Lü, Tuo Li, Yurong Liang, Hu Lou and Long Sun
Forests 2026, 17(3), 308; https://doi.org/10.3390/f17030308 - 28 Feb 2026
Viewed by 195
Abstract
Frequent forest fires cause serious damage to ecosystems and socioeconomic systems, increasing the importance of fire prevention and risk assessment. Forest fuel is a fundamental determinant of forest fire behavior and a key component of fire risk management. However, a systematic synthesis of [...] Read more.
Frequent forest fires cause serious damage to ecosystems and socioeconomic systems, increasing the importance of fire prevention and risk assessment. Forest fuel is a fundamental determinant of forest fire behavior and a key component of fire risk management. However, a systematic synthesis of its global research evolution and emerging scientific challenges remains relatively insufficient. On the basis of 1257 publications retrieved from the Web of Science Core Collection (2010–2025) with the themes of “wildfire fuel” and “forest fuel,” this study employed CiteSpace for bibliometric analysis to systematically investigate research trends, collaboration patterns, and thematic evolution. The results show that forest fuel research has exhibited sustained growth overall, with notable peaks in 2016 and 2020, and reaching a historical high in 2023. The United States dominated both in publication output and institutional collaboration networks, forming a core research cluster together with Australia and Canada. Keyword co-occurrence and burst analyses revealed a shift in research hotspots—from early focus on forest fuel models and risk assessment at the wild–urban interface (WUI)—toward concerns about climate-change-driven fire seasonality, fuel moisture dynamics, and emergency response issues, reflecting the growing influence of climate change on wildfire patterns. Notably, this study identified several critical research gaps, including limitations in cross-regional integration of fuel moisture studies, insufficient attention to ignition prevention in WUI residential settings, and a lack of reproducible, open bibliometric workflows. By systematically mapping the knowledge structure and evolutionary trajectory of forest fuel research, this study provides a globally informed knowledge framework for the future advancement of forest fuel science and its deeper integration with forest fire management and policy making. Full article
(This article belongs to the Section Natural Hazards and Risk Management)
Show Figures

Figure 1

19 pages, 4742 KB  
Article
AI-Assisted Bibliometric Analysis of LWFA Research: Trends and Future Directions
by Mehdi Abedi-Varaki and Gediminas Račiukaitis
Appl. Sci. 2026, 16(5), 2335; https://doi.org/10.3390/app16052335 - 27 Feb 2026
Viewed by 279
Abstract
This study employs a comprehensive bibliometric analysis to map the global scientific landscape of laser wakefield acceleration (LWFA) from 1990 to 2025. Using data extracted from the Web of Science (WoS) and analyzed with Bibliometrix, VOSviewer, and CiteSpace, the study identifies key publication [...] Read more.
This study employs a comprehensive bibliometric analysis to map the global scientific landscape of laser wakefield acceleration (LWFA) from 1990 to 2025. Using data extracted from the Web of Science (WoS) and analyzed with Bibliometrix, VOSviewer, and CiteSpace, the study identifies key publication trends, influential authors, leading countries, prominent journals, and thematic evolution within the field. The findings reveal exponential growth in LWFA-related research, driven by advances in high-power laser technology and controlled injection techniques. Network analyses demonstrate extensive international collaboration and a strong interdisciplinary structure linking plasma physics, optics, and accelerator science. Keyword co-occurrence and burst analyses highlight emerging topics such as ionization injection, dual-stage acceleration, betatron radiation, and machine learning-assisted optimization. These insights delineate both the historical progression and the dynamic frontiers of LWFA, providing a systematic understanding of its development and guiding future research toward the realization of compact, high-quality electron sources and next-generation plasma-based accelerators. Full article
Show Figures

Figure 1

36 pages, 3483 KB  
Systematic Review
Lifecycle-Based Analysis of Construction Dispute Causes: A Semi-Automated Systematic Review
by Ahmed R. A. Olaimat and Manuel Marey-Perez
Buildings 2026, 16(5), 944; https://doi.org/10.3390/buildings16050944 - 27 Feb 2026
Viewed by 345
Abstract
Construction disputes remain a major barrier to project success, particularly in international contexts characterized by diverse stakeholder expectations and high uncertainty. Although numerous studies have examined dispute causes, existing research is frequently limited by regional focus, phase-specific analysis, or delivery-method constraints. This study [...] Read more.
Construction disputes remain a major barrier to project success, particularly in international contexts characterized by diverse stakeholder expectations and high uncertainty. Although numerous studies have examined dispute causes, existing research is frequently limited by regional focus, phase-specific analysis, or delivery-method constraints. This study addresses these limitations by developing a lifecycle-based understanding of dispute causation through a semi-automated systematic literature review. A total of 6603 records were retrieved from Scopus and Web of Science, and after applying PRISMA-aligned screening and citation tracking, 52 peer-reviewed articles published between 2000 and 2024 were included. Bibliometric analysis was used to map publication trends, geographic distribution, journal contribution, and keyword networks, while content analysis supported the identification and consolidation of dispute causes across lifecycle phases. The results show that early project stages are dominated by unfair risk allocation, ambiguous contract documents, design errors, and unclear technical specifications, whereas the Execution phase is driven by variation orders, payment delays, ineffective communication, and unforeseen site conditions. Disputes in the Close-out phase remain underexplored, indicating a clear research gap. By linking dispute causes to specific lifecycle stages, the study provides a structured foundation for proactive dispute-prevention strategies and supports more effective management of construction projects worldwide. Full article
(This article belongs to the Section Construction Management, and Computers & Digitization)
Show Figures

Figure 1

37 pages, 2619 KB  
Systematic Review
Life Cycle Assessment as a Catalyst for Environmental Transformation: A Systematic Review (2018–2024)
by Danny Alonso Lizarzaburu-Aguinaga and Elmer Gonzales Benites Alfaro
Sustainability 2026, 18(5), 2284; https://doi.org/10.3390/su18052284 - 27 Feb 2026
Viewed by 273
Abstract
The growing adoption of life cycle assessment (LCA) across productive sectors has yet to be systematically examined in terms of its capacity to drive environmental transformation beyond methodological assessment. This systematic review (2018–2024) explores how LCA functions as a catalyst for environmental change [...] Read more.
The growing adoption of life cycle assessment (LCA) across productive sectors has yet to be systematically examined in terms of its capacity to drive environmental transformation beyond methodological assessment. This systematic review (2018–2024) explores how LCA functions as a catalyst for environmental change in products, processes, and systems. Following PRISMA 2020 guidelines, 657 records from Scopus, Web of Science, and ScienceDirect were screened, yielding 50 high-quality studies assessed using the Critical Appraisal Skills Programme (CASP) tool; bibliometric network analysis via VOSviewer complemented qualitative thematic synthesis. Findings reveal a shift from conventional standardized life cycle assessment methodologies toward integrated frameworks such as LCSA, incorporating regionalized characterization factors, uncertainty quantification, and digital technologies. Applications across energy, agri-food, manufacturing, construction, and waste management support SDGs 12, 13, and 9 by identifying hotspots, comparing technologies, and informing policy. However, inconsistencies in functional units, system boundaries, and impact methods, alongside limited social and economic integration, restrict cross-study comparability. The evidence indicates that LCA is evolving from an assessment tool into a deliberative decision-making infrastructure, requiring harmonized yet context-specific methodologies and robust social indicators for equitable implementation. This review offers original value by combining bibliometric and critical methodological synthesis to map how life-cycle thinking induces environmental transformation, revealing the gap between evaluative capacity and transformative implementation. Full article
Show Figures

Figure 1

20 pages, 2541 KB  
Review
Wire-Arc Coatings: A Bibliometric Journey Through Factors Influencing Bonding Performance
by Gul Badin, Muhammad Imran Khan, Luyang Xu and Ying Huang
Coatings 2026, 16(3), 286; https://doi.org/10.3390/coatings16030286 - 27 Feb 2026
Viewed by 269
Abstract
Wire-arc coatings have received substantial attention for corrosion protection; however, poor bonding often leads to delamination, corrosion initiation, and costly re-coating of structural components. This review combines bibliometric mapping with a focused technical synthesis to clarify how bonding performance has been studied in [...] Read more.
Wire-arc coatings have received substantial attention for corrosion protection; however, poor bonding often leads to delamination, corrosion initiation, and costly re-coating of structural components. This review combines bibliometric mapping with a focused technical synthesis to clarify how bonding performance has been studied in wire-arc coatings. Specifically, publication trends, keyword co-occurrence networks, and country-level co-authorship maps are used to map the evolution of the field and position adhesion-related studies within the broader literature. The analysis of 762 wire-arc coating publications from Web of Science (among 13,314 thermal spray coating records) reveals that research is centered on microstructure, mechanical properties, and corrosion resistance, with growing links to wire-based additive manufacturing. Keyword co-occurrence networks demonstrate clear process–structure–property relationships, while country-level collaboration maps highlight the leadership of China, the USA, and Germany. Critical to note, only eight publications systematically investigate the combined effects of substrate roughness, coating thickness, and Zn-Al coating composition on bond strength—representing less than 0.01% of the thermal spray literature. This pronounced research gap underscores the novelty of the present review, which synthesizes existing knowledge on adhesion mechanisms, identifies key process parameters, and establishes a research agenda to optimize wire-arc coatings for infrastructure corrosion protection. The technical synthesis highlights that adhesion is governed by the coupled effects of surface preparation (roughness and topography), coating build-up (thickness), and spray conditions (e.g., standoff distance and substrate preheating), which together influence coating microstructure and failure modes. These findings provide a structured framework to guide parameter selection for durable coatings. Full article
(This article belongs to the Special Issue Characterization and Industrial Applications of PVD Coatings)
Show Figures

Figure 1

48 pages, 4777 KB  
Review
Predictors of the Effectiveness of Psychedelics in Treating Depression—A Scoping Review
by James Chmiel and Filip Rybakowski
Int. J. Mol. Sci. 2026, 27(5), 2202; https://doi.org/10.3390/ijms27052202 - 26 Feb 2026
Viewed by 442
Abstract
Psychedelic-assisted therapies (PATs) can produce rapid and sustained antidepressant effects, yet variability in response remains substantial. Identifying predictors and moderators is essential for optimising patient selection, preparation, and delivery. To map and synthesise the evidence on the predictors of antidepressant response to classic/serotonergic [...] Read more.
Psychedelic-assisted therapies (PATs) can produce rapid and sustained antidepressant effects, yet variability in response remains substantial. Identifying predictors and moderators is essential for optimising patient selection, preparation, and delivery. To map and synthesise the evidence on the predictors of antidepressant response to classic/serotonergic psychedelics administered with psychotherapeutic support in adults with depressive disorders, including treatment-resistant depression. Following PRISMA-ScR principles, we conducted a scoping review of major biomedical and psychology databases (PubMed (MEDLINE), Embase, PsycINFO, and Web of Science) and trial registries (searches September–October 2025), supplemented by reference-list screening. We included randomised trials, open-label studies, and naturalistic cohorts reporting associations between candidate predictors (baseline traits/clinical features, set/setting variables, acute in-session phenomenology, and biological measures) and validated depression outcomes. We charted study characteristics, analytic approaches (including moderation/mediation where available), and indicators of robustness (e.g., adjustment for overall intensity, preregistration, external validation). A total of 48 studies were included in the review. Across study designs, process-level features during the dosing session were the most consistent correlates of antidepressant improvement. Greater emotional breakthrough, mystical/unitive experiences, and ego dissolution-linked reappraisal/insight generally predicted larger and more durable symptom reductions, whereas anxiety-dominant or dysphoric states tended to attenuate benefit, often independent of overall subjective intensity. Set and setting—particularly a stronger therapeutic alliance and music experienced as resonant—predicted both the emergence of therapeutically salient acute experiences and downstream clinical gains. Baseline moderators showed smaller and mixed effects: PTSD comorbidity sometimes weakened trajectories; extensive prior psychedelic exposure was associated with smaller incremental gains; demographics were typically uninformative. Converging biological findings associated better outcomes with markers consistent with increased neural flexibility and plasticity (e.g., less segregated network dynamics; EEG indices), alongside peripheral changes implicating neurotrophic, inflammatory, and HPA axis pathways. Current evidence suggests that antidepressant response in PATs is driven less by static patient characteristics and more by what occurs during dosing and how the context shapes that experience. Optimising preparation, alliance, and music; facilitating emotional breakthrough and meaning making; and mitigating anxious dysregulation are actionable levers. Future trials should harmonise measures, pre-specify and validate moderators/mediators, intensively sample in-session experience and physiology, and report benefits and harms more consistently. Full article
(This article belongs to the Special Issue Advances in the Pharmacology of Depression and Mood Disorders)
Show Figures

Figure 1

16 pages, 1999 KB  
Review
Artificial Intelligence and Machine Learning in Audiology and Hearing Disorders: A Scoping Review with Bibliometric and Thematic Mapping (1995–2025)
by Ceren Aksoy Koçak
Audiol. Res. 2026, 16(2), 29; https://doi.org/10.3390/audiolres16020029 - 24 Feb 2026
Viewed by 254
Abstract
Background and Objectives: Artificial intelligence (AI) and machine learning (ML) are increasingly integrated into audiology, supporting diagnosis, screening, rehabilitation, and digital health. Despite rapid growth, the literature remains methodologically and clinically heterogeneous, limiting a consolidated view of research trajectories and translational readiness. This [...] Read more.
Background and Objectives: Artificial intelligence (AI) and machine learning (ML) are increasingly integrated into audiology, supporting diagnosis, screening, rehabilitation, and digital health. Despite rapid growth, the literature remains methodologically and clinically heterogeneous, limiting a consolidated view of research trajectories and translational readiness. This scoping review examined the evolution of AI and ML applications in audiology and hearing disorders, focusing on thematic development, research productivity, collaboration patterns, and clinical orientation. Methods: A scoping review was conducted using the Web of Science Core Collection (Science Citation Index Expanded). Original and review articles published between 1995 and 2025 were included. Bibliometric and thematic mapping were applied to analyze publication trends, citation patterns, keyword evolution, and collaboration networks. A structured translational categorization assessed clinical domains and validation maturity. Findings reflect the Web of Science-indexed segment of the literature. Results: A total of 127 publications were analyzed. Research output increased markedly after 2020, with an estimated doubling time of approximately 2.1 years. China, the United States, and South Korea contributed the highest publication volumes, although citation impact did not consistently parallel productivity. Thematic analyses revealed a shift toward AI-driven methodological frameworks, particularly in machine learning, deep learning, and cochlear implant-related applications. Most studies remain at proof-of-concept or internally validated stages, with limited external validation. Emerging areas include tele-audiology and personalized hearing aid optimization. Conclusions: AI and ML research in audiology is increasingly application-oriented; however, broader external validation and prospective implementation are required to support routine clinical integration. Full article
Show Figures

Figure 1

29 pages, 1854 KB  
Article
Digital Enablers of the Circular Economy: A Bibliometric and Gender-Inclusive Review of Business and Management Research (2015–2025)
by Eleonora Tankova, Iva Moneva, Radosveta Krasteva-Hristova, Miglena Pencheva and Antonina Ivanova
Adm. Sci. 2026, 16(2), 107; https://doi.org/10.3390/admsci16020107 - 23 Feb 2026
Viewed by 398
Abstract
Digital transformation is central to circular economy (CE) strategies, yet the intersection between digital innovation and women’s entrepreneurship remains underexplored. We examine how IoT, AI, blockchain, data analytics and platform technologies are represented in CE-oriented management research and assess the visibility of gender-inclusive [...] Read more.
Digital transformation is central to circular economy (CE) strategies, yet the intersection between digital innovation and women’s entrepreneurship remains underexplored. We examine how IoT, AI, blockchain, data analytics and platform technologies are represented in CE-oriented management research and assess the visibility of gender-inclusive and women entrepreneurship perspectives. We merged Scopus and Web of Science records (2015–2025), removed duplicates, screened for relevance, and mapped themes and networks using bibliometrix (R) and VOSviewer. Digital-CE scholarship was found to rise after 2018, dominated by smart manufacturing, circular supply chains, digital product passports and blockchain traceability. Four clusters emerged: digital circular manufacturing, circular business model innovation, waste and resource management, and policy–social aspects. Gender-related terms appear in only 1.35% of the corpus, revealing a gap between academic research and EU policy priorities for inclusive digital and circular transitions. We integrate a gender-inclusive lens and outline an agenda positioning women entrepreneurs as critical yet overlooked actors in digital circular ecosystems. As a bibliometric review, this study maps scholarly attention rather than the prevalence of women-led circular ventures. Beyond mapping, we advance the paper’s primary contribution by proposing a governance-oriented synthesis that frames digital infrastructures as administrative mechanisms shaping who can participate in, benefit from, and influence digital circular ecosystems. Full article
(This article belongs to the Special Issue Strategic Management and Governance for Circular Economy Transitions)
Show Figures

Figure 1

18 pages, 5127 KB  
Article
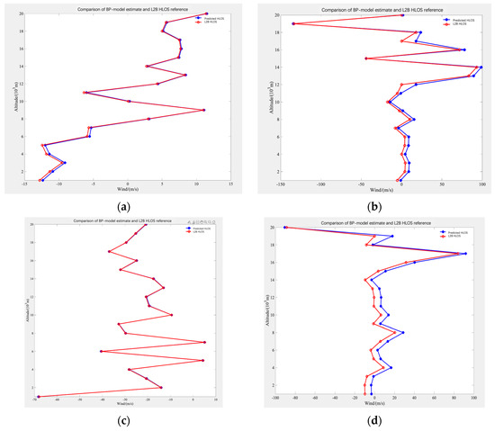
Rapid Aeolus L2B HLOS Wind Retrieval via BP Neural Network
by Qinming Bi, Jiangang Lv, Pengfei He and Lusheng Zhang
Sensors 2026, 26(4), 1379; https://doi.org/10.3390/s26041379 - 22 Feb 2026
Viewed by 251
Abstract
Wind field information is a key variable in atmospheric science and weather prediction, and spaceborne Doppler wind lidar provides unique global observations of the horizontal line-of-sight (HLOS) wind. This study develops a data-driven model that maps Aeolus Rayleigh-channel Level-1B (L1B) observables to the [...] Read more.
Wind field information is a key variable in atmospheric science and weather prediction, and spaceborne Doppler wind lidar provides unique global observations of the horizontal line-of-sight (HLOS) wind. This study develops a data-driven model that maps Aeolus Rayleigh-channel Level-1B (L1B) observables to the operational Level-2B (L2B) HLOS wind product. Using the two Rayleigh discriminator responses as inputs, we train a backpropagation (BP) neural network to learn the nonlinear relationship between Rayleigh-channel measurements and the collocated L2B HLOS winds. The proposed approach is intended as a computationally efficient emulation/approximation of the L2B HLOS output from L1B observations, rather than as an independently validated accuracy-improving retrieval. Model performance is evaluated by agreement with the L2B reference across samples spanning July 2019 to May 2020 and an altitude range of 0–20 km. The results show that the proposed model reproduces the main statistical characteristics and along-track HLOS patterns of the L2B product, providing a fast option for generating L2B-like HLOS estimates from Rayleigh-channel inputs. Full article
(This article belongs to the Section Environmental Sensing)
Show Figures

Figure 1

17 pages, 2208 KB  
Review
Global Research Trends in Extracellular Vesicle–Based Therapy for Regenerative Medicine: A Bibliometric Analysis (2014–2024)
by Ramya Lakshmi Rajendran, Atharva Anand Mahajan, Sathish Muthu, Sathish Kumar Rajappan Chandra, Prakash Gangadaran and Byeong-Cheol Ahn
Bioengineering 2026, 13(2), 247; https://doi.org/10.3390/bioengineering13020247 - 20 Feb 2026
Viewed by 562
Abstract
Background: Extracellular vesicles (EVs) have emerged as promising cell-free therapeutic agents in regenerative medicine due to their ability to deliver bioactive molecules with enhanced stability and low immunogenicity. Their potential to replicate stem cell functions without the risks of live-cell transplantation has catalyzed [...] Read more.
Background: Extracellular vesicles (EVs) have emerged as promising cell-free therapeutic agents in regenerative medicine due to their ability to deliver bioactive molecules with enhanced stability and low immunogenicity. Their potential to replicate stem cell functions without the risks of live-cell transplantation has catalyzed a surge in global research. Objective: This study aims to perform a scientometric analysis of EV-based regenerative medicine research from 2014 to 2024, identifying publication trends, influential contributors, thematic clusters, and translational challenges. Methods: Data were retrieved from the Web of Science Core Collection and analyzed using CiteSpace software. The analysis included journal impact mapping, co-authorship networks, co-citation analysis, and thematic cluster identification. Metrics such as citation bursts, total link strength, and silhouette values were used to assess influence and thematic coherence. Results: The most prolific journals were Stem Cell Research & Therapy and International Journal of Molecular Sciences. China led in publication volume, while the USA dominated citation impact. Foundational works by Théry and Lai, including the MISEV guidelines, shaped methodological standards. Nine thematic clusters were identified, including oxidative stress, small EVs, mesenchymal stromal cells, muscle regeneration, and chronic kidney disease. A strategic shift toward engineered EVs and novel sources such as iPSCs and macrophages was evident. Key translational barriers include lack of standardization, scalability issues, and regulatory ambiguity. Conclusions: EV-based therapies are transitioning from foundational research to clinical application. Overcoming methodological and regulatory challenges will be critical to realizing their full therapeutic potential in regenerative medicine. Full article
Show Figures

Figure 1

Back to TopTop