Sign in to use this feature.

Years

Between: -

Subjects

remove_circle_outline
remove_circle_outline
remove_circle_outline
remove_circle_outline
remove_circle_outline
remove_circle_outline
remove_circle_outline
remove_circle_outline
remove_circle_outline

Journals

Article Types

Countries / Regions

Search Results (19)

Search Parameters:
Keywords = sartorius muscle

Order results
Result details
Results per page
Select all
Export citation of selected articles as:
24 pages, 5008 KB  
Review
Myocutaneous Flaps and Muscle Flaps for Management of Limbs’ Defects in Dogs and Cats: A Review
by Mandalena Markou, Eleftheria Dermisiadou, Konstantina Karagianni, Eugenia Flouraki and Vassiliki Tsioli
Pets 2025, 2(4), 41; https://doi.org/10.3390/pets2040041 - 5 Dec 2025
Viewed by 1306
Abstract
The objective of the present study is to review the anatomical considerations, surgical techniques, clinical applications, and outcomes of myocutaneous and muscle flaps used in the reconstruction of limb defects in dogs and cats. Limb wounds in small animals often result from trauma, [...] Read more.
The objective of the present study is to review the anatomical considerations, surgical techniques, clinical applications, and outcomes of myocutaneous and muscle flaps used in the reconstruction of limb defects in dogs and cats. Limb wounds in small animals often result from trauma, neoplasia, or infection and can involve significant soft tissue loss. Reconstruction of these defects is challenging due to limited local skin availability, particularly in distal regions, and the need to preserve function while preventing complications. Muscle and myocutaneous flaps provide well-vascularized tissue suitable for covering complex wounds, especially those with exposed bone, joints, or tendons. This review synthesizes current literature on commonly used flaps—including latissimus dorsi, cutaneous trunci, trapezius, sartorius, semitendinosus, and flexor carpi ulnaris; focusing on their anatomical basis, vascular supply, arc of rotation, surgical technique, indications, and complication rates. Comparative data between dogs and cats are highlighted, and experimental as well as clinical applications are discussed. Myocutaneous flaps offer durable and reliable coverage with lower infection and necrosis rates compared to skin grafts, particularly in contaminated or poorly vascularized wounds. Common complications include distal flap necrosis, wound dehiscence, seroma, and, occasionally, functional deficits. Muscle and myocutaneous flaps remain essential tools in limb reconstruction. Successful outcomes require careful flap planning, surgical expertise, and vigilant postoperative care. Further prospective studies are needed to optimize flap selection and reduce complication rates in both species. Full article
Show Figures

Figure 1

7 pages, 2356 KB  
Communication
Supra-Sartorial Subcutaneous Infiltration (SSSI) for Anterior Femoral Cutaneous Nerve Coverage in Total Knee Arthroplasty: A Preliminary Clinical Study
by Shang-Ru Yeoh, Wei-Chun Chang, Kuan-Lin Wang, Kuang-Yu Tai, Fu-Kai Hsu and Ching-Wei Chuang
Biomedicines 2025, 13(10), 2368; https://doi.org/10.3390/biomedicines13102368 - 27 Sep 2025
Viewed by 753
Abstract
Background: Multimodal analgesia, combining adductor canal block (ACB) and local infiltration analgesia (LIA), is commonly used for pain control after total knee arthroplasty (TKA). However, ACB alone may not fully cover the anteromedial knee, a region extensively disrupted by TKA. Recent studies [...] Read more.
Background: Multimodal analgesia, combining adductor canal block (ACB) and local infiltration analgesia (LIA), is commonly used for pain control after total knee arthroplasty (TKA). However, ACB alone may not fully cover the anteromedial knee, a region extensively disrupted by TKA. Recent studies suggest that blocking branches of the anterior femoral cutaneous nerve (AFCN) could enhance analgesia, but targeted AFCN blocks are technically challenging. We evaluated supra-sartorial subcutaneous infiltration (SSSI) at the femoral triangle apex as a simpler alternative to AFCN blocks. Methods: We retrospectively reviewed 19 patients undergoing TKA with a standardized multimodal analgesic protocol, including intraoperative LIA limited to posterior capsule (PC-LIA), postoperative SSSI, and delayed intermittent ACB via catheter. SSSI involved infiltrating 20 mL of 0.3% ropivacaine into the subcutaneous plane above the sartorius muscle at the level of femoral triangle apex. Pain was assessed using Numerical Rating Scale (NRS) scores at rest and during movement at 9:00 PM on postoperative day 0 (POD 0) and 9:00 AM on POD 1, with scheduled ACB doses administered at the time of NRS pain score assessments. Rescue ACB boluses were given for intolerable pain before the first scheduled dose. Results: Eleven patients (58%) required no rescue analgesia before the first scheduled ACB, maintaining NRS scores ≤ 4 at rest and with movement for a minimum of 575–785 min post-spinal anesthesia. Eight patients needed rescue ACB, with variable pain relief. Conclusions: SSSI, when combined with PC-LIA, provided clinically meaningful analgesia in 58% of our patient cohort following TKA, though the variability observed suggests limited consistency. As a practical alternative to targeted AFCN blocks, SSSI could potentially complement ACB in multimodal pain management, but its efficacy remains uncertain due to the retrospective, non-controlled study design without a comparator group. Further investigation through prospective randomized controlled trials is warranted to validate these preliminary findings. Full article
(This article belongs to the Special Issue New Trends in Regional Anesthesia and Pain Management)
Show Figures

Figure 1

9 pages, 1915 KB  
Article
Ultrasound-Guided Multi-Branch Rectus Femoris Nerve Block for Spasticity Assessment
by Stefano Carda, Elisa Grana, Thierry Deltombe and Rajiv Reebye
Toxins 2025, 17(9), 437; https://doi.org/10.3390/toxins17090437 - 1 Sep 2025
Viewed by 1302
Abstract
Background: Stiff-knee gait commonly involves rectus femoris spasticity in patients with central nervous system lesions. Diagnostic nerve blocks aid in predicting treatment outcomes; however, current techniques may overlook multiple nerve branches that innervate the rectus femoris muscle, potentially resulting in an incomplete [...] Read more.
Background: Stiff-knee gait commonly involves rectus femoris spasticity in patients with central nervous system lesions. Diagnostic nerve blocks aid in predicting treatment outcomes; however, current techniques may overlook multiple nerve branches that innervate the rectus femoris muscle, potentially resulting in an incomplete assessment of treatment outcomes. Methods: We present an ultrasound-guided approach that we currently use in our practice, using anatomical landmarks, including the femoral artery, the sartorius muscle, and the rectus femoris’ characteristic “J-shaped” internal tendon. The technique employs an “elevator” scanning method to identify all motor nerve branches (typically 2–3) entering the proximal third of the rectus femoris muscle. Each branch is blocked using an in-plane needle approach with 1–2 mL of 2% lidocaine. Results: The technique enables the visualization of hyperechoic nerve branches entering the rectus femoris muscle from medial to lateral, sometimes accompanied by small vascular branches that are identifiable with a Doppler ultrasound. Optimal ultrasound settings include probes >8 MHz, appropriate focus positioning, and dynamic range < 60 dB. The multi-branch approach produces rapid-onset motor weakness (5–10 min). Conclusions: This comprehensive multi-branch rectus femoris nerve block technique may enhance diagnostic accuracy for spasticity assessment, potentially leading to more informed treatment selection for stiff-knee gait. Full article
Show Figures

Figure 1

14 pages, 649 KB  
Article
A Pilot Study on the Influence of Diaphragmatic Function on Iliopsoas Muscle Activity in Individuals with Chronic Ankle Instability
by Takumi Jiroumaru, Shun Nomura, Yutaro Hyodo, Michio Wachi, Junko Ochi, Nobuko Shichiri and Takamitsu Fujikawa
Muscles 2025, 4(2), 16; https://doi.org/10.3390/muscles4020016 - 19 May 2025
Viewed by 3411
Abstract
This study examined the impact of different breath-holding conditions on iliopsoas and other hip flexor muscle activity in individuals with chronic ankle instability (CAI). It has been hypothesised that impaired diaphragmatic function influences iliopsoas activation, potentially contributing to motor control deficits in patients [...] Read more.
This study examined the impact of different breath-holding conditions on iliopsoas and other hip flexor muscle activity in individuals with chronic ankle instability (CAI). It has been hypothesised that impaired diaphragmatic function influences iliopsoas activation, potentially contributing to motor control deficits in patients with CAI. Eleven adults with a history of chronic ankle sprain participated in this study. Maximal isometric hip flexion was assessed under three breath-holding conditions: end-expiration, end-inspiration, and the intermediate state. Surface electromyography was used to record the muscle activity of the iliopsoas, rectus femoris, sartorius, and tensor fasciae latae, while the peak hip flexion torque was measured using an isokinetic dynamometer. Under the end-inspiration condition, iliopsoas activity on the affected side was significantly lower than that on the control side (p < 0.05). However, no significant differences were observed between the affected and control sides in the activity of the other hip flexor muscles or the peak hip flexion torque across breath-holding conditions. This study highlights the association between reduced iliopsoas activity during end-inspiration and compromised diaphragmatic function in patients with CAI. Future research should explore dynamic movement tasks and larger sample sizes to elucidate neuromuscular mechanisms further and refine rehabilitation strategies. Full article
Show Figures

Figure 1

22 pages, 16972 KB  
Review
The Elias University Hospital Approach: A Visual Guide to Ultrasound-Guided Botulinum Toxin Injection in Spasticity: Part III—Proximal Lower Limb Muscles
by Marius Nicolae Popescu, Claudiu Căpeț, Cristina Beiu and Mihai Berteanu
Toxins 2025, 17(5), 240; https://doi.org/10.3390/toxins17050240 - 13 May 2025
Cited by 2 | Viewed by 3129
Abstract
Ultrasound-guided botulinum toxin type A (BoNT-A) injections have become an essential tool in the management of lower limb spasticity. Following our previous work, which focused on upper limb muscles, this third part provides a detailed visual guide to the identification and injection of [...] Read more.
Ultrasound-guided botulinum toxin type A (BoNT-A) injections have become an essential tool in the management of lower limb spasticity. Following our previous work, which focused on upper limb muscles, this third part provides a detailed visual guide to the identification and injection of proximal lower limb muscles frequently involved in spastic gait and posture disorders. This guide presents the ultrasound anatomy, clinical relevance, and injection strategies for eleven key muscles: gluteus maximus, piriformis, psoas majorrectus femoris, sartoriusgracilis, adductor longus, adductor magnus, semimembranosus, semitendinosus, and biceps femoris. For each muscle, the Elias University Hospital (EUH) model is applied, highlighting the zones of maximum thickness and motor point density to ensure precise and effective BoNT-A delivery. Enhanced with high-resolution ultrasound images and dynamic scanning techniques, this visual guide supports clinicians in performing safe, targeted injections. It serves as both an educational and practical reference for the ultrasound-guided treatment of spasticity in the proximal lower limb, completing the series and offering a standardized framework for comprehensive BoNT-A management. By promoting accurate toxin delivery, this approach is expected to improve functional mobility, reduce spasticity-related complications, and optimize patient-centered outcomes in rehabilitation settings. Full article
(This article belongs to the Section Bacterial Toxins)
Show Figures

Figure 1

21 pages, 1935 KB  
Review
Morphological Variability of the Thigh Muscle Traps in an Ultrasound That Awaits Clinicians
by Marta Pośnik, Nicol Zielinska, Adrian Okoń, Andrzej Węgiel, Mariola Głowacka and Łukasz Olewnik
J. Clin. Med. 2025, 14(2), 464; https://doi.org/10.3390/jcm14020464 - 13 Jan 2025
Cited by 1 | Viewed by 1892
Abstract
Objectives: Muscles and their tendons present a considerable diversity of morphological variations. The aim of this study was to explore variants of muscles and tendons from compartments of the thigh and to raise awareness about potential problems during ultrasound examination. Materials and Methods: [...] Read more.
Objectives: Muscles and their tendons present a considerable diversity of morphological variations. The aim of this study was to explore variants of muscles and tendons from compartments of the thigh and to raise awareness about potential problems during ultrasound examination. Materials and Methods: This comprehensive review of the literature was created on the basis of scientific articles sourced from PubMed. The search included all relevant papers related to the topic, ensuring that the most up-to-date studies were incorporated. In order to achieve these results, we created the exclusion criteria and extracted papers that did not meet the requirements of our review. Relevant papers were incorporated, and tracking of citations was fulfilled. The described method allowed for a broad yet detailed understanding, ensuring that the review of the literature covers all key aspects of the presented research. Results: Various aspects of thigh muscle anomalies were already undertaken; however, as this study has shown, current knowledge, while valuable, is insufficient to draw definitive conclusions regarding the prevalence and clinical implications of these muscle variations. A more robust body of ultrasound-based research is essential to accurately characterize these anomalies, establish their frequency, and assess their impact on clinical decision-making, including diagnostic accuracy, surgical planning, and therapeutic interventions. Conclusions: Numerous anatomical variations of the thigh muscles and tendons that were described in literature over the years might have clinical implications and could lead to mistakes during diagnosis by ultrasound imaging. Full article
(This article belongs to the Section Orthopedics)
Show Figures

Figure 1

11 pages, 876 KB  
Article
Inflammatory Cells in Adipose Tissue and Skeletal Muscle of Patients with Peripheral Arterial Disease or Chronic Venous Disease: A Prospective, Observational, and Histological Study
by Joana Ferreira, Adhemar Longatto-Filho, Julieta Afonso, Susana Roque, Alexandre Lima Carneiro, Isabel Vila, Cristina Silva, Cristina Cunha, Amílcar Mesquita, Jorge Cotter, Margarida Correia-Neves, Armando Mansilha and Pedro Cunha
J. Cardiovasc. Dev. Dis. 2024, 11(4), 121; https://doi.org/10.3390/jcdd11040121 - 16 Apr 2024
Cited by 2 | Viewed by 2148
Abstract
The main goal of this study was to assess whether the presence of peripheral arterial disease (PAD) correlates with increased inflammatory cell infiltration. An observational, single-centre, and prospective study was conducted from January 2018 to July 2022. Clinical characteristics and anthropometric measures were [...] Read more.
The main goal of this study was to assess whether the presence of peripheral arterial disease (PAD) correlates with increased inflammatory cell infiltration. An observational, single-centre, and prospective study was conducted from January 2018 to July 2022. Clinical characteristics and anthropometric measures were registered. Consecutive PAD patients with surgical indications for a common femoral artery approach and patients with varicose veins with an indication for surgical ligation of the saphenofemoral junction were included. In both groups, samples of sartorius skeletal muscle, subcutaneous adipose tissue (SAT), and perivascular adipose tissue (PVAT) were collected from the femoral region. We analysed the characteristics of adipocytes and the presence of haemorrhage and inflammatory cells in the samples of PVAT and SAT via haematoxylin–eosin staining. We found that patients with PAD had significantly more inflammatory cells in PVAT [16 (43.24%) vs. 0 (0%) p = 0.008]. Analysing SAT histology, we observed that patients with PAD had significantly more CD45+ leucocytes upon immunohistochemical staining [32 (72.73%) vs. 3 (27.27%) p = 0.005]. Upon analysing skeletal muscle histology with haematoxylin–eosin staining, we evaluated skeletal fibre preservation, as well as the presence of trauma, haemorrhage, and inflammatory cells. We registered a significantly higher number of inflammatory cells in patients with PAD [well-preserved skeletal fibres: PAD = 26 (63.41%) vs. varicose veins = 3 (37.50%) p = 0.173; trauma: PAD = 4 (9.76%) vs. varicose veins = 2 (25.00%) p = 0.229; haemorrhage: PAD = 6 (14.63%) vs. varicose veins = 0 (0%) p = 0.248; inflammatory cells: PAD = 18 (43.90%) vs. varicose veins = 0 (0%) p = 0.018]. Patients with PAD had a higher number of inflammatory cells in skeletal muscle and adipose tissue (PVAT and SAT) when compared with those with varicose veins, emphasizing the role of inflammation in this group of patients. Full article
Show Figures

Figure 1

11 pages, 1667 KB  
Communication
Location of Trigger Points in a Group of Police Working Dogs: A Preliminary Study
by Maira Rezende Formenton, Karine Portier, Beatriz Ribeiro Gaspar, Lisa Gauthier, Lin Tchia Yeng and Denise Tabacchi Fantoni
Animals 2023, 13(18), 2836; https://doi.org/10.3390/ani13182836 - 7 Sep 2023
Cited by 5 | Viewed by 12424
Abstract
This study examined the percentage and location of trigger points in police working dogs. Twelve dogs housed at a military police kennel were selected through convenience sampling. Only active dogs with no comorbidities or radiographic changes doing 6 hours of intense physical activity [...] Read more.
This study examined the percentage and location of trigger points in police working dogs. Twelve dogs housed at a military police kennel were selected through convenience sampling. Only active dogs with no comorbidities or radiographic changes doing 6 hours of intense physical activity per day were included. After orthopedic and neurological examination, dogs were palpated for the detection of trigger points (TPs), carried out by two independent examiners, with criteria of palpations previously standardized. TPs were recorded using an anatomy reference image according to the corresponding anatomical location. The percentage of TPs was highest in the lumbar portion of the longissimus dorsi muscle (42%), followed by the latissimus dorsi, pectineus, quadriceps femoris, and sartorius (33%) muscles. Most TPs were located on the right side of the body. This study’s percentage of TPs in police working dogs was higher in spinal and hind limb muscles, especially on the right side. The major criteria for identifying TPs in dogs were the pain responses to palpation and contractile local response. The findings of this study could be used to refine myofascial pain prevention to reduce early retirement due to musculoskeletal pain and draw attention to this kind of problem that can also affect dogs. Full article
Show Figures

Figure 1

10 pages, 5678 KB  
Article
Targeting of Periprosthetic Muscles for the Ultrasonographic Screening of Hip Abnormalities in Hip Resurfacing Arthroplasty Patients
by Hyonmin Choe, Naomi Kobayashi, Koki Abe, Yuta Hieda, Hiroyuki Ike, Ken Kumagai, Kazuma Miyatake, Takahiro Fujisawa and Yutaka Inaba
J. Clin. Med. 2023, 12(8), 2871; https://doi.org/10.3390/jcm12082871 - 14 Apr 2023
Viewed by 2214
Abstract
Background: Hip resurfacing arthroplasty (HRA) patients require subsequent annual screening for postoperative complications. Ultrasonography may be useful for this purpose but lacks a screening protocol for hips. The purpose of this study was to evaluate the accuracy of ultrasonography for detecting postoperative complications [...] Read more.
Background: Hip resurfacing arthroplasty (HRA) patients require subsequent annual screening for postoperative complications. Ultrasonography may be useful for this purpose but lacks a screening protocol for hips. The purpose of this study was to evaluate the accuracy of ultrasonography for detecting postoperative complications in HRA patients using a screening protocol that specifically targets periprosthetic muscles. Methods: We enrolled 45 hips from 40 HRA patients with a mean follow-up period of 8.2 years. MRI and ultrasonography scans were simultaneously conducted at follow-up. The ultrasonography assessments were conducted on the anterior part of the hip that targets iliopsoas, sartorius, rectus femoris, lateral with anterior superior and inferior iliac spine (ASIS and AIIS) as bony landmarks, and the lateral and posterior parts that target fascia tensor, short rotators, and gluteus minimus, medius, and maximus with greater trochanter and ischial tuberosity as bony landmarks. The accuracy of diagnosing postoperative abnormalities and the visibility of periprosthetic muscles were compared between these two modalities. Results: Both MRI and ultrasonography detected an abnormal region in eight cases comprising two infections, two pseudotumors, and four patients with greater trochanteric bursitis. Among these cases, four hips required implant removal. The increase in anterior space, measured as the distance between the iliopsoas and resurfacing head, was a good indicator for the abnormal mass in these four HRA cases. In the assessment of periprosthetic muscles, MRI showed a much lower visibility than ultrasonography in the iliopsoas (6.7% vs. 100%), gluteus minimus (6.7% vs. 88.9%), and short rotators (8.8% vs. 71.4%) due to implant halation. Conclusions: By targeting periprosthetic muscles, ultrasonography can detect postoperative complications as effectively as MRI assessments in HRA patients. Ultrasonography has superior visibility in the periprosthetic muscles of HRA patients, indicating its utility for the screening of small legions in these cases which may not be visible by MRI. Full article
Show Figures

Figure 1

10 pages, 1455 KB  
Article
Regression Model Decreasing the Risk of Femoral Neurovascular Bundle Accidental Puncture
by Juan Antonio Valera-Calero, Umut Varol, Gustavo Plaza-Manzano, César Fernández-de-las-Peñas and Adolfo Agudo-Aguado
Tomography 2022, 8(5), 2498-2507; https://doi.org/10.3390/tomography8050208 - 1 Oct 2022
Cited by 6 | Viewed by 2549
Abstract
Although most of the adverse events derived from dry needling are minor, avoiding potential hazards for patients including accidental invasion of vessels, ganglia, and nerves is essential to ensure patients’ safety. We aimed to investigate the contribution of predictors explaining the variance of [...] Read more.
Although most of the adverse events derived from dry needling are minor, avoiding potential hazards for patients including accidental invasion of vessels, ganglia, and nerves is essential to ensure patients’ safety. We aimed to investigate the contribution of predictors explaining the variance of sartorius muscle depth limit at proximal third and middle thigh as these locations lead to an augmented risk of neurovascular bundle invasion during dry needling application. A diagnostic study was conducted on 84 subjects to calculate the accuracy of a prediction model for sartorius depth, as assessed with ultrasound imaging, based on sex, age, height, weight, body mass index (BMI), thigh perimeter, and length. After calculating a correlation matrix, a multiple linear regression analysis was performed to detect those variables contributing to the sartorius deep limit in both locations. Although males showed greater thigh perimeter than women (p < 0.001), the deep limit of the sartorius muscle was significantly more superficial for both the proximal third (p = 0.003) and the mid-third (p = 0.004) points. No side-to-side anthropometric differences were found (p > 0.05). In addition, we found sartorius muscle depth to be associated with the proximal and mid-third girth, gender, height, and BMI (all, p < 0.01). Gender, proximal-third girth, and BMI explained 51.1% and 42.6% of the variance for the sartorius deep limit at the proximal and the mid-third, respectively. This study analyzed whether anthropometric features could predict sartorius muscle depth in healthy participants for assisting clinicians in choosing the optimal needle length to avoid accidental femoral bundle puncture. Full article
(This article belongs to the Special Issue Novel Imaging Advances in Physiotherapy)
Show Figures

Figure 1

9 pages, 1051 KB  
Article
Knee Muscles Composition Using Electrical Impedance Myography and Magnetic Resonance Imaging
by Domenico Albano, Salvatore Gitto, Jacopo Vitale, Susan Bernareggi, Sveva Lamorte, Alberto Aliprandi, Luca Maria Sconfienza and Carmelo Messina
Diagnostics 2022, 12(9), 2217; https://doi.org/10.3390/diagnostics12092217 - 13 Sep 2022
Cited by 3 | Viewed by 3838
Abstract
We evaluated the correlation of electrical impedance myography (EIM) measurements of knee muscles composition using Skulpt ChiselTM with MRI data retrieved from muscles segmentation. A total of 140 patients (71 females, 52 ± 21 years) underwent knee MRI, EIM with Skulpt® [...] Read more.
We evaluated the correlation of electrical impedance myography (EIM) measurements of knee muscles composition using Skulpt ChiselTM with MRI data retrieved from muscles segmentation. A total of 140 patients (71 females, 52 ± 21 years) underwent knee MRI, EIM with Skulpt®, and clinical evaluation (SARC-F questionnaire). MRIs were reviewed to assess the cross-sectional area (CSA) and skeletal muscle index (SMI = CSA/height2) of vastus medialis, vastus lateralis, biceps, semimembranosus, and sartorius. We tested the correlations of EIM-derived parameters [body fat-percentage (BF%) and muscle quality] with total CSA, CSA of each muscle, SMI, and SARC-F scores (0–10) using Pearson correlation coefficient. We found medium negative correlation of BF% with SMI (r = −0.430, p < 0.001) and total CSA (r = −0.445, p < 0.001), particularly with biceps (r = −0.479, p < 0.001), sartorius (r = −0.440, p < 0.001), and semimembranosus (r = −0.357, p < 0.001). EIM-derived muscle quality showed small-to-medium positive correlation with MRI measurements, ranging from r = 0.234 of biceps (p = 0.006) to r = 0.302 of total CSA (p < 0.001), except for vastus lateralis (r = 0.014, p = 0.873). SARC-F scores showed small correlations with EIM and MRI data, ranging from r = −0.132 (p = 0.121) with EIM muscle quality to r = −0.288 (p = 0.001) with CSA of vastus medialis. Hence, we observed small-to-medium correlations of muscle parameters derived from Skulpt ChiselTM with SARC-F scores and MRI parameters. We recommend using Skulpt ChiselTM with caution for assessing knee skeletal muscles composition. Full article
(This article belongs to the Special Issue Advanced Techniques in Body Magnetic Resonance Imaging 2.0)
Show Figures

Figure 1

11 pages, 1725 KB  
Case Report
Prenatally Diagnosed Infantile Myofibroma of Sartorius Muscle—A Differential for Soft Tissue Masses in Early Infancy
by Ștefan Popa, Dan Apostol, Ovidiu Bîcă, Diana Benchia, Ioan Sârbu and Carmen Iulia Ciongradi
Diagnostics 2021, 11(12), 2389; https://doi.org/10.3390/diagnostics11122389 - 18 Dec 2021
Cited by 7 | Viewed by 3423
Abstract
Background: Infantile myofibromatosis (IM) is a soft tissue disease with solitary or multiple benign tumors, and an etiology still unknown. IM is a mesenchymal disorder of early infancy and is more frequent in males. IM may present as a solitary lesion of the [...] Read more.
Background: Infantile myofibromatosis (IM) is a soft tissue disease with solitary or multiple benign tumors, and an etiology still unknown. IM is a mesenchymal disorder of early infancy and is more frequent in males. IM may present as a solitary lesion of the skin, bone, muscle, subcutaneous tissue, located at the head, neck, and trunk, with good prognosis; or, as a multicentric form, with or without visceral involvement (heart, lung, gastrointestinal tract, kidney), with a poor prognosis. The definitive diagnosis of IM is confirmed by pathology. Treatment may be conservative, surgical, or chemotherapeutical. Case presentation: A two months old female patient, prenatally diagnosed at 30 weeks, presenting with a tumor on the antero-internal aspect of the left thigh. She was admitted due to rapid postnatal evolution, and the patient required surgery for tumor resection. Previously, clinically, biological and imaging investigations were performed, but the final diagnosis was histological and by immunostaining. The patient had a favorable postoperative outcome. Conclusions: Despite its low frequency, IM should be considered in the differential diagnosis of soft tissue masses at an early age. The clinical form (solitary or multicentric), location, and visceral involvement will dictate the treatment and prognosis. Full article
(This article belongs to the Section Pathology and Molecular Diagnostics)
Show Figures

Figure 1

10 pages, 256 KB  
Article
Measurement of Tissue Oximetry in Standing Unsedated and Sedated Horses
by Nicholas Cowling, Solomon Woldeyohannes, Albert Sole Guitart and Wendy Goodwin
Vet. Sci. 2021, 8(10), 202; https://doi.org/10.3390/vetsci8100202 - 22 Sep 2021
Cited by 1 | Viewed by 2877
Abstract
Near infrared spectroscopy (NIRS) noninvasively measures peripheral tissue oxygen saturation (StO2) and may be useful to detect early changes in StO2 in anaesthetized and critically ill horses. This study aimed to identify the muscle belly that provided the highest percentage [...] Read more.
Near infrared spectroscopy (NIRS) noninvasively measures peripheral tissue oxygen saturation (StO2) and may be useful to detect early changes in StO2 in anaesthetized and critically ill horses. This study aimed to identify the muscle belly that provided the highest percentage of successful StO2 readings and the highest mean StO2 value. Fifty adult horses were enrolled in a prospective controlled study. StO2 was measured at six different muscles in each horse, for each intervention: hair overlying the muscle was clipped (post clipping: PC), clipped skin was cleaned with chlorhexidine (post-surgical prepping: PP) and medetomidine was administered intravenously (post medetomidine: PM). Mean StO2 values were calculated for each muscle, and a linear effects model was used to assess the effect of muscle group and intervention on StO2. The sartorius muscle gave the highest percentage of successful StO2 values (p < 0.001) and the highest mean (90% CI) StO2 values for the PC, PP and PM interventions. Surgical prepping of the skin increased the success for measurement of StO2 values. For all muscles, administration of medetomidine was associated with lower StO2 values (p < 0.001). In conclusion, of the muscles examined, the sartorius muscle may be the preferred muscle to measure StO2 in horses, and clipping and cleaning of the probe placement site is recommended. Full article
9 pages, 2006 KB  
Article
A New Rectus and Sartorius Sparing Approach for Periacetabular Osteotomy in Patients with Developmental Dysplasia of the Hip
by Jannis Löchel, Viktor Janz, Carsten Perka, Andre Hofer, Alexander Zimmerer and Georgi I. Wassilew
J. Clin. Med. 2021, 10(4), 601; https://doi.org/10.3390/jcm10040601 - 5 Feb 2021
Cited by 9 | Viewed by 3825
Abstract
Background: periacetabular osteotomy (PAO) is known as the gold standard surgical treatment in young adults with symptomatic hip dysplasia. With the aim of reducing soft tissue trauma, we developed a new rectus and sartorius sparing (RASS) approach. We hypothesized that this new PAO [...] Read more.
Background: periacetabular osteotomy (PAO) is known as the gold standard surgical treatment in young adults with symptomatic hip dysplasia. With the aim of reducing soft tissue trauma, we developed a new rectus and sartorius sparing (RASS) approach. We hypothesized that this new PAO technique was equal regarding acetabular reorientation, complication rate, and short-term clinical outcome parameters, compared to our conventional, rectus sparing (RS) approach. Patients and Methods: we retrospectively assessed all PAO procedures performed by a single surgeon between 2016 and 2019 (n = 239 hips in 217 patients). The cases in which the new RASS technique were used (n = 48) were compared to the RS cases for acetabular orientation parameters, surgical time, perioperative reduction of hemoglobin level, and length of hospital stay (LOHS). Inclusion criteria were a lateral center-edge angle (LCEA) <25° and osteoarthritis Tönnis grade ≤1. Patients with acetabular retroversion or additional femoral osteotomy were excluded. Results: the mean patient age at the time of surgery was 29 years (14 to 50, SD ± 8.5). Females accounted for 79.5% in this series. The mean preoperative LCEA were 16° (7 to 24°, SD ± 4.4) and 15° (0 to 23°, SD ± 6) in the RASS and the RS group, respectively (p = 0.96). The mean preoperative acetabular index (AI) angles were 14° (2 to 25°, SD ± 4) and 14° (7 to 29°, SD ± 4.3), respectively (p = 0.67). The mean postoperative LCEA were significantly improved to 31° (25 to 37°, SD ± 3.5, p < 0.001) and 30.2° (20 to 38°, SD ± 4, p < 0.001), respectively. The mean postoperative AI angles improved to 2.8° (−3 to 13°, SD ± 3.3, p < 0.001) and 3° (−2 to 15°, SD ± 3.3, p < 0.001), respectively. There were no significant differences between the RASS and the RS group for surgical time, perioperative reduction in hemoglobin level, and LOHS. No blood transfusions were necessary perioperatively in either group. No major perioperative complication occurred in either group. We observed one surgical site infection (SSI) requiring superficial debridement in the RS group. Conclusion: the RASS approach for PAO showed to be a safe procedure with equivalent acetabular reorientation and equivalent clinical outcome parameters compared to the RS approach. Additionally, patients have fewer postoperative restrictions in mobilization with the RASS approach. Full article
Show Figures

Figure 1

18 pages, 5021 KB  
Article
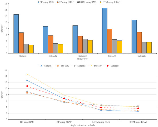
Continuous Estimation of Knee Joint Angle Based on Surface Electromyography Using a Long Short-Term Memory Neural Network and Time-Advanced Feature
by Xunju Ma, Yali Liu, Qiuzhi Song and Can Wang
Sensors 2020, 20(17), 4966; https://doi.org/10.3390/s20174966 - 2 Sep 2020
Cited by 49 | Viewed by 5325
Abstract
Continuous joint angle estimation based on a surface electromyography (sEMG) signal can be used to improve the man-machine coordination performance of the exoskeleton. In this study, we proposed a time-advanced feature and utilized long short-term memory (LSTM) with a root mean square (RMS) [...] Read more.
Continuous joint angle estimation based on a surface electromyography (sEMG) signal can be used to improve the man-machine coordination performance of the exoskeleton. In this study, we proposed a time-advanced feature and utilized long short-term memory (LSTM) with a root mean square (RMS) feature and its time-advanced feature (RMSTAF; collectively referred to as RRTAF) of sEMG to estimate the knee joint angle. To evaluate the effect of joint angle estimation, we used root mean square error (RMSE) and cross-correlation coefficient ρ between the estimated angle and actual angle. We also compared three methods (i.e., LSTM using RMS, BPNN (back propagation neural network) using RRTAF, and BPNN using RMS) with LSTM using RRTAF to highlight its good performance. Five healthy subjects participated in the experiment and their eight muscle (i.e., rectus femoris (RF), biceps femoris (BF), semitendinosus (ST), gracilis (GC), semimembranosus (SM), sartorius (SR), medial gastrocnemius (MG), and tibialis anterior (TA)) sEMG signals were taken as algorithm inputs. Moreover, the knee joint angles were used as target values. The experimental results showed that, compared with LSTM using RMS, BPNN using RRTAF, and BPNN using RMS, the average RMSE values of LSTM using RRTAF were respectively reduced by 8.57%, 46.62%, and 68.69%, whereas the average ρ values were respectively increased by 0.31%, 4.15%, and 18.35%. The results demonstrated that LSTM using RRTAF, which contained the time-advanced feature, had better performance for estimating the knee joint motion. Full article
(This article belongs to the Section Biosensors)
Show Figures

Figure 1

Back to TopTop