Sign in to use this feature.

Years

Between: -

Subjects

remove_circle_outline
remove_circle_outline
remove_circle_outline
remove_circle_outline
remove_circle_outline
remove_circle_outline

Journals

Article Types

Countries / Regions

Search Results (25)

Search Parameters:
Keywords = saline NH4+-N wastewater

Order results
Result details
Results per page
Select all
Export citation of selected articles as:
19 pages, 5023 KB  
Article
Hydroxylamine-Assisted Reactivation of Salinity-Inhibited Partial Denitrification/Anammox Systems: Performance Recovery, Functional Microbial Shifts, and Mechanistic Insights
by Jinyan Wang, Qingliang Su, Shenbin Cao, Xiaoyan Fan and Rui Du
Water 2026, 18(1), 111; https://doi.org/10.3390/w18010111 - 2 Jan 2026
Viewed by 334
Abstract
Salinity shock severely impairs the partial denitrification/anammox (PD/A) process, leading to prolonged functional deterioration and slow reactivation of anaerobic ammonium-oxidizing bacteria (anammox). To develop an effective strategy for mitigating salinity-induced inhibition, this study systematically examined the role of exogenous hydroxylamine (NH2OH) [...] Read more.
Salinity shock severely impairs the partial denitrification/anammox (PD/A) process, leading to prolonged functional deterioration and slow reactivation of anaerobic ammonium-oxidizing bacteria (anammox). To develop an effective strategy for mitigating salinity-induced inhibition, this study systematically examined the role of exogenous hydroxylamine (NH2OH) in accelerating PD/A recovery using short-term batch assays and long-term reactor operation. Hydroxylamine exhibited a clear concentration-dependent effect on system reactivation. In batch tests, low-dose hydroxylamine (10 mg/L) markedly enhanced anammox activity, increasing the ammonium oxidation rate to 5.5 mg N/(g VSS·h), representing a 42.5% increase, indicating its potential to stimulate key nitrogen-transforming pathways following salinity stress. During continuous operation, hydroxylamine at 5 mg/L proved optimal for restoring reactor performance, achieving stable nitrogen removal with 87% NH4+-N removal efficiency. The nitrite transformation ratio (NTR) reached approximately 80% within 13 cycles, 46 cycles ahead of the control, while simultaneously promoting the enrichment of key functional microbial taxa, including Thauera and Candidatus Brocadia. Hydroxylamine addition also triggered the production of tyrosine- and tryptophan-like proteins within extracellular polymeric substances, which enhanced protective and metabolic functionality during recovery. In contrast, a higher hydroxylamine dosage (10 mg/L) resulted in persistent NO2-N accumulation, substantial suppression of Candidatus Brocadia (declining from 0.67% to 0.09%), and impaired system stability, highlighting a dose-sensitive threshold between stimulation and inhibition. Overall, this study demonstrates that controlled low-level hydroxylamine supplementation can effectively reactivate salinity-inhibited PD/A systems by enhancing nitrogen conversion, reshaping functional microbial communities, and reinforcing stress-response mechanisms. These findings provide mechanistic insight and practical guidance for improving the resilience and engineering application of PD/A processes treating saline wastewater. Full article
(This article belongs to the Section Wastewater Treatment and Reuse)
Show Figures

Figure 1

24 pages, 3956 KB  
Article
Impact of Stepwise Salinity Elevation on Nitrogen Removal and Microbial Properties of Morphologically Distinct Anammox Sludge
by Keying Sun, Huining Zhang, Kefeng Zhang, Jianqing Ma, Zhengmin Pan and Shuting Zhang
Water 2025, 17(17), 2611; https://doi.org/10.3390/w17172611 - 3 Sep 2025
Cited by 1 | Viewed by 1491
Abstract
The anaerobic ammonium oxidation (anammox) process offers potential for saline wastewater treatment but is hindered by salt inhibition. This study investigates the salt tolerance mechanisms of granular (R1), biofilm-carrier (R2), and floccular (R3) sludge in up-flow anaerobic sludge blanket (UASB) reactors under 0–20 [...] Read more.
The anaerobic ammonium oxidation (anammox) process offers potential for saline wastewater treatment but is hindered by salt inhibition. This study investigates the salt tolerance mechanisms of granular (R1), biofilm-carrier (R2), and floccular (R3) sludge in up-flow anaerobic sludge blanket (UASB) reactors under 0–20 g/L NaCl. Granular sludge outperformed other biomass types, maintaining >90% ammonia nitrogen (NH4+-N) removal at 20 g/L NaCl due to structural stability and extracellular polymeric substances (EPS) adaptation (shift from hydrophobic proteins to polysaccharides). Microbial analysis revealed a transition from Planctomycetes/Proteobacteria to salt-tolerant Pseudomonadota, with Candidatus_Kuenenia replacing Candidatus_Brocadia as the dominant anaerobic ammonium oxidation bacteria (AnAOB) (reaching 14.5% abundance in R1). Genetic profiling demonstrated coordinated nitrogen metabolism: Hzs/Hdh inhibition (>85%) and NirBD/NrfAH activation (0.23%) elevated NH4+-N, while NarGIV/NapA decline (1.10%→0.58%) increased nitrate nitrogen (NO3-N). NxrB/NirSK maintained low nitrite nitrogen (NO2-N), and GltBD upregulation (0.43%) enhanced osmoregulation. These findings underscore the superior resilience of granular sludge under high salinity, linked to microbial community shifts and metabolic adaptations. This study provides critical insights for optimizing anammox processes in saline environments, emphasizing the importance of biomass morphology and microbial ecology in mitigating salt inhibition. Full article
(This article belongs to the Section Wastewater Treatment and Reuse)
Show Figures

Figure 1

22 pages, 5141 KB  
Article
Maifanstone Powder-Modified PE Filler for Enhanced MBBR Start-Up in Treating Marine RAS Wastewater
by Rubina Altaf, Tianyu Xiao, Kai Wang, Jianlin Guo, Qian Li, Jing Zou, Neemat Jaafarzadeh, Daoji Wu and Dezhao Liu
Water 2025, 17(13), 1888; https://doi.org/10.3390/w17131888 - 25 Jun 2025
Viewed by 1038
Abstract
The recirculating aquaculture system (RAS) has been rapidly adopted worldwide in recent years due to its high productivity, good stability, and good environmental controllability (and therefore friendliness to environment and ecology). Nevertheless, the effluent from seawater RAS contains a high level of ammonia [...] Read more.
The recirculating aquaculture system (RAS) has been rapidly adopted worldwide in recent years due to its high productivity, good stability, and good environmental controllability (and therefore friendliness to environment and ecology). Nevertheless, the effluent from seawater RAS contains a high level of ammonia nitrogen which is toxic to fish, so it is necessary to overcome the salinity conditions to achieve rapid and efficient nitrification for recycling. The moving bed biofilm reactor (MBBR) has been widely applied often by using PE fillers for efficient wastewater treatment. However, the start-up of MBBR in seawater environments has remained a challenge due to salinity stress and harsh inoculation conditions. This study investigated a new PE-filler surface modification method towards the enhanced start-up of mariculture MBBR by combining liquid-phase oxidation and maifanstone powder. The aim was to obtain a higher porous surface and roughness and a strong adsorption and alkalinity adjustment for the MBBR PE filler. The hydrophilic properties, surface morphology, and chemical structure of a raw polyethylene filler (an unmodified PE filler), liquid-phase oxidation modified filler (LO-PE), and liquid-phase oxidation combined with a coating of a maifanstone-powder-surface-modified filler (LO-SCPE) were first investigated and compared. The results showed that the contact angle was reduced to 45.5° after the optimal liquid-phase oxidation modification for LO-PE, 49.8% lower than that before modification, while SEM showed increased roughness and surface area by modification. Moreover, EDS presented the relative content of carbon (22.75%) and oxygen (42.36%) on the LO-SCPE surface with an O/C ratio of 186.10%, which is 177.7% higher than that of the unmodified filler. The start-up experiment on MBBRs treating simulated marine RAS wastewater (HRT = 24 h) showed that the start-up period was shortened by 10 days for LO-SCPE compared to the PE reactor, with better ammonia nitrogen removal observed for LO-SCPE (95.8%) than the PE reactor (91.7%). Meanwhile, the bacterial community composition showed that the LO-SCPE reactor had a more diverse and abundant AOB and NOB. The Nitrospira has a more significant impact on nitrification because it would directly oxidize NH4⁺-N to NO3⁻-N (comammox pathway) as mediated by AOB and NOB. Further, the LO-SCPE reactor showed a higher NH4+-N removal rate (>99%), less NO2-N accumulation, and a shorter adaption period than the PE reactor. Eventually, the NH4+-N concentrations of the three reactors (R1, R2, and R3) reached <0.1 mg/L within 3 days, and their NH4+-N removal efficiencies achieved 99.53%, 99.61%, and 99.69%, respectively, under ammonia shock load. Hence, the LO-SCPE media have a higher marine wastewater treatment efficiency. Full article
Show Figures

Figure 1

16 pages, 3631 KB  
Article
The Impact of the Mechanism of Biocarriers on Bacterial–Microbial Symbiosis for Mariculture Wastewater Treatment: Performance and Microbial Community Evolution
by Lingjie Li, Xiankun Qu, Weijia Gong, Lin Guo, Binghan Xie, Weirun Li, Guoyu Zhang, Haili Tan, Yuhong Jia, Jiahao Liang and Mengqi Zheng
Water 2025, 17(8), 1127; https://doi.org/10.3390/w17081127 - 10 Apr 2025
Cited by 2 | Viewed by 1372
Abstract
Mariculture wastewater is an intractable wastewater, owing to its high salinity inhibiting microbial metabolism. The biocarrier bacterial–microbial consortium (BBM) and bacterial–microbial consortium (BM) were developed to investigate the mechanism of pollutant degradation and microbial community evolution. The BBM exhibited excellent mariculture wastewater treatment, [...] Read more.
Mariculture wastewater is an intractable wastewater, owing to its high salinity inhibiting microbial metabolism. The biocarrier bacterial–microbial consortium (BBM) and bacterial–microbial consortium (BM) were developed to investigate the mechanism of pollutant degradation and microbial community evolution. The BBM exhibited excellent mariculture wastewater treatment, with the highest removal for TOC (91.78%), NH4+-N (79.33%) and PO43−-P (61.27%). Biocarriers accelerated anaerobic region formation, with the levels of denitrifying bacteria accumulation improving nitrogen degradation in the BBM. Moreover, the biocarrier enhanced the production of soluble microbial products (SMPs) (11.53 mg/L) and extracellular polymeric substances (EPSs) (370.88 mg/L), which accelerated the formation of bacterial and microalgal flocs in the BBM. The fluorescence excitation–emission matrix (EEM) results demonstrated that the addition of biocarriers successfully decreased the production of aromatic-like components in anoxic and aerobic supernatants. Additionally, the biocarrier shifted the bacterial community constitutions significantly. Biocarriers provided an anoxic microenvironment, which enhanced enrichments of Rhodobacteraceae (66%) and Ruegeria (70%), with a satisfying denitrification in the BBM. This study provided a novel biocarrier addition to the BBM system for actual mariculture wastewater treatment. Full article
(This article belongs to the Special Issue Algae-Based Technology for Wastewater Treatment)
Show Figures

Figure 1

17 pages, 3800 KB  
Article
Effects of High Salinity on Nitrogen Removal Efficiency and Microbial Community Structure in a Three-Stage AO System
by Shengyu Shi, Pengfei Cui, Shasha Wang, Jun Long and Xiaojun Yang
Water 2025, 17(8), 1112; https://doi.org/10.3390/w17081112 - 8 Apr 2025
Cited by 1 | Viewed by 2137
Abstract
This study investigated the nitrogen removal performance of a three-stage AO reactor for refractory TN and the changes in microbial community structure within the activated sludge system under varying sodium chloride concentration conditions. Under an influent sodium chloride concentration of 0 g/L with [...] Read more.
This study investigated the nitrogen removal performance of a three-stage AO reactor for refractory TN and the changes in microbial community structure within the activated sludge system under varying sodium chloride concentration conditions. Under an influent sodium chloride concentration of 0 g/L with sufficient carbon source, the removal rates of Total Nitrogen (TN), Chemical Oxygen Demand (CODcr), and Ammonium (NH4+-N) remained stable at 98%, 99.7%, and 99.9%, respectively. When the sodium chloride concentration increased to 20 g/L, the activity of AOB was significantly inhibited, with removal efficiency rates dropping to 83%, 89%, and 70%, respectively, and the NAR increasing to 91.97%. Analytical results demonstrated that both ammonia-oxidizing bacteria (AOB) and nitrite-oxidizing bacteria (NOB) exhibited inhibited metabolic activities, with NOB experiencing earlier functional impairment. Under NaCl concentrations ≤ 10 g/L, conventional nitrogen removal via nitrification–denitrification (ND) remained dominant. When NaCl concentrations exceeded 10 g/L, due to the accumulation of NO2-N, the phyla Planctomycetota and Proteobacteria maintained dominance in the microbial community, while partial nitrification (PN) and denitrification pathways gradually replaced ND. Extracellular polymeric substance (EPS) secretion emerged as the primary microbial defense mechanism against salinity stress. Experimental findings informed proposed strategies including phased acclimatization for salt-tolerance enhancement, EPS production regulation, and targeted enrichment of functional consortia, which collectively improved the denitrification efficiency by 18.7–22.3% under salinity levels ≤ 20 g/L. This study provides theoretical foundations and technical references for process optimization in hypersaline industrial wastewater treatment systems. Full article
(This article belongs to the Section Wastewater Treatment and Reuse)
Show Figures

Figure 1

14 pages, 2738 KB  
Article
Removal of Nitrogen and Phosphorus by a Novel Salt-Tolerant Strain Pseudomonas sediminis D4
by Yuting Liu, Peng Yin, Jiayi Zhou, Yonghao Ma, Xunheng Lai, Junduo Lin, Huilin Peng, Hu Shu and Wen Huang
Water 2025, 17(4), 502; https://doi.org/10.3390/w17040502 - 11 Feb 2025
Cited by 2 | Viewed by 1444
Abstract
Managing nitrogen and phosphorus pollution in high-salinity wastewater is a critical challenge for sustainable aquaculture and environmental protection. In this study, a novel salt-tolerant strain, Pseudomonas sediminis D4, was isolated from a brackish water environment. This strain exhibited simultaneous heterotrophic nitrification–aerobic denitrification and [...] Read more.
Managing nitrogen and phosphorus pollution in high-salinity wastewater is a critical challenge for sustainable aquaculture and environmental protection. In this study, a novel salt-tolerant strain, Pseudomonas sediminis D4, was isolated from a brackish water environment. This strain exhibited simultaneous heterotrophic nitrification–aerobic denitrification and phosphorus removal capabilities. Biosafety assays demonstrated that the strain was antibiotic-sensitive and safe for aquatic environments. The optimal conditions for nitrogen and phosphate removal of strain D4 were carbon/nitrogen (C/N) ratio 10, phosphorus/nitrogen (P/N) ratio 0.2, pH 7, and temperature 30 °C while using sodium succinate as the carbon source. Under these conditions, strain D4 achieved removal efficiencies of 97.36% for ammonia (NH4+-N), 100.00% for nitrate (NO3-N), and 98.02% for nitrite (NO2-N), along with 94.69%, 89.56%, and 97.40% removal of PO43−P, respectively. The strain exhibited strong salinity tolerance, functioning effectively within a range of 0% to 5% (w/v), and maintaining high nitrogen and phosphorus removal efficiency at a salinity of 3%. Enzyme activity assays verified the existence of key enzymes, such as ammonia nitrogen oxidase, nitrate oxidoreductase, nitrate reductase, nitrite reductase, polyphosphate kinase, and exopolyphosphatase, which are essential for the heterotrophic nitrification-aerobic denitrification and phosphorus removal capabilities of D4. These findings highlight the potential of Pseudomonas sediminis D4 for the biological treatment of high-salinity wastewater. Full article
(This article belongs to the Section Wastewater Treatment and Reuse)
Show Figures

Figure 1

24 pages, 4223 KB  
Article
Research on Enhancing Domestic Wastewater Treatment in the Heterotrophic Nitrification–Aerobic Denitrification-Based Anaerobic/Oxic Biofilm System
by Yingbao Wu, Biaoyi Wang, Ziyi Ou, Peiqin Peng, Miaomiao Zhang, Shunan Zhang and Feng Liu
Water 2025, 17(2), 162; https://doi.org/10.3390/w17020162 - 9 Jan 2025
Cited by 1 | Viewed by 1405
Abstract
Traditional wastewater treatment processes still encounter challenges such as the limited treatment efficiency and excessive greenhouse gas emissions, which restrict their application in environmentally sustainable practices. This study developed an A/O biofilm system and assessed the impact of inoculating the system with the [...] Read more.
Traditional wastewater treatment processes still encounter challenges such as the limited treatment efficiency and excessive greenhouse gas emissions, which restrict their application in environmentally sustainable practices. This study developed an A/O biofilm system and assessed the impact of inoculating the system with the heterotrophic nitrification–aerobic denitrification (HN–AD) strain Alcaligenes faecalis WT14 on pollutant removal efficiency and greenhouse gas emissions. A continuous monitoring experiment was conducted over 140 days, comparing the system inoculated with WT14 (the TWT14 system) and the non-inoculated system (the CK system). The results demonstrated that the TWT14 system outperformed the CK system in pollutant removal, with higher NH₄⁺-N, TN, and COD removal efficiencies of 11.22%, 21.96%, and 12.51%, respectively, and the quality of discharge water from TWT14 maintaining compliance with national discharge standards. This improvement underscores the positive impact of inoculation with the WT14 strain on enhancing the pollutant removal performance of the A/O biofilm system. Regarding greenhouse gas emissions, the TWT14 system exhibited a significantly higher N₂O emission flux in the aeration tank compared with the CK system, while CO₂ and CH₄ emissions were predominantly concentrated in the anaerobic tank. Global warming potential (GWP) analysis showed no significant difference in the total average GWP between the two systems. However, the TWT14 system demonstrated a lower GWP per unit of TN removed, highlighting its superior ecological benefits. Environmental factor analysis revealed that the temperature, pH, humidity, and salinity had significant impacts on both pollutant removal efficiency and greenhouse gas emissions. Additionally, microbial community analysis indicated that inoculation with the WT14 strain enhanced microbial diversity and richness within the A/O biofilm system, with Alcaligenes and norank_f_JD30-KF-CM45 playing key roles in nitrogen removal. This study provides valuable insights for optimizing A/O biofilm system design and offers scientific guidance for the sustainable upgrading of wastewater treatment technologies. Full article
(This article belongs to the Special Issue Biological Wastewater Treatment Process and Nutrient Recovery)
Show Figures

Figure 1

16 pages, 3242 KB  
Article
The Nitrogen Removal Characteristics of a Novel Salt-Tolerant Bacterium, Enterobacter quasihormaechei DGFC5, Isolated from Municipal Sludge
by Bingguo Wang, Huanlong Peng and Wei Liu
Microorganisms 2024, 12(12), 2652; https://doi.org/10.3390/microorganisms12122652 - 20 Dec 2024
Cited by 2 | Viewed by 1562
Abstract
A novel bacterial strain, Enterobacter quasihormaechei DGFC5, was isolated from a municipal sewage disposal system. It efficiently removed ammonium, nitrate, and nitrite under conditions of 5% salinity, without intermediate accumulation. Provided with a mixed nitrogen source, DGFC5 showed a higher utilization priority for [...] Read more.
A novel bacterial strain, Enterobacter quasihormaechei DGFC5, was isolated from a municipal sewage disposal system. It efficiently removed ammonium, nitrate, and nitrite under conditions of 5% salinity, without intermediate accumulation. Provided with a mixed nitrogen source, DGFC5 showed a higher utilization priority for NH4+-N. Whole-genome sequencing and nitrogen balance experiments revealed that DGFC5 can simultaneously consume NH4+-N in the liquid phase through assimilation and heterotrophic nitrification, and effectively remove nitrate via aerobic denitrification and dissimilatory reduction reactions. Single-factor experiments were conducted to determine the optimal nitrogen removal conditions, which were as follows: a carbon-to-nitrogen ratio of 15, a shaking speed of 200 rpm, a pH of 7, C4H4Na2O4 as the carbon source, and a temperature of 30 °C. DGFC5 showed efficient nitrogen purification capabilities under a wide range of environmental conditions, indicating its potential for disposing of nitrogenous wastewater with high salinity. Full article
(This article belongs to the Section Environmental Microbiology)
Show Figures

Figure 1

18 pages, 4852 KB  
Article
Stress Responses and Ammonia Nitrogen Removal Efficiency of Oocystis lacustris in Saline Ammonium-Contaminated Wastewater Treatment
by Yuqi Zhu, Yili Zhang, Hui Chen, Lisha Zhang and Chensi Shen
Toxics 2024, 12(5), 353; https://doi.org/10.3390/toxics12050353 - 10 May 2024
Cited by 3 | Viewed by 2419
Abstract
The increasing concern over climate change has spurred significant interest in exploring the potential of microalgae for wastewater treatment. Among the various types of industrial wastewaters, high-salinity NH4+-N wastewater stands out as a common challenge. Investigating microalgae’s resilience to NH [...] Read more.
The increasing concern over climate change has spurred significant interest in exploring the potential of microalgae for wastewater treatment. Among the various types of industrial wastewaters, high-salinity NH4+-N wastewater stands out as a common challenge. Investigating microalgae’s resilience to NH4+-N under high-salinity conditions and their efficacy in NH4+-N utilization is crucial for advancing industrial wastewater microalgae treatment technologies. This study evaluated the effectiveness of employing nitrogen-efficient microalgae, specifically Oocystis lacustris, for NH4+-N removal from saline wastewater. The results revealed Oocystis lacustris’s tolerance to a Na2SO4 concentration of 5 g/L. When the Na2SO4 concentration reached 10 g/L, the growth inhibition experienced by Oocystis lacustris began to decrease on the 6th day of cultivation, with significant alleviation observed by the 7th day. Additionally, the toxic mechanism of saline NH4+-N wastewater on Oocystis lacustris was analyzed through various parameters, including chlorophyll-a, soluble protein, oxidative stress indicators, key nitrogen metabolism enzymes, and microscopic observations of algal cells. The results demonstrated that when the Oocystis lacustris was in the stationary growth phase with an initial density of 2 × 107 cells/L, NH4+-N concentrations of 1, 5, and 10 mg/L achieved almost 100% removal of the microalgae on the 1st, 2nd, and 4th days of treatment, respectively. On the other hand, saline NH4+-N wastewater minimally impacted photosynthesis, protein synthesis, and antioxidant systems within algal cells. Additionally, NH4+-N within the cells was assimilated into glutamic acid through glutamate dehydrogenase-mediated pathways besides the conventional pathway involving NH4+-N conversion into glutamine and assimilation amino acids. Full article
(This article belongs to the Section Toxicity Reduction and Environmental Remediation)
Show Figures

Figure 1

16 pages, 5551 KB  
Article
Treatment of Pickle Wastewater under Varying Salinity Conditions within the Sequencing Batch Biofilm Reactor System
by Nuonan Shen, Hongyun Guo, Tingting Yao, Li Xu, Youxian Gao and Ping Yang
Water 2024, 16(9), 1312; https://doi.org/10.3390/w16091312 - 6 May 2024
Cited by 4 | Viewed by 2533
Abstract
Pickle wastewater is a highly saline organic effluent that poses a significant ecological risk. In this study, a sequencing batch biofilm reactor (SBBR) was used to treat such wastewater, and a denitrification system capable of simultaneously removing high levels of nitrogen and organic [...] Read more.
Pickle wastewater is a highly saline organic effluent that poses a significant ecological risk. In this study, a sequencing batch biofilm reactor (SBBR) was used to treat such wastewater, and a denitrification system capable of simultaneously removing high levels of nitrogen and organic matter was successfully established. Through salinity incremental increase, the system operated stably, and the removal rates of COD, TN, and NH4+-N could be maintained at about 96%, 93%, and 99% under the salinity of 3.0%. The effect of salinity on the structure and function of microbial communities in the reactor was investigated by high-throughput sequencing. The results showed that increasing salinity could reduce the diversity, change the structure, and reduce the functionality of the microbial community. Under high-salt conditions (salt content of 3.0%), salt-tolerant microorganisms such as Actinobacteriota became dominant populations. As salinity increased, NOB (nitrite oxidizing bacteria) was strongly inhibited, and its abundance decreased rapidly until it disappeared. Partial nitrification–denitrification (PND) gradually became the main denitrification pathway. In conclusion, this experiment not only shows that SBBR treatment of pickle wastewater has strong feasibility, but also provides a theoretical research basis for the engineering treatment of pickle wastewater. Full article
(This article belongs to the Section Wastewater Treatment and Reuse)
Show Figures

Figure 1

17 pages, 8878 KB  
Article
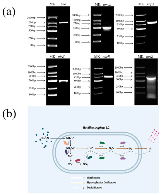
Heterotrophic Nitrification–Aerobic Denitrification by Bacillus sp. L2: Mechanism of Denitrification and Strain Immobilization
by Qiang Li, Yuehui He, Boyan Wang, Nanhai Weng, Lei Zhang, Kaichun Wang, Fengrong Tian, Mingsheng Lyu and Shujun Wang
Water 2024, 16(3), 416; https://doi.org/10.3390/w16030416 - 27 Jan 2024
Cited by 9 | Viewed by 5276
Abstract
The biological denitrification of low-C/N wastewater is a great challenge in treatment plants due to the lack of microorganisms with heterotrophic nitrification–aerobic denitrification (HN-AD) abilities. In this study, Bacillus sp. L2 was isolated from aeration tank water samples using a nitrification medium and [...] Read more.
The biological denitrification of low-C/N wastewater is a great challenge in treatment plants due to the lack of microorganisms with heterotrophic nitrification–aerobic denitrification (HN-AD) abilities. In this study, Bacillus sp. L2 was isolated from aeration tank water samples using a nitrification medium and screened for its ability to perform HN-AD in low-C/N wastewater. The strain showed a maximum NH4+-N removal rate of 98.37% under low-C/N conditions. In the presence of a mixed N source, strain L2 was capable of completely removing NH4+-N within 24 h. Furthermore, optimal nitrogen removal conditions for strain L2 were found to be C/N = 9, pH = 9, and sodium acetate as the C source. Under optimal conditions, the strain was able to maintain a high NH4+-N removal rate under 0–3% salinity and an NH4+-N concentration of 200 mg/L or less. The denitrification pathways of strain L2 were NH4+→NH2OH→NO2(↔NO3)→NO→N2O→N2 and NH4+→NH2OH→NO→N2O→N2. Furthermore, semi-continuous wastewater treatment was conducted using immobilized technology, which resulted in more than 82% NH4+-N removal after three cycles of reuse. This study demonstrates the great potential of Bacillus sp. L2 in wastewater treatment applications. Full article
(This article belongs to the Section Wastewater Treatment and Reuse)
Show Figures

Graphical abstract

11 pages, 2064 KB  
Technical Note
The Effect of Salinity on N2O Emissions during Domestic Wastewater Partial Nitrification Treatment in a Sequencing Batch Reactor
by Pengzhang Li, Yun Wang, Yue Liu, Shuying Wang and Yongzhen Peng
Water 2023, 15(19), 3502; https://doi.org/10.3390/w15193502 - 7 Oct 2023
Cited by 5 | Viewed by 2109
Abstract
Previous studies have highlighted the salinization caused by the use of seawater to flush toilets and industrial wastewater entering the urban wastewater systems in coastal areas. Thus, in this study, the effect of salinity on N2O emissions during the partial nitrification [...] Read more.
Previous studies have highlighted the salinization caused by the use of seawater to flush toilets and industrial wastewater entering the urban wastewater systems in coastal areas. Thus, in this study, the effect of salinity on N2O emissions during the partial nitrification process, as well as the emission mechanism, was investigated using a partial nitrification system of wastewater as the research object. The results showed that (1) the increase in salinity decreased the oxidation rate of NH4+ and the formation rate of NO2 during partial nitrification; (2) the increase in salinity increased the N2O emissions during NH4+ oxidation and NH2OH oxidation and decreased the formation rate of NO2-N during hydroxylamine oxidation; (3) the total N2O emissions during hydroxylamine oxidation were less than those during ammonia nitrogen oxidation, and a greater amount of NO2 was reduced to N2 instead of N2O during hydroxylamine oxidation; and (4) a novel finding was that, during partial nitrification with the available organic matter, the N2O emissions via heterotrophic denitrification by heterotrophic bacteria should not be ignored, and the increase in salinity can increase the N2O emissions generated via heterotrophic denitrification. These results would provide a theoretical basis for reducing the N2O emissions in the wastewater treatment process. Full article
(This article belongs to the Section Wastewater Treatment and Reuse)
Show Figures

Figure 1

16 pages, 4967 KB  
Article
Occurrence and Distribution of Antibiotics in a Tropical Mariculture Area of Hainan, China: Implications for Risk Assessment and Management
by Yongqiang Qin, Xiaoyü Ren, Hanye Ju, Yankun Zhang, Jin Liu, Jiliang Zhang and Xiaoping Diao
Toxics 2023, 11(5), 421; https://doi.org/10.3390/toxics11050421 - 1 May 2023
Cited by 21 | Viewed by 3072
Abstract
With the rapid global demand for mariculture products in recent years, the use of antibiotics has increased intensively in the mariculture area. Current research on antibiotic residues in mariculture environments is limited, and less information is available on the presence of antibiotics in [...] Read more.
With the rapid global demand for mariculture products in recent years, the use of antibiotics has increased intensively in the mariculture area. Current research on antibiotic residues in mariculture environments is limited, and less information is available on the presence of antibiotics in tropical waters, limiting a comprehensive understanding of their environmental presence and risk. Therefore, this study investigated the environmental occurrence and distribution of 50 antibiotics in the near-shore aquaculture waters of Fengjia Bay. A total of 21 antibiotics were detected in 12 sampling sites, including 11 quinolones, 5 sulfonamides, 4 tetracyclines, and 1 chloramphenicol; the quinolones pyrimethamine (PIP), delafloxacin (DAN), flurofloxacin (FLE), ciprofloxacin (CIP), norfloxacin (NOR), pefloxacin (PEF), enrofloxacin (ENO), and minocycline (MNO) of the tetracycline class were detected in all sampling points. The total antibiotic residue concentrations in the study area ranged from 153.6 to 1550.8 ng/L, the tetracycline antibiotics were detected in the range of 10 to 1344.7 ng/L, and the chloramphenicol antibiotics were detected in the range of 0 to 106.9 ng/L. The detected concentrations of quinolones ranged from 81.3 to 136.1 ng/L, and the residual concentrations of sulfonamide antibiotics ranged from 0 to 313.7 ng/L. The correlation analysis with environmental factors revealed that pH, temperature, conductivity, salinity, NH3−-N, and total phosphorus had a strong correlation with antibiotics. Based on PCA analysis, the main sources of antibiotic pollution in the area were determined to be the discharge of farming wastewater and domestic sewage. The ecological risk assessment indicated that the residual antibiotics in the water environment of the near-shore waters of Fengjiawan had certain risks to the ecosystem. Among them, CIP, NOR, sulfamethoxazole (TMP), ofloxacin (OFL), enrofloxacin (ENO), sulfamethoxazole (SMX), and FLE showed medium to high risk. Therefore, it is recommended to regulate the use of these antibiotics and the discharge and treatment of culturing wastewater, and measures should be taken to reduce the environmental pollution caused by antibiotics and to monitor the long-term ecological risk of antibiotics in the region. Overall, our results provide an important reference for understanding the distribution and ecological risk of antibiotics in Fengjiawan. Full article
(This article belongs to the Section Emerging Contaminants)
Show Figures

Figure 1

14 pages, 4247 KB  
Article
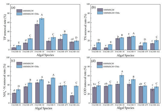
Strain Screening and Conditions Optimization in Microalgae-Based Monosodium Glutamate Wastewater (MSGW) Treatment
by Yanmin Zhuang, Qingling Su, Haowen Wang, Chengzong Wu, Shanying Tong, Jumei Zhang and Hongjin Qiao
Water 2023, 15(9), 1663; https://doi.org/10.3390/w15091663 - 24 Apr 2023
Cited by 2 | Viewed by 3218
Abstract
The wastewater generated from monosodium glutamate production displays distinctive features of elevated salinity, organic content, as well as nitrogen and phosphorus concentrations, and its indiscriminate disposal poses a significant threat to water quality and can cause detrimental impacts on aquatic ecosystems. The application [...] Read more.
The wastewater generated from monosodium glutamate production displays distinctive features of elevated salinity, organic content, as well as nitrogen and phosphorus concentrations, and its indiscriminate disposal poses a significant threat to water quality and can cause detrimental impacts on aquatic ecosystems. The application of microalgae for monosodium glutamate wastewater (MSGW) treatment can result in simultaneous wastewater purification and biomass recovery. In this study, the algae species capable of thriving in diluted MSGW were screened, and the wastewater composition and growth conditions were optimized to obtain high algal biomass and nutrient removal rate. Among the tested species, Chlorella sp. FACHB-30 demonstrated superior potential for MSGW treatment and achieved a maximum specific growth rate of 0.28 d−1 and the highest COD removal rate of 61.50% over a 20-day cultivation period with trace metals supplementation in the wastewater. Moreover, the cultivation of Chlorella sp. FACHB-30 yielded considerable reductions in total phosphate (69.09%), total nitrogen (26.93%), and NH4+-N (51.91%) levels in the wastewater. The optimum conditions for achieving maximum algal density and highest nutrient removal were determined as light intensity of 150 μmol m−2s−1, inoculation concentration of 1 × 105 cells mL−1, and an iron concentration of 10−5 mol L−1. Finally, under the optimized conditions, the removal rates of total phosphate, total nitrogen, NH4+-N, and COD were determined to be 87.60%, 68.05%, 75.89%, and 77.96%, respectively. The findings of this study highlight the potential for enhancing the nutrient removal efficiency of microalgae-based MSGW treatment through the implementation of a combined approach that involves the selection of tolerant strains, optimization of cultivation conditions, and refinement of wastewater composition. Full article
(This article belongs to the Section Wastewater Treatment and Reuse)
Show Figures

Figure 1

20 pages, 4963 KB  
Article
Assessing the Hydrochemistry, Groundwater Drinking Quality, and Possible Hazard to Human Health in Shizuishan Area, Northwest China
by Shan Xiao, Yuan Fang, Jie Chen, Zonghua Zou, Yanyan Gao, Panpan Xu, Xueke Jiao and Miaoyue Ren
Water 2023, 15(6), 1082; https://doi.org/10.3390/w15061082 - 11 Mar 2023
Cited by 9 | Viewed by 4057
Abstract
Groundwater is an important source of drinking water, particularly in arid regions. In this study, a total of 66 groundwater samples were collected from the phreatic aquifer in the Shizuishan area, a traditional irrigation region of Ningxia. The results showed that the TDS [...] Read more.
Groundwater is an important source of drinking water, particularly in arid regions. In this study, a total of 66 groundwater samples were collected from the phreatic aquifer in the Shizuishan area, a traditional irrigation region of Ningxia. The results showed that the TDS values were above the drinking water standards for nearly 50% of the groundwater samples. The ions followed the order of Na+ > Ca2+ > Mg2+ > K+ and SO42− > Cl > HCO3 in the groundwater. There were four dominant factors in controlling groundwater chemistry based on principal component analysis: the salinity factor, alkalinity factor, carbonate factor, and pollution factor. The high concentration of NH4-N in groundwater was attributed to agricultural activities, but the high NO3-N levels were mainly due to sewage or wastewater. F and As were derived from geogenic sources. Based on the result of the WQI assessment, about 40% of the samples in the central part of the study region showed unacceptable water quality for drinking, which was mainly associated with high NH4-N, TDS, and As concentrations. The total non-carcinogenic risks of drinking the groundwater were 0.05–10.62 for adults and 0.09–20.65 for children, respectively. The order of pollutants in the groundwater in terms of their hazard to residents was: As > F > NO3-N > NH4-N. The carcinogenic risk values of As through oral ingestion for children and adults were 0–7.37 × 10−4 and 0–1.89 × 10−4, respectively. Chronic exposure by oral ingestion presented as the main source of susceptibility to exposure to groundwater contaminants for children. Full article
(This article belongs to the Special Issue Water Quality, Water Security and Risk Assessment)
Show Figures

Figure 1

Back to TopTop