Sign in to use this feature.

Years

Between: -

Subjects

remove_circle_outline
remove_circle_outline
remove_circle_outline
remove_circle_outline
remove_circle_outline

Journals

Article Types

Countries / Regions

Search Results (20)

Search Parameters:
Keywords = scanning Kelvin probe microscopy (SKPFM)

Order results
Result details
Results per page
Select all
Export citation of selected articles as:
24 pages, 3716 KB  
Review
A Review on Advanced AFM and SKPFM Data Analytics for Quantitative Nanoscale Corrosion Characterization
by Mohammad Reza Attar and Ali Davoodi
Corros. Mater. Degrad. 2025, 6(4), 58; https://doi.org/10.3390/cmd6040058 - 13 Nov 2025
Viewed by 831
Abstract
Corrosion is a complex, surface-initiated process that demands nanoscale, real-time characterization to understand its initiation and propagation. Atomic force microscopy (AFM) and scanning Kelvin probe force microscopy (SKPFM) have emerged as powerful tools in corrosion science, enabling high-resolution imaging and electrochemical mapping under [...] Read more.
Corrosion is a complex, surface-initiated process that demands nanoscale, real-time characterization to understand its initiation and propagation. Atomic force microscopy (AFM) and scanning Kelvin probe force microscopy (SKPFM) have emerged as powerful tools in corrosion science, enabling high-resolution imaging and electrochemical mapping under realistic conditions. This review, inspired by pioneering work at KTH by Professors Christofer Leygraf and Jinshan Pan, highlights advanced analytical strategies that extend the capabilities of AFM and SKPFM beyond traditional line-profile analysis. Techniques such as power spectral density (PSD) analysis, multimodal Gaussian histogram fitting, statistical roughness quantification, and deconvolution methods are discussed in the context of case studies on aluminum alloys, stainless steels, magnesium alloys, biomedical implants, and protective coatings. By integrating in situ imaging, electrochemical mapping, and statistical data processing, these approaches provide deeper insights into localized corrosion, micro-galvanic coupling, and surface reactivity. Future directions include coupling AFM-based methods with high-speed imaging, machine learning, and spectro-electrochemical techniques to accelerate the development of corrosion-resistant materials and enable probabilistic diagnostics of corrosion initiation susceptibility. Full article
Show Figures

Figure 1

14 pages, 12910 KB  
Article
Study on the Microstructure and Properties of Mg-Gd-Ni-Y Alloy Containing LPSO Phase
by Jibin Zhang, Mingxing Li, Yuming Lai, Lei Wen, Yibo Ai, Xuechong Ren and Weidong Zhang
Metals 2023, 13(12), 1989; https://doi.org/10.3390/met13121989 - 7 Dec 2023
Cited by 2 | Viewed by 2212
Abstract
The long-period stacking ordered (LPSO) structure, functioning as a strengthening phase in magnesium alloys, plays a pivotal role in compensating for inherent performance limitations. In this study, an as-cast Mg-Gd-Ni-Y alloy, including the LPSO phase, was initially obtained through an ingot metallurgy process. [...] Read more.
The long-period stacking ordered (LPSO) structure, functioning as a strengthening phase in magnesium alloys, plays a pivotal role in compensating for inherent performance limitations. In this study, an as-cast Mg-Gd-Ni-Y alloy, including the LPSO phase, was initially obtained through an ingot metallurgy process. Subsequently, the alloy underwent distinct thermal treatments: annealing at 500 °C for 10 h, and extrusion using an extrusion ratio of 10 at a speed of 5 mm/s. Comparative analysis of the microstructure and corrosion characteristics was performed across these three alloy states. Comprising primarily of α-Mg, LPSO phase, and eutectic structures (ES), the alloy exhibited distinctive microstructural features. Immersion experiments conducted in a 3.5% NaCl solution revealed that the as-cast alloy displayed the highest dissolution rate at various temperatures, from room temperature, to 50 °C, and 70 °C. Following annealing, a reduction in the second phase content within the alloy significantly contributed to the observed decrease in its dissolution rate. Extrusion processes resulted in a denser network structure within the microarchitecture, to some extent impeding the spread of corrosion to some extent. By emloying scanning Kelvin probe force microscopy (SKPFM) and micro-electrochemical testing, it was discerned that predominantly the electrochemical system involving α-Mg and the second phases predominantly dictated the heightened dissolution rate of the alloy. This study presents valuable insights into understanding the dissolution mechanisms and potential strategies for controlling the dissolution performance of magnesium alloys containing the LPSO phase. Full article
Show Figures

Figure 1

18 pages, 12207 KB  
Article
Effect of Si Content on Microstructures and Electrochemical Properties of Al-xSi-3.5Fe Coating Alloy
by Yufeng Wu, Ying Shen, Qi Wang, Yuhang Liu, Dongming Shi, Ya Liu and Xuping Su
Materials 2023, 16(23), 7407; https://doi.org/10.3390/ma16237407 - 28 Nov 2023
Cited by 6 | Viewed by 2012
Abstract
Hot-dip aluminum alloy is widely used in the engineering fields. However, during the aluminum plating process, Fe inevitably enters and reaches a saturation state, which has a significant impact on the corrosion resistance and microstructure of the coating. Currently, adding Si during the [...] Read more.
Hot-dip aluminum alloy is widely used in the engineering fields. However, during the aluminum plating process, Fe inevitably enters and reaches a saturation state, which has a significant impact on the corrosion resistance and microstructure of the coating. Currently, adding Si during the hot-dip aluminum process can effectively improve the quality of the coating and inhibit the Fe-Al reaction. To understand the effect of Si content on the microstructure and electrochemical performance of Al-xSi-3.5Fe coating alloys, the microstructure and post-corrosion morphology of the alloys were analyzed using SEM (Scanning Electron Microscope) and XRD (X-ray Diffraction). Through electrochemical tests and complete immersion corrosion experiments, the corrosion resistance of the coating alloys in 3.5 wt.% NaCl was tested and analyzed. The results show that the Al-3.5Fe coating alloy mainly comprises α-Al, Al3Fe, and Al6Fe. With the increase in Si addition, the iron-rich phase changes from Al3Fe and Al6Fe to Al8Fe2Si. When the Si content reaches 4 wt.%, the iron-rich phase is Al9Fe2Si2, and the excess Si forms the eutectic Si phase with the aluminum matrix. Through SKPFM (Scanning Kelvin Probe Force Microscopy) testing, it was determined that the electrode potentials of the alloy phases Al3Fe, Al6Fe, Al8Fe2Si, Al9Fe2Si2, and eutectic Si phase were higher than that of α-Al, acting as cathode phases to the micro-galvanic cell with the aluminum matrix, and the corrosion form of alloys was mainly galvanic corrosion. With the addition of silicon, the electrode potential of the alloy increased first and then decreased, and the corrosion resistance results were synchronous with it. When the Si content is 10 wt.%, the alloy has the lowest electrode potential and the highest electrochemical activity. Full article
Show Figures

Figure 1

21 pages, 4891 KB  
Article
Passive Films Formed on Fe- and Ni-Based Alloys in an Alkaline Medium: An Insight into Complementarities between Electrochemical Techniques and Near-Field Microscopies (AFM/SKPFM)
by N. E. Benaioun, N. Moulayat, N. E. Hakiki, H. Ramdane, E. Denys, A. Florentin, K. D. Khodja, M. M. Heireche and J. L. Bubendorff
Appl. Sci. 2023, 13(21), 11659; https://doi.org/10.3390/app132111659 - 25 Oct 2023
Cited by 8 | Viewed by 2769
Abstract
This study investigates the natural passivation process of two types of stainless steels (AISI 316 and AISI 304) and a nickel-based alloy (Inconel 600) as a function of immersion time in an alkaline medium. As shown by Atomic Force Microscopy (AFM), the oxide [...] Read more.
This study investigates the natural passivation process of two types of stainless steels (AISI 316 and AISI 304) and a nickel-based alloy (Inconel 600) as a function of immersion time in an alkaline medium. As shown by Atomic Force Microscopy (AFM), the oxide film growth on each substrate is only influenced by trenches formed during the polishing step and does not depend on the chemical composition. The evolution of EIS measurements is explained by this growth mode. After 3 days of immersion, the formed film constitutes a protective barrier against alloy dissolution, as shown by Scanning Kelvin Probe Microscopy (SKPFM). Full article
(This article belongs to the Special Issue Feature Papers in Surface Sciences and Technology Section)
Show Figures

Figure 1

11 pages, 2354 KB  
Article
Analysis of Hydrogen Distribution and Diffusion in Pre-Strained SUS316L through Scanning Kelvin Probe Force Microscopy and Thermal Desorption Spectroscopy
by Shuanghe Chi, Jinxing Guo, Zhengli Hua, Juan Shang and Baihui Xing
Energies 2023, 16(20), 7126; https://doi.org/10.3390/en16207126 - 17 Oct 2023
Cited by 2 | Viewed by 2585
Abstract
Austenitic stainless steels (γ-SS) play an important role in the storage of high-pressure hydrogen. However, hydrogen embrittlement (HE) can significantly degrade the mechanical properties of γ-SS. Measuring the distribution of hydrogen in γ-SS is a vital way to learn about HE. In this [...] Read more.
Austenitic stainless steels (γ-SS) play an important role in the storage of high-pressure hydrogen. However, hydrogen embrittlement (HE) can significantly degrade the mechanical properties of γ-SS. Measuring the distribution of hydrogen in γ-SS is a vital way to learn about HE. In this paper, scanning Kelvin probe force microscopy (SKPFM) and thermal desorption spectroscopy (TDS) have been utilized to analyze the distribution and diffusion of hydrogen in pre-strained SUS316L. Additionally, the McNabb–Foster model is employed to calculate hydrogen in the lattice and phase boundaries along the sample’s thickness direction. The results demonstrate that the combination of SKPFM and TDS is an effective approach for studying hydrogen distribution and diffusion in metals. It was observed that hydrogen segregation occurs at the boundary between the martensitic (α′) and austenite (γ) phases. The inhibitory effect of the oxide film on hydrogen diffusion is more significant at lower temperatures. However, it should be noted that the McNabb–Foster model exhibits relatively high accuracy in predicting hydrogen desorption at higher temperatures while disregarding the influence of the native oxide film. Full article
(This article belongs to the Special Issue Advances in Hydrogen Energy Safety Technology)
Show Figures

Figure 1

15 pages, 8000 KB  
Article
Understanding the Corrosion Behavior of Nickel–Aluminum Bronze Induced by Cavitation Corrosion Using Electrochemical Noise: Selective Phase Corrosion and Uniform Corrosion
by Liang Li, Yanxin Qiao, Lianmin Zhang, Aili Ma, Rongyao Ma and Yugui Zheng
Materials 2023, 16(2), 669; https://doi.org/10.3390/ma16020669 - 10 Jan 2023
Cited by 21 | Viewed by 3660
Abstract
Nickel–aluminum bronze (NAB) is widely used to fabricate flow-handling components because of its good cavitation corrosion (CE) resistance and superior casting property. The existence of different phases, e.g., the α phase, β phase and κ phase, can cause significant selective phase corrosion on [...] Read more.
Nickel–aluminum bronze (NAB) is widely used to fabricate flow-handling components because of its good cavitation corrosion (CE) resistance and superior casting property. The existence of different phases, e.g., the α phase, β phase and κ phase, can cause significant selective phase corrosion on NAB. However, under the action of CE with different times, the influence of these phases on the corrosion behavior of NAB, including selective phase corrosion and uniform corrosion, needs to be further studied, which can contribute to a deep understanding of the CE mechanism of NAB in corrosive media. In this work, the corrosion behavior of NAB in 3.5 wt.% NaCl solution after different CE times was evaluated by electrochemical noise (EN), combined with scanning Kelvin probe force microscopy (SKPFM) and morphology analysis. The results showed that the corrosion behavior of NAB was closely associated with the variation in its complex microstructure after different CE times. Selective phase corrosion played a crucial role in the surface damage before 0.5 h of CE. With the prolongation of CE time, the stripping of κ phases decreased the degree of selective phase corrosion of NAB. As a result, both selective phase corrosion and uniform corrosion presented equal performances after 1 h of CE. However, after CE for 2–5 h, uniform corrosion had a dominant impact on the surface damage of NAB. Eventually, the corrosion mechanism of NAB after different CE times was clarified based on the relevant experimental results. Full article
(This article belongs to the Special Issue New Functional Materials with Cavitation-Erosion Resistance)
Show Figures

Figure 1

10 pages, 3352 KB  
Article
Initiation Mechanism of Localized Corrosion Induced by Al2O3-MnS Composite Inclusion in Low-Alloy Structural Steel
by Chao Liu, Hao Yuan, Xuedong Li, Zhichao Che, Shufeng Yang and Cuiwei Du
Metals 2022, 12(4), 587; https://doi.org/10.3390/met12040587 - 30 Mar 2022
Cited by 16 | Viewed by 3554
Abstract
The present work systematically investigated the initiation mechanism of localized corrosion induced by Al2O3-MnS composite inclusion in E690 steel under a simulated marine environment. The results showed that a micro-gap exists between the Al2O3-MnS inclusion [...] Read more.
The present work systematically investigated the initiation mechanism of localized corrosion induced by Al2O3-MnS composite inclusion in E690 steel under a simulated marine environment. The results showed that a micro-gap exists between the Al2O3-MnS inclusion and the matrix, and electron backscattered diffraction (EBSD) analysis revealed significant lattice dislocation zones around the Al2O3-MnS composite inclusion. The presence of the micro-gap and the lattice dislocation both promoted the localized corrosion initiation. The Volta potential of Al2O3 detected by scanning Kelvin probe force microscopy (SKPFM) was approximately 149.33 mV higher than that of the steel matrix, and the Volta potential of MnS was 10 mV lower than that of the steel matrix. The current-sensing atomic force microscopy (CSAFM) results showed that the Al2O3 was not conductive, while the MnS had good conductive properties. Therefore, it was not possible for a galvanic couple to be formed between Al2O3 and the adjacent steel matrix. A galvanic couple effect between the MnS and the adjacent steel matrix was directly demonstrated for the first time. The MnS acted as the anode phase for preferential dissolution in the corrosion process. The in situ immersion experiments and the Pourbaix diagram results confirmed that the dissolution of MnS was an electrochemical reaction process and the dissolution of Al2O3 was a chemical reaction. Full article
(This article belongs to the Section Corrosion and Protection)
Show Figures

Figure 1

13 pages, 5609 KB  
Article
Effect of the Ca2Mg6Zn3 Phase on the Corrosion Behavior of Biodegradable Mg-4.0Zn-0.2Mn-xCa Alloys in Hank’s Solution
by Junjian Fu, Wenbo Du, Ke Liu, Xian Du, Chenchen Zhao, Hongxing Liang, Adil Mansoor, Shubo Li and Zhaohui Wang
Materials 2022, 15(6), 2079; https://doi.org/10.3390/ma15062079 - 11 Mar 2022
Cited by 22 | Viewed by 3659
Abstract
The effect of the Ca2Mg6Zn3 phase on the corrosion behavior of biodegradable Mg-4.0Zn-0.2Mn-xCa (ZM-xCa, x = 0.1, 0.3, 0.5 and 1.0 wt.%) alloys in Hank’s solution was investigated with respect to phase spacing, morphology, distribution and [...] Read more.
The effect of the Ca2Mg6Zn3 phase on the corrosion behavior of biodegradable Mg-4.0Zn-0.2Mn-xCa (ZM-xCa, x = 0.1, 0.3, 0.5 and 1.0 wt.%) alloys in Hank’s solution was investigated with respect to phase spacing, morphology, distribution and volume fraction. With the increase in Ca addition, the volume fraction of the Ca2Mg6Zn3 phase increased from 2.5% to 7.6%, while its spacing declined monotonically from 43 μm to 30 μm. The Volta potentials of secondary phases relative to the Mg matrix were measured by using scanning kelvin probe force microscopy (SKPFM). The results show that the Volta potential of the intragranular spherical Ca2Mg6Zn3 phase (+109 mV) was higher than that of the dendritic Ca2Mg6Zn3 phase (+80 mV). It is suggested that the Ca2Mg6Zn3 acted as a cathode to accelerate the corrosion process due to the micro-galvanic effect. The corrosion preferred to occur around the spherical Ca2Mg6Zn3 phase at the early stage and developed into the intragranular region. The corrosion rate increased slightly with increasing Ca content from 0.1 wt.% to 0.5 wt.% because of the enhanced micro-galvanic corrosion effect. The decrease in the phase spacing and sharp increase in the secondary phase content resulted in a dramatic increase in the corrosion rate of the ZM-1.0Ca alloy. Full article
Show Figures

Figure 1

13 pages, 2867 KB  
Article
Effect of Heat Treatment on Microstructure and Selective Corrosion of LPBF-AlSi10Mg by Means of SKPFM and Exo-Electron Emission
by Marina Cabrini, Sergio Lorenzi, Cristian Testa, Diego Manfredi, Mariangela Lombardi, Alberta Aversa, Francesco Andreatta, Lorenzo Fedrizzi, Yuri Dekhtyar, Hermanis Sorokins and Tommaso Pastore
Materials 2021, 14(19), 5602; https://doi.org/10.3390/ma14195602 - 27 Sep 2021
Cited by 10 | Viewed by 3307
Abstract
The paper deals with the evolution of the microstructure of AlSi10Mg alloy obtained by laser powder bed fusion (LPBF), as a function of the post-processing heat treatment temperature. This was approached by complementary methods including FE-scanning electron microscopy, scanning Kelvin probe force microscopy [...] Read more.
The paper deals with the evolution of the microstructure of AlSi10Mg alloy obtained by laser powder bed fusion (LPBF), as a function of the post-processing heat treatment temperature. This was approached by complementary methods including FE-scanning electron microscopy, scanning Kelvin probe force microscopy and exo-electron emission techniques. The fast cooling rate of the LPBF process as compared to traditional casting produces a very fine microstructure with high mechanical properties and corrosion resistance. However, the LPBF-AlSi10Mg alloy can be susceptible to selective corrosion at the edge of the melt pools generated by the laser scan tracks. Post-process thermal treatments of the Al alloy induce a marked modification of the silicon network at melt pool edges, in particular at high temperature such as 400 °C. It was found that this is associated to a more homogeneous distribution of Volta potential. Analysis of exo-electron emission confirms the silicon diffusion during thermal treatment. The modification of the silicon network structure of the LPBF-AlSi10Mg during thermal treatment reduces the susceptibility to selective corrosion. Full article
(This article belongs to the Special Issue Corrosion in Additive Manufacturing)
Show Figures

Figure 1

16 pages, 21443 KB  
Article
Using SKPFM to Determine the Influence of Deformation-Induced Dislocations on the Volta Potential of Copper
by Yang Zhang, Wei Shi and Song Xiang
Metals 2021, 11(8), 1166; https://doi.org/10.3390/met11081166 - 22 Jul 2021
Cited by 4 | Viewed by 3138
Abstract
The variation rule of the Volta potential on deformed copper surfaces with the dislocation density is determined in this study by using electron back-scattered diffraction (EBSD) in conjunction with scanning Kelvin probe force microscopy (SKPFM). The results show that the Volta potential is [...] Read more.
The variation rule of the Volta potential on deformed copper surfaces with the dislocation density is determined in this study by using electron back-scattered diffraction (EBSD) in conjunction with scanning Kelvin probe force microscopy (SKPFM). The results show that the Volta potential is not linear in the dislocation density. When the dislocation density increases due to the deformation of pure copper, the Volta potential tends to a physical limit. The Volta potential exhibits a fractional function relationship with the dislocation density only for a relatively low shape variable. Full article
Show Figures

Figure 1

14 pages, 9378 KB  
Article
Influence of Aging on Corrosion Behaviour of the 6061 Cast Aluminium Alloy
by Ting He, Wei Shi, Song Xiang, Chaowen Huang and Ronald G. Ballinger
Materials 2021, 14(8), 1821; https://doi.org/10.3390/ma14081821 - 7 Apr 2021
Cited by 31 | Viewed by 4075
Abstract
The influence of AlFeSi and Mg2Si phases on corrosion behaviour of the cast 6061 aluminium alloy was investigated. Scanning Kelvin probe force microscopy (SKPFM), electron probe microanalysis (EPMA), and in situ observations by confocal laser scanning microscopy (CLSM) were used. It [...] Read more.
The influence of AlFeSi and Mg2Si phases on corrosion behaviour of the cast 6061 aluminium alloy was investigated. Scanning Kelvin probe force microscopy (SKPFM), electron probe microanalysis (EPMA), and in situ observations by confocal laser scanning microscopy (CLSM) were used. It was found that Mg2Si phases were anodic relative to the matrix and dissolved preferentially without significantly affecting corrosion propagation. The AlFeSi phases’ influence on 6061 aluminium alloy local corrosion was greater than that of the Mg2Si phases. The corroded region width reached five times that of the AlFeSi phase, and the accelerating effect was terminated as the AlFeSi dissolved. Full article
Show Figures

Figure 1

28 pages, 7514 KB  
Review
Application of AFM-Based Techniques in Studies of Corrosion and Corrosion Inhibition of Metallic Alloys
by Kiryl Yasakau
Corros. Mater. Degrad. 2020, 1(3), 345-372; https://doi.org/10.3390/cmd1030017 - 7 Nov 2020
Cited by 57 | Viewed by 9142
Abstract
In this review several scanning probe microscopy techniques are briefly discussed as valuable assets for corrosionists to study corrosion susceptibility and inhibition of metals and alloys at sub-micrometer resolution. At the beginning, the review provides the reader with background of atomic force microscopy [...] Read more.
In this review several scanning probe microscopy techniques are briefly discussed as valuable assets for corrosionists to study corrosion susceptibility and inhibition of metals and alloys at sub-micrometer resolution. At the beginning, the review provides the reader with background of atomic force microscopy (AFM) and related techniques such as scanning Kelvin probe force microscopy (SKPFM) and electrochemical AFM (EC-AFM). Afterwards, the review presents the current state of corrosion research and specific applications of the techniques in studying important metallic materials for the aircraft and automotive industries. Different corrosion mechanisms of metallic materials are addressed emphasizing the role of intermetallic inclusions, grain boundaries, and impurities as focal points for corrosion initiation and development. The presented information demonstrates the importance of localized studies using AFM-based techniques in understanding corrosion mechanisms of metallic materials and developing efficient means of corrosion prevention. Full article
Show Figures

Figure 1

11 pages, 2597 KB  
Article
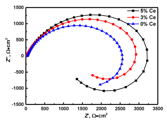
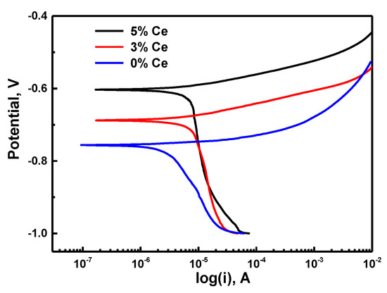
Rare Earth Cerium Increases the Corrosion Resistance of NdFeB Magnets
by Jialei Dai, Zixuan Yang and Qian Liu
Materials 2020, 13(19), 4360; https://doi.org/10.3390/ma13194360 - 30 Sep 2020
Cited by 16 | Viewed by 3389
Abstract
Herein, we investigated the effects of Ce on the corrosion behavior of NdFeB magnets in 3.5% NaCl solutions using electrochemical tests, scanning electron microscopy (SEM), energy dispersive spectroscopy (EDS) mapping, and scanning Kelvin probe force microscopy (SKPFM). We demonstrated that Ce markedly enhances [...] Read more.
Herein, we investigated the effects of Ce on the corrosion behavior of NdFeB magnets in 3.5% NaCl solutions using electrochemical tests, scanning electron microscopy (SEM), energy dispersive spectroscopy (EDS) mapping, and scanning Kelvin probe force microscopy (SKPFM). We demonstrated that Ce markedly enhances the corrosion resistance of NdFeB magnets. Ce primarily replaces Nd in the Nd-rich phase instead of matrix phase, increasing the surface potential of the Nd-rich phase. An increase in the Ce content from 0 to 5.21 wt%, decreased the potential difference between the main phase and (Nd, Ce)-rich phase from 350.2 mV to 97.7 mV; therefore, the corrosion resistance of the magnetic materials increased. The corrosion resistance constituted the Nd-rich phase < the void < metal matrix. Moreover, based on the results of the study, we discussed the impact mechanism of additions of Ce on the corrosion resistance of the magnets. Full article
Show Figures

Figure 1

20 pages, 5137 KB  
Article
Corrosion Initiation and Propagation on Carburized Martensitic Stainless Steel Surfaces Studied via Advanced Scanning Probe Microscopy
by Armen Kvryan, Corey M. Efaw, Kari A. Higginbotham, Olivia O. Maryon, Paul H. Davis, Elton Graugnard, Hitesh K. Trivedi and Michael F. Hurley
Materials 2019, 12(6), 940; https://doi.org/10.3390/ma12060940 - 21 Mar 2019
Cited by 18 | Viewed by 5146
Abstract
Historically, high carbon steels have been used in mechanical applications because their high surface hardness contributes to excellent wear performance. However, in aggressive environments, current bearing steels exhibit insufficient corrosion resistance. Martensitic stainless steels are attractive for bearing applications due to their high [...] Read more.
Historically, high carbon steels have been used in mechanical applications because their high surface hardness contributes to excellent wear performance. However, in aggressive environments, current bearing steels exhibit insufficient corrosion resistance. Martensitic stainless steels are attractive for bearing applications due to their high corrosion resistance and ability to be surface hardened via carburizing heat treatments. Here three different carburizing heat treatments were applied to UNS S42670: a high-temperature temper (HTT), a low-temperature temper (LTT), and carbo-nitriding (CN). Magnetic force microscopy showed differences in magnetic domains between the matrix and carbides, while scanning Kelvin probe force microscopy (SKPFM) revealed a 90–200 mV Volta potential difference between the two phases. Corrosion progression was monitored on the nanoscale via SKPFM and in situ atomic force microscopy (AFM), revealing different corrosion modes among heat treatments that predicted bulk corrosion behavior in electrochemical testing. HTT outperforms LTT and CN in wear testing and thus is recommended for non-corrosive aerospace applications, whereas CN is recommended for corrosion-prone applications as it exhibits exceptional corrosion resistance. The results reported here support the use of scanning probe microscopy for predicting bulk corrosion behavior by measuring nanoscale surface differences in properties between carbides and the surrounding matrix. Full article
(This article belongs to the Special Issue Corrosion and Protection of Materials)
Show Figures

Figure 1

15 pages, 5450 KB  
Article
Synergistic Effect of Al2O3 Inclusion and Pearlite on the Localized Corrosion Evolution Process of Carbon Steel in Marine Environment
by Chao Liu, Xuequn Cheng, Zeyu Dai, Ryan Liu, Ziyu Li, Liying Cui, Mindong Chen and Le Ke
Materials 2018, 11(11), 2277; https://doi.org/10.3390/ma11112277 - 14 Nov 2018
Cited by 47 | Viewed by 4818
Abstract
The initiation and evolution of the localized corrosion in carbon steel were investigated in a simulated marine environment of Xisha Island in the South China Sea. In the initial stage, localized corrosion occurred in the form of corrosion spot. The localized corrosion morphology [...] Read more.
The initiation and evolution of the localized corrosion in carbon steel were investigated in a simulated marine environment of Xisha Island in the South China Sea. In the initial stage, localized corrosion occurred in the form of corrosion spot. The localized corrosion morphology and electrochemical information during corrosion process were tracked by field emission scanning electron microscopy energy dispersive spectrometry (FE-SEM-EDS), scanning vibrating electrode technique (SVET) and scanning Kelvin probe force microscopy (SKPFM). Localized corrosion was induced by the microcrevices around Al2O3 inclusions. The occluded cells and oxygen concentration cell formed in the pits could accelerate the localized corrosion. Pearlite accelerated the dissolution of the inside and surrounding ferrite via the galvanic effect between Fe3C and ferrite. Overall, the localized corrosion was initiated and evaluated under a synergistic effect of crevice corrosion, occluded cells, oxygen concentration cell and the galvanic couple between FeC3 and ferrite. Full article
Show Figures

Figure 1

Back to TopTop